Sustainability of Abandoned Slopes in the Hill and Gully Loess Plateau Region Considering Deep Soil Water
Abstract
1. Introduction
2. Materials and Methods
2.1. Study Site
2.2. Soil Water
2.3. Statistical Analysis
3. Results
3.1. Deep Soil Water in Different Vegetation Types and Slope Aspects
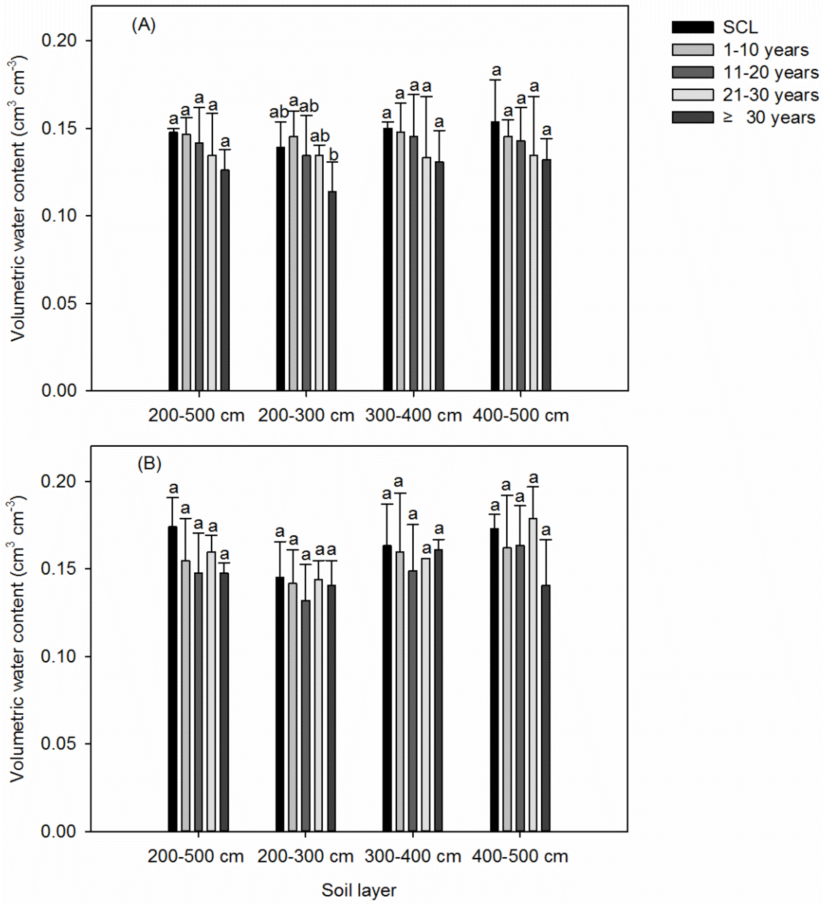
3.2. Deep Soil Water at Different Stages on Natural Abandoned Slopes
3.3. Deep Soil Water at Different Stages on R. pseudoacacia Plantations
3.4. Deep Soil Water at Different Stages on C. korshinskii Plantations
4. Discussion
4.1. Response of Deep Soil Water to Vegetation Types and Slope Aspects
4.2. Sustainability of Deep Soil Water on Natural Abandoned Slopes
4.3. Sustainability of Deep Soil Water on R. pseudoacacia Plantations
4.4. Sustainability of Deep Soil Water on C. korshinskii Plantations
5. Conclusions
Author Contributions
Funding
Acknowledgments
Conflicts of Interest
References
- Wang, Y.; Fu, B.; Lv, Y.; Chen, L. Effects of vegetation restoration on soilorganic carbon sequestration at multiple scales in semi-arid Loess Plateau, China. CATENA 2011, 85, 58–66. [Google Scholar] [CrossRef]
- Song, B.; Yan, M.; Hou, H.; Guan, J.; Shi, W.; Li, G.; Du, S. Distribution of soil carbon and nitrogen in two typical forests in the semiarid region of the Loess Plateau, China. CATENA 2016, 143, 159–166. [Google Scholar] [CrossRef]
- Zhang, J.; Dong, Y. Factors affecting species diversity of plant communities and the restoration process in the loess area of China. Ecol. Eng. 2010, 36, 345–350. [Google Scholar] [CrossRef]
- Chen, L.; Wei, W.; Fu, B.; Lu, Y. Soil and water conservation on the Loess Plateau in China: Review and perspective. Prog. Phys. Geogr. 2007, 31, 389–403. [Google Scholar] [CrossRef]
- Ai, Z.M.; Chen, Y.; Cao, Y. Storage and allocation of carbon and nitrogen in Robinia pseudoacacia plantation at different ages in the loess hilly region, China. J. Appl. Ecol. 2014, 25, 333–341, (In Chinese with English abstract). [Google Scholar]
- Jia, X.; Shao, M.; Zhu, Y.; Luo, Y. Soil moisture decline due to afforestation across the Loess Plateau, China. J. Hydrol. 2017, 546, 113–122. [Google Scholar] [CrossRef]
- Jian, S.; Zhao, C.; Fang, S.; Yu, K. Effects of different vegetation restoration on soil water storage and water balance in the Chinese Loess Plateau. Agric. For. Meteorol. 2015, 206, 85–96. [Google Scholar] [CrossRef]
- Deng, L.; Wang, K.; Shangguan, Z. Long-term natural succession improves nitrogen storage capacity of soil on the Loess Plateau, China. Soil Res. 2014, 52, 262–270. [Google Scholar] [CrossRef]
- Zhu, B.; Li, Z.; Li, P.; Liu, G.; Xue, S. Soil erodibility, microbial biomass, and physical–chemical property changes during long-term natural vegetation restoration: A case study in the Loess Plateau, China. Ecol. Res. 2010, 25, 531–541. [Google Scholar] [CrossRef]
- Wang, L.; D’Odorico, P.; Evans, J.P.; Eldridge, D.J.; Mccabe, M.F.; Caylor, K.K. Dry land ecohydrology and climate change: Critical issues and technical advances. Hydrol. Earth Syst. Sci. 2012, 16, 2585–2603. [Google Scholar] [CrossRef]
- Chen, H.S.; Shao, M.A.; Li, Y.Y. Soil desiccation in the Loess Plateau of China. Geoderma 2008, 143, 91–100. [Google Scholar] [CrossRef]
- Jia, X.; Shao, M.; Zhao, C.; Zhang, C. Spatiotemporal characteristics of soil water storage along regional transect on the Loess Plateau, China. CLEAN Soil Air Water 2017, 45. [Google Scholar] [CrossRef]
- Li, Y.S. Effects of forest on water circle on the Loess Plateau. J. Nat. Resour. 2001, 16, 427–432, (In Chinese with English abstract). [Google Scholar]
- Cao, Y.; Zhao, Z.; Qu, M.; Cheng, X.; Wang, D. Effects of Robinia pseudoacacia roots on deep soil moisture status. Chin. J. Appl. Ecol. 2006, 17, 765–768, (In Chinese with English abstract). [Google Scholar]
- Li, Y.S. The Properties of water cycle in soil and their effect on water cycle for land in the Loess region. Acta Ecol. Sin. 1983, 3, 91–101, (In Chinese with English abstract). [Google Scholar]
- Gao, X.; Wu, P.; Zhao, X.; Zhang, B.; Wang, J.; Shi, Y. Estimating the spatial means and variability of root-zone soil moisture in gullies using measurements from nearby uplands. J. Hydrol. 2013, 476, 28–41. [Google Scholar] [CrossRef]
- Wang, Y.; Hu, W.; Zhu, Y.; Shao, M.A.; Xiao, S.; Zhang, C. Vertical distribution and temporal stability of soil water in 21-m profiles under different land uses on the Loess Plateau in China. J. Hydrol. 2015, 527, 543–554. [Google Scholar] [CrossRef]
- Chen, H.; Shao, M.; Li, Y. The characteristics of soil water cycle and water balance on steep grassland under natural and simulated rainfall conditions in the Loess Plateau of China. J. Hydrol. 2008, 360, 242–251. [Google Scholar] [CrossRef]
- Nepstad, D.; Lefebvre, P.; Da Silva, U.L.; Tomasella, J.; Schlesinger, P.; Sol´orzano, L.; Moutinho, P.; Ray, D.; Benito, J.G. Amazon drought and its implications for forest flammability and tree growth: A basin-wide analysis. Glob. Chang. Biol. 2004, 10, 704–717. [Google Scholar] [CrossRef]
- Shinoda, M.; Nachinshonhor, G.U.; Nemoto, M. Impact of drought on vegetation dynamics of the Mongolian steppe: A field experiment. J. Arid Environ. 2010, 74, 63–69. [Google Scholar] [CrossRef]
- Li, J.; Chen, B.; Li, X.; Zhao, Y.; Ciren, Y.; Jiang, B.; Hu, W.; Cheng, J.; Shao, M. Effects of deep soil desiccation on artificial forestlands in different vegetation zones on the Loess Plateau of China. Acta. Ecol. Sin. 2008, 28, 1429–1445, (In Chinese with English abstract). [Google Scholar]
- Wang, Y.; Shao, M.; Liu, Z. Large-scale spatial variability of dried soil layers and related factors across the entire Loess Plateau of China. Geoderma 2010, 159, 99–108. [Google Scholar] [CrossRef]
- Wang, Y.; Shao, M.; Liu, Z.; Zhang, C. Characteristics of dried soil layers under apple orchards of different ages and their applications in soil water managements on the loess plateau of China. Pedosphere 2015, 25, 546–554. [Google Scholar] [CrossRef]
- Li, M.; Zhang, X.; Pang, G.; Han, F. The estimation of soil organic carbon distribution and storage in a small catchment area of the Loess Plateau. CATENA 2013, 101, 11–16. [Google Scholar] [CrossRef]
- Wang, N.; Jiao, J.Y.; Du, H.D.; Wang, D.L.; Jia, Y.F.; Chen, Y. The role of local species pool, soil seed bank and seedling pool in natural vegetation restoration on abandoned slope land. Ecol. Eng. 2013, 52, 28–36. [Google Scholar] [CrossRef]
- Yin, Q.; Jiao, J.; Kou, M. The soil moisture characteristics under different vegetation types after extremely heavy rainfall on the hilly-gullied Loess Plateau. J. Nat. Resour. 2015, 30, 459–469, (In Chinese with English abstract). [Google Scholar]
- Wang, L.; Shao, M.A.; Wang, Q.J.; Jia, Z.K. Review of research on soil desiccation in the Loess Plateau. CSAE 2004, 20, 27–31, (In Chinese with English abstract). [Google Scholar]
- Yang, W.Z.; Tian, J.L. Essential exploration of soil aridization in Loess Plateau. Acta Pedol. Sin. 2004, 41, 1–6, (In Chinese with English abstract). [Google Scholar]
- Zhang, C.; Shao, M.; Wang, Y. Spatial distribution of dried soil layers under different vegetation types at slope scale in loess region. CSAE 2012, 28, 102–108, (In Chinese with English abstract). [Google Scholar]
- Duan, L.; Huang, M.; Li, Z.; Zhang, Z.; Zhang, L. Estimation of spatial mean soil water storage using temporal stability at the hill slope scale in black locust (Robinia pseudoacacia) stands. CATENA 2017, 56, 51–61. [Google Scholar] [CrossRef]
- Jia, Y.; Shao, M. Dynamics of deep soil moisture in response to vegetational restoration on the Loess Plateau of China. J. Hydrol. 2014, 519, 523–531. [Google Scholar] [CrossRef]
- Wang, Z.; Liu, B.; Liu, G.; Zhang, Y. Soil water depletion depth by planted vegetation on the Loess Plateau. Sci. China Ser. D 2009, 52, 835–842. [Google Scholar] [CrossRef]
- Duan, L.; Huang, M.; Zhang, L. Differences in hydrological responses for different vegetation types on a steep slope on the Loess Plateau, China. J. Hydrol. 2016, 537, 356–366. [Google Scholar] [CrossRef]
- Wang, L.; Wei, S.; Horton, R.; Shao, M. Effects of vegetation and slope aspect on water budget in the hill and gully region of the Loess Plateau of China. CATENA 2011, 87, 90–100. [Google Scholar] [CrossRef]
- Wang, G.; Liu, G.; Chang, X.; Xu, M. A study on the effect of soil water on vegetation rehabilitation in watershed of loess hilly area. J. Nat. Res. 2002, 17, 339–344, (In Chinese with English abstract). [Google Scholar]
- Chen, H.; Shao, M.; Wang, K. Desiccation of deep soil layer and soil water cycle characteristics on the Loess Plateau. Acta Ecol. Sin. 2005, 25, 2491–2498, (In Chinese with English abstract). [Google Scholar]
- Liu, X.L.; Ma, L.H.; Yang, R.H.; Wu, P.T.; Wang, Y.K. Deep soil water depletion characteristic of Jujube plantation in Loess semiarid region. CSAM 2014, 45, 139–145, (In Chinese with English abstract). [Google Scholar]
- Li, L.; Wang, X.; Shao, M.; Zhao, Y.; Li, X. Simulation of biomass and soil desiccation of Robinia pseudoacacia forestlands on semi-arid and semi-humid regions of China’s Loess Plateau. Chin. J. Plant Ecol. 2010, 3, 330–339, (In Chinese with English abstract). [Google Scholar]
- Jiao, J.; Wang, W.; Li, J. Effective cover rate of woodland and grassland for soil and water conservation. Chin. J. Plant Ecol. 2000, 1, 608–612, (In Chinese with English abstract). [Google Scholar]
- Wang, L. The Relation between Soil Water Deficiency and Vegetation Growth in Northern Shaanxi Loess Plateau. Ph.D. Thesis, Northwest A&F University, Yangling, China, 2002. (In Chinese with English abstract). [Google Scholar]
- Jiao, J.; Tzanopoulos, J.; Xofis, P.; Mitchley, J. Factors affecting distribution of vegetation types on abandoned cropland in the hilly-gullied Loess Plateau region of China. Pedosphere 2008, 18, 24–33. [Google Scholar] [CrossRef]









| Recovery Stage | Number of Slope (°) | Canopy Density (%) | Coverage of Natural Vegetation (%) | Community | |||||
|---|---|---|---|---|---|---|---|---|---|
| Sunny | Shady | Sunny | Shady | Sunny | Shady | Sunny | Shady | ||
| CK | Slope cropland | 3 | 3 | 0 | 0 | Zea mays or Solanum tuberosum | Zea mays | ||
| NAS | 1–10 years | 10 | 15 | 30 | 31 | Artemisia scoparia or Aneurolepidium dasystachy or Lespedeza davurica | Artemisia scoparia or Aneurolepidium dasystachy or Lespedeza davurica or Artemisia gmelinii | ||
| 11–20 years | 29 | 22 | 40 | 39 | Lespedeza davurica or Stipa bungeana or Bothriochloa ischaemum or Artemisia gmelinii | Aneurolepidium dasystachy or Stipa bungeana or Bothriochloa ischaemum | |||
| 21–30 years | 3 | 3 | 64 | 44 | Bothriochloa ischaemum | Stipa bungeana or Artemisia gmelinii | |||
| ≥30 years | 3 | 2 | 75 | 63 | Bothriochloa ischaemum | Artemisia gmelinii | |||
| RPP | 1–10 years | 5 | 5 | 10 | 10 | 32 | 22 | Artemisia scoparia or Ruta graveolens or Stipa bungeana | Artemisia scoparia |
| 11–20 years | 20 | 17 | 52 | 35 | 14 | 36 | Artemisia gmelinii or Lespedeza davurica | Artemisia gmelinii or Stipa bungeana | |
| 21–30 years | 6 | 6 | 55 | 63 | 39 | 64 | Artemisia gmelinii or Lespedeza davurica or Bothriochloa ischaemum | Artemisia gmelinii | |
| ≥30 years | 2 | 4 | 42 | 48 | 51 | 47 | Stipa bungeana or Ruta graveolens | Rubus corchorifolius | |
| CKP | 1–10 years | 2 | 58 | 18 | Aneurolepidium dasystachy or Stipa bungeana | ||||
| 11–20 years | 2 | 70 | 20 | Artemisia gmelinii | |||||
| 21–30 years | 4 | 46 | 42 | Artemisia gmelinii | |||||
| ≥30 years | 2 | 34 | 50 | Artemisia gmelinii | |||||
© 2018 by the authors. Licensee MDPI, Basel, Switzerland. This article is an open access article distributed under the terms and conditions of the Creative Commons Attribution (CC BY) license (http://creativecommons.org/licenses/by/4.0/).
Share and Cite
Yu, W.; Jiao, J. Sustainability of Abandoned Slopes in the Hill and Gully Loess Plateau Region Considering Deep Soil Water. Sustainability 2018, 10, 2287. https://doi.org/10.3390/su10072287
Yu W, Jiao J. Sustainability of Abandoned Slopes in the Hill and Gully Loess Plateau Region Considering Deep Soil Water. Sustainability. 2018; 10(7):2287. https://doi.org/10.3390/su10072287
Chicago/Turabian StyleYu, Weijie, and Juying Jiao. 2018. "Sustainability of Abandoned Slopes in the Hill and Gully Loess Plateau Region Considering Deep Soil Water" Sustainability 10, no. 7: 2287. https://doi.org/10.3390/su10072287
APA StyleYu, W., & Jiao, J. (2018). Sustainability of Abandoned Slopes in the Hill and Gully Loess Plateau Region Considering Deep Soil Water. Sustainability, 10(7), 2287. https://doi.org/10.3390/su10072287
