Abstract
Investing in sustainable projects can help tackle the current sustainability challenges. Venture capital investments can contribute significantly to the growth of sustainable start-ups. Sustainable venture capital (SVC) research is just emerging. This paper identifies enablers for sustainable venture capital investments in Saudi Arabia taking into account different stakeholders and firm’s tangible and intangible resources. Using perspectives from venture capital experts in Saudi Arabia and the grey-based Decision-Making Trial and Evaluation Laboratory (DEMATEL) method, this study pinpoints the most critical enablers and investigates their causal and effect interconnections. The methodological process consists of reviewing the SVC literature and consulting the experts to identify the SVC enablers, creating a questionnaire, acquiring the answers from four experts, analyzing the data with grey-based DEMATEL and performing a sensitivity analysis. The government use of international standards, policies and regulations for sustainable investments, the commitment of the venture capitalists to sustainability and their deep understanding of sustainable business models are the most influential enablers. The paper concludes with implications for different actors, limitations and prospective directions for the sustainable venture capital research.
1. Introduction
Starting with the Industrial Revolution, the effects of the human activity on environment became increasingly detrimental []. Investors are becoming conscious of these changes and are including environmental and social clauses in their investment agreements []. Environmentally conscious investments have been receiving more attention from researchers, governments, and industry leaders [,,,]. With the continuous rise of the venture capital financing and to help tackle multiple environmental concerns and surpass the competition, many venture capital firms have integrated environmental, social and governance specifications into the investment process [,,]. Sustainable investing incorporates cleantech investing, socially responsible investing, and impact investing. Start-ups that develop environmentally friendly technologies are targeted by cleantech investors [,,]. Ethical or socially responsible investors prefer companies that offer social benefits [,,,,]. Cleantech and social investing research developed quickly, whereas sustainable investing or impact investing is just entering the picture [,]. Sustainable investing refers to investments in technologies, processes or products with positive environmental, social and economic outcome. Sustainable venture capital (SVC) is a part of the sustainable investing research area []. For this study, we define SVC as a category of financing offered by companies or investment funds to small-scale, young firms with excellent development capabilities that can deliver triple bottom line results. To date, most of the research focuses on specific areas of the sustainable venture capital investments in the USA and Europe, some articles focus on emerging markets and no scientific work evaluates the enablers for SVC investments in the Middle East []. In the following years, the highest level of investment activity in the Middle East will manifest in Saudi Arabia and the United Arab Emirates []. Majority of the venture capital funds in the Middle East headquarter in the United Arab Emirates [,]. However, Saudi Arabia leads the region by investments capacity []. The expected IPO of the Saudi Aramco will boost the liquidity in the market and increase the amount of venture capital investments []. Saudi Arabia has the most significant investment fund in the Middle East—the Public Investment Fund. Planning to manage more than 400 billion U.S. dollars by 2020, the Public Investment Fund is a fundamental actor in the Saudi Vision 2030 and is striving to become the world leading impactful investor [,]. The areas expected to receive most of the venture capital investments are e-commerce, local services, financial services, logistics, software, healthcare, food and beverage, technology and transportation []. This paper identifies enablers for sustainable venture capital investment considering different stakeholders and firm’s resources. Using data collected from Saudi Arabia, we seek to determine and decipher the primary enablers. We analyze the relationships among the enablers with the grey-based Decision-Making Trial and Evaluation Laboratory (DEMATEL) method.
The DEMATEL process included three main steps. First, we established a grey pairwise influence scale for comparisons and set a five-level scale in the questionnaire. Then we created a crisp direct-relation matrix for each evaluator by asking each of them to pairwise compare the SVC investment enablers and made the grey direct-relation matrix. Last, we created the prominence-causal digraph and analyzed the sensitivity of results by modifying the value of the importance weights of the evaluators. Our findings are useful for decision-makers in Saudi Arabia, additionally, encourage other countries in the region to create effective policies and regulations and implement new practices to stimulate the sustainable venture capital investments.
After a short introduction, in Section 2 we describe the background of the SVC investments and identify the chief enablers from the SVC literature and industry experts. In Section 3 we offer details on data acquisition and the grey-based DEMATEL approach. We present, analyze and discuss the obtained results in Section 4. Finally, we summarize the findings and implications in Section 5.
2. Background and Enablers
Emerging markets and technologies offer a distinctive mix of challenges, opportunities and competitive advantage for the entrepreneurs and startups [,]. The emerging markets present with a high level of institutional uncertainty where western theories for entrepreneurship may fail to work due to changing context and influencing factors [,]. London and Hart [] argue that leveraging the advantages of the emerging economies through cooperation with non-traditional business partners, co-inventing unique programs and building the local capacity may be the best strategy. Gu et al. [] propose a conceptual framework for the venture capital and entrepreneurship based on the emerging Chinese market and state that from the firm level, venture capital has an overall positive effect on entrepreneurship.
2.1. Background of Sustainable Venture Capital Investments
The roots of sustainable investment go back to 1758 when the Religious Society of Friends from Philadelphia made illegal the participation in the slave trade []. John Wesley (1703–1791), outlined the main principles of social investing in a sermon called “The Use of Money.” He advised the investors to avoid chemical companies that affect the health of employees and those that are “sinful” and jeopardize the nation’s health: Guns, liquor, and tobacco-producing firms []. Sustainable investing, especially socially responsible investing increased during 1960s and focused on addressing gender’s equality, civil rights, and labor issues [,]. After the 1990s, sustainable investing focused mainly on environmental issues and sustainable development [,]. In recent years, the largest asset owners advocate the long-term value creation, social and environmental contribution []. The U.S. Forum for Sustainable and Responsible Investment states that more than a fifth of the funds under professional management in the USA include socially responsible investment criteria [,]. In Asia, the sustainable investment market is growing continuously with more than 50 billion U.S. dollars managed using various sustainable investment strategies in 2016 [].
Sustainable venture capital investments are a part of the sustainable investing and bring billions of dollars for investors and their institutions with far-reaching social and environmental impact. Numerous venture-backed companies generate high-skilled jobs and trillions of dollars of benefit for the world economy [,,]. Investors seek greater disclosure of the risks related to the climate change, especially at the non-energy related companies, and look for sustainable start-ups [,]. Mrkajic et al. [] found that “born-to-be-green can be a reliable signal for investors only when entrepreneurs perform activities based on green technologies/products and position their business in a green sector, at the same time.” Venture capital firms that make sustainable investments mainly target the agriculture and bio products, smart grid and energy storage and efficiency, solar, wind and geothermal power, water and waste management, mobility, green building, cutting-edge medical technology and life extension, and education [,].
Early stage venture capital investors prefer the young start-ups that need improvement of the product-market fit, have lower valuation and higher risk. Beyond directing the flow of capital, investors put their unique influence to use by engaging with the sustainable start-ups in their portfolios []. According to Brian Deese of BlackRock, the biggest investment management company in the world, if an investor is not aware of the climate change and environmental issues then he is fundamentally not doing his job []. Late-stage venture capital investors focus on successful start-ups with more than 2 million dollars revenue, fast growth and strong management teams, suitable for shorter time-to-exit. Corporate venture capitalists target innovative start-ups that can cooperate with them to improve the environmental and social outcome.
Apart from private venture capital firms that are funding sustainable companies, international organizations and government venture capital funds also play a significant role in the VC ecosystem. For example, following 2019 the World Bank Group will cease the upstream oil and gas financing and will report the greenhouse gas emissions from its investment projects []. According to Winston [], many governments aim to cut carbon emissions by 2030, reduce local issues like water shortage and air pollution. They require new technologies and are willing to make considerable sustainable venture capital investments.
Besides government-owned and private venture capital firms, there is also a multitude of venture capital organizations funded jointly by government and universities. Their goal is to offer know-how, access to technology, equipment, not just funding, for the resource-intensive start-ups trying to develop and commercialize new technologies in fields as clean energy, medical technologies, robotics and advanced manufacturing []. Many governments are indirectly funding universities, nonprofits, smart cities, and signing partnerships to support the sustainable start-ups. In Saudi Arabia, the King Abdullah University of Science and Technology Innovation fund makes sustainable venture capital investments in high-tech start-ups, from seed to early-stage, from 200,000 up to 2 million U.S. dollars and becomes their strategic partner [].
In this study, we concentrated on the venture capital firm’s perspective to making sustainable investments and tried to recognize the significant enablers for the sustainable venture capital investments.
2.2. Enablers for Sustainable Venture Capital Investments
We used the methodological process based on the stakeholder theory, resource-based view, literature review and practitioner input proposed by Dou et al. [] to identify the SVC investments enablers and sort them into external and internal. We created the final list of SVC enablers after reviewing the literature and incorporating practitioners’ suggestions.
In our research, we adopted the systematic literature review previously used in the management literature [,]. We chose the Web of Science™ Core Collection database, because of the access to the bibliographic data of each published article in the world’s foremost academic journals, starting with 1945. [,]. We chose peer-reviewed publications because they demonstrate high-quality research and endorsed knowledge []. Using the “TOPIC: (venture capital) and (sustainab*) or (green) or (environment*) or (social* responsib*) or (cleantech)” search, we found 615 articles published between 1945 and 2017 were found. Then, we narrowed the search area just to “ARTICLE” and “REVIEW” papers in English only. We excluded the following categories: Proceedings papers, editorial materials, book reviews, news items, letters, meeting abstracts, book chapters, biographical items, corrections, notes and papers without authors. This iteration reduced the number of articles to 387. Web of Science™ allows a paper to exist in more than one research area. Table 1 presents the main research areas of the articles in our set.

Table 1.
The main research areas.
Two hundred nine scientific journals released the 387 papers included in our data set. The leading ten journals have published roughly 28 percent of these papers. Table 2 shows these journals and quantity of published articles.

Table 2.
Journals which published the most sustainable venture capital (SVC) articles.
Eight hundred five authors of the 387 papers in our set affiliate to one or more organizations. Using the location of the organizations and the online service OpenHeatMap [] we generated the SVC research map in Figure 1. The size of the contribution varies from light grey to deep blue. The researchers located in the United States of America, England, China, Canada and Australia published 57 percent of all the papers in our set. The most prolific SVC researchers are Wright M., Ahlstrom D., Bruton G.D., Manigart S., Shepherd D.A., Brinckmann J., Cumming D., Filatochev I., Lee C., Zhang J. and Zhang W.

Figure 1.
SVC research around the world.
After, we used HAMMER—a Network Analysis Interface for Literature Studies [,,] to identify the most relevant papers in our field. We evaluated the content taking into consideration the fundamental principles of the stakeholder theory and the resource-based view.
According to the resource-based view, the competitive advantage of a firm comes from using valuable, rare, imperfectly imitable, and non-substitutable resources [,]. The resource-based view stresses the importance of internal resources and capabilities and helps determine the internal enablers. The natural-resource-based view examines the firm’s competitive advantage, deriving from its interrelation with the natural environment [,] The stakeholder theory argues that internal and external groups can impact organizational practices [,]. It also proves the significance of external stakeholders. Drawing on the stakeholder theory [] and the natural resource-based view [], we group the enablers into internal and external, from the viewpoint of a venture capital firm.
2.2.1. Internal Enablers
After reviewing the academic literature and consulting the experts, we identified ten enablers (see Table 3). The following are internal enablers:

Table 3.
Enablers for sustainable venture capital investments.
- The VC firm is willing to provide necessary human resources support. The venture capital investments usually imply lengthy monitoring and support for the start-ups in the portfolio [,]. When the venture capital firm decides to invest in a sustainable start-up, it must be ready to provide the necessary qualified human resources and favor the environmental and social outcome as opposed to a possible higher profit from a non-sustainable investment option []. The size of the firm can influence the adoption of proactive environmental practices and small venture capital firms may not always be capable of providing the necessary human resources support for sustainable start-ups [,].
- Venture capitalists deeply understand the sustainable business models. Robust understanding of sustainable business models is crucial for investing in sustainable start-ups []. The business models of sustainable start-ups may require investing substantial amounts of money for more extended periods, focusing on mixed projects of information technology, energy or medicine, with a high risk of failure []. The better venture capitalists understand these characteristics, the more chance they have to choose a sustainable start-up with great potential [,,].
- Top management support. The support from the top managers is vital for the VC firm to invest in sustainable start-ups and it indicates that the investment managers in a VC firm are free to select sustainable start-ups and include them in their portfolios [,].
- Venture capitalists are morally committed to sustainability. Venture capitalists committed to sustainability usually believe that they are accountable for the well-being of the future generations, and that sustainability is good for business []. They are more likely to invest in sustainable projects and support the implementation of sustainable business models [,,].
- Innovation in the business model. Venture capital firms may consider investing in a sustainable start-up if the latter has an innovative business model []. This situation is especially relevant for corporate venture capital firms [,].
- Some start-ups look for sustainable venture capitalists with knowledge and experience that can help them to implement innovative business models [,].
- VC investments in sustainable start-ups can reduce financial risks. The venture capital investments have a high level of risk compare to other types of investments. The sustainable start-ups can reduce the risks associated with the environmental and social part of the business [,,,,,].
- VC investments in sustainable start-ups can create new demand. Most of the start-ups are creating new products and new markets for their products []. Given that sustainable development and environmental protection require many innovative and unconventional solutions and cutting-edge technologies, new markets for these products and solutions are also emerging [,,]. The venture capitalists that adopt the long-term strategy prefer to include in their investment portfolios sustainable start-ups [,].
2.2.2. External Enablers
The following three external enablers appeared in the academic literature:
- SMEs and venture capital firms’ credible collaborations and networking. The networks are elemental because the entrepreneurs want to communicate with other more experienced entrepreneurs, want to receive the feedback from experts, and seek the help from venture capitalists regarding the best market and investor exit strategies [,,]. Many venture capitalists who are networking with sustainable entrepreneurs, decide to invest in sustainable products and services [,,].
- Government policies, regulations, and programs for sustainable investments. Empirical results from the U.S. and Europe suggest that many government policies are highly regarded by the venture capitalists, especially in the renewable energy business [,]. Most of the venture capital firms need a mix of consistent government policies to invest in sustainable projects [,,,].
- Government use of international standards for sustainable investments. To reduce the risks of the intellectual propriety breach of the innovative sustainable start-ups, and to increase the transparency in the sustainable venture capital investing, governments ought to use international standards [,,].
2.3. Gap Analysis and Research Highlights
After reviewing the literature, we discovered that no researcher has investigated the status of sustainable venture capital investments in Saudi Arabia. Most authors focused on specific areas of the sustainable venture capital investments in the USA and Europe. Bocken [] mentioned several motivators, investment theses, and factors influencing the success and the failure of the sustainable venture capitalists. An increasing number of sustainable start-ups and investments occurred in Saudi Arabia. However, no researcher examined the enablers for SVC investments in this country. In this paper, we aimed to fill this gap. We used the grey-based DEMATEL approach to analyze the internal and external enablers for SVC investments in Saudi Arabia. We examined the relationships among enablers and pointed the elemental ones. The highlights of this article are below:
- Identify and propose enablers for SVC investments from the scientific literature review and interviews with experienced professionals.
- Put forward a framework to analyze enablers for SVC investments in Saudi Arabia using the grey-based DEMATEL.
- Identify and explain, with the insight of four venture capital experts, the crucial enablers for SVC investments in Saudi Arabia.
- Validate these enablers for SVC investments through feedback from practitioners. Compare the acquired results to the current SVC research.
3. Methodology
3.1. Data Acquisition
Data acquisition started with selecting venture capital firms in Saudi Arabia. We chose this country for two main reasons. First, Saudi Arabia is the largest economy and one of the most significant investors in the Middle East and North Africa region and bound to be one of the pillars of sustainable entrepreneurship in the area by 2030 [,,,]. At the same time, due to a growing educated population and government support, Saudi Arabia is becoming one of the largest countries in the Middle East regarding start-up creation and growth [,]. However, compared to the USA and the Western European nations, Saudi Arabia has much room for improvement on entrepreneurship and sustainable venture capital investments [,]. Second, many cases of sustainable venture capital investment exist [,,,,,,].
We identified and consulted the experts in four steps. First, we selected the leading ten Saudi venture capital funds/firms privately and government-owned that have made sustainable investments in Saudi Arabia and the MENA region. Second, we identified the executive managers and investment managers that are responsible for investment decisions at these organizations. Then, we contacted them, and we asked for their feedback regarding the SVC investments enablers. They did not amend the initial list, only offered more details regarding specific enablers. Finally, we chose four executive managers that have at least ten years of experience in the industry, excellent educational background, and decision-making skills and asked them to evaluate the SVC investments enablers in Saudi Arabia. Previous studies [,,] show that for the useful employment of the DEMATEL method, four respondents are a right sample size to deliver the preliminary interpretation of the circumstances. Table 4 shows a succinct description of the four evaluators and their affiliations.

Table 4.
Background of organizations and evaluators.
3.2. Grey-Based Decision-Making Trial and Evaluation Laboratory Approach
The researchers of the Geneva Research Centre of the Battelle Memorial Institute created the decision-making trial and evaluation laboratory approach [,]. It can help pinpoint critical factors and examine their causal-effect interrelations, visualizing them in a causal diagram [,,,]. DEMATEL is widely used in the environmental management and finance research [,,,,,]. Classic DEMATEL often shows problems related to incomplete information, subjective evaluation, and uncertainty [,]. The grey system theory, firstly proposed by Deng [], can tackle these problems [,,]. The grey system can produce viable results with fewer data, which is its primary benefit compared to other methods [,,,,]. In this paper, we integrated the grey approach with DEMATEL.
Following previous research [,], we developed a structured three-level framework to discover the most critical enablers of SVC investment in the Kingdom of Saudi Arabia. The first step was to establish a grey pairwise influence scale for comparisons. Similar to other studies [,,] we set a five-level scale in our questionnaire. This scale helped the respondents to compare the enablers and provide an answer easily. Table 5 contains the grey scales for these linguistic values in our calculation.

Table 5.
The linguistic scales for the importance weight of respondents.
The second step was to create a crisp direct-relation matrix for each evaluator by asking each of them to pairwise compare the SVC investment enablers. Then, we made the grey direct-relation matrix. Following previous studies [,], we employed Converting Fuzzy data into Crisp Scores to work with the greyscale. Next, we created a crisp matrix for each evaluator through normalizing the grey direct-relation matrix.
The third step was to create the prominence-causal digraph. Following accepted practice [,,] we interviewed four evaluators and allotted suitable importance weights to each evaluator based on their roles, knowledge, and experience with the venture capital. Next, we created the crisp overall matrix with weighted averages. Then, we normalized the direct-relation matrix, and we generated the total relation matrix for all evaluators. Later, we developed a prominence-causal digraph and analyzed the sensitivity of results by modifying the value of the importance weights of the evaluators. Finally, we generated prominence-causal digraphs for the sensitivity analysis.
4. Results and Discussion
4.1. Results
Table A1, Table A2, Table A3 and Table A4 contain the pairwise influence matrices from four evaluators. We assigned equal weights (0.25) to each evaluator given that they have a similar level of management and work experience. Then we performed the next iterations for the DEMATEL approach mentioned in Section 3.2. Table A5 presents the overall crisp direct-relationships and Table A6 contains the normalized direction-relation matrix.
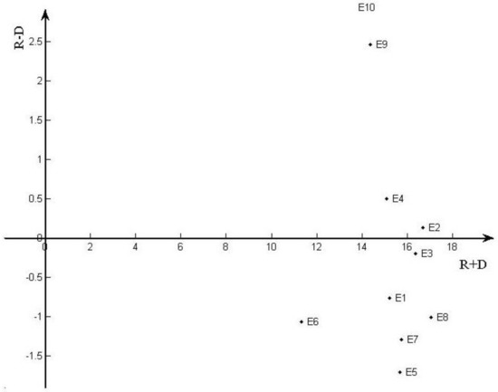
The sum of the causal influence (R) and the effect influence (D) is the prominence value (R+D). The larger value of R + D the higher the general influence of that enabler to all relationships with the rest of enablers. A row value (R) equals the total direct and indirect influence of the enabler on the rest of enablers. A column value (D) represents the total direct and indirect effect of other enablers on that enabler. Subtracting the effect influence (D) from the causal influence (R) yields the net cause-effect value (R-D). The higher the value of net cause–effect, the more the enabler influences the rest of the enablers. Therefore, if one enabler’s net cause–effect value is above zero, then we can say it is vital to other enablers. Figure 2 illustrates the total prominence-causal interrelations of all ten enablers using DEMATEL. To show the significant relationships, we set the benchmark of 0.8254 (θ = 0.6785 + 0.1469 = 0.8254) by summing one standard deviation and the mean. Table 6 contains the values of the total relation-matrix. We underlined the relationships equal to or above the benchmark. Column E5 comprises the most values above the benchmark: E5E2, E5E3, E5E4, E5E8, E5E9, E5E10. Table 7 shows the prominence and net cause/effect values of the enablers for sustainable venture capital investments in Saudi Arabia. We underlined the top five prominence values of the enablers. The eight enabler (SMEs and other VC firms credible collaborations and networking) has the largest prominence value. The tenth enabler (government use of international standards for sustainable investments) has the highest net cause/effect value.

Figure 2.
The aggregated prominence-causal DEMATEL diagram.

Table 6.
Total relation-matrix.

Table 7.
The aggregated values of prominence and net cause/effect for the enablers.
To probe the results’ robustness and to exclude a possible bias related to the weight assigned to evaluators, we ran a sensitivity analysis, as recommended by previous studies [,,,]. We selected the most prominent evaluator according to his role and experience in the organization, and the years of experience in the industry. We then changed his weight for the sensitivity analysis. Figure 3, Figure 4, Figure 5 and Figure 6 show the cause and effect diagraphs. The alteration of the importance weight of the first evaluator does not have a high impact on the results. However, some individual SVC investments enablers present with some alterations. The third enabler (top management support) has a negative R-D value (Figure 2). In the second case (Figure 4), where the weight of the second evaluator is 0.4, and of the rest is 0.2 respectively, it has a definite R-D value and becomes a critical enabler.

Figure 3.
Overall DEMATEL prominence-causal relationship diagram. The weight of the first evaluator is 0.4, and of the rest is 0.2 respectively.

Figure 4.
Overall DEMATEL prominence-causal relationship diagram. The weight of the second evaluator is 0.4, and of the rest is 0.2 respectively.

Figure 5.
Overall DEMATEL prominence-causal relationship diagram. The weight of the third evaluator is 0.4, and of the rest is 0.2 respectively.

Figure 6.
Overall DEMATEL prominence-causal relationship diagram. The weight of the fourth evaluator is 0.4, and of the rest is 0.2 respectively.
We calculated the differences of the Euclidean distance of prominence-causal interconnections for ten enablers. Then we compared the setting condition with other four sensitivity settings from Case A to Case D. Figure 7 presents the outcome. The evaluation of the enablers relationships proves robust and relatively consistent. Therefore, the bias related to the assignment of weights for each evaluator is not an issue.

Figure 7.
Euclidean distance of prominence-causal results for sensitivity analysis.
4.2. Discussion of Results
The results based on the grey-DEMATEL approach revealed the most critical SVC investments enablers. According to Figure 3, the causal factors present as follows: E10 > E9 > E4 > E2.The causal factors E10 (government use of international standards for sustainable investments) and E9 (government policies and regulations for sustainable investments) are on the top of the cause group, therefore E10 and E9 are the primary causal factors. Both E10 and E9 are external enablers. We discussed the results with venture capitalists, and they approved them as important enablers. During previous interviews, some executive managers mentioned that venture capital firms need a regulatory framework in order to have a basis for sustainable investments and risk management.
Terjesen et al. [] suggest that policymakers include clauses regarding women’s entrepreneurship in investment policies. Henrekson and Johansson [] together with Autio and Rannikko [] stress the importance of the high-growth entrepreneurship in emerging economies and the social and economic outcome of the policies that stimulate the investment in high-growth startups. Dvouletý and Lukeš [] emphasize the importance of establishing regional entrepreneurial ecosystems via minimizing various barriers related to administration and growth and facilitating the access to funding.
The Saudi entrepreneurs also believe that bringing the government, the investors and resources together can contribute to the success of the start-ups and triple bottom line outcome [,]. By 2030, Saudi government aims to create an attractive ecosystem for local and international investors and support the small and medium enterprises, empower women and materialize their potential, establish and support incubators and business entrepreneurship centers, develop an awareness program on entrepreneurship and investment for high school and university students, activate the environmental dimension as a pillar of sustainable development [,].
The third critical enabler is E4 (venture capitalists are morally committed to sustainability) and the fourth is E2 (venture capitalists deeply understand the sustainable business models). Both of them are internal intangible enablers and relate to the psychological and cognitive aptitudes of the venture capitalists. Given the venture capitalists work closely with the start-ups, they need to have the required knowledge and experience related to sustainable business models or products. According to the evaluators, in Saudi Arabia the venture capitalists are already committed to some extent to the sustainability, especially the social part. They operate under the Sharia Law, which encourages people to invest in a socially responsible manner, avoiding “haram” (sinful) industries like smoking, pornography, and gambling.
According to Figure 2, the effect factors are E3, E1, E8, E6, E7, and E5. These factors are mostly influenced by the causal factors E10, E9, and E2. The government use of international standards, policies and regulations for sustainable investments, the venture capitalists’ deep understanding of sustainable business models, influence the top management support and the willingness to provide necessary human resources support, the stakeholders’ credible collaborations and networking, the creation of new demand and the innovation in the business model.
The first effect factor is E3 (top management support). Each of the evaluators considers that the support from the top management is required for making sustainable venture capital investments. Other nine enablers very less influence the sixth (VC investments in sustainable start-ups can reduce financial risks). Many venture capital firms are reluctant to believe that sustainable venture capital investments can reduce financial risks. From our results, E5 (innovation in the business model) exhibits the lowest influence on all identified enablers, because an innovative business model does not necessarily affect the decision of the venture capital firm to make sustainable investments and does not ensure a triple bottom outcome.
In Figure 2 the hubs of factors are E5, E8, E3, E7. Although it has the lowest influence, the fifth enabler has the highest correlation with other factors. Five enablers are strongly affecting it. This relation shows that innovation in the business model if influenced by venture capitalist’s deep understanding of sustainable business models, top management support (including human resources), SMEs and other VC firms’ credible collaborations and networking and government policies and regulations for sustainable investments can enable the sustainable venture capital investments in Saudi Arabia.
5. Conclusions
This paper is the first that examines the characteristics and interrelations of the enablers for sustainable venture capital investments. Investigating SVC investments is challenging. This study also contributes to the theoretical development by reconciling the SVC literature and identifying the internal and external enablers for SVC investments. The grey-based DEMATEL method, used for the first time in the sustainable venture capital investments literature, produced results with implications for theory and practice.
This technique is useful for decision makers to determine what SVC investments enablers are elemental in the entrepreneurship ecosystem and what combination could achieve the highest impact on sustainable venture capital investments. Governments can also complete sensitivity analysis to evaluate the robustness of their programs aimed to stimulate sustainable investments. They can also replicate the steps over time and update the programs’ directions according to the future trends for sustainable venture capital investments.
Sustainable venture capital researchers can find the grey-based DEMATEL method useful for cross-country comparisons and can pinpoint particular characteristics of the SVC enablers interrelations. They can also use the prominence-causal graphics to evaluate the barriers to SVC investments. The results may change over time, depending on the strategic focus of the entrepreneurship ecosystems and the global trends of the venture capital investing.
Although this research used literature and managerial insights, it still has certain limitations. Given that the evaluators have to complete pairwise comparisons, the distraction and fatigue may affect the accuracy of response. The importance of the factors in this paper and similar studies comes from the level of their reciprocal influence (connectedness). These results may not be accurate when an enabler does not strongly connect with others but is still crucial for the sustainable venture capital investments in a particular context. The inclusion of different approaches can eliminate this limitation. Using a designated grey-scale value for a linguistic variable can be a limitation given that the values were assumed. Future research can investigate and verify the sensitivity of the proposed approach with a dispersion of the grey scale. The limitations of this study represent viable directions for future research. A comparative analysis between countries can determine if the sustainable venture capital investments enablers identified in this study are relevant in another context. The same method can also prove useful for the sustainable investments in general. Managers with different level of decision making at various types of investment companies can use this approach due to its flexibility. This paper sets the stage for further research of the sustainable venture capital investments in the Middle East.
Acknowledgments
National Natural Science Foundation of China (71632007, 71690241, and 71472021) and Ministry of Higher Education of Saudi Arabia supported this work.
Author Contributions
Elena Antarciuc and Jaber Almarri consulted the experts and wrote the paper; Senlin Zhao and Yunting Feng performed the calculations; Distinguished Professor Qinghua Zhu and Martin Agyemang reviewed and improved the final manuscript.
Conflicts of Interest
The authors declare no conflict of interest.
Appendix A

Table A1.
The linguistic scale direct-relation matrix completed by the first evaluator.
Table A1.
The linguistic scale direct-relation matrix completed by the first evaluator.
E1 | E2 | E3 | E4 | E5 | E6 | E7 | E8 | E9 | E10 | |
---|---|---|---|---|---|---|---|---|---|---|
E1 | 0 | 3 | 3 | 3 | 3 | 2 | 2 | 3 | 2 | 2 |
E2 | 4 | 0 | 4 | 4 | 4 | 3 | 3 | 4 | 2 | 2 |
E3 | 4 | 4 | 0 | 4 | 3 | 3 | 3 | 4 | 2 | 2 |
E4 | 3 | 4 | 3 | 0 | 3 | 3 | 3 | 4 | 2 | 2 |
E5 | 2 | 3 | 3 | 3 | 0 | 2 | 4 | 3 | 2 | 2 |
E6 | 2 | 2 | 2 | 2 | 2 | 0 | 2 | 2 | 2 | 2 |
E7 | 3 | 3 | 3 | 3 | 4 | 2 | 0 | 4 | 2 | 2 |
E8 | 3 | 4 | 3 | 3 | 3 | 2 | 4 | 0 | 2 | 2 |
E9 | 3 | 3 | 4 | 2 | 3 | 3 | 4 | 4 | 0 | 3 |
E10 | 3 | 3 | 4 | 2 | 3 | 3 | 4 | 3 | 4 | 0 |

Table A2.
The linguistic scale direct-relation matrix completed by the second evaluator.
Table A2.
The linguistic scale direct-relation matrix completed by the second evaluator.
E1 | E2 | E3 | E4 | E5 | E6 | E7 | E8 | E9 | E10 | |
---|---|---|---|---|---|---|---|---|---|---|
E1 | 0 | 3 | 3 | 3 | 3 | 2 | 3 | 3 | 2 | 2 |
E2 | 4 | 0 | 4 | 4 | 4 | 2 | 3 | 4 | 2 | 2 |
E3 | 4 | 4 | 0 | 4 | 4 | 3 | 4 | 4 | 2 | 2 |
E4 | 3 | 3 | 3 | 0 | 4 | 2 | 3 | 4 | 2 | 2 |
E5 | 3 | 3 | 3 | 3 | 0 | 2 | 3 | 3 | 2 | 2 |
E6 | 2 | 3 | 2 | 2 | 2 | 0 | 2 | 2 | 2 | 2 |
E7 | 3 | 3 | 3 | 3 | 3 | 2 | 0 | 4 | 2 | 2 |
E8 | 3 | 3 | 3 | 3 | 3 | 2 | 3 | 0 | 3 | 3 |
E9 | 3 | 3 | 4 | 2 | 4 | 4 | 3 | 3 | 0 | 2 |
E10 | 2 | 3 | 4 | 2 | 4 | 3 | 3 | 3 | 3 | 0 |

Table A3.
The linguistic scale direct-relation matrix completed by the third evaluator.
Table A3.
The linguistic scale direct-relation matrix completed by the third evaluator.
E1 | E2 | E3 | E4 | E5 | E6 | E7 | E8 | E9 | E10 | |
---|---|---|---|---|---|---|---|---|---|---|
E1 | 0 | 3 | 3 | 2 | 3 | 2 | 3 | 4 | 2 | 1 |
E2 | 3 | 0 | 3 | 4 | 4 | 2 | 4 | 4 | 2 | 1 |
E3 | 4 | 3 | 0 | 3 | 4 | 1 | 4 | 4 | 2 | 1 |
E4 | 2 | 4 | 4 | 0 | 4 | 2 | 4 | 4 | 2 | 1 |
E5 | 3 | 3 | 2 | 2 | 0 | 2 | 4 | 3 | 2 | 1 |
E6 | 1 | 1 | 2 | 1 | 1 | 0 | 1 | 1 | 2 | 1 |
E7 | 3 | 3 | 3 | 2 | 2 | 2 | 0 | 3 | 2 | 1 |
E8 | 3 | 3 | 3 | 3 | 4 | 2 | 3 | 0 | 2 | 1 |
E9 | 4 | 3 | 4 | 2 | 4 | 4 | 4 | 4 | 0 | 3 |
E10 | 3 | 3 | 3 | 2 | 3 | 3 | 3 | 4 | 3 | 0 |

Table A4.
The linguistic scale direct-relation matrix completed by the fourth evaluator.
Table A4.
The linguistic scale direct-relation matrix completed by the fourth evaluator.
E1 | E2 | E3 | E4 | E5 | E6 | E7 | E8 | E9 | E10 | |
---|---|---|---|---|---|---|---|---|---|---|
E1 | 0 | 3 | 3 | 3 | 3 | 2 | 3 | 3 | 2 | 2 |
E2 | 4 | 0 | 3 | 4 | 3 | 2 | 3 | 4 | 2 | 2 |
E3 | 3 | 3 | 0 | 3 | 3 | 2 | 3 | 3 | 2 | 2 |
E4 | 3 | 3 | 2 | 0 | 4 | 1 | 3 | 4 | 2 | 2 |
E5 | 3 | 2 | 3 | 2 | 0 | 2 | 3 | 3 | 2 | 2 |
E6 | 2 | 3 | 2 | 2 | 2 | 0 | 2 | 2 | 1 | 1 |
E7 | 3 | 3 | 3 | 1 | 3 | 2 | 0 | 4 | 2 | 2 |
E8 | 3 | 4 | 3 | 3 | 4 | 2 | 3 | 0 | 3 | 3 |
E9 | 2 | 3 | 4 | 2 | 3 | 3 | 4 | 3 | 0 | 2 |
E10 | 2 | 3 | 4 | 2 | 3 | 3 | 4 | 3 | 3 | 0 |

Table A5.
Overall crisp direct-relationships.
Table A5.
Overall crisp direct-relationships.
E1 | E2 | E3 | E4 | E5 | E6 | E7 | E8 | E9 | E10 | |
---|---|---|---|---|---|---|---|---|---|---|
E1 | 0.0000 | 3.0000 | 3.0000 | 2.7500 | 3.0000 | 2.0000 | 2.7500 | 3.2500 | 2.0000 | 1.7500 |
E2 | 3.7500 | 0.0000 | 3.5000 | 4.0000 | 3.7500 | 2.2500 | 3.2500 | 4.0000 | 2.0000 | 1.7500 |
E3 | 3.7500 | 3.5000 | 0.0000 | 3.5000 | 3.5000 | 2.2500 | 3.5000 | 3.7500 | 2.0000 | 1.7500 |
E4 | 2.7500 | 3.5000 | 3.0000 | 0.0000 | 3.7500 | 2.0000 | 3.2500 | 4.0000 | 2.0000 | 1.7500 |
E5 | 2.7500 | 2.7500 | 2.7500 | 2.5000 | 0.0000 | 2.0000 | 3.5000 | 3.0000 | 2.0000 | 1.7500 |
E6 | 1.7500 | 2.2500 | 2.0000 | 1.7500 | 1.7500 | 0.0000 | 1.7500 | 1.7500 | 1.7500 | 1.5000 |
E7 | 3.0000 | 3.0000 | 3.0000 | 2.2500 | 3.0000 | 2.0000 | 0.0000 | 3.7500 | 2.0000 | 1.7500 |
E8 | 3.0000 | 3.5000 | 3.0000 | 3.0000 | 3.5000 | 2.0000 | 3.2500 | 0.0000 | 2.5000 | 2.2500 |
E9 | 3.0000 | 3.0000 | 4.0000 | 2.0000 | 3.5000 | 3.5000 | 3.7500 | 3.5000 | 0.0000 | 2.5000 |
E10 | 2.5000 | 3.0000 | 3.7500 | 2.0000 | 3.2500 | 3.0000 | 3.5000 | 3.2500 | 3.2500 | 0.0000 |

Table A6.
Normalized direct-relation matrix.
Table A6.
Normalized direct-relation matrix.
E1 | E2 | E3 | E4 | E5 | E6 | E7 | E8 | E9 | E10 | |
---|---|---|---|---|---|---|---|---|---|---|
E1 | 0.0000 | 0.1043 | 0.1043 | 0.0957 | 0.1043 | 0.0696 | 0.0957 | 0.1130 | 0.0696 | 0.0609 |
E2 | 0.1304 | 0.0000 | 0.1217 | 0.1391 | 0.1304 | 0.0783 | 0.1130 | 0.1391 | 0.0696 | 0.0609 |
E3 | 0.1304 | 0.1217 | 0.0000 | 0.1217 | 0.1217 | 0.0783 | 0.1217 | 0.1304 | 0.0696 | 0.0609 |
E4 | 0.0957 | 0.1217 | 0.1043 | 0.0000 | 0.1304 | 0.0696 | 0.1130 | 0.1391 | 0.0696 | 0.0609 |
E5 | 0.0957 | 0.0957 | 0.0957 | 0.0870 | 0.0000 | 0.0696 | 0.1217 | 0.1043 | 0.0696 | 0.0609 |
E6 | 0.0609 | 0.0783 | 0.0696 | 0.0609 | 0.0609 | 0.0000 | 0.0609 | 0.0609 | 0.0609 | 0.0522 |
E7 | 0.1043 | 0.1043 | 0.1043 | 0.0783 | 0.1043 | 0.0696 | 0.0000 | 0.1304 | 0.0696 | 0.0609 |
E8 | 0.1043 | 0.1217 | 0.1043 | 0.1043 | 0.1217 | 0.0696 | 0.1130 | 0.0000 | 0.0870 | 0.0783 |
E9 | 0.1043 | 0.1043 | 0.1391 | 0.0696 | 0.1217 | 0.1217 | 0.1304 | 0.1217 | 0.0000 | 0.0870 |
E10 | 0.0870 | 0.1043 | 0.1304 | 0.0696 | 0.1130 | 0.1043 | 0.1217 | 0.1130 | 0.1130 | 0.0000 |
References
- Dergiades, T.; Kaufmann, R.K.; Panagiotidis, T. Long-run changes in radiative forcing and surface temperature: The effect of human activity over the last five centuries. J. Environ. Econ. Manag. 2016, 76, 67–85. [Google Scholar] [CrossRef]
- Gordon, K.; Pohl, J. Environmental concerns in international investment agreements: A survey. SSRN 2011. [Google Scholar] [CrossRef]
- Beyer, A.; Cohen, D.A.; Lys, T.Z.; Walther, B.R. The financial reporting environment: Review of the recent literature. J. Account. Econ. 2010, 50, 296–343. [Google Scholar] [CrossRef]
- Orlitzky, M.; Schmidt, F.L.; Rynes, S.L. Corporate social and financial performance: A meta-analysis. Organ. Stud. 2003, 24, 403–441. [Google Scholar] [CrossRef]
- Griffin, J.J.; Mahon, J.F. The corporate social performance and corporate financial performance debate: Twenty-five years of incomparable research. Bus. Soc. 1997, 36, 5–31. [Google Scholar] [CrossRef]
- Singer, P.L.; Bonvillian, W.B. “Innovation Orchards”: Helping Tech Start-Ups Scale; Information Technology & Innovation Foundation: Washington, DC, USA, 2017. [Google Scholar]
- United Nations Development Programme. Impact Investment. Available online: http://www.undp.org/content/sdfinance/en/home/solutions/impact-investment.html (accessed on 25 January 2018).
- Bürer, M.J.; Wüstenhagen, R. Cleantech venture investors and energy policy risk: An exploratory analysis of regulatory risk management strategies. Sustain. Innov. Entrep. 2008, 290–309. [Google Scholar] [CrossRef]
- Bocken, N.M.P. Sustainable venture capital—Catalyst for sustainable start-up success? J. Clean. Prod. 2015, 108, 647–658. [Google Scholar] [CrossRef]
- Stack, J.B.J.; Epstein, B.; Hanggi, T. Cleantech Venture Capital: How Public Policy Has Stimulated Private Investment; Cleantech Venture Network LLC.: Ann Arbor, MI, USA, 2007; p. E2. [Google Scholar]
- Wustenhagen, R.; Teppo, T. Do venture capitalists really invest in good industries? Risk-return perceptions and path dependence in the emerging European energy VC market. Int. J. Technol. Manag. 2006, 34, 63–87. [Google Scholar] [CrossRef]
- O’Rourke, A. The message and methods of ethical investment. J. Clean. Prod. 2003, 11, 683–693. [Google Scholar] [CrossRef]
- Berry, T.C.; Junkus, J.C. Socially responsible investing: An investor perspective. J. Bus. Ethics 2013, 112, 707–720. [Google Scholar] [CrossRef]
- Entine, J. The myth of social investing: A critique of its practice and consequences for corporate social performance research. Organ. Environ. 2003, 16, 352–368. [Google Scholar] [CrossRef]
- Nilsson, J. Investment with a conscience: Examining the impact of pro-social attitudes and perceived financial performance on socially responsible investment behavior. J. Bus. Ethics 2008, 83, 307–325. [Google Scholar] [CrossRef]
- Sparkes, R.; Cowton, C.J. The maturing of socially responsible investment: A review of the developing link with corporate social responsibility. J. Bus. Ethics 2004, 52, 45–57. [Google Scholar] [CrossRef]
- Bugg-Levine, A.; Emerson, J. Impact investing: Transforming how we make money while making a difference. Innovations 2011, 6, 9–18. [Google Scholar] [CrossRef]
- Jackson, E.T. Evaluating social impact bonds: Questions, challenges, innovations, and possibilities in measuring outcomes in impact investing. Community Dev. 2013, 44, 608–616. [Google Scholar] [CrossRef]
- Web of Science Core Collection. Sustainable Venture Capital Research by Regions/Countries; Web of Science Core Collection: London, UK, 2018. [Google Scholar]
- MENA Private Equity Association. Eleventh Private Equity and Venture Capital Annual Report 2016; MENA Private Equity Association: Dubai, United Arab Emirates, 2017; p. 70. [Google Scholar]
- CBINSIGTHS. Blooming Desert: The Top United Arab Emirates-Based VCS and Their Tech Investments. Available online: https://www.cbinsights.com/research/uae-tech-startup-venture-capital-investment/ (accessed on 12 April 2018).
- DubaiBeat. Middle East Investors Directory. Available online: https://www.dubaibeat.com/middle_east_investors_directory_details.php (accessed on 12 April 2018).
- OECD. Venture Capital Development in Mena Countries–Taking Advantage of the Current Opportunity. In Mena Investment Policy Brief; OECD: Paris, France, 2006. [Google Scholar]
- Ramady, M.A. Aramco’s new 2030 vision and mission mandate: Managing expectations. In Saudi Aramco 2030; Springer: Berlin, Germany, 2018; pp. 61–91. [Google Scholar]
- Future Investment Initiative. The Public Investment Fund. Available online: http://futureinvestmentinitiative.com/en/pif (accessed on 12 April 2018).
- Public Investment Fund. Blackstone to Launch $40 Billion Infrastructure Investment Vehicle and New Infrastructure Business. Available online: http://www.pif.gov.sa/News/News14.html (accessed on 12 April 2018).
- Public Investment Fund. Portfolio. Available online: http://pif.gov.sa/Portfolio.html (accessed on 12 April 2018).
- Thukral, I.S.; Von Ehr, J.; Walsh, S.; Groen, A.J.; Van Der Sijde, P.; Akmaliah Adham, K. Entrepreneurship, emerging technologies, emerging markets. Int. Small Bus. J. 2008, 26, 101–116. [Google Scholar] [CrossRef]
- Looney, R.E. Handbook of Emerging Economies; Routledge: Abingdon, UK, 2014. [Google Scholar]
- Tracey, P.; Phillips, N. Entrepreneurship in emerging markets. Manag. Int. Rev. 2011, 51, 23–39. [Google Scholar] [CrossRef]
- Anderson, A.; Ronteau, S. Towards an entrepreneurial theory of practice; emerging ideas for emerging economies. J. Entrep. Emerg. Econ. 2017, 9, 110–120. [Google Scholar] [CrossRef]
- London, T.; Hart, S.L. Reinventing strategies for emerging markets: Beyond the transnational model. J. Int. Bus. Stud. 2004, 35, 350–370. [Google Scholar] [CrossRef]
- Gu, W.; Qian, X.; Lu, J. Venture capital and entrepreneurship: A conceptual model and research suggestions. Int. Entrep. Manag. J. 2018, 14, 35–50. [Google Scholar] [CrossRef]
- Aptheker, H. The quakers and negro slavery. J. Negro Hist. 1940, 25, 331–362. [Google Scholar] [CrossRef]
- Wesley, J. The use of money, a sermon on luke. In Sermons on Several Occasions; Christian Classics Ethereal Library: Grand Rapids, MI, USA, 1760; pp. 127–144. [Google Scholar]
- Kornbluh, F. Black buying power: Welfare rights, consumerism, and northern protest. In Freedom North: Black Freedom Struggles outside the South, 1940–1980; Springer: Berlin, Germany, 2003; pp. 199–222. [Google Scholar]
- Mizumura-Pence, R. Confronting trauma and toxins, rejecting closure: Three recent investigations of america’s war on vietnam. Am. Stud. 2014, 53, 7–20. [Google Scholar] [CrossRef]
- Richardson, B.J. Keeping ethical investment ethical: Regulatory issues for investing for sustainability. J. Bus. Ethics 2009, 87, 555–572. [Google Scholar] [CrossRef]
- Richardson, B.J. Socially Responsible Investment Law: Regulating the Unseen Polluters; Oxford University Press: Oxford, UK, 2008. [Google Scholar]
- Winston, A. Does Wall Street Finally Care about Sustainability? Available online: https://hbr.org/2018/01/does-wall-street-finally-care-about-sustainability#comment-section (accessed on 23 February 2018).
- The Economist. Sustainable Investment Joins the Mainstream. Available online: https://www.economist.com/news/finance-and-economics/21731640-millennials-are-coming-money-and-want-invest-it-responsibly-sustainable (accessed on 23 February 2018).
- US Forum for Sustainable and Responsible Investment. Report on Us Sustainable, Responsible and Impact Investing Trends. Available online: https://www.ussif.org/trends (accessed on 23 February 2018).
- Global Sustainable Investment Alliance. Global Sustainable Investment Review 2016; Global Sustainable Investment Alliance: Brussels, Belgium, 2017. [Google Scholar]
- Lemos Stain, M. More Shareholder Proposals Spotlight Climate Change. Available online: https://blogs.wsj.com/riskandcompliance/2018/02/08/more-shareholder-proposals-spotlight-climate-change/ (accessed on 24 February 2018).
- ISS Corporate Solutions. 2017 Governance Report Walkthrough. Available online: https://www.isscorporatesolutions.com/library/2017-governance-report-walkthrough-replay/ (accessed on 24 February 2018).
- Mrkajic, B.; Murtinu, S.; Scalera, V.G. Is green the new gold? Venture capital and green entrepreneurship. Small Bus. Econ. Group 2017, 1–22. [Google Scholar] [CrossRef]
- National Venture Capital Association. NVCA 2017 Yearbook: The Go-To Resource on the Venture Ecosystem; National Venture Capital Association: Washington, DC, USA, 2017. [Google Scholar]
- Hess, J.M. Smart Green VCS You Should Know. Available online: https://ecosummit.net/articles/smart-green-vcs-you-should-know (accessed on 23 February 2018).
- Lubber, M. We Need 2018 to Be the Year of Investor Leadership on Climate. Available online: https://www.forbes.com/sites/mindylubber/2018/02/06/we-need-2018-to-be-the-year-of-investor-leadership-on-climate/4/#2791a1035f65 (accessed on 24 February 2018).
- Cuff, M. Un Hails Fresh Push to Mobilise Global Green Investment. Available online: https://www.businessgreen.com/bg/news-analysis/3025795/un-hosts-fresh-push-for-green-investment (accessed on 24 February 2018).
- Frangoul, A. World Bank Group Will Stop Financing Upstream Oil and Gas after 2019. Available online: https://www.cnbc.com/2017/12/12/world-bank-group-will-stop-financing-upstream-oil-and-gas-from-2019.html (accessed on 24 February 2018).
- Winston, A. The Big Pivot: Radically Practical Strategies for a Hotter, Scarcer, and More Open World; Harvard Business Review Press: Boston, MA, USA, 2014. [Google Scholar]
- KAUST Innovation Fund. Explore High-Potential Partnerships with High-Tech Startups. Available online: https://innovation.kaust.edu.sa/entrepreneurs/browse-startups/ (accessed on 24 February 2018).
- Dou, Y.; Zhu, Q.; Sarkis, J. Green multi-tier supply chain management: An enabler investigation. J. Purchas. Supply Manag. 2017. [Google Scholar] [CrossRef]
- Zupic, I.; Čater, T. Bibliometric methods in management and organization. Organ. Res. Methods 2015, 18, 429–472. [Google Scholar] [CrossRef]
- Fahimnia, B.; Tang, C.S.; Davarzani, H.; Sarkis, J. Quantitative models for managing supply chain risks: A review. Eur. J. Oper. Res. 2015, 247, 1–15. [Google Scholar] [CrossRef]
- Archambault, É.; Campbell, D.; Gingras, Y.; Larivière, V. Comparing bibliometric statistics obtained from the web of science and scopus. J. Am. Soc. Inf. Sci. Technol. 2009, 60, 1320–1326. [Google Scholar] [CrossRef]
- Thomson Reuters. Social Sciences Citation Index. Available online: http://thomsonreuters.com/en/products-services/scholarly-scientific-research/scholarly-search-and-discovery/social-sciences-citation-index.html (accessed on 30 June 2016).
- Lockett, A.; Moon, J.; Visser, W. Corporate social responsibility in management research: Focus, nature, salience and sources of influence. J. Manag. Stud. 2006, 43, 115–136. [Google Scholar] [CrossRef]
- OpenHeatMap. Turn Your Spreadsheet into a Map. Available online: http://www.openheatmap.com/ (accessed on 3 April 2018).
- Knutas, A.; Hajikhani, A.; Salminen, J.; Ikonen, J.; Porras, J. Cloud-Based Bibliometric Analysis Service for Systematic Mapping Studies. In Proceedings of the 16th International Conference on Computer Systems and Technologies, Dublin, Ireland, 25–26 June 2015; ACM: New York, NY, USA, 2015; pp. 184–191. [Google Scholar]
- Kolle, S.R.; Shankarappa, T.; Manjunatha Reddy, T.; Muniyappa, A. Scholarly communication in the international journal of pest management: A bibliometric analysis from 2005 to 2014. J. Agric. Food Inf. 2015, 16, 301–314. [Google Scholar] [CrossRef]
- Juho Salminen, A.K.; Hajikhani, A. Hammer—Create New Analysis Job. Available online: http://hammer.nailsproject.net/ (accessed on 17 December 2017).
- Barney, J. Firm resources and sustained competitive advantage. J. Manag. 1991, 17, 99–120. [Google Scholar] [CrossRef]
- Ray, G.; Barney, J.B.; Muhanna, W.A. Capabilities, business processes, and competitive advantage: Choosing the dependent variable in empirical tests of the resource-based view. Strateg. Manag. J. 2004, 25, 23–37. [Google Scholar] [CrossRef]
- Hart, S.L. A natural-resource-based view of the firm. Acad. Manag. Rev. 1995, 20, 986–1014. [Google Scholar]
- Menguc, B.; Ozanne, L.K. Challenges of the “green imperative”: A natural resource-based approach to the environmental orientation–business performance relationship. J. Bus. Res. 2005, 58, 430–438. [Google Scholar] [CrossRef]
- Jensen, M.C. Value maximization, stakeholder theory, and the corporate objective function. J. Appl. Corp. Financ. 2010, 22, 32–42. [Google Scholar] [CrossRef]
- Gabrielsson, J.; Huse, M. The venture capitalist and the board of directors in smes: Roles and processes. Ventur. Cap. Int. J. Entrep. Financ. 2002, 4, 125–146. [Google Scholar] [CrossRef]
- Darnall, N.; Henriques, I.; Sadorsky, P. Adopting proactive environmental strategy: The influence of stakeholders and firm size. J. Manag. Stud. 2010, 47, 1072–1094. [Google Scholar] [CrossRef]
- Van Osnabrugge, M. A comparison of business angel and venture capitalist investment procedures: An agency theory-based analysis. Ventur. Cap. Int. J. Entrep. Financ. 2000, 2, 91–109. [Google Scholar] [CrossRef]
- Vanacker, T.; Collewaert, V.; Paeleman, I. The relationship between slack resources and the performance of entrepreneurial firms: The role of venture capital and angel investors. J. Manag. Stud. 2013, 50, 1070–1096. [Google Scholar] [CrossRef]
- Bjornali, E.S.; Ellingsen, A. Factors affecting the development of clean-tech start-ups: A literature review. Energy Procedia 2014, 58, 43–50. [Google Scholar] [CrossRef]
- Haber, S.; Reichel, A. The cumulative nature of the entrepreneurial process: The contribution of human capital, planning and environment resources to small venture performance. J. Bus. Ventur. 2007, 22, 119–145. [Google Scholar] [CrossRef]
- Marcus, A.; Malen, J.; Ellis, S. The promise and pitfalls of venture capital as an asset class for clean energy investment: Research questions for organization and natural environment scholars. Organ. Environ. 2013, 26, 31–60. [Google Scholar] [CrossRef]
- Seelos, C.; Mair, J. Social entrepreneurship: Creating new business models to serve the poor. Bus. Horiz. 2005, 48, 241–246. [Google Scholar] [CrossRef]
- Baum, J.A.C.; Silverman, B.S. Picking winners or building them? Alliance, intellectual, and human capital as selection criteria in venture financing and performance of biotechnology startups. J. Bus. Ventur. 2004, 19, 411–436. [Google Scholar] [CrossRef]
- De Carolis, D.M.; Litzky, B.E.; Eddleston, K.A. Why networks enhance the progress of new venture creation: The influence of social capital and cognition. Entrep. Theory Pract. 2009, 33, 527–545. [Google Scholar] [CrossRef]
- Burer, M.J.; Wustenhagen, R. Which renewable energy policy is a venture capitalist’s best friend? Empirical evidence from a survey of international cleantech investors. Energy Policy 2009, 37, 4997–5006. [Google Scholar] [CrossRef]
- Juravle, C.; Lewis, A. The role of championship in the mainstreaming of sustainable investment (SI) what can we learn from SI pioneers in the United Kingdom? Organ. Environ. 2009, 22, 75–98. [Google Scholar] [CrossRef]
- Kerr, J.E. Sustainability meets profitability: The convenient truth of how the business judgment rule protects a board’s decision to engage in social entrepreneurship. Cardozo L. Rev. 2007, 29, 623. [Google Scholar] [CrossRef]
- Abbott, F.M.; Reichman, F.H. The doha round’s public health legacy: Strategies for the production and diffusion of patented medicines under the amended trips provisions. J. Int. Econ. Law 2007, 10, 921–987. [Google Scholar] [CrossRef]
- Masini, A.; Menichetti, E. Investment decisions in the renewable energy sector: An analysis of non-financial drivers. Technol. Forecast. Soc. Chang. 2013, 80, 510–524. [Google Scholar] [CrossRef]
- Teece, D.J. Explicating dynamic capabilities: The nature and microfoundations of (sustainable) enterprise performance. Strateg. Manag. J. 2007, 28, 1319–1350. [Google Scholar] [CrossRef]
- Jansson, M.; Biel, A. Motives to engage in sustainable investment: A comparison between institutional and private investors. Sustain. Dev. 2011, 19, 135–142. [Google Scholar] [CrossRef]
- Székely, F.; Knirsch, M. Responsible leadership and corporate social responsibility:: Metrics for sustainable performance. Eur. Manag. J. 2005, 23, 628–647. [Google Scholar] [CrossRef]
- Mill, G.A. The financial performance of a socially responsible investment over time and a possible link with corporate social responsibility. J. Bus. Ethics 2006, 63, 131. [Google Scholar] [CrossRef]
- Lützkendorf, T.; Lorenz, D. Sustainable property investment: Valuing sustainable buildings through property performance assessment. Build. Res. Inf. 2005, 33, 212–234. [Google Scholar] [CrossRef]
- Daub, C.-H.; Ergenzinger, R. Enabling sustainable management through a new multi-disciplinary concept of customer satisfaction. Eur. J. Mark. 2005, 39, 998–1012. [Google Scholar] [CrossRef]
- Petrick, I.J.; Echols, A.E. Technology roadmapping in review: A tool for making sustainable new product development decisions. Technol. Forecast. Soc. Chang. 2004, 71, 81–100. [Google Scholar] [CrossRef]
- Chang, S.J. Venture capital financing, strategic alliances, and the initial public offerings of internet startups. J. Bus. Ventur. 2004, 19, 721–741. [Google Scholar] [CrossRef]
- Lerner, J. The government as venture capitalist: The long-run impact of the SBIR program. J. Bus. 1999, 72, 285–318. [Google Scholar] [CrossRef]
- Lerner, J. When bureaucrats meet entrepreneurs: The design of effective ‘public venture capital’ programmes. Econ. J. 2002, 112, F73–F84. [Google Scholar] [CrossRef]
- Lee, C.; Lee, K.; Pennings, J.M. Internal capabilities, external networks, and performance: A study on technology-based ventures. Strateg. Manag. J. 2001, 22, 615–640. [Google Scholar] [CrossRef]
- Brown, H.S.; de Jong, M.; Levy, D.L. Building institutions based on information disclosure: Lessons from GRI’S sustainability reporting. J. Clean. Prod. 2009, 17, 571–580. [Google Scholar] [CrossRef]
- Waelde, T.; Kolo, A. Environmental regulation, investment protection and ‘regulatory taking’in international law. Int. Comp. Law Q. 2001, 50, 811–848. [Google Scholar] [CrossRef]
- Dushnitsky, G.; Lenox, M.J. When do incumbents learn from entrepreneurial ventures? Corporate venture capital and investing firm innovation rates. Res. Policy 2005, 34, 615–639. [Google Scholar] [CrossRef]
- Dushnitsky, G.; Lenox, M.J. When do firms undertake R&D by investing in new ventures? Strateg. Manag. J. 2005, 26, 947–965. [Google Scholar]
- Chesbrough, H.; Crowther, A.K. Beyond high tech: Early adopters of open innovation in other industries. R&D Manag. 2006, 36, 229–236. [Google Scholar]
- Chesbrough, H.; Rosenbloom, R.S. The role of the business model in capturing value from innovation: Evidence from xerox corporation’s technology spin-off companies. Ind. Corp. Chang. 2002, 11, 529–555. [Google Scholar] [CrossRef]
- Chrun, E.; Dolsak, N.; Prakash, A. Corporate environmentalism: Motivations and mechanisms. In Annual Review of Environment and Resources; Gadgil, A., Gadgil, T.P., Eds.; Annual Reviews: Palo Alto, CA, USA, 2016; Volume 41, pp. 341–362. [Google Scholar]
- Nidumolu, R.; Prahalad, C.K.; Rangaswami, M.R. Why sustainability is now the key driver of innovation. Harv. Bus. Rev. 2009, 87, 56–64. [Google Scholar]
- Hockerts, K.; Wüstenhagen, R. Greening goliaths versus emerging davids—Theorizing about the role of incumbents and new entrants in sustainable entrepreneurship. J. Bus. Ventur. 2010, 25, 481–492. [Google Scholar] [CrossRef]
- Bhatt, P.; Altinay, L. How social capital is leveraged in social innovations under resource constraints? Manag. Decis. 2013, 51, 1772–1792. [Google Scholar] [CrossRef]
- Ghosh, S.; Nanda, R. Venture capital investment in the clean energy sector. SSRN 2010. [Google Scholar] [CrossRef]
- Petkova, A.P.; Wadhwa, A.; Yao, X.; Jain, S. Reputation and decision making under ambiguity: A study of us venture capital firms’ investments in the emerging clean energy sector. Acad. Manag. J. 2014, 57, 422–448. [Google Scholar] [CrossRef]
- International Monetary Fund. Growth and Stability in the Middle East and North Africa. Available online: https://www.imf.org/external/pubs/ft/mena/04econ.htm (accessed on 15 December 2017).
- World Bank. Global Economic Prospects—Middle East and North Africa. Available online: http://pubdocs.worldbank.org/en/154781493655499238/Global-Economic-Prospects-June-2017-Middle-East-and-North-Africa-analysis.pdf (accessed on 15 December 2017).
- Kingdom of Saudi Arabia Government. Saudi Vision 2030; Kingdom of Saudi Arabia: Riyadh, Saudi Arabia, 2016.
- Kingdom of Saudi Arabia Government. National Transformation Program 2020; Kingdom of Saudi Arabia: Riyadh, Saudi Arabia, 2016.
- Public Investment Fund. Public Investment Fund to Increase Assets under Management to over $400 Billion by 2020. Available online: http://pif.gov.sa/News/News22.html (accessed on 15 December 2017).
- World Bank, Doing Business. Measuring Business Regulations. Entrepreneurship. Available online: http://www.doingbusiness.org/data/exploretopics/entrepreneurship (accessed on 15 December 2017).
- The Global Entrepreneurship and Development Institute. Global Entrepreneurship Index 2018; The Global Entrepreneurship and Development Institute: London, UK, 2017. [Google Scholar]
- NOMADD Desert Solar Solutions. The Desert Solar Challenge. Available online: http://www.nomaddesertsolar.com/the-desert-solar-challenge.html (accessed on 15 December 2017).
- CURA. CURA Story—Why CURA Is Made? Available online: http://cura.healthcare/#demoLightbox (accessed on 15 December 2017).
- WAMDA. Saudi Web Startup Focuses on Rehab for Disabled Children. Available online: https://www.wamda.com/memakersge/2015/07/saudi-web-startup-focuses-rehab-disabled-children (accessed on 15 December 2017).
- RWAQ. Free Online Arabic Courses. Available online: https://www.rwaq.org/ (accessed on 15 December 2017).
- Solvoltaics. Investors. Available online: https://solvoltaics.com/solar-nanotechnology/#investors (accessed on 15 December 2017).
- Siluria. Investors. Available online: http://siluria.com/About/Investors (accessed on 15 December 2017).
- Parsable. Investors. Available online: https://www.parsable.com/about-us (accessed on 15 December 2017).
- Xia, X.; Govindan, K.; Zhu, Q. Analyzing internal barriers for automotive parts remanufacturers in China using grey-dematel approach. J. Clean. Prod. 2015, 87, 811–825. [Google Scholar] [CrossRef]
- Zhu, Q.; Sarkis, J.; Lai, K.-H. Supply chain-based barriers for truck-engine remanufacturing in Cina. Transp. Res. Part E Logist. Transp. Rev. 2014, 68, 103–117. [Google Scholar] [CrossRef]
- Wang, W.; Tian, Y.; Zhu, Q.; Zhong, Y. Barriers for household e-waste collection in China: Perspectives from formal collecting enterprises in Liaoning province. J. Clean. Prod. 2017, 153, 299–308. [Google Scholar] [CrossRef]
- Gabus, A.; Fontela, E. World Problems, an Invitation to Further Thought within the Framework of Dematel; Battelle Geneva Research Center: Geneva, Switzerland, 1972. [Google Scholar]
- Fontela, E.; Gabus, A. The Dematel Observer, Dematel 1976 Report; Battelle Geneva Research Center: Geneva, Switzerland, 1976. [Google Scholar]
- Fu, X.; Zhu, Q.; Sarkis, J. Evaluating green supplier development programs at a telecommunications systems provider. Int. J. Prod. Econ. 2012, 140, 357–367. [Google Scholar] [CrossRef]
- Bai, C.; Sarkis, J. A grey-based dematel model for evaluating business process management critical success factors. Int. J. Prod. Econ. 2013, 146, 281–292. [Google Scholar] [CrossRef]
- Wu, W.-W.; Lee, Y.-T. Developing global managers’ competencies using the fuzzy dematel method. Expert Syst. Appl. 2007, 32, 499–507. [Google Scholar] [CrossRef]
- Zhu, Q.; Sarkis, J.; Geng, Y. Barriers to environmentally-friendly clothing production among Chinese apparel companies. Asian Bus. Manag. 2011, 10, 425–452. [Google Scholar] [CrossRef]
- Lin, R.-J. Using fuzzy Dematel to evaluate the green supply chain management practices. J. Clean. Prod. 2013, 40, 32–39. [Google Scholar] [CrossRef]
- Dou, Y.; Sarkis, J. A multiple stakeholder perspective on barriers to implementing China ROHS regulations. Resour. Conserv. Recycl. 2013, 81, 92–104. [Google Scholar] [CrossRef]
- Dou, Y.; Zhu, Q.; Sarkis, J. Integrating strategic carbon management into formal evaluation of environmental supplier development programs. Bus. Strateg. Environ. 2015, 24, 873–891. [Google Scholar] [CrossRef]
- Tsai, W.-H.; Chou, W.-C.; Hsu, W. The sustainability balanced scorecard as a framework for selecting socially responsible investment: An effective MCDM model. J. Oper. Res. Soc. 2009, 60, 1396–1410. [Google Scholar] [CrossRef]
- Bai, C.; Sarkis, J. Evaluating supplier development programs with a grey based rough set methodology. Expert Syst. Appl. 2011, 38, 13505–13517. [Google Scholar] [CrossRef]
- Bai, C.; Kusi-Sarpong, S.; Sarkis, J. An implementation path for green information technology systems in the ghanaian mining industry. J. Clean. Prod. 2017, 164, 1105–1123. [Google Scholar] [CrossRef]
- Ju-Long, D. Control problems of grey systems. Syst. Control Lett. 1982, 1, 288–294. [Google Scholar] [CrossRef]
- Ren, J.; Liang, H.; Dong, L.; Gao, Z.; He, C.; Pan, M.; Sun, L. Sustainable development of sewage sludge-to-energy in China: Barriers identification and technologies prioritization. Renew. Sustain. Energy Rev. 2017, 67, 384–396. [Google Scholar] [CrossRef]
- Li, G.-D.; Yamaguchi, D.; Nagai, M. A grey-based decision-making approach to the supplier selection problem. Math. Comput. Model. 2007, 46, 573–581. [Google Scholar] [CrossRef]
- Jin, J.; Yu, Z.; Mi, C. Commercial bank credit risk management based on grey incidence analysis. Grey Syst. Theory Appl. 2012, 2, 385–394. [Google Scholar] [CrossRef]
- Liu, S.; Forrest, J.; Yang, Y. A brief introduction to grey systems theory. Grey Syst. Theory Appl. 2012, 2, 89–104. [Google Scholar] [CrossRef]
- Rahimnia, F.; Moghadasian, M.; Mashreghi, E. Application of grey theory approach to evaluation of organizational vision. Grey Syst. Theory Appl. 2011, 1, 33–46. [Google Scholar] [CrossRef]
- Terjesen, S.; Bosma, N.; Stam, E. Advancing public policy for high-growth, female, and social entrepreneurs. Public Adm. Rev. 2016, 76, 230–239. [Google Scholar] [CrossRef]
- Henrekson, M.; Johansson, D. Gazelles as job creators: A survey and interpretation of the evidence. Small Bus. Econ. Group 2010, 35, 227–244. [Google Scholar] [CrossRef]
- Autio, E.; Rannikko, H. Retaining winners: Can policy boost high-growth entrepreneurship? Res. Policy 2016, 45, 42–55. [Google Scholar] [CrossRef]
- Dvouletý, O.; Lukeš, M. Report on Policies on Business Start-Ups and Self-Employment; CUPESSE: Heidelberg, Germany, 2017; doi:10.13140/RG.2.2.2, 0256. [Google Scholar]
- Assaf, T. The Kingdom of Saudi Arabia: Status of the Entrepreneurship Ecosystem; WAMDA: Amman, Jordan, 2017; p. 55.
© 2018 by the authors. Licensee MDPI, Basel, Switzerland. This article is an open access article distributed under the terms and conditions of the Creative Commons Attribution (CC BY) license (http://creativecommons.org/licenses/by/4.0/).