Reserving Charging Decision-Making Model and Route Plan for Electric Vehicles Considering Information of Traffic and Charging Station
Abstract
1. Introduction
- (1)
- The proposed reserving charging decision-making model simultaneously involves the information of traffic conditions, charging resources and charging prices, as well as charging and moving performance of electric vehicles, so that charging reservations and route plans are more feasible.
- (2)
- Considering both energy consumption and time consumption from the initial position to the destination passing by a charging station, an optimization model with two objective functions is established. In this way, to obtain feasible solution set of optimizations, the weight of each graph edge of traffic network is respectively set as driving time and driving distance.
2. Background
3. Characteristics of Transportation Network, Charging Stations and Electric Vehicles
3.1. Transportation Network Model
3.2. Charging Station Model
3.2.1. Available Charging Piles
3.2.2. Minimal Waiting Time at Charging Stations
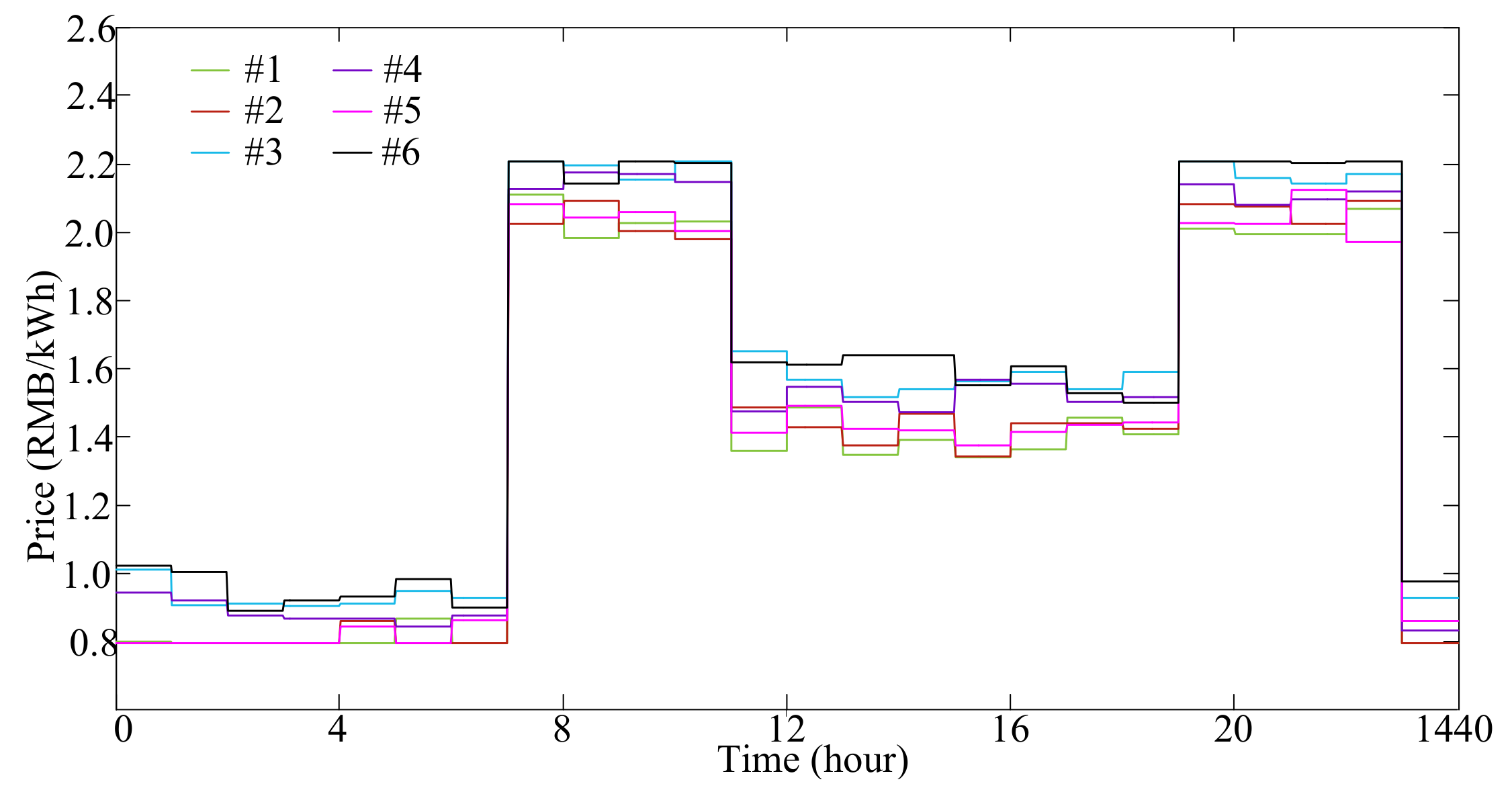
3.2.3. Charging Prices
3.3. Electric Vehicle Model
3.3.1. Charging Characteristics of EV
3.3.2. Moving Characteristics of EV
4. Information Interactive Mechanism and Credit Mechanism
4.1. Information Interactive Mechanism Involving Vehicle Navigation, Charging Stations and EV
4.1.1. EV Battery Energy Management System
4.1.2. Operation Management System of Charging Station
4.1.3. Vehicle Navigation System
4.1.4. Information Interactive Mechanism
- (1)
- The information interaction between every involved part is reliable and safe.
- (2)
- Time delay during the process of information transmission and information processing is small enough and can be ignored.
4.2. Credit Mechanism
5. Reserving Charging Decision-Making Model
5.1. Objective Functions
5.1.1. Objective of Minimizing Driving Time
5.1.2. Objective of Minimizing Charging Expenses
5.2. Constraint Conditions
6. Solution Procedure
6.1. Weighted Directed Graph Based K Shortest Paths Algorithm
6.2. Solving Procedure
- (1)
- When charging request is proposed, the reserving charging system obtains information of the EV (including position, destination, remaining SOC and expected SOC when arriving at destination), information of traffic conditions (including topology, traffic volume and maximum speed limit), and information of charging resources (including positions of charging stations, available charging piles and charging prices).
- (2)
- For charging station i, the reserving charging system searches for K shortest routes from initial position to the charging station using K shortest paths algorithm and calculates the driving distances. If station i is out of remaining mileage range of the EV, it is out of option.
- (3)
- Reserving charging system calculates driving distances, driving time and energy consumptions of K routes from i-th charging station to destination based on K shortest paths algorithm.
- (4)
- Reserving charging system calculates needed charging power, charging time and waiting time at i-th charging station. If waiting time at station i is longer than a given value, i-th charging station is out of option.
- (5)
- Reserving charging system calculates charging fees C and total time consumption T for choosing charging station i and corresponding routes.
- (6)
- Reserving charging system respectively obtains results with minimal time consumption and minimal charging expense among all possible routes obtained through K shortest paths algorithm.
- (7)
- The EV user chooses reserving charging strategy and route according to his/her preference for time consumption and expenses, and submits the reservation, including starting time and finishing time of charging.
- (8)
- Charging stations check reservation information. If reservation request is not accepted by selected charging station, the EV user has to turn to the suboptimal charging station, until charging reservation is accepted by a certain charging station.
7. Case Studies
7.1. Data Information
7.2. Reserving Charging Strategy and Route Selection With Minimal Time Consumption
7.3. Reserving Charging Strategy and Route Selection with Minimal Expense
7.4. Analysis of Optimal Results with Different Weights for Two Objectives
8. Conclusions
Author Contributions
Acknowledgments
Conflicts of Interest
Appendix A
| Road (p,q) | Road Length lpq (km) | Average Speed vpq (km/hour) | Road (p,q) | Road Length lpq (km) | Average Speed vpq (km/hour) | Road (p,q) | Road Length lpq (km) | Average Speed vpq (km/hour) |
|---|---|---|---|---|---|---|---|---|
| (1,2) | 3.5 | 40 | (18,11) | 4.7 | 60 | (35,26) | 5.4 | 70 |
| (1,5) | 6.8 | 60 | (18,19 | 2 | 60 | (35,34) | 3.4 | 50 |
| (1,10) | 10.5 | 60 | (18,26) | 2 | 60 | (35,36) | 2.2 | 40 |
| (2,1) | 3.5 | 40 | (19,12) | 4 | 40 | (35,39) | 2.9 | 50 |
| (2.3) | 3.3 | 40 | (19,18) | 2 | 60 | (36,27) | 4.4 | 40 |
| (2,6) | 5.4 | 60 | (19,20) | 2.8 | 60 | (36,35) | 2.2 | 40 |
| (3,2) | 3.3 | 40 | (19,27) | 2 | 50 | (36,40) | 2.3 | 40 |
| (3,4) | 5.8 | 50 | (20,13) | 4 | 50 | (37,28) | 5 | 40 |
| (3,7) | 5.4 | 50 | (20,19) | 2.8 | 70 | (37,38) | 5.1 | 40 |
| (4,3) | 5.8 | 50 | (20,21) | 5.5 | 50 | (37,40) | 2.1 | 60 |
| (4,8) | 8.5 | 40 | (20,28) | 2.2 | 40 | (38,29) | 7.4 | 40 |
| (4,25) | 15 | 40 | (21,20) | 5.5 | 70 | (38,37) | 5.1 | 40 |
| (5,1) | 6.8 | 60 | (21,22) | 3.2 | 60 | (38,41) | 2.1 | 50 |
| (5,6) | 2.6 | 40 | (22,16) | 3.1 | 40 | (39,35) | 2.9 | 70 |
| (5,11) | 5.4 | 70 | (22,21) | 3.2 | 70 | (39,40) | 2 | 60 |
| (6,2) | 5.4 | 60 | (22,23) | 2 | 60 | (39,43) | 7.7 | 30 |
| (6,5) | 2.6 | 60 | (22,29) | 4.3 | 40 | (39,47) | 4.1 | 60 |
| (6,7) | 3 | 50 | (23,16) | 4 | 40 | (40,36) | 2.3 | 40 |
| (7,3) | 5.4 | 50 | (23,22) | 2 | 60 | (40,37) | 2.1 | 60 |
| (7,6) | 3 | 70 | (23,24) | 2 | 60 | (40,39) | 2 | 60 |
| (7,8) | 2.5 | 50 | (23,30) | 4.7 | 40 | (40,41) | 6.3 | 50 |
| (7,14) | 3 | 40 | (24,9) | 8.7 | 60 | (41,38) | 2.1 | 50 |
| (8,4) | 8.5 | 40 | (24,23) | 2 | 60 | (41,40) | 6.3 | 50 |
| (8,7) | 2.5 | 70 | (24,25) | 6 | 50 | (41,42) | 4.8 | 60 |
| (8,9) | 1.2 | 40 | (24,31) | 4.6 | 50 | (41,43) * | 2.4 | 40 |
| (8,15) | 3 | 60 | (25,4) | 15 | 40 | (42,30) | 4.8 | 50 |
| (9,8) | 1.2 | 60 | (25,24) | 6 | 50 | (42,41) | 4.8 | 60 |
| (9,16) | 2.6 | 50 | (25,33) | 10.4 | 60 | (42,46) | 3 | 50 |
| (9,24) | 8.7 | 60 | (26,17) | 4.4 | 40 | (43,39) | 7.7 | 30 |
| (10,1) | 10.5 | 60 | (26,18) | 2 | 70 | (43,44) | 1.6 | 60 |
| (10,11) | 3.4 | 50 | (26,27) | 2.2 | 60 | (43,48) | 4.8 | 60 |
| (10,17) | 5.8 | 40 | (26,35) | 5.4 | 50 | (44,43) | 1.6 | 60 |
| (11,5) | 5.4 | 40 | (27,19) | 2 | 40 | (44,45) | 2.4 | 50 |
| (11,10) | 3.4 | 50 | (27,26) | 2.2 | 60 | (44,49) | 4.8 | 40 |
| (11,12) | 2.8 | 40 | (27,28) * | 2.1 | 40 | (45,44) | 2.4 | 50 |
| (11,18) | 4.7 | 60 | (27,36) | 4.4 | 40 | (45,46) | 3.5 | 40 |
| (12,11) | 2.8 | 30 | (28,20) | 2.2 | 40 | (45,50) | 5 | 50 |
| (12,13) | 2.2 | 30 | (28,37) | 5 | 40 | (46,32) | 5 | 40 |
| (12,19) | 4 | 40 | (29,22) | 4.3 | 40 | (46,42) | 3 | 50 |
| (13,12) | 2.2 | 30 | (29,30) | 1.7 | 60 | (46,45) | 3.5 | 40 |
| (13,14) | 5 | 30 | (29,38) | 7.4 | 40 | (46,51) | 3.3 | 40 |
| (13,20) | 4 | 50 | (30,23) | 4.7 | 40 | (47,34) | 4.5 | 40 |
| (14,7) | 3 | 40 | (30,29) | 1.7 | 60 | (47,39) | 4.1 | 60 |
| (14,13) | 5 | 30 | (30,31) * | 2.8 | 50 | (47,48) | 10.8 | 50 |
| (14,15) | 1.4 | 60 | (30,42) | 4.8 | 50 | (48,43) | 4.8 | 60 |
| (14,21) * | 3.3 | 40 | (31,24) | 4.6 | 50 | (48,47) | 10.8 | 50 |
| (15,8) | 3 | 60 | (31,32) | 1.8 | 40 | (48,49) | 1.8 | 40 |
| (15,14) | 1.4 | 30 | (32,31) | 1.8 | 40 | (49,44) | 4.8 | 40 |
| (15,16) | 2 | 40 | (32,33) | 5.5 | 50 | (49,48) | 1.8 | 40 |
| (16,9) | 2.6 | 50 | (32,46) | 5 | 40 | (49,50) | 2.7 | 60 |
| (16,15) | 2 | 30 | (33,25) | 10.4 | 60 | (50,45) | 5 | 50 |
| (16,22) | 3.1 | 40 | (33,32) | 5.5 | 50 | (50,49) | 2.7 | 60 |
| (16,23) | 4 | 40 | (33,51) | 7.7 | 40 | (50,51) | 7.2 | 40 |
| (17,10) | 5.8 | 40 | (34,17) | 8.8 | 50 | (51,33) | 7.7 | 40 |
| (17,26) | 4.4 | 40 | (34,35) | 3.4 | 50 | (51,46) | 3.3 | 40 |
| (17,34) | 8.8 | 50 | (34,47) | 4.5 | 40 | (51,50) | 7.2 | 40 |
References
- Schneider, K.; Gerkensmeyer, C.; Kintner-Meyer, M.; Fletcher, R. Impact assessment of plug-in hybrid vehicles on Pacific Northwest distribution systems. In Proceedings of the IEEE Power and Energy Society General Meeting—Conversion and Delivery of Electrical Energy in the 21st Century, Pittsburgh, PA, USA, 20–24 July 2008. [Google Scholar]
- Yang, J.Y.; Chou, L.D.; Chang, Y.J. Electric-vehicle navigation system based on power consumption. IEEE Trans. Veh. Technol. 2016, 65, 5930–5943. [Google Scholar] [CrossRef]
- Hübner, M.; Zhao, L.; Mirbach, T.; Haubrich, H.J.; Moser, A. Impact of large-scale electric vehicle application on the power supply. In Proceedings of the 2009 IEEE Electrical Power & Energy Conference (EPEC), Piscataway, NJ, USA, 22–23 October 2009. [Google Scholar]
- Green, R.C.; Wang, L.; Alam, M. The impact of plug-in hybrid electric vehicles on distribution networks: A review and outlook. IEEE PES Gen. Meet. Minneap. 2010. [Google Scholar] [CrossRef]
- Munshi, A.A.; Mohamed, A.R.I. Extracting and defining flexibility of residential electrical vehicle charging loads. IEEE Trans. Ind. Inform. 2018, 14, 448–461. [Google Scholar] [CrossRef]
- Clement-Nyns, K.; Haesen, E.; Driesen, J. The impact of charging plug-in hybrid electric vehicles on a residential distribution grid. IEEE Trans. Power Syst. 2010, 25, 371–380. [Google Scholar] [CrossRef]
- Izadkhast, S.; Garcia-Gonzalez, P.; Frias, P. An aggregate model of plug-in electric vehicles for primary frequency control. In Proceedings of the IEEE Power and Energy Society General Meeting (PESGM), Boston, MA, USA, 17–21 July 2016. [Google Scholar]
- Shao, C.; Wang, X.; Wang, X.; Du, C.; Dang, C.; Liu, S. cooperative dispatch of wind generation and electric vehicles with battery storage capacity constraints in SCUC. IEEE Trans. Smart Grid 2014, 5, 2219–2226. [Google Scholar] [CrossRef]
- Sortomme, E.; Hindi, M.M.; MacPherson, S.D.J.; Venkata, S.S. Coordinated charging of plug-in hybrid electric vehicles to minimize distribution system losses. IEEE Trans. Smart Grid 2011, 2, 198–205. [Google Scholar] [CrossRef]
- Qi, W.; Xu, Z.; Shen, Z.J.M.; Hu, Z.; Song, Y. Hierarchical coordinated control of plug-in electric vehicles charging in multifamily dwellings. IEEE Trans. Smart Grid 2014, 5, 1465–1474. [Google Scholar] [CrossRef]
- Chen, J.J.; Yang, J.; Li, M.; Zhou, Q.M.; Jiang, B. An optimal charging strategy for electrical vehicles based on the electricity price with temporal and spatial characteristics. In Proceedings of the IEEE Power and Energy Society General Meeting (PESGM), Boston, MA, USA, 17–21 July 2016. [Google Scholar]
- Guo, Q.; Wang, Y.; Sun, H.; Li, Z.; Zhang, B. Research on architecture of ITS based smart charging guide system. In Proceedings of the IEEE Power and Energy Society General Meeting, San Diego, CA, USA, 24–29 July 2011. [Google Scholar]
- Jurik, T.; Cela, A.; Hamouche, R.; Natowicz, R.; Reama, A.; Niculescu, S.; Julien, J. Energy optimal real-time navigation system. IEEE Intell. Transp. Syst. Mag. 2014, 6, 66–79. [Google Scholar] [CrossRef]
- Wang, Y.; Jiang, J.; Mu, T. Context-aware and energy-driven route optimization for fully electric vehicles via crowdsourcing. IEEE Trans. Intell. Transp. Syst. 2013, 14, 1331–1345. [Google Scholar] [CrossRef]
- Kobayashi, Y.; Kiyama, N.; Aoshima, H.; Kashiyama, M. A route search method for electric vehicles in consideration of range and locations of charging stations. In Proceedings of the IEEE Intelligent Vehicles Symposium (IV), Baden-Baden, Germany, 5–9 June 2011. [Google Scholar]
- Fan, H.; Hou, H.; Ke, X.; Zhu, G.; Chen, W. The optimal charging strategy of EV rational user based on TOU power price. In Proceedings of the International Conference on Industrial Informatics—Computing Technology, Intelligent Technology, Industrial Information Integration (ICIICII), Wuhan, China, 3–4 December 2016. [Google Scholar]
- Rezgui, J.; Cherkaoui, S.; Said, D. A two-way communication scheme for vehicles charging control in the smart grid. In Proceedings of the 8th International Wireless Communications and Mobile Computing Conference (IWCMC), Limassol, Cyprus, 27–31 August 2012. [Google Scholar]
- Sweda, T.M.; Klabjan, D. Finding minimum-cost paths for electric vehicles. In Proceedings of the IEEE International Electric Vehicle Conference, Greenville, SC, USA, 4–8 March 2012. [Google Scholar]
- Xiang, Q.; Kong, L.; Liu, X.; Xu, J.; Wang, W. Auc2Reserve: A differentially private auction for electric vehicle fast charging reservation (invited paper). In Proceedings of the IEEE 22nd International Conference on Embedded and Real-Time Computing Systems and Applications (RTCSA), Daegu, Korea, 17–19 August 2016. [Google Scholar]
- Conway, T. On the effects of a routing and reservation system on the electric vehicle public charging network. IEEE Trans. Intell. Transp. Syst. 2016. [Google Scholar] [CrossRef]
- Cao, Y.; Wang, N.; Kim, Y.J.; Chang, G. A reservation based charging management for on-the-move EV under mobility uncertainty. In Proceedings of the 2015 IEEE Online Conference on Green Communications (OnlineGreenComm), Piscataway, NJ, USA, 10–12 November 2015. [Google Scholar]
- Montoya, A.; Guéret, C.; Mendoza, J.; Villegas, J. The electric vehicle routing problem with nonlinear charging function. Transp. Res. Part B 2017. [Google Scholar] [CrossRef]
- Peugeot.co.uk. Peugeot ION|Technical Data—Peugeot UK. 2017. Available online: http://www.peugeot.co.uk/showroom/ion/5-door/technical-information/ (accessed on 27 July 2017).
- Liu, H.; Niu, M.; Wang, W. Reserving charging strategy for electric vehicles based on combined model of road-charging station-electric vehicle. In Proceedings of the IEEE 2nd Annual Southern Power Electronics Conference (SPEC), Auckland, New Zealand, 5–8 December 2016. [Google Scholar]
- Gnana Swathika, O.V.; Hemamalini, S. Prims-aided dijkstra algorithm for adaptive protection in microgrids. IEEE J. Emerg. Sel. Top. Power Electron. 2016, 4, 1279–1286. [Google Scholar] [CrossRef]











| Charging Station | Nearest Node | Distance from Node (km) | Number of Piles |
|---|---|---|---|
| #1 | 12 | 0 | 4 |
| #2 | 40 | 0 | 4 |
| #3 | 9 | 1 | 5 |
| #4 | 46 | 1 | 6 |
| #5 | 30 | 0 | 4 |
| #6 | 36 | 0 | 4 |
| Weight for Time Consumption | Preferred Charging Station | Time Consumption (min) | Total Expense (RMB) |
|---|---|---|---|
| Case 1: ω1 ≤ 0.68 | #2 | 87.6 | 17.9 |
| Case 2: ω1 > 0.68 | #2 | 70.6 | 22.0 |
© 2018 by the authors. Licensee MDPI, Basel, Switzerland. This article is an open access article distributed under the terms and conditions of the Creative Commons Attribution (CC BY) license (http://creativecommons.org/licenses/by/4.0/).
Share and Cite
Liu, H.; Yin, W.; Yuan, X.; Niu, M. Reserving Charging Decision-Making Model and Route Plan for Electric Vehicles Considering Information of Traffic and Charging Station. Sustainability 2018, 10, 1324. https://doi.org/10.3390/su10051324
Liu H, Yin W, Yuan X, Niu M. Reserving Charging Decision-Making Model and Route Plan for Electric Vehicles Considering Information of Traffic and Charging Station. Sustainability. 2018; 10(5):1324. https://doi.org/10.3390/su10051324
Chicago/Turabian StyleLiu, Haoming, Wenqian Yin, Xiaoling Yuan, and Man Niu. 2018. "Reserving Charging Decision-Making Model and Route Plan for Electric Vehicles Considering Information of Traffic and Charging Station" Sustainability 10, no. 5: 1324. https://doi.org/10.3390/su10051324
APA StyleLiu, H., Yin, W., Yuan, X., & Niu, M. (2018). Reserving Charging Decision-Making Model and Route Plan for Electric Vehicles Considering Information of Traffic and Charging Station. Sustainability, 10(5), 1324. https://doi.org/10.3390/su10051324

