Clustering or Scattering? The Spatial Distribution of Cropland in a Metropolitan Region, 1960–2010
Abstract
1. Introduction
2. Materials and Methods
2.1. Study Area
2.2. Land Use Analysis and Cropland Data
2.3. Territorial Variables
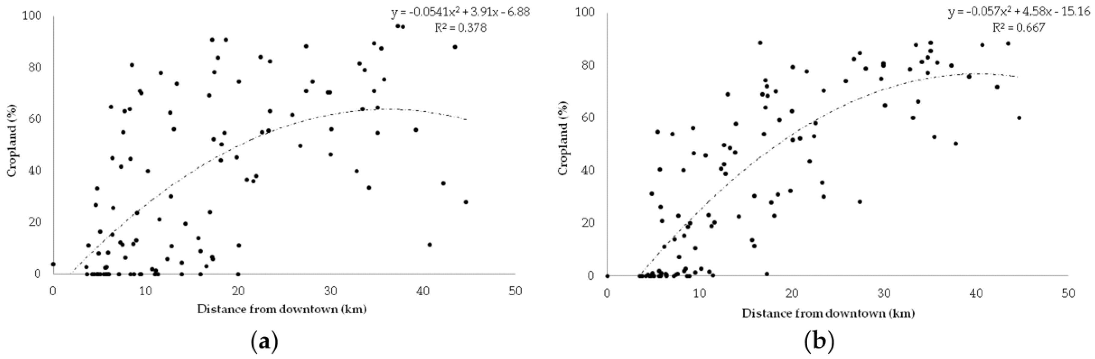
2.4. Exploratory Data Analysis
2.5. Regression Analysis
3. Results
3.1. Descriptive Statistics
3.2. Hierarchical Clustering
3.3. Multiple Regression
4. Discussion
5. Conclusions
Author Contributions
Funding
Conflicts of Interest
References
- Duvernoy, I.; Zambon, I.; Sateriano, A.; Salvati, L. Pictures from the other side of the fringe: Urban growth and peri-urban agriculture in a post-industrial city (Toulouse, France). J. Rural Stud. 2018, 57, 25–35. [Google Scholar] [CrossRef]
- Pili, S.; Grigoriadis, E.; Carlucci, M.; Clemente, M.; Salvati, L. Towards sustainable growth? A multi-criteria assessment of (changing) urban forms. Ecol. Indic. 2017, 76, 71–80. [Google Scholar] [CrossRef]
- Sanesi, G.; Colangelo, G.; Lafortezza, R.; Calvo, E.; Davies, C. Urban green infrastructure and urban forests: A case study of the Metropolitan Area of Milan. Landsc. Res. 2017, 42, 164–175. [Google Scholar] [CrossRef]
- Zambon, I.; Benedetti, A.; Ferrara, C.; Salvati, L. Soil Matters? A Multivariate Analysis of Socioeconomic Constraints to Urban Expansion in Mediterranean Europe. Ecol. Econ. 2018, 146, 173–183. [Google Scholar] [CrossRef]
- Chas-Amil, M.L.; Touza, J.; García-Martínez, E. Forest fires in the wildland–urban interface: A spatial analysis of forest fragmentation and human impacts. Appl. Geogr. 2013, 43, 127–137. [Google Scholar] [CrossRef]
- Zipperer, W.C.; Foresman, T.W.; Walker, S.P.; Daniel, C.T. Ecological consequences of fragmentation and deforestation in an urban landscape: A case study. Urban Ecosyst. 2012, 15, 533–544. [Google Scholar] [CrossRef]
- Carlucci, M.; Grigoriadis, E.; Rontos, K.; Salvati, L. Revisiting a hegemonic concept: Long-term ‘Mediterranean urbanization’ in between city re-polarization and metropolitan decline. Appl. Spat. Anal. Policy 2017, 10, 347–362. [Google Scholar] [CrossRef]
- Munafò, M.; Salvati, L.; Zitti, M. Estimating soil sealing rate at national level—Italy as a case study. Ecol. Indic. 2013, 26, 137–140. [Google Scholar] [CrossRef]
- Salvati, L. Monitoring high-quality soil consumption driven by urban pressure in a growing city (Rome, Italy). Cities 2013, 31, 349–356. [Google Scholar] [CrossRef]
- Antrop, M. Landscape change and the urbanization process in Europe. Landsc. Urban Plan. 2004, 67, 9–26. [Google Scholar] [CrossRef]
- Salvati, L.; Zambon, I.; Chelli, F.M.; Serra, P. Do spatial patterns of urbanization and land consumption reflect different socioeconomic contexts in Europe? Sci. Total Environ. 2018, 625, 722–730. [Google Scholar] [CrossRef] [PubMed]
- Zambon, I.; Colantoni, A.; Cecchini, M.; Mosconi, E.M. Rethinking sustainability within the viticulture realities integrating economy, landscape and energy. Sustainability 2018, 10, 320. [Google Scholar] [CrossRef]
- Colantoni, A.; Grigoriadis, E.; Sateriano, A.; Venanzoni, G.; Salvati, L. Cities as selective land predators? A lesson on urban growth, deregulated planning and sprawl containment. Sci. Total Environ. 2016, 545, 329–339. [Google Scholar] [CrossRef] [PubMed]
- Salvati, L.; Gargiulo Morelli, V.; Rontos, K.; Sabbi, A. Latent Exurban Development: City Expansion along the Rural-To-Urban Gradient in Growing and Declining Regions of Southern Europe. Urban Geogr. 2013, 34, 376–394. [Google Scholar] [CrossRef]
- Barbati, A.; Corona, P.; Salvati, L.; Gasparella, L. Natural forest expansion into suburban countryside: Gained ground for a green infrastructure? Urban For. Urban Green. 2013, 12, 36–43. [Google Scholar] [CrossRef]
- Colantoni, A.; Mavrakis, A.; Sorgi, T.; Salvati, L. Towards a ‘polycentric’ landscape? Reconnecting fragments into an integrated network of coastal forests in Rome. Rend. Lincei 2015, 26, 615–624. [Google Scholar] [CrossRef]
- Salvati, L.; Zitti, M.; Ceccarelli, T. Integrating economic and environmental indicators in the assessment of desertification risk: A case study. Appl. Ecol. Environ. Res. 2008, 6, 129–138. [Google Scholar] [CrossRef]
- Ferrara, A.; Salvati, L.; Sabbi, A.; Colantoni, A. Urbanization, Soil Quality and Rural Areas: Towards a Spatial Mismatch? Sci. Total Environ. 2014, 478, 116–122. [Google Scholar] [CrossRef] [PubMed]
- Serra, P.; Vera, A.; Tulla, A.F.; Salvati, L. Beyond urban-rural dichotomy: Exploring socioeconomic and land-use processes of change in Spain (1991–2011). Appl. Geogr. 2014, 55, 71–81. [Google Scholar] [CrossRef]
- Karamesouti, M.; Detsis, V.; Kounalaki, A.; Vasiliou, P.; Salvati, L.; Kosmas, C. Land-use and land degradation processes affecting soil resources: Evidence from a traditional Mediterranean cropland (Greece). Catena 2015, 132, 45–55. [Google Scholar] [CrossRef]
- Hasse, J.E.; Lathrop, R.G. Land resource impact indicators of urban sprawl. Appl. Geogr. 2003, 23, 159–175. [Google Scholar] [CrossRef]
- Catalán, B.; Sauri, D.; Serra, P. Urban sprawl in the Mediterranean? Patterns of growth and change in the Barcelona Metropolitan Region 1993–2000. Landsc. Urban Plan. 2008, 85, 174–184. [Google Scholar] [CrossRef]
- Cuadrado-Ciuraneta, S.; Durà-Guimerà, A.; Salvati, L. Not only tourism: Unravelling suburbanization, second-home expansion and “rural” sprawl in Catalonia, Spain. Urban Geogr. 2017, 38, 66–89. [Google Scholar] [CrossRef]
- Zambon, I.; Serra, P.; Sauri, D.; Carlucci, M.; Salvati, L. Beyond the ‘Mediterranean city’: Socioeconomic disparities and urban sprawl in three Southern European cities. Geogr. Ann. Ser. B Hum. Geogr. 2017, 99, 319–337. [Google Scholar] [CrossRef]
- Rontos, K.; Grigoriadis, S.; Sateriano, A.; Syrmali, M.; Vavouras, I.; Salvati, L. Lost in Protest, Found in Segregation: Divided Cities in the Light of the 2015 ‘Oki’ Referendum in Greece. City Cult. Soc. 2016, 7, 139–148. [Google Scholar] [CrossRef]
- Chorianopoulos, I.; Pagonis, T.; Koukoulas, S.; Drymoniti, S. Planning, competitiveness and sprawl in the Mediterranean city: The case of Athens. Cities 2010, 27, 249–259. [Google Scholar] [CrossRef]
- Chorianopoulos, I.; Tsilimigkas, G.; Koukoulas, S.; Balatsos, T. The shift to competitiveness and a new phase of sprawl in the Mediterranean city: Enterprises guiding growth in Messoghia—Athens. Cities 2014, 39, 133–143. [Google Scholar] [CrossRef]
- Couch, C.; Petschel-Held, G.; Leontidou, L. Urban Sprawl in Europe: Landscapes, Land-Use Change and Policy; Blackwell: London, UK, 2007. [Google Scholar]
- Perdigao, V.; Christensen, S. The Lacoast Atlas: Land Cover Changes in European Coastal Zones; Joint Research Centre: Ispra, Italy, 2000. [Google Scholar]
- EEA. Urban Sprawl in Europe—The Ignored Challenge; Report No. 10; Joint Research Centre: Ispra, Italy, 2006. [Google Scholar]
- Di Feliciantonio, C.; Salvati, L. ‘Southern’ alternatives of urban diffusion: Investigating settlement characteristics and socioeconomic patterns in three Mediterranean regions. Tijdschr. Econ. Soc. Geogr. 2015, 106, 453–470. [Google Scholar] [CrossRef]
- EEA. Mapping Guide for a European Urban Atlas; European Environment Agency: Copenhagen, Denmark, 2010. [Google Scholar]
- Salvati, L. Exurban Development and Landscape Diversification in a Mediterranean Peri-urban Area. Scott. Geogr. J. 2014, 130, 22–34. [Google Scholar] [CrossRef]
- Carrus, G.; Scopelliti, M.; Lafortezza, R.; Colangelo, G.; Ferrini, F.; Salbitano, F.; Agrimi, M.; Portoghesi, L.; Semenzato, P.; Sanesi, G. Go greener, feel better? The positive effects of biodiversity on the well-being of individuals visiting urban and peri-urban green areas. Landsc. Urban Plan. 2015, 134, 221–228. [Google Scholar] [CrossRef]
- Salvati, L.; Serra, P. Estimating rapidity of change in complex urban systems: A multidimensional, local-scale approach. Geogr. Anal. 2016, 48, 132–156. [Google Scholar] [CrossRef]
- Tomao, A.; Quatrini, V.; Corona, P.; Ferrara, A.; Lafortezza, R.; Salvati, L. Resilient landscapes in Mediterranean urban areas: Understanding factors influencing forest trends. Environ. Res. 2017, 156, 1–9. [Google Scholar] [CrossRef] [PubMed]
- Zitti, M.; Ferrara, C.; Perini, L.; Carlucci, M.; Salvati, L. Long-term Urban Growth and Land-use Efficiency in Southern Europe: Implications for Sustainable Land Management. Sustainability 2015, 7, 3359–3385. [Google Scholar] [CrossRef]
- Salvati, L.; Gemmiti, R.; Perini, L. Land degradation and the Mediterranean urban areas: An unexplored link with planning? Area 2012, 44, 317–325. [Google Scholar] [CrossRef]
- Salvati, L.; Carlucci, M. The economic and environmental performances of rural districts in Italy: Are competitiveness and sustainability compatible targets? Ecol. Econ. 2011, 70, 2446–2453. [Google Scholar] [CrossRef]
- Salvati, L. Agro-forest landscape and the ‘fringe’ city: A multivariate assessment of land-use changes in a sprawling region and implications for planning. Sci. Total Environ. 2014, 490, 715–723. [Google Scholar] [CrossRef] [PubMed]
- Perrin, C.; Nougarèdes, B.; Sini, L.; Branduini, P.; Salvati, L. Governance changes in peri-urban farmland protection following decentralisation: A comparison between Montpellier (France) and Rome (Italy). Land Use Policy 2018, 70, 535–546. [Google Scholar] [CrossRef]
- Moreira, F.; Viedma, O.; Arianoutsou, M.; Curt, T.; Koutsias, N.; Rigolot, F.; Barbati, A.; Corona, P.; Vaz, P.; Xanthopoulos, G.; et al. Landscape wildfire interactions in southern Europe: Implications for landscape management. J. Environ. Manag. 2011, 92, 2389–2402. [Google Scholar] [CrossRef] [PubMed]
- Radeloff, V.C.; Hammer, R.B.; Stewart, S.I.; Fried, J.S.; Holcomb, S.S.; Mckeefry, J.F. The wildland-urban interface in the United States. Ecol. Appl. 2005, 15, 799–805. [Google Scholar] [CrossRef]
- Arabatzis, G. European Union, Common Agricultural Policy (CAP) and the afforestation of agricultural land in Greece. New Medit 2005, 4, 48–54. [Google Scholar]
- Dobbs, C.; Kendal, D.; Nitschke, C.R. Multiple ecosystem services and disservices of the urban forest establishing their connections with landscape structure and sociodemographics. Ecol. Indic. 2014, 43, 44–55. [Google Scholar] [CrossRef]
- Mather, A.S. Forest transition theory and the reforesting of Scotland. Scott. Geogr. Mag. 2004, 120, 83–98. [Google Scholar] [CrossRef]
- Frenkel, A. The potential effect of national growth-management policy on urban sprawl and the depletion of open spaces and farmland. Land Use Policy 2004, 21, 357–369. [Google Scholar] [CrossRef]
- Koutsias, N.; Martínez-Fernández, J.; Allgöwer, B. Do factors causing wildfires vary in space? Evidence from geographically weighted regression. GISci. Remote Sens. 2010, 47, 221–240. [Google Scholar] [CrossRef]
- Zomeni, M.; Tzanopoulos, J.; Pantis, J.D. Historical analysis of landscape change using remote sensing techniques: An explanatory tool for agricultural transformation in Greek rural areas. Landsc. Urban Plan. 2008, 86, 38–46. [Google Scholar] [CrossRef]
- Novara, A.; Gristina, L.; Sala, G.; Galati, A.; Crescimanno, M.; Cerdà, A.; La Mantia, T. Agricultural land abandonment in Mediterranean environment provides ecosystem services via soil carbon sequestration. Sci. Total Environ. 2017, 576, 420–429. [Google Scholar] [CrossRef] [PubMed]
- Colantoni, A.; Delfanti, L.; Recanatesi, F.; Tolli, M.; Lord, R. Land use planning for utilizing biomass residues in Tuscia Romana (central Italy): Preliminary results of a multi criteria analysis to create an agro-energy district. Land Use Policy 2016, 50, 125–133. [Google Scholar] [CrossRef]
- Delfanti, L.; Colantoni, A.; Recanatesi, F.; Bencardino, M.; Sateriano, A.; Zambon, I.; Salvati, L. Solar plants, environmental degradation and local socioeconomic contexts: A case study in a Mediterranean country. Environ. Impact Assess. Rev. 2016, 61, 88–93. [Google Scholar] [CrossRef]
- Kelly, C.; Ferrara, A.; Wilson, G.A.; Ripullone, F.; Nolè, A.; Harmer, N.; Salvati, L. Community resilience and land degradation in forest and shrubland socio-ecological systems: Evidence in Gorgoglione, Basilicata, Italy. Land Use Policy 2015, 46, 11–20. [Google Scholar] [CrossRef]
- Kosmas, C.; Karamesouti, M.; Kounalaki, K.; Detsis, V.; Vassiliou, P.; Salvati, L. Land degradation and long-term changes in agro-pastoral systems: An empirical analysis of ecological resilience in Asteroussia—Crete (Greece). Catena 2016, 147, 196–204. [Google Scholar] [CrossRef]
- Salvati, L.; Zitti, M. Land degradation in the Mediterranean basin: Linking bio-physical and economic factors into an ecological perspective. Biota—J. Biol. Ecol. 2005, 5, 67–77. [Google Scholar]
- Monarca, D.; Colantoni, A.; Cecchini, M.; Longo, L.; Vecchione, L.; Carlini, M.; Manzo, A. Energy characterization and gasification of biomass derived by hazelnut cultivation: Analysis of produced syngas by gas chromatography. Math. Probl. Eng. 2012, 2012, 102914. [Google Scholar] [CrossRef]
- Monarca, D.; Cecchini, M.; Colantoni, A. Plant for the production of chips and pellet: Technical and economic aspects of a case study in the central Italy. In Proceedings of the International Conference on Computational Science and Its Applications, Santander, Spain, 20–23 June 2011; Springer: Berlin/Heidelberg, Germany, 2011; pp. 296–306. [Google Scholar]
- Monarca, D.; Cecchini, M.; Guerrieri, M.; Colantoni, A. Conventional and alternative use of biomasses derived by hazelnut cultivation and processing. In Proceedings of the VII International Congress on Hazelnut 845, Viterbo, Italy, 23 June 2008; pp. 627–634. [Google Scholar]
- Boubaker, K.; Colantoni, A.; Marucci, A.; Longo, L.; Gambella, F.; Cividino, S.; Cecchini, M. Perspective and potential of CO2: A focus on potentials for renewable energy conversion in the Mediterranean basin. Renew. Energy 2016, 90, 248–256. [Google Scholar] [CrossRef]
- Pari, L.; Brambilla, M.; Bisaglia, C.; Del Giudice, A.; Croce, S.; Salerno, M.; Gallucci, F. Poplar wood chip storage: Effect of particle size and breathable covering on drying dynamics and biofuel quality. Biomass Bioenergy 2015, 81, 282–287. [Google Scholar] [CrossRef]
- Carlini, M.; Mosconi, E.M.; Castellucci, S.; Villarini, M.; Colantoni, A. An Economical Evaluation of Anaerobic Digestion Plants Fed with Organic Agro-Industrial Waste. Energies 2017, 10, 1165. [Google Scholar] [CrossRef]
- Ceccarelli, T.; Bajocco, S.; Perini, L.; Salvati, L. Urbanisation and Land Take of High Quality Agricultural Soils—Exploring Long-term Land Use Changes and Land Capability in Northern Italy. Int. J. Environ. Res. 2014, 8, 181–192. [Google Scholar]
- Kazemzadeh-Zow, A.; Zanganeh Shahraki, S.; Salvati, L.; Neisani Samani, N. A Spatial Zoning Approach to Calibrate and Validate Urban Growth Models. Int. J. Geogr. Inf. Sci. 2017, 31, 763–782. [Google Scholar] [CrossRef]




| Acronym | Variable | Measurement Unit | Source | Time Interval |
|---|---|---|---|---|
| Agr | Share of cropland in total municipal area | % | Census of land-use | 1960–2010 |
| For | Share of forests in total municipal area | | | | | | |
| Gro | Annual population growth rate | | | Census of population | 1961–2011 |
| Area | Municipal surface area | km2 | Territorial statistics | 1960–2010 |
| Urb | Per capita built-up area | m2 | Census of land-use | | |
| Ele | Average municipal elevation | M | Census of population | Once per time |
| Sea | Proximity to the sea coast | 0: internal; 1: coastal | Territorial statistics | | |
| dAth | Distance from Athens | Km | Our elaboration | | |
| dPir | Distance from Piraeus | | | | | | |
| dMar | Distance from Maroussi | | | | | | |
| dMak | Distance from Markopoulo M. | | | | | | |
| Cqi | Climate quality index | 0–1 | Europ. Env. Agency | | |
| Sqi | Soil quality index | | | | | | |
| Statistic | 1960 | 2010 |
|---|---|---|
| Average | 36.9 | 38.6 |
| Median | 35.2 | 40.3 |
| Median to average | 0.96 | 1.04 |
| Coefficient of variation | 0.86 | 0.80 |
| Maximum value | 96.0 | 88.6 |
| Municipalities with cropland (%) | 83.6 | 87.0 |
| Asymmetry | 0.27 | 0.09 |
| Kurtosis | −1.39 | −1.47 |
| Variable | Beta | Std. Error | t-Statistic | p-Level |
|---|---|---|---|---|
| 1960: Adj-R2 = 0.590, F(5,109) = 33.9, p < 0.001; D-W test = 1.87 | ||||
| dAth | 1.302 | 0.135 | 9.6 | 0.000 |
| For | −0.497 | 0.071 | −7.0 | 0.000 |
| dMar | −0.603 | 0.128 | −4.7 | 0.000 |
| Cqi | 0.155 | 0.065 | 2.4 | 0.018 |
| Urb | −0.128 | 0.062 | −2.1 | 0.042 |
| 1970: Adj-R2 = 0.594, F(6,108) = 28.8, p < 0.001; D-W test = 1.74 | ||||
| dAth | 0.418 | 0.163 | 2.6 | 0.012 |
| For | −0.467 | 0.070 | −6.7 | 0.000 |
| dPir | 0.507 | 0.151 | 3.4 | 0.001 |
| Area | 0.157 | 0.072 | 2.2 | 0.031 |
| dMak | −0.165 | 0.075 | −2.2 | 0.030 |
| Urb | −0.134 | 0.066 | −2.0 | 0.044 |
| 1980: Adj-R2 = 0.546, F(5,109) = 28.4, p < 0.001; D-W test = 1.64 | ||||
| dAth | 0.396 | 0.171 | 2.3 | 0.022 |
| For | −0.374 | 0.074 | −5.1 | 0.000 |
| dPir | 0.410 | 0.158 | 2.6 | 0.011 |
| Area | 0.219 | 0.076 | 2.9 | 0.005 |
| dMak | −0.144 | 0.078 | −1.9 | 0.050 |
| 1990: Adj-R2 = 0.656, F(3,111) = 73.5 p < 0.001, D-W test = 1.92 | ||||
| dAth | 0.743 | 0.060 | 12.5 | 0.000 |
| Gro | 0.204 | 0.059 | 3.5 | 0.001 |
| Cqi | 0.136 | 0.056 | 2.4 | 0.017 |
| 2000: Adj-R2 = 0.693, F(5,109) = 52.6, p < 0.001; D-W test = 2.05 | ||||
| dAth | 0.980 | 0.116 | 8.4 | 0.000 |
| Gro | 0.155 | 0.060 | 2.6 | 0.011 |
| Sqi | 0.167 | 0.055 | 3.1 | 0.003 |
| Cqi | 0.113 | 0.054 | 2.1 | 0.041 |
| dMar | −0.226 | 0.111 | −2.0 | 0.044 |
| 2010: Adj-R2 = 0.749, F(4,110) = 86.0, p < 0.001; D-W test = 2.00 | ||||
| dAth | 0.565 | 0.080 | 7.1 | 0.000 |
| Sqi | 0.305 | 0.048 | 6.3 | 0.000 |
| Gro | 0.251 | 0.048 | 5.2 | 0.000 |
| Urb | 0.272 | 0.080 | 3.4 | 0.001 |
© 2018 by the authors. Licensee MDPI, Basel, Switzerland. This article is an open access article distributed under the terms and conditions of the Creative Commons Attribution (CC BY) license (http://creativecommons.org/licenses/by/4.0/).
Share and Cite
Colantoni, A.; Zambon, I.; Gras, M.; Mosconi, E.M.; Stefanoni, A.; Salvati, L. Clustering or Scattering? The Spatial Distribution of Cropland in a Metropolitan Region, 1960–2010. Sustainability 2018, 10, 2584. https://doi.org/10.3390/su10072584
Colantoni A, Zambon I, Gras M, Mosconi EM, Stefanoni A, Salvati L. Clustering or Scattering? The Spatial Distribution of Cropland in a Metropolitan Region, 1960–2010. Sustainability. 2018; 10(7):2584. https://doi.org/10.3390/su10072584
Chicago/Turabian StyleColantoni, Andrea, Ilaria Zambon, Maria Gras, Enrico Maria Mosconi, Alessandra Stefanoni, and Luca Salvati. 2018. "Clustering or Scattering? The Spatial Distribution of Cropland in a Metropolitan Region, 1960–2010" Sustainability 10, no. 7: 2584. https://doi.org/10.3390/su10072584
APA StyleColantoni, A., Zambon, I., Gras, M., Mosconi, E. M., Stefanoni, A., & Salvati, L. (2018). Clustering or Scattering? The Spatial Distribution of Cropland in a Metropolitan Region, 1960–2010. Sustainability, 10(7), 2584. https://doi.org/10.3390/su10072584

