Planning of Electric Public Transport System under Battery Swap Mode
Abstract
1. Introduction
1.1. Background
1.2. Literature Review
1.3. Objectives and Organization of the Study
2. Materials and Methods
- Rule 1:
- BEB only departs from bus terminal station, running back and forth along the route counts as a round. All BEBs of the same route go to the same BSS for battery swapping, then back to bus terminal station waiting for next round.
- Rule 2:
- BEB won’t go to the BSS during a round until it has finished this round. Namely, if the energy is not enough to support next round, it’s time for the BEB to swap the battery.
- Rule 3:
- When BEB finishes the daily running hours, it heads for the BSS to replace the battery pack with a full one, no matter how much energy is left. Then, back to the bus terminal station for parking, ending the operations of a day.
- Assumption 1:
- Each battery pack in BEB is full initially and will be replaced with another full one when the BEB return to BSS;
- Assumption 2:
- The energy consumption of the battery pack is linearly associated with mileages ignoring the impact of weather and passenger flow;
- Assumption 3:
- The charging time of battery pack is in direct proportion to charging power and charging depth, in inverse proportion to battery energy;
- Assumption 4:
- The swapping and charging facilities in BSS is enough so that each battery pack in BEB arriving at BSS can be swapped and charged without waiting.
2.1. BEB Route Planning
2.1.1. Terminal Station
2.1.2. Route Length
2.1.3. Bus Configuration
2.2. Scheduling Strategies
2.2.1. Departure Period Division
2.2.2. Departure Interval
2.2.3. Scheduling Timetable
2.3. Swapping and Charging Demand Analysis
2.3.1. Time Distribution of Battery Swapping
2.3.2. Charging Time of Battery
2.3.3. Time Distribution of Battery Charging
2.4. Design of the Battery Swap Station
2.4.1. Scale of Battery Packs
- (1)
- Initialize: set the initial number of backup battery packs Nb = 0, the serial number of battery pack i = 1, and the serial number of battery swapping k = 1;
- (2)
- Battery swap: carry out the k-th battery swapping starts;
- (3)
- Judge if there exist battery packs available: If the start time of k-th battery swapping is antecedent to the end time of charging of battery i, there is no battery pack available. Then add a backup battery pack and update the number of backup battery packs Nb = Nb + 1. Otherwise, there is at least one battery pack can be replaced for the moment so that it’s not necessary to update the number of backup battery packs. Then make the serial number of battery pack point to next battery pack, i.e., i = i + 1;
- (4)
- Judge if it is the last battery swapping: if k = kmax, it indicates that there are no battery packs to be swapped anymore. Otherwise, make k = k + 1;
- (5)
- End: return the number of backup battery packs Nb.
2.4.2. Scale of Battery Swapping System
2.4.3. Scale of Battery Charging System
3. Numerical Simulation
3.1. Case Descriptions
3.2. Simulation of Operation
3.3. Evaluation of Operation
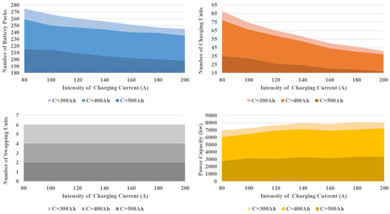
4. Results and Discussion
5. Conclusions
Author Contributions
Funding
Acknowledgments
Conflicts of Interest
Abbreviations
| Parameter | Notation |
| a0 | the design area for each bus (km2) |
| A | the planning land area of the terminal station (km2) |
| l | the distance between terminal station and BSS (km) |
| lmax | the design maximum distance between terminal station and BSS (km) |
| L | route length, i.e., the distance between the departure station and arrival station (km) |
| Lj | the distance between the j-th stop and its next stop |
| C | electric capacity of battery pack (Ah) |
| U | voltage of battery pack (V) |
| E | energy of battery pack (kWh) |
| e | energy consumption of BEB running per kilometer (kWh/km) |
| Tt | the turnover time of the route (min) |
| Tl | the travel time of BEB running from terminal station to BSS |
| Ts | the time each battery swapping should take |
| Tch | the charging charging of battery pack |
| tS | the start of service time of BSS |
| tE | the end of service time of BSS |
| tstop | the average time of each stop (min) |
| V | the average speed of buses (km/h) |
| Range | theoretical maximum driving range of BEB (km) |
| range | actual maximum driving range of BEB (km) |
| Kti | the non-uniformity coefficient of the i-th hour |
| Qi | the passenger volume of the route during the i-th hour |
| Qh | the average passenger volume of the route |
| Pjk | the number of passengers arriving at the k-th bus stop during j-th departure period |
| Pjmax | the maximum number of passengers arriving at a bus stop during j-th departure period |
| PC | the passenger capacity of the route, |
| φ | the average passenger load factor of the route |
| Fj | the maximum frequency of departure during j-th departure period |
| Ij | the actual interval during i-th departure period |
| DOC | depth of charge of battery pack |
| DOD | depth of discharge of battery pack |
| SOC | state of charge of battery pack |
| SOCmin | the minimum value of SOC |
| I | the intensity of charging current |
| α | battery’s charging efficiency |
| δ | the reactive loss of lines |
| ηmax | the max efficiency of the charger |
| γ% | the design margin (10%~20%) |
| Nbus(T) | the number of buses parking in the terminal station |
| Nbus(R) | the number of buses configured for route R |
| Nmax | the maximum number of rounds a BEB can finish without swapping |
| Nbattery | the number of the battery packs the BSS should hold |
| Nb | needed number of the backup battery packs |
| NBb | the actual number of the backup battery packs |
| NRack | the number of charging racks where the battery packs store |
| Nbus(S) | the number of buses the BSS serving for |
| Ncharger | the total number of single chargers in the BSS |
| Ncu | the number of charging unit |
| NSU | the number of battery swapping units |
| nb | the number of batteries composing a battery pack |
| nstop | the number of stops in the route |
| PCU | the charging power of charging unit (kW) |
| Pcharger | output power of single charger |
| PS | the power capacity of battery charging system |
| Departure(m,n) | the m-th departure time of bus n |
| Arrival(m,n) | the m-th arrival time of bus n |
| SwapS (h, n) | the start time of h-th swapping of the bus n |
| SwapE (h, n) | the end time of h-th swapping of the bus n |
| ChargeS(b) | the start time of b-th battery charging |
| ChargeE(b) | the end time of b-th battery charging |
| SwapDis(t) | the time distribution of battery swapping |
| ChargeDis(t) | the time distribution of battery charging. |
References
- Dong, J.; Liu, C.; Lin, Z. Charging infrastructure planning for promoting battery electric vehicles: An activity-based approach using multiday travel data. Transp. Res. Part C Emerg. Technol. 2014, 38, 44–55. [Google Scholar] [CrossRef]
- Maria, V.D.H. CO2 Emissions from Fuel Combustion Highlights, 2014 ed.; International Energy Agency: Paris, France, 2014; p. 10. [Google Scholar]
- Li, Y.; Li, W.; Wei, Y.; Bao, L.; Deng, H. Using personal carbon dioxide trading to promote cleaner cars. Proc. Inst. Civ. Eng. Transp. 2017, 170, 86–98. [Google Scholar] [CrossRef]
- Sellmair, R.; Hamacher, T. Method of Optimization for Infrastructure of Charging Stations for Electric Taxis. In Proceedings of the 93rd Annual Meeting of the Transportation Research Board, Washington, DC, USA, 12–16 January 2014. [Google Scholar]
- Mesbah, M.; Sarvi, M.; Currie, G.; Saffarzadeh, M. Policy-making tool for optimization of transit priority lanes in urban network. Transp. Res. Rec. J. Transp. Res. Board 2010, 2197, 54–62. [Google Scholar] [CrossRef]
- Chen, L.; Wu, M.; Xu, X. The development and applications of charging/battery swap technologies for EVs. In Proceedings of the 5th International Conference on Electricity Distribution, Shanghai, China, 10–14 September 2012. [Google Scholar]
- Mak, H.Y.; Rong, Y.; Shen, Z. Infrastructure Planning for Electric Vehicles with Battery Swapping. Manag. Sci. 2013, 59, 1557–1575. [Google Scholar] [CrossRef]
- Foley, A.M.; Winning, I.J.; Gallachoir, B. State-of-the-art in electric vehicle charging infrastructure. In Proceedings of the IEEE Vehicle Power and Propulsion Conference (VPPC), Lille, France, 1–3 Septermber 2010; pp. 1–6. [Google Scholar]
- Li, W.; Li, Y.; Fan, J.; Deng, H. Siting of Carsharing Stations Based on Spatial Multi-Criteria Evaluation: A Case Study of Shanghai EVCARD. Sustainability 2017, 9, 152. [Google Scholar] [CrossRef]
- Lee, Y.; Kim, H.; Kho, S.; Lee, C. UE-based Location Model of Rapid Charging Stations for EVs with Batteries that Have Different States-of-charge. In Proceedings of the Transportation Research Board 93rd Annual Meeting, Washington, DC, USA, 12–16 January 2014. [Google Scholar]
- Cui, F.; You, X.; Shi, H.; Liu, H. Optimal siting of electric vehicle charging stations using pythagorean fuzzy vikor approach. Math. Probl. Eng. 2018, 2018, 9262067. [Google Scholar] [CrossRef]
- Nie, Y.M.; Ghamami, M. A corridor-centric approach to planning electric vehicle charging infrastructure. Transp. Res. Part B Methodol. 2013, 57, 172–190. [Google Scholar] [CrossRef]
- Yang, J.; Dong, J.; Hu, L. A data-driven optimization-based approach for siting and sizing of electric taxi charging stations. Transp. Res. Part C Emerg. Technol. 2017, 77, 462–477. [Google Scholar] [CrossRef]
- Liu, Y.; Guo, S.; Chen, Z. Site Selection and Scale Determination for Electric Vehicle Charging Stations. In Proceedings of the 91st Annual Meeting of the Transportation Research Board, Washington, DC, USA, 22–26 January 2012. [Google Scholar]
- Kemper, F.P.; Suh, I. Implementation Cost Comparison of Different Types of Electric Vehicle Energy Replenishment Technologies for Public Transit Bus Systems. Transp. Res. Rec. J. Transp. Res. Board 2013, 2352, 11–19. [Google Scholar]
- Wang, X.; Yuen, C.; Hassan, N.U.; An, N.; Wu, W. Electric Vehicle Charging Station Placement for Urban Public Bus Systems. IEEE Trans. Intell. Transp. Syst. 2017, 18, 128–139. [Google Scholar] [CrossRef]
- Rohrbeck, B.; Berthold, K.; Hettich, F. Location Planning of Charging Stations for Electric City Buses Considering Battery Ageing Effects. In Operations Research Proceedings 2017; Springer: Cham, Switzerland, 2018; pp. 701–707. [Google Scholar]
- Liu, N.; Chen, Z.; Liu, J.; Tang, X.; Xiao, X.; Zhang, J. Multi-objective optimization for component capacity of the photovoltaic-based battery switch stations: Towards benefits of economy and environment. Energy 2014, 64, 779–792. [Google Scholar] [CrossRef]
- Yu, Z.; Zhao, Y.D.; Yan, X.; Ke, M.; Jun, H.Z.; Jing, Q. Electric Vehicle Battery Charging/Swap Stations in Distribution Systems: Comparison Study and Optimal Planning. IEEE Trans. Power Syst. 2014, 29, 221–229. [Google Scholar]
- Zhang, T.; Chen, X.; Yu, Z.; Zhu, X.; Shi, D. A Monte-Carlo Simulation Approach to Evaluate Service Capacities of EV Charging and Battery Swapping Stations. IEEE Trans. Ind. Inf. 2018. [Google Scholar] [CrossRef]
- Bobanac, V.; Pandzic, H.; Capuder, T. Survey on electric vehicles and battery swapping stations: Expectations of existing and future EV owners. In Proceedings of the 2018 IEEE International Energy Conference (ENERGYCON), Limassol, Cyprus, 3–7 June 2018. [Google Scholar]
- Kaschub, T.; Paetz, A.; Jochem, P.; Fichtner, W. Feasibility of battery switch stations for local emission free public transport. In Proceedings of the Enerday 7th Conference on Energy Economics and Technology, Dresden, Germany, 27 April 2012. [Google Scholar]
- Dai, Q.; Cai, T.; Duan, S.; Zhao, F. Stochastic Modeling and Forecasting of Load Demand for Electric Bus Battery-Swap Station. IEEE Trans. Power Deliv. 2014, 29, 1909–1917. [Google Scholar] [CrossRef]
- Axsen, J.; Burke, A.; Kurani, K.S. Batteries for Plug-In Hybrid Electric Vehicles (PHEVs): Goals and the State of Technology Circa; Institute of Transportation Studies, University of California: Davis, CA, USA, 2008. [Google Scholar]
- Zhang, X. Research on Integrated Bus and Driver Scheduling. Master’s Thesis, Beijing Jiaotong University, Beijing, China, 2008. [Google Scholar]
- World’s Largest Electric Vehicle Charging and Changing Station Starts Trial Operation. Available online: http://www.sgcc.com.cn/ywlm/mediacenter/inspotlight/09/255598.shtml (accessed on 15 February 2015).








| Serial Number of | Departure Time (m,n) | Arrival Time (m,n) | Serial Number of | Swap Start Time (h,n) | Swap End Time (h,n) | ||
|---|---|---|---|---|---|---|---|
| Round (m) | Bus (n) | Swap (h) | Bus (n) | ||||
| 1 | 1 | 6:00 | 6:30 | 1 | 1 | 10:35 | 10:43 |
| 1 | 2 | 6:10 | 6:40 | 1 | 2 | 10:45 | 10:53 |
| 1 | 3 | 6:20 | 6:50 | 1 | 3 | 10:55 | 11:03 |
| … | … | … | … | … | … | … | … |
| 2 | 1 | 7:00 | 7:30 | 2 | 1 | 18:30 | 18:38 |
| 2 | 2 | 7:05 | 7:35 | 2 | 2 | 18:40 | 18:48 |
| 2 | 3 | 7:10 | 7:40 | 2 | 3 | 18:50 | 18:58 |
| … | … | … | … | … | … | … | … |
| Details | Tunnel No.1 | Tunnel No.2 | Tunnel No.3 | Tunnel No.4 | DZ No.4 | DZ No.31 |
|---|---|---|---|---|---|---|
| Number of Stops | 16 | 8 | 15 | 8 | 41 | 33 |
| Service Time | 05:40–21:00 | 05:30–21:25 | 6:10–21:00 | 6:00–21:00 | 05:50–22:35 | 05:50–22:00 |
| Length of Route | 33 km | 14 km | 28.8 km | 16.5 km | 23 km | 16.5 km |
| Average Speed | 30 km/h | 30 km/h | 30 km/h | 30 km/h | 20 km/h | 20 km/h |
| Distance between Terminal Station and BSS | 13 km | 0.5 km | 12.5 km | 0.5 km | 0.5 km | 0.5 km |
| Turnover Time of the Route * | 148 min | 64 min | 130 min | 74 min | 179 min | 132 min |
| Interval (off-peak) | 6–10 min | 5–8 min | 5–8 min | 5–8 min | 5–8 min | 6–10 min |
| Interval (peak) | 4–6 min | 4–6 min | 4–6 min | 4–6 min | 4–5 min | 5–8 min |
| Parameter | C | nb | U | I | E | Range | SOCm | ηmax | φ | |
|---|---|---|---|---|---|---|---|---|---|---|
| Value | 300 Ah | 9 | 750 V | 80 A | 225 kWh | 180 km | 20% | 85% | 90% | 20% |
| Operation Parameters | Average Daily Mileage | Average Daily Swapping Times | Average Charging Time | Max Driving Range per Charge | Energy Consumption |
|---|---|---|---|---|---|
| Simulated Value | 204 km | 1.83 | 139 min | 130.86 km | 1.25 kWh/km |
| Actual Value | 190 km | 2.00 | 144 min | 132.68 km | 1.2 kWh/km |
| Deviation | 7.37% | −8.50% | −3.47% | −1.37% | 4.17% |
| Scales | NBus | NBattery | NRack | NSU | NCU | NCharger | PCU | PCharger | PS |
|---|---|---|---|---|---|---|---|---|---|
| Simulated Value | 180 | 275 | 95 | 6 | 88 | 792 | 78 kW | 8.67 kW | 6.9 MW |
| Actual Value | 180 | 300 | 120 | 6 | 120 | 1080 | 90 kW | 10 kW | 8 MW |
| Deviation | 0.00% | −8.33% | −20.83% | 0.00% | −26.67% | −26.67% | −13.33% | −13.33% | −13.75% |
© 2018 by the authors. Licensee MDPI, Basel, Switzerland. This article is an open access article distributed under the terms and conditions of the Creative Commons Attribution (CC BY) license (http://creativecommons.org/licenses/by/4.0/).
Share and Cite
Li, W.; Li, Y.; Deng, H.; Bao, L. Planning of Electric Public Transport System under Battery Swap Mode. Sustainability 2018, 10, 2528. https://doi.org/10.3390/su10072528
Li W, Li Y, Deng H, Bao L. Planning of Electric Public Transport System under Battery Swap Mode. Sustainability. 2018; 10(7):2528. https://doi.org/10.3390/su10072528
Chicago/Turabian StyleLi, Wenxiang, Ye Li, Haopeng Deng, and Lei Bao. 2018. "Planning of Electric Public Transport System under Battery Swap Mode" Sustainability 10, no. 7: 2528. https://doi.org/10.3390/su10072528
APA StyleLi, W., Li, Y., Deng, H., & Bao, L. (2018). Planning of Electric Public Transport System under Battery Swap Mode. Sustainability, 10(7), 2528. https://doi.org/10.3390/su10072528

