Assessment of Groundwater Drought in the Mangyeong River Basin, Korea
Abstract
1. Introduction
- Hydrological drought including groundwater and surface water using the Surface Water Supply Index (SWSI, [10])
- Socio-economic/environmental (ecological) drought
2. Study Area
3. Methods
3.1. Drought Propagation and the Relationship between Precipitation and Water Levels
3.2. Standardized Precipitation Index for Estimating Meteorological Drought
3.3. Groundwater Drought Analysis
3.3.1. Threshold Level Method
3.3.2. The 95% Occurrence Method
4. Data Acquisition
4.1. Groundwater Data
4.2. Precipitation Data
4.3. Stream Data (Gauging Station)
5. Results and Discussion
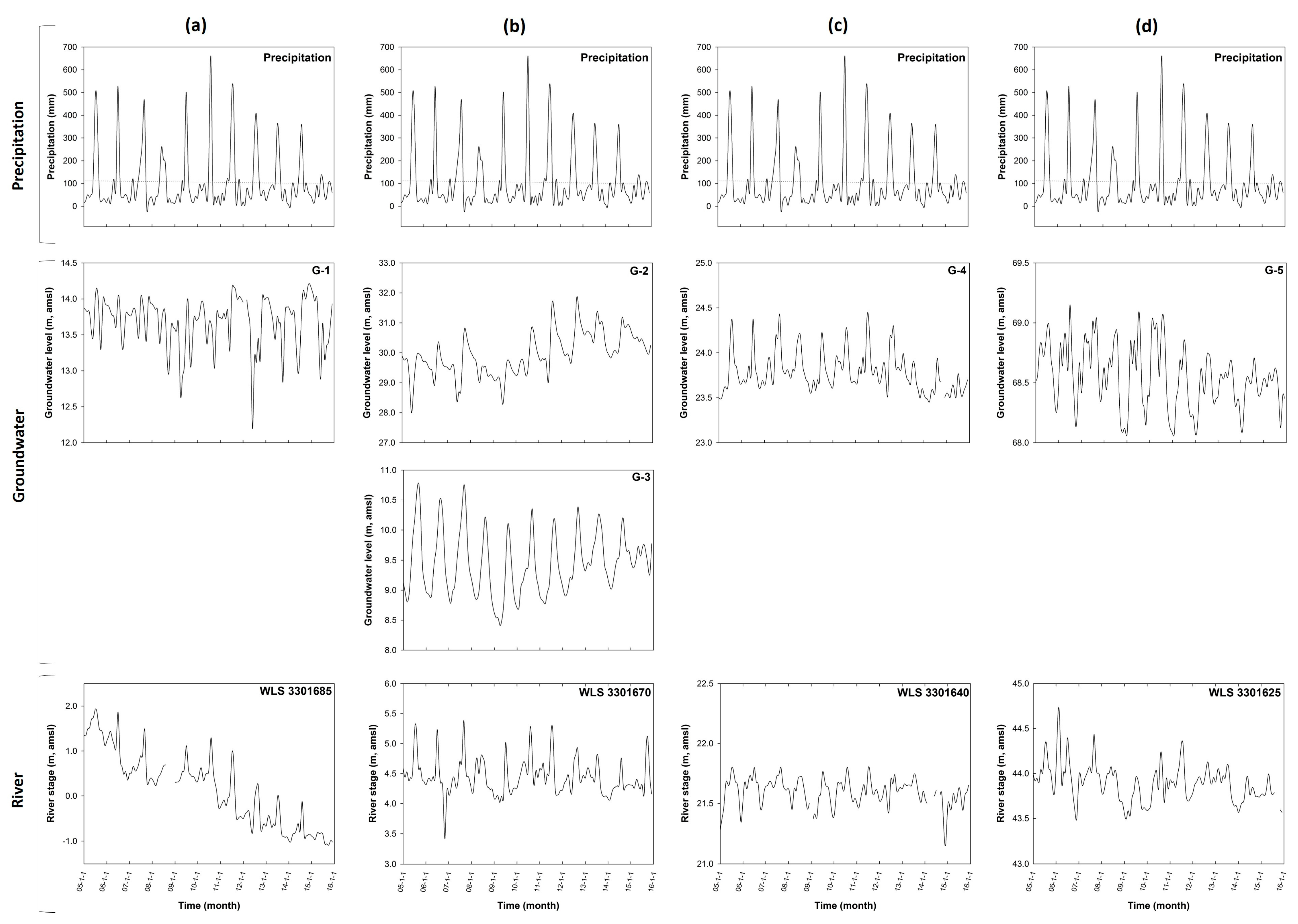
5.1. Propagation of the Precipitation, Surface Water and Groundwater
5.2. Estimated SPI and the Correlation between the SPI and Groundwater Drought
5.3. The Threshold and Occurrence of Groundwater Drought
5.3.1. Threshold Level Method
5.3.2. The 95% Occurrence Method
6. Conclusions
Supplementary Materials
Acknowledgments
Author Contributions
Conflicts of Interest
References
- Wright, B.; Stanford, B.D.; Reinert, A.; Routt, J.C.; Khan, S.J.; Debroux, J.F. Managing water quality impacts from drought on drinking water supplies. J. Water Supply Res. Technol. AQUA 2014, 63, 179–188. [Google Scholar] [CrossRef]
- Mosley, L.M. Drought impacts on the water quality of freshwater systems: Review and integration. Earth Sci. Rev. 2015, 140, 203–214. [Google Scholar] [CrossRef]
- Dahm, C.N.; Baker, M.A.; Moore, D.I.; Thibault, J.R. Coupled biogeochemical and hydrological responses of streams and rivers to drought. Freshw. Biol. 2003, 48, 1219–1231. [Google Scholar] [CrossRef]
- Wilhite, D.A.; Glantz, M.H. Understanding the drought phenomenon: The role of definitions. Water Int. 1985, 10, 111–120. [Google Scholar] [CrossRef]
- NDMC. Understanding and Defining Drought; National Drought Mitigation Center, University of Nebraska-Lincoln: Lincoln, NE, USA, 1995; Available online: http://drought.unl.edu/ (accessed on 14 September 2017).
- McKee, T.B.; Doesken, N.J.; Leist, J. The relationship of drought frequency and duration time scales. In Proceedings of the 8th Conference on Applied Climatology, Anaheim, CA, USA, 17–23 January 1993; American Meteorological Society: Boston, MA, USA, 1993; pp. 179–184. [Google Scholar]
- Palmer, W.C. Meteorologic Drought; Research Paper, No. 45; U.S. Department of Commerce, Weather Bureau: Washington, DC, USA, 1965; p. 58.
- Palmer, W.C. Keeping track of crop moisture conditions, nationwide: The new crop moisture index. Weatherwise 1968, 21, 156–161. [Google Scholar] [CrossRef]
- Rouse, J.W.; Haas, R.H.; Schell, J.A.; Deering, D.W. Monitoring vegetation systems in the Great Plains with ERTS. In Proceedings of the 3rd Earth Resources Technology Satellite-1 Symposium, Washington, DC, USA, 10–14 December 1973; NASA SP-351 I. National Aeronautics and Space Administration: Washington, DC, USA, 1974; pp. 301–317. [Google Scholar]
- Shafer, B.A.; Dezman, L.E. Development of a Surface Water Supply Index (SWSI) to Assess the Severity of Drought Conditions in Snowpack Runoff Areas. In Proceedings of the 50th Annual Meeting, Western Snow Conference, Reno, NV, USA, 19–23 April 1982; Colorado State University: Fort Collins, CO, USA, 1982; pp. 164–175. [Google Scholar]
- Jacobi, J.; Perrone, D.; Duncan, L.L.; Hornberger, G. A tool for calculating the Palmer drought indices. Water Resour. Res. 2013, 49, 6086–6089. [Google Scholar] [CrossRef]
- Gamvroudis, C.; Dokou, Z.; Nikolaidis, N.P.; Karatzas, G.P. Impacts of surface and groundwater variability response to future climate change scenarios in a large Mediterranean watershed. Environ. Earth Sci. 2017, 76, 385. [Google Scholar] [CrossRef]
- Minning, M.; Moeck, C.; Radny, D.; Schirmer, M. Impact of urbanization on groundwater recharge rates in Dübendorf, Switzerland. J. Hydrol. 2017. [Google Scholar] [CrossRef]
- Epting, J.; Scheidler, S.; Affolter, A.; Borer, P.; Mueller, M.H.; Egli, L.; García-Gil, A.; Huggenberger, P. The thermal impact of subsurface building structures on urban groundwater resources—A paradigmatic example. Sci. Total Environ. 2017, 596–597, 87–96. [Google Scholar] [CrossRef] [PubMed]
- Liu, F.; Yi, S.; Ma, H.; Huang, J.; Tang, Y.; Qin, J.; Zhou, W.-H. Risk assessment of groundwater environmental contamination: A case study of a karst site for the construction of a fossil power plant. Environ. Sci. Pollut. Res. 2017. [Google Scholar] [CrossRef] [PubMed]
- Melchior, P. Earth Tides in Research in Geophysics, 2nd ed.; Odishaw, H., Ed.; Massachusetts Institute of Technology Press: Cambridge, MA, USA, 1964; pp. 183–193. [Google Scholar]
- Bredehoeft, J.D. Response of well-aquifer systems to earth tides. J. Geophys. Res. 1967, 72, 3075–3087. [Google Scholar] [CrossRef]
- Freeze, R.A.; Cherry, J.A. Groundwater; Prentice Hall: Upper Saddle River, NJ, USA, 1979. [Google Scholar]
- George, L.M. Introduction to Physical Oceanography; American Institute of Physics: College Park, MD, USA, 1996. [Google Scholar]
- Holman, I.; Rivas-Casado, M.; Bloomfield, J.P.; Gurdak, J.J. Identifying non-stationary groundwater level response to North Atlantic ocean-atmosphere teleconnection patterns using wavelet coherence. Hydrogeol. J. 2011, 19, 1269–1278. [Google Scholar] [CrossRef]
- Bloomfield, J.P.; Marchant, B.P. Analysis of groundwater drought building on the standardised precipitation index approach. Hydrol. Earth Syst. Sci. 2013, 17, 4769–4787. [Google Scholar] [CrossRef]
- Van Loon, A.F. On the Propagation of Drought: How Climate and Catchment Characteristics Influence Hydrological Drought Development and Recovery. Ph.D. Thesis, Wageningen University, Wageningen, The Netherlands, 2013. Available online: http://edepot.wur.nl/249786 (accessed on 20 September 2017).
- Zhang, R.R.; Chen, X.; Cheng, Q.B.; Zhang, Z.C.; Shi, P. Joint probability of precipitation and reservoir storage for drought estimation in the headwater basin of the Huaihe River, China. Stoch. Environ. Res. Risk Assess. 2016, 30, 1641–1657. [Google Scholar] [CrossRef]
- Hall, F.R. Base Flow Recessions—A Review. Water Resour. Res. 1968, 4, 973–983. [Google Scholar] [CrossRef]
- Hayashi, M.; Rosenberry, D.O. Effects of Ground Water Exchange on the Hydrology and Ecology of Surface Water. Groundwater 2002, 40, 309–316. [Google Scholar] [CrossRef]
- Bekesi, G.; McGuire, M.; Moiler, D. Groundwater Allocation Using a Groundwater Level Response Management Method-Gnangara Groundwater System, Western Australia. Water Resour. Manag. 2009, 23, 1665–1683. [Google Scholar] [CrossRef]
- Martens, K.; Van Camp, M.; Walraevens, K. Quantification of water table dynamics as a reference for impact assessment of ecohydrological enhancement measures in a dune area in Begium. Environ. Earth Sci. 2015, 73, 2223–2240. [Google Scholar] [CrossRef]
- Chang, T.J.; Teoh, C.B. Use of the Kriging method for studying characteristics of ground water droughts. J. Am. Water Resour. Assoc. 1995, 257, 1001–1007. [Google Scholar] [CrossRef]
- Eltahir, E.A.B.; Yeh, P.J.F. On the asymmetric response of aquifer water level to floods and droughts in Illinois. Water Resour. Res. 1999, 35, 1199–1217. [Google Scholar] [CrossRef]
- Van Loon, A.F.; Gleeson, T.; Clark, J.; Van Dijk, A.I.J.M.; Stahl, K.; Hannaford, J.; Di Baldassarre, G.; Teuling, A.J.; Tallaksen, L.M.; Uijlenhoet, R.; et al. Drought in the Anthropocence. Nat. Geosci. 2016, 9, 89–91. [Google Scholar] [CrossRef]
- Mishra, A.K.; Singh, V.P. A review of drought concepts. J. Hydrol. 2010, 391, 202–216. [Google Scholar] [CrossRef]
- Marsh, T.J.; Monkhouse, R.A.; Arnell, N.W.; Lees, M.L.; Reynard, N.S. The 1988–92 Drought; Institute of Hydrology: Wallingford, UK, 1994. [Google Scholar]
- Peters, E.; Van Lanen, H.A.J.; Bradford, R.B.; de Abia, J.C.; Martinez Cortina, L. Droughts derived from groundwater heads and groundwater discharge. In Assessment of the Regional Impact of Droughts in Europe; Final Report to the European Union; Institute of Hydrology, University of Freiburg: Breisgau, Germany, 2001; pp. 35–39. [Google Scholar]
- Mendicino, G.; Senatore, A.; Versace, P. A Groundwater Resource Index (GRI) from drought monitoring and forecasting in a Mediterranean climate. J. Hydrol. 2008, 357, 282–302. [Google Scholar] [CrossRef]
- Ben-Zvi, A. Indices of hydrological drought in Israel. J. Hydrol. 1987, 92, 179–191. [Google Scholar] [CrossRef]
- Nalbantis, I.; Tsakiris, G. Assessment of Hydrological Drought Revisited. Water Resour. Manag. 2009, 23, 881–897. [Google Scholar] [CrossRef]
- Ministry of Land, Transport and Maritime Affairs (MLTM). Mangyeong River Basic Plan (supplementation) Report; MLTM: Sejong, Korea, 2012. (In Korean)
- Wilhite, D.A. Drought: A Global Assessment; Routledge Hazards and Disasters Series; Routledge: London, UK, 2000; Volume I–II. [Google Scholar]
- Hisdal, H.; Tallaksen, L.M.; Clausen, B.; Peters, E.; Gustard, A. Hydrological Drought Processes and Estimation Methods for Streamflow and Groundwater; Developments in Water Science 48; Elsevier Science B.V.: Amsterdam, The Netherlands, 2004; Chapter 5; pp. 139–198. [Google Scholar]
- Hisdal, H.; Tallaksen, L.M. Drought Event Definition; ARIDE Technical Report No. 6; University of Oslo: Oslo, Norway, 2000. [Google Scholar]
- Peters, E. Propagation of Drought through Groundwater Systems: Illustrated in the Pang (UK) and Upper-Guadiana (ES) Catchment. Ph.D. Thesis, Wageningen University, Wageningen, The Netherlands, 2003. [Google Scholar]
- Box, G.E.P.; Jenkins, G.M. Time Series Analysis: Forecasting and Control; Holden-Day: San Francisco, CA, USA, 1976. [Google Scholar]
- Davis, J.C. Statistics and Data Analysis in Geology, 2nd ed.; Wiley: New York, NY, USA, 1986. [Google Scholar]
- Mayaud, C.; Wagner, T.; Benischke, R.; Birk, S. Single event time series analysis in a binary karst catchment evaluated using a groundwater model (Lurbach system, Austria). J. Hydrol. 2014, 511, 628–639. [Google Scholar] [CrossRef] [PubMed]
- Laricque, M.; Mangin, A.; Razack, M.; Banton, O. Contribution of Correlation and Spectral Analysis to the Regional Study of a Large Karst Aquifer (Charente, France). J. Hydrol. 1998, 5, 217–231. [Google Scholar] [CrossRef]
- Wanders, N.; Van Lanen, H.A.J.; Van Loon, A.F. Indicators for Drought Characterization on a Global Scale; WATCH Technical Report, No. 24; Wageningen University: Wageningen, The Netherlands, 2010. [Google Scholar]
- Sheffield, J.; Wood, E.F. Drought: Past Problems and Future Scenarios; Routledge, Taylor and Francis: New York, NY, USA, 2011. [Google Scholar]
- WMO. Standardized Precipitation Index User Guide; WMO-No. 1090; Svoboda, M., Hayes, M., Wood, D., Eds.; WMO: Geneva, Switzerland, 2012. [Google Scholar]
- Van Lanen, H.A.J.; Peters, E. Definition, Effects and Assessment of Groundwater Droughts. In Drought and Drought Mitigation in Europe; Vogt, J.V., Somma, F., Eds.; Advances in Natural and Technological Hazards Research; Springer: Dordrecht, The Netherlands, 2000; pp. 49–61. [Google Scholar]
- Calow, R.; Robins, N.; Macdonald, A.; Nicol, A. Planning for groundwater drought in Africa. In Proceedings of the International Conference on Integrated Drought Management: Lessons for Sub-Saharan Africa, Pretoria, South Africa, 20–22 September 1999; IHP-V, Technical Documents in Hydrology, No. 35. pp. 255–270. [Google Scholar]
- Yevjevich, V. An Objective Approach to Definitions and Investigations of Continental Hydrologic Droughts; Hydrology Papers; Colorado State University: Fort Collins, CO, USA, 1967; Volume 23. [Google Scholar]
- Tallaksen, L.M.; Madsen, H.; Clausen, B. On the definition and modelling of streamflow drought duration and deficit volume. Hydrol. Sci. J. 1997, 42, 15–33. [Google Scholar] [CrossRef]
- Peters, E.; Torfs, P.J.J.F.; Van Lanen, H.A.J.; Bier, G. Propagation of drought through groundwater—A new approach using linear reservoir theory. Hydrol. Process. 2003, 17, 3023–3040. [Google Scholar] [CrossRef]
- Peters, E.; Van Lanen, H.A.J.; Torfs, P.J.J.F.; Bier, G. Drought in groundwater-drought distribution and performance indicators. J. Hydrol. 2005, 306, 302–317. [Google Scholar] [CrossRef]
- Van Lanen, H.A.J.; Kundzewicz, Z.W.; Tallaksen, L.M.; Hisdal, H.; Fendeková, M.; Prudhomme, C. Indices for Different Types of Droughts and Floods at Different Scales; Water and Global Change; Centre for Ecology and Hydrology: Wallingford, UK, 2008. [Google Scholar]
- Ha, K.; Ko, K.S.; Koh, D.C.; Yum, B.W.; Lee, K.K. Time Series Analysis of the Responses of the Groundwater Levels at Multi-depth Wells according to the River Stage Fluctuations. Econ. Environ. Geol. 2006, 39, 269–284. (In Korean) [Google Scholar]
- Lee, J.M.; Woo, N.C.; Lee, C.J.; Yoo, K.J. Characterising Bedrock Aquifer Systems in Korea Using Paired Water-Level Monitoring Data. Water 2017, 9, 420. [Google Scholar] [CrossRef]
- Van Loon, A.F.; Van Lanen, H.A.J. Making the distribution between water scarcity and drought using an observation-modeling framework. Water Resour. Res. 2013, 49, 1483–1502. [Google Scholar] [CrossRef]
- Ministry of Construction and Transportation (MOCT). A Report on Estimation of Instream Flow and River in the Han River Basin; MOCT: Seoul, Korea, 1998. (In Korean)
- Barlow, P.M.; Cunningham, W.L.; Zhai, T.; Gray, M. U.S. Geological Survey Groundwater Toolbox, a Graphical and Mapping Interface for Analysis of Hydrologic Data (Version 1.0)—User Guide for Estimation of Base Flow, Runoff, and Groundwater Recharge from Streamflow Data; U.S. Geological Survey Techniques and Methods, Book 3; U.S. Geological Survey: Reston, VA, USA, 2015; Chapter B10; 27p, Available online: http://dx.doi.org/10.3133/tm3B10 (accessed on 2 October 2017).















| Station | Name | Lat. | Lng. | Distance from the Weather Station (km) | Elevation (m, amsl) | Remark |
|---|---|---|---|---|---|---|
| ASOS-146 | Jeonju | 35.833333 | 127.116667 | 0 | 61.40 | Precipitation |
| G-1 | GimjaeYongji | 35.858976 | 126.981332 | 12.5 | 15.04 | Groundwater |
| G-2 | JeonjuManseong | 35.827778 | 127.076667 | 3.7 | 36.31 | Groundwater |
| G-3 | WanjuSamrye | 35.901069 | 127.070253 | 8.6 | 15.57 | Groundwater |
| G-4 | WanjuYongjin | 35.871667 | 127.157778 | 5.6 | 28.83 | Groundwater |
| G-5 | WanjuGosan | 35.985575 | 127.262606 | 21.4 | 73.62 | Groundwater |
| WLS 3301685 * | Mokcheon | 35.913336 | 126.931689 | 18.9 | −2.11 | Stream |
| WLS 3301670 * | Daecheon | 35.898740 | 127.075324 | 8.2 | 2.93 | Stream |
| WLS 3301640 * | Soyang | 35.877825 | 127.154989 | 6.0 | 21.25 | Stream |
| WLS 3301625 * | Gosan | 35.973044 | 127.215364 | 17.9 | 43.25 | Stream |
| Station | Aquifer | Well Depth (m) | Water-Level (EL, m) | Mean Depth to Water (m) | Hydraulic Conductivity (m/day) | Storage Coefficient | ||
|---|---|---|---|---|---|---|---|---|
| Max. | Min. | Mean | ||||||
| G-1 | Biotite granite (Bedrock) | 70 | 14.24 | 11.58 | 13.67 | 0.55 | 0.34 | 0.0556 |
| G-2 | Gneissic granite (Alluvial) | 12 | 32.07 | 27.65 | 29.95 | 2.75 | 0.01 | - |
| G-3 | Schistose granite (Alluvial) | 15 | 10.88 | 8.16 | 9.45 | 6.60 | 0.23 | 0.0342 |
| G-4 | Biotite granite (Alluvial) | 12 | 25.21 | 23.02 | 23.79 | 3.77 | 0.01 | - |
| G-5 | Volcanic rocks (Bedrock) | 70 | 69.74 | 67.27 | 68.55 | 2.62 | 0.25 | - |
| Station | Rainfall | WLS 3301685 | WLS 3301670 | WLS 3301640 | WLS 3301625 | G-1 | G-2 | G-3 | G-4 | G-5 |
|---|---|---|---|---|---|---|---|---|---|---|
| Rainfall | 1.000 | |||||||||
| WLS 3301685 | 0.337 * | 1.000 | ||||||||
| WLS 3301670 | 0.746 ** | 0.396 ** | 1.000 | |||||||
| WLS 3301640 | 0.600 ** | 0.355 ** | 0.555 ** | 1.000 | ||||||
| WLS 3301625 | 0.502 ** | 0.512 ** | 0.728 ** | 0.587 ** | 1.000 | |||||
| G-1 | 0.085 | 0.092 | 0.182 * | 0.075 | 0.136 | 1.000 | ||||
| G-2 | −0.035 | −0.560 ** | 0.038 | −0.042 | −0.004 | 0.180 * | 1.000 | |||
| G-3 | 0.454 ** | 0.079 | 0.443 ** | 0.483 ** | 0.399 ** | 0.006 | 0.392 ** | 1.000 | ||
| G-4 | 0.749 ** | 0.450 ** | 0.744 ** | 0.759 ** | 0.583 ** | 0.194 * | 0.012 | 0.508 ** | 1.000 | |
| G-5 | 0.600 ** | 0.566 ** | 0.540 ** | 0.576 ** | 0.519 ** | 0.094 | −0.250 ** | 0.248 ** | 0.604 ** | 1.000 |
| Station | Aquifer Type a | Elevation (m) | Threshold (m) | Cross Correlation b | Lag-Time (Month) | Drought (c 0.3) | Drought (c 0.1) | |||
|---|---|---|---|---|---|---|---|---|---|---|
| c 0.3 | c 0.1 | Duration (L) c | Frequency | Duration (L) c | Frequency | |||||
| G-1 | SC | 15.04 | 13.19 | 12.85 | 0.26 | 0 | 23 | 22 | 19 | 14 |
| G-2 | UC | 36.31 | 29.39 | 28.96 | - | - | 83 | 10 | 51 | 6 |
| G-3 | ND | 15.57 | 9.08 | 8.87 | 0.72 | 1 | 125 | 9 | 81 | 7 |
| G-4 | SC | 28.79 | 23.65 | 23.56 | 0.75 | 0 | 75 | 16 | 51 | 12 |
| G-5 | UC | 73.62 | 68.32 | 68.19 | 0.60 | 0 | 63 | 14 | 49 | 11 |
| Drought Periods | Impact or Management | Drought Condition | |
|---|---|---|---|
| 2006 | October | Action | 30% of normal rainfall (August–October) 67% reservoir storage (8% higher than normal) |
| 2008~2009 | September~February | Local damage | 46.4% of annual mean rainfall (southern area: 34%) 58% of mean reservoir storage (25% higher than normal) |
| 2012 | May~June | Action | 32% of annual mean rainfall |
| No damage | Rainfall: Gyeonggi-do 15%, Chungcheongnam-do 19%, Jeollabuk-do 21%, Jeollanam-do 23% | ||
| - | Reservoir storage: 40% (47% higher than normal) | ||
| 2014 | July | Restrictions on water supply for domestic water | 50–61% of normal rainfall (Seoul, Gyeonggi-do, Chungcheong-do) |
| 2015 | August~November | Restrictions on water supply for industrial and domestic water | Eight metropolitan areas in Chungcheongnam-do and most areas in Gyeonggi-do at a ‘severe’ level Low reservoir storage level |
| Year | Month | SPI (6-M) | Groundwater Drought Methods | ||||||||||||||
|---|---|---|---|---|---|---|---|---|---|---|---|---|---|---|---|---|---|
| Threshold (c 0.3) | Threshold (c 0.1) | 95% Occurrence | |||||||||||||||
| G-1 | G-2 | G-3 | G-4 | G-5 | G-1 | G-2 | G-3 | G-4 | G-5 | G-1 | G-2 | G-3 | G-4 | G-5 | |||
| 2006 | October | O | O | O | O | O | O | O | O | O | X | O | X | X | X | O | O |
| 2009 | September–February | O | O | O | O | O | O | O | O | O | O | O | O | O | O | O | O |
| 2012 | May–June | O | O | X | O | O | O | O | X | X | O | X | O | X | X | O | O |
| 2014 | July | O | O | X | X | O | O | O | X | X | O | X | X | X | X | O | O |
| 2015 | August–November | O | O | X | X | O | O | X | X | X | O | O | O | X | X | O | O |
| Estimated overall frequency of drought | 11 | 22 | 10 | 9 | 16 | 14 | 14 | 6 | 7 | 12 | 11 | 5 | 4 | 2 | 6 | 7 | |
© 2018 by the authors. Licensee MDPI, Basel, Switzerland. This article is an open access article distributed under the terms and conditions of the Creative Commons Attribution (CC BY) license (http://creativecommons.org/licenses/by/4.0/).
Share and Cite
Lee, J.M.; Park, J.H.; Chung, E.; Woo, N.C. Assessment of Groundwater Drought in the Mangyeong River Basin, Korea. Sustainability 2018, 10, 831. https://doi.org/10.3390/su10030831
Lee JM, Park JH, Chung E, Woo NC. Assessment of Groundwater Drought in the Mangyeong River Basin, Korea. Sustainability. 2018; 10(3):831. https://doi.org/10.3390/su10030831
Chicago/Turabian StyleLee, Jae Min, Jong Hoon Park, Euijin Chung, and Nam C. Woo. 2018. "Assessment of Groundwater Drought in the Mangyeong River Basin, Korea" Sustainability 10, no. 3: 831. https://doi.org/10.3390/su10030831
APA StyleLee, J. M., Park, J. H., Chung, E., & Woo, N. C. (2018). Assessment of Groundwater Drought in the Mangyeong River Basin, Korea. Sustainability, 10(3), 831. https://doi.org/10.3390/su10030831

