Growing Urbanization and the Impact on Fine Particulate Matter (PM2.5) Dynamics
Abstract
1. Introduction
2. Materials and Methodology
2.1. Populations and Large Cities
2.2. PM2.5 Concentration Trends in Large Cities
2.3. Scaling Relationship Analysis
2.4. Potential Contribution of Urbanization to PM2.5 Concentration
3. Results and Discussion
4. Conclusions
- (1)
- Trends in PM2.5 varied among global regions. Central and Eastern U.S. were observed to have significant negative trends. The northeast, east, south, and southeast of China, India, and the Arabian Peninsula were found to have significant positive trends.
- (2)
- The contribution of population to PM2.5 changes were greatly varied among continents, and between high-income and low- and mid-income countries. Except for large cities in Asia, which had a 4.12 ± 4.27 μg/m3·year per million population increase, all large cities on the rest of the continents were found with contributions less than or near to 4.12 ± 4.27 μg/m3·year per million population. While, large cities in the U.S. had a negative contribution to PM2.5 concentrations, large cities in China and India had positive contributions to PM2.5 concentrations.
- (3)
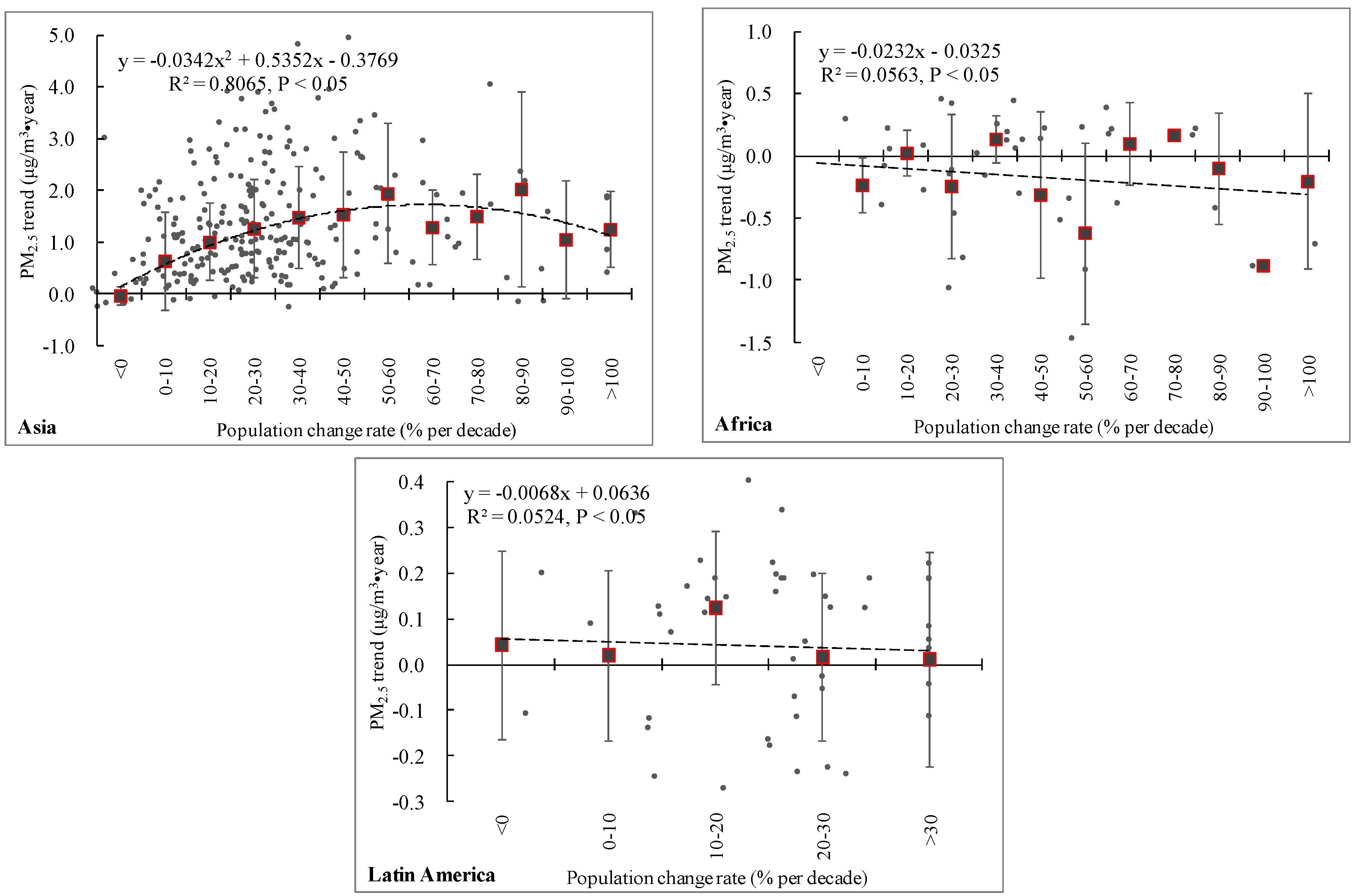
- Different global areas identified diverse relationships between PM2.5 trends and population change rates in large cities. Other than the relationships in large cities in North America and Europe, a significant inverse “U-type” relationship (p < 0.05) was found between PM2.5 trends and population change rates in large cities in Asia. Particularly was China’s unique inverse “U-type” relationship between PM2.5 trends and population change rates in large cities. Cities with increasing PM2.5 trends were observed to have population increase rates of less than 60%, but cities with decreasing PM2.5 trends were observed to have population increase rates of more than 60%.
Supplementary Materials
Author Contributions
Acknowledgments
Conflicts of Interest
References
- Population Division, Department of Economic and Social Affairs, United Nations. World Urbanization Prospects: The 2011 Revision; Population Division; Department of Economic and Social Affairs, United Nations: New York, NY, USA, 2012. [Google Scholar]
- Peng, J.; Shen, H.; Wu, W.; Liu, Y.; Wang, Y. Net primary productivity (NPP) dynamics and associated urbanization driving forces in metropolitan areas: A case study in Beijing City, China. Landsc. Ecol. 2016, 31, 1077–1092. [Google Scholar] [CrossRef]
- OECD. OECD Environmental Outlook to 2050: The Consequences of Inaction; OECD Publishing: Paris, France, 2012. [Google Scholar]
- Han, L.; Zhou, W.; Li, W. An optimum city size? The scaling relationship for urban population and fine particulate (PM2.5) concentration. Environ. Pollut. 2016, 208, 96–101. [Google Scholar] [CrossRef] [PubMed]
- Lamsal, L.; Martin, R.; Parrish, D.; Krotkov, N. Scaling Relationship for NO2 pollution and urban population size: A satellite perspective. Environ. Sci. Technol. 2013, 47, 7855–7861. [Google Scholar] [CrossRef] [PubMed]
- Lim, S.S.; Vos, T.; Flaxman, A.D.; Danaei, G.; Shibuya, K.; Adair-Rohani, H.; AlMazroa, M.A.; Amann, M.; Anderson, H.R.; Andrews, K.G.; et al. A comparative risk assessment of burden of disease and injury attributable to 67 risk factors and risk factor clusters in 21 regions, 1990–2010: A systematic analysis for the Global Burden of Disease Study 2010. Lancet 2012, 380, 2224–2260. [Google Scholar] [CrossRef]
- Han, L.; Zhou, W.; Li, W.; Li, L. Impact of urbanization level on urban air quality: A case of fine particles (PM2.5) in Chinese cities. Environ. Pollut. 2014, 194, 163–170. [Google Scholar] [CrossRef] [PubMed]
- Gupta, S.; Pebesma, E.; Mateu, J.; Degbelo, A. Air quality monitoring network design optimization for robust land use regression models. Sustainability 2018, 10, 1–27. [Google Scholar] [CrossRef]
- Buke, T.; Kone, A. Assessing air quality in Tukey: A proposed, air quality index. Sustainability 2016, 8, 73. [Google Scholar] [CrossRef]
- Wang, Z.; Ke, L.; Cui, X.; Yin, Q.; Liao, L.; Gao, L.; Wang, Z. Monitoring environmental quality by sniffing social media. Sustainability 2017, 9, 85. [Google Scholar] [CrossRef]
- Van Donkelaar, A.; Martin, R.V.; Brauer, M.; Kahn, R.; Levy, R.; Verduzco, C.; Villeneuve, P.J. Global estimates of ambient fine particulate matter concentrations from satellite-based aerosol optical depth: Development and application. Environ. Health Perspect. 2010, 118, 847–855. [Google Scholar] [CrossRef] [PubMed]
- Van Donkelaar, A.; Martin, R.; Brauer, M.; Boys, B. Use of satellite observation for long-term exposure assessment of global concentration of fine particulate matter. Environ. Health Perspect. 2015, 123, 135–143. [Google Scholar] [CrossRef] [PubMed]
- Boys, B.L.; Martin, R.V.; van Donkelaar, A.; MacDonell, R.; Hsu, N.C.; Cooper, M.J.; Yantosca, R.M.; Lu, Z.; Streets, D.G.; Zhang, Q.; et al. Fifteen-year global time series of satellite-derived fine particulate matter. Environ. Sci. Technol. 2014, 48, 11109–11118. [Google Scholar] [CrossRef] [PubMed]
- Schneider, A.; Friedl, M.; Potere, D. A new map of global urban extent from MODIS satellite data. Environ. Res. Lett. 2009, 4, 044003. [Google Scholar] [CrossRef]
- Schneider, A.; Friedl, M.; Potere, D. Monitoring urban areas globally using MODIS 500m data: New methods and datasets based on ‘urban ecoregions’. Remote Sens. Environ. 2010, 114, 1733–1746. [Google Scholar] [CrossRef]
- Han, L.; Zhou, W.; Li, W. City as a major source area of PM2.5 in China. Environ. Pollut. 2015, 206, 183–187. [Google Scholar] [CrossRef] [PubMed]
- Peng, J.; Chen, S.; Lv, H.; Liu, Y.; Wu, J. Spatiotemporal pattern of remotely sensed PM2.5 concentration in China from 1999 to 2011. Remote Sens. Environ. 2016, 174, 109–121. [Google Scholar] [CrossRef]
- Han, L.; Zhou, W.; Li, W. Increasing impact of urban PM2.5 in China. Sci. Rep. 2015, 5, 12467. [Google Scholar] [CrossRef] [PubMed]
- Lin, C.; Yang, K.; Huang, J.; Tang, W.; Qin, J.; Niu, X.; Chen, Y.; Chen, D.; Lu, N.; Fu, R. Impact of wind stilling on solar radiation variability in China. Sci. Rep. 2015, 5, 15135. [Google Scholar] [CrossRef] [PubMed]
- Robichaud, A.; Ménard, R. Multi-year objective analyses of warm season ground-level ozone and PM2.5 over North America using real-time observations and Canadian operational air quality models. Atmos. Chem. Phys. 2014, 14, 1769–1800. [Google Scholar] [CrossRef]
- Castellanos, P.; Folkert Boersma, F. Reductions in nitrogen oxides over Europe driven by evironmental policy and economic recession. Sci. Rep. 2012, 2, 265. [Google Scholar] [CrossRef] [PubMed]
- Stern, D.; Common, M.; Barbier, E. Economic growth and environmental degradation: The envrionmental Kuznets curve and sustainable development. World Dev. 1996, 24, 1151–1160. [Google Scholar] [CrossRef]
- Jacob, D.; Winner, D. Effect of climate change on air quality. Atmos. Environ. 2009, 43, 51–63. [Google Scholar] [CrossRef]
- Tai, A.; Mickley, L.; Jacob, D. Correlations between fine particulate matter (PM2.5) and meteorological variables in the United States: Implications for the sensitivity of PM2.5 to climate change. Atmos. Environ. 2010, 44, 3976–3984. [Google Scholar] [CrossRef]
- Jeong, J.; Park, R. Effect of the meteorological variability on regional air quality in East Asia. Atmos. Environ. 2013, 69, 46–55. [Google Scholar] [CrossRef]
- Huang, R.J.; Zhang, Y.; Bozzetti, C.; Ho, K.F.; Cao, J.J.; Han, Y.; Daellenbach, K.R.; Slowik, J.G.; Platt, S.M.; Canonaco, F.; et al. High secondary aerosol contribution to particulate pollution during haze events in China. Nature 2014, 514, 218–222. [Google Scholar] [CrossRef] [PubMed]







© 2018 by the authors. Licensee MDPI, Basel, Switzerland. This article is an open access article distributed under the terms and conditions of the Creative Commons Attribution (CC BY) license (http://creativecommons.org/licenses/by/4.0/).
Share and Cite
Han, L.; Zhou, W.; Li, W. Growing Urbanization and the Impact on Fine Particulate Matter (PM2.5) Dynamics. Sustainability 2018, 10, 1696. https://doi.org/10.3390/su10061696
Han L, Zhou W, Li W. Growing Urbanization and the Impact on Fine Particulate Matter (PM2.5) Dynamics. Sustainability. 2018; 10(6):1696. https://doi.org/10.3390/su10061696
Chicago/Turabian StyleHan, Lijian, Weiqi Zhou, and Weifeng Li. 2018. "Growing Urbanization and the Impact on Fine Particulate Matter (PM2.5) Dynamics" Sustainability 10, no. 6: 1696. https://doi.org/10.3390/su10061696
APA StyleHan, L., Zhou, W., & Li, W. (2018). Growing Urbanization and the Impact on Fine Particulate Matter (PM2.5) Dynamics. Sustainability, 10(6), 1696. https://doi.org/10.3390/su10061696
