A Multi-Objective Ground Motion Selection Approach Matching the Acceleration and Displacement Response Spectra
Abstract
:1. Introduction
2. Compatibility of Response Spectra and GM Selection Framework
2.1. Review of Displacement Response Spectra from International Seismic Codes
2.2. Importance of Spectral Compatibility
2.3. Framework of the New GM Selection Algorithm
- (1)
- Initial populations are generated similarly with traditional method, but the generation method is changed using a Markov chain Monte Carlo (MCMC) sampling technique. Additionally, the total number of populations is divided into two parts, i.e., n and m, where variable n denotes the number of sub-target displacement response spectra and variable m denotes the sampling frequency for each target. Finally, a GM set including sub-sets of records is totally generated matching the target displacement response spectra.
- (2)
- Non-dominated sorting technique is essential for this proposed algorithm since the displacement response spectrum mean and variance are taken as respective target functions. Note that the generation of initial populations is different from the traditional method. Populations generated from different sub-target response spectra may have different ranking levels.
- (3)
- Thus, individuals ranking in the first level, rather than ranking at the latter half, are selected for the next evolving procedure since the displacement response spectrum is not the only target hereafter. The acceleration response spectrum mean and variance are also the targets so that potentially optimal sets of GMs are only interested. It is different from traditional multi-objective optimization that the evolved populations do not need to compare with the former original sets of GMs because the evolving procedure does not introduce samples outside the original set but only withdraws bad ones. The evolving procedure will be illustrated in the following section.
- (4)
- GM sets after evolvement can probably improve the match of target acceleration and displacement response spectra. However, there is only one set of GMs finally selected as the optimal solution. Individuals evolved will be sorted according to their deviation from both target spectra and compatibility of the spectra which are synthesized as a function taking the weights of these variables into consideration. Details of this function will be stated in the following section. Note that the major target of the proposed GM selection algorithm is to derive a set of GMs whose response spectra are the most compatible. Therefore, computation will stop once the compatible tolerance is satisfied. Meanwhile, more iteration is needed if target tolerance cannot be satisfied. The solution can approach the optimal state to full extent if target tolerance is not specified.
2.4. Ground Motion Database and Scaling Approach
3. Ground Motion Selection Using the Passive Matching Distribution-Scaled Method (PMDS)
3.1. Generation of Initial Population
3.2. Non-Dominated Sorting of Initial Populations
3.3. Evolving Based on the Distribution-Scaled Method
3.4. Selecting the Optimal Solution
3.5. Example of PMDS Method on GM Selection According to TDSI
4. Application of PMDS and Its Influence on Structural Response
4.1. GM Selection Based on PMDS
4.2. GM Selection Based on Baker’s Greedy Method
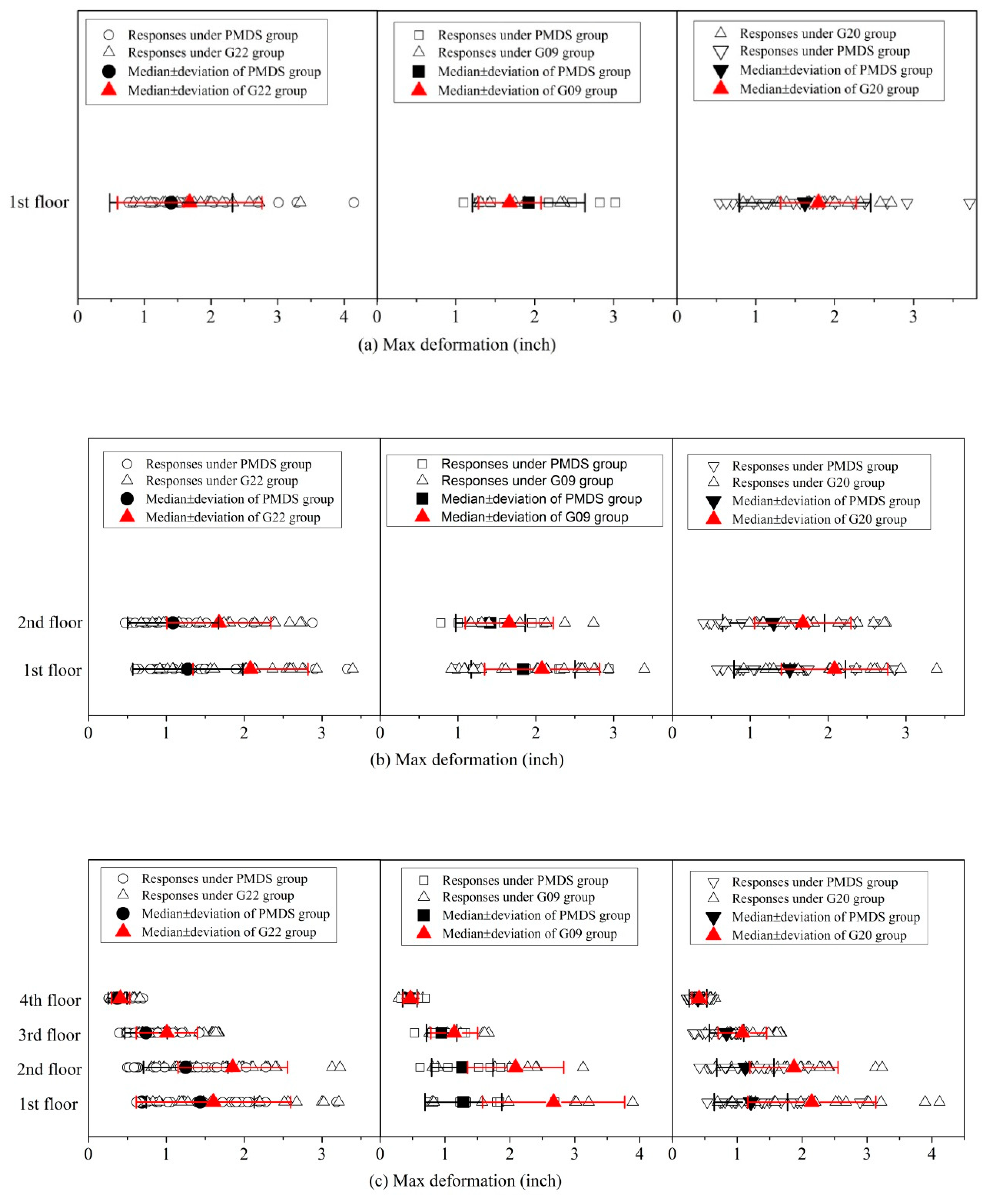
4.3. Influence of GM Selection Results on Structural Response
4.3.1. Numerical Model of Reinforcement Concrete Frames
4.3.2. Impact of GM Selection on Structural Responses
5. Conclusions
Author Contributions
Funding
Conflicts of Interest
References
- Cimellaro, G.P.; Renschler, C.; Bruneau, M. Introduction to resilience-based design (RBD). In Computational Methods, Seismic Protection, Hybrid Testing and Resilience in Earthquake Engineering; Springer: Cham, Switzerland, 2015; pp. 151–183. [Google Scholar]
- Katsanos, E.I.; Sextos, A.G.; Manolis, G.D. Selection of earthquake ground motion records: A state-of-the-art review from a structural engineering perspective. Soil Dyn. Earthq. Eng. 2010, 30, 157–169. [Google Scholar] [CrossRef]
- Jayaram, N.; Baker, J.W. Ground-motion selection for PEER Transportation Systems Research Program. In Proceedings of the 7th CUEE and 5th ICEE Joint Conference, Tokyo, Japan, 3–5 March 2010. [Google Scholar]
- Zhai, C.H.; Xie, L.L. A new approach of selecting real input ground motions for seismic design: The most unfavourable real seismic design ground motions. Earthq. Eng. Struct. Dyn. 2007, 36, 1009–1027. [Google Scholar] [CrossRef]
- Beyer, K.; Bommer, J.J. Selection and Scaling of Real Accelerograms for Bi-Directional Loading: A Review of Current Practice and Code Provisions. J. Earthq. Eng. 2007, 11, 13–45. [Google Scholar] [CrossRef]
- Shantz, T.J. Selection and scaling of earthquake records for nonlinear dynamic analysis of first model dominated bridge structures. In Proceedings of the 8th U.S. National Conference on Earthquake Engineering, San Francisco, CA, USA, 18–22 April 2006. [Google Scholar]
- Watson-Lamprey, J.; Abrahamson, N. Selection of ground motion time series and limits on scaling. Soil Dyn. Earthq. Eng. 2006, 26, 477–482. [Google Scholar] [CrossRef]
- Dussom, K.B.; Hadj-Hamou, T.; Bakeer, R.M. Quake: An expert system for the selection of design earthquake accelerogram. Comput. Struct. 1991, 40, 161–167. [Google Scholar] [CrossRef]
- Wang, G.; Youngs, R.; Power, M.; Li, Z. Design ground motion library: an interactive tool for selecting earthquake ground motions. Earthq. Spectra 2015, 31, 617–635. [Google Scholar] [CrossRef]
- Al Atik, L.; Abrahamson, N. An improved method for nonstationary spectral matching. Earthq. Spectra 2010, 26, 601–617. [Google Scholar] [CrossRef]
- Youngs, R.R.; Power, M.S.; Wang, G.; Makdisi, F.I.; Chin, C.C. Design ground motion library (DGML)—Tool for selecting time history records for specific engineering applications. In Proceedings of the SMIP07 Seminar on Utilization of Strong-Motion Data, Sacramento, CA, USA, 13 September 2007. [Google Scholar]
- Naeim, F.; Alimoradi, A.; Pezeshk, S. Selection and scaling of ground motion time histories for structural design using genetic algorithms. Earthq. Spectra 2004, 20, 413–426. [Google Scholar] [CrossRef]
- Georgioudakis, M.; Fragiadakis, M.; Papadrakakis, M. Multi-criteria selection and scaling of ground motion records using Evolutionary Algorithms. Procedia Eng. 2017, 199, 3528–3533. [Google Scholar] [CrossRef]
- Jayaram, N.; Lin, T.; Baker, J.W. A computationally efficient ground-motion selection algorithm for matching a target response spectrum mean and variance. Earthq. Spectra 2011, 27, 797–815. [Google Scholar] [CrossRef]
- Moschen, L.; Medina, R.A.; Adam, C. A Ground Motion Record Selection Approach Based on Multiobjective Optimization. J. Earthq. Eng. 2017, 21, 1–19. [Google Scholar] [CrossRef]
- FEMA, Federal Emergency Management Agency. Improvement of Nonlinear Static Seismic Analysis Procedures, FEMA 440; Applied Technology Council (ATC-55 Project): Washington, DC, USA, 2005.
- Powell, G.H. Displacement-based seismic design of structures. Earthq. Spectra 2008, 24, 555–557. [Google Scholar] [CrossRef]
- Smerzini, C.; Galasso, C.; Iervolino, I.; Paolucci, R. Ground motion record selection based on broadband spectral compatibility. Earthq. Spectra 2014, 30, 1427–1448. [Google Scholar] [CrossRef]
- Code-NTC08 I. Norme tecniche per le costruzioni in zone sismiche. Ministerial Decree DM 2008, 14, 9-04.02. [Google Scholar]
- Kottke, A.; Rathje, E.M. A semi-automated procedure for selecting and scaling recorded earthquake motions for dynamic analysis. Earthq. Spectra 2008, 24, 911–932. [Google Scholar] [CrossRef]
- Iervolino, I.; Cornell, C.A. Record selection for nonlinear seismic analysis of structures. Earthq. Spectra 2005, 21, 685–713. [Google Scholar] [CrossRef]
- Heo, Y.A.; Kunnath, S.K. Abrahamson N. Amplitude-scaled versus spectrum-matched ground motions for seismic performance assessment. J. Struct. Eng. 2010, 137, 278–288. [Google Scholar] [CrossRef]
- Seifried, A.E. Response Spectrum Compatibilization and Its Impact on Structural Response Assessment. Ph.D. Thesis, Stanford University, Stanford, CA, USA, 2013. [Google Scholar]
- Deb, K.; Agrawal, S.; Pratap, A.; Meyarivan, T. A fast elitist non-dominated sorting genetic algorithm for multi-objective optimization: NSGA-II. In Parallel Problem Solving from Nature PPSN VI; Springer: Heidelberg, Germany, 2000; pp. 849–858. [Google Scholar]
- Iervolino, I.; Galasso, C.; Cosenza, E. REXEL: Computer aided record selection for code-based seismic structural analysis. Bull. Earthq. Eng. 2010, 8, 339–362. [Google Scholar] [CrossRef]
- Baker, J.W. The conditional mean spectrum: A tool for ground motion selection. ASCE J. Struct. Eng. 2011, 137, 322–331. [Google Scholar] [CrossRef]
- American Society of Civil Engineers. Minimum Design Loads for Buildings and Other Structures; ASCE: Reston, VA, USA, 2010. [Google Scholar]
- American Concrete Institute. ACI 318–14: Building Code Requirements for Structural Concrete and Commentary; American Concrete Institute: Farmington Hills, MI, USA, 2014. [Google Scholar]
- International Code Council. International Building Code, USA. 2012. Available online: https://codes.iccsafe.org/content/IBC2012/toc (accessed on 18 November 2018).
- Haselton, C.B. Assessing Seismic Collapse Safety of Modern Reinforced Concrete Moment Frame Buildings; Stanford University: Stanford, CA, USA, 2006. [Google Scholar]
- Ellingwood, B. Development of a Probability Based Load Criterion for American National Standard A58: Building Code Requirements for Minimum Design Loads in Buildings and Other Structures; US Department of Commerce, National Bureau of Standards, 1980. Available online: https://nehrpsearch.nist.gov/static/files/NIST/PB80196512.pdf (accessed on 18 November 2018).
- Mazzoni, S.; McKenna, F.; Scott, M.H.; Fenves, G.L. OpenSees Command Language Manual; Pacific Earthquake Engineering Research (PEER) Center: Berkeley, CA, USA, 2006. [Google Scholar]
- Federal Emergency Management Agency. Quantification of Building Seismic Performance Factors; FEMA: Washington, DC, USA, 2009.
- Panagiotakos, T.B.; Fardis, M.N. Deformations of reinforced concrete members at yielding and ultimate. Struct. J. 2001, 98, 135–148. [Google Scholar]
- Sugano, S.; Koreishi, I. An empirical evaluation of inelastic behavior of structural elements in reinforced concrete frames subjected to lateral forces. V WCEE 1974, 1, 841–844. [Google Scholar]
- Ibarra, L.F.; Medina, R.A.; Krawinkler, H. Hysteretic models that incorporate strength and stiffness deterioration. Earthq. Eng. Struct. Dyn. 2005, 34, 1489–1511. [Google Scholar] [CrossRef]
















| GM Set | Waveform ID | Station ID | Earthquake Name | Date | Mw | Fault Mechanism | Epicentral Distance (km) |
|---|---|---|---|---|---|---|---|
| Set 1 | 014(y component) | TKY011 | Near Miyakejima Island | 2000-7-30 | 6.4 | strike-slip | 21.59 |
| 114(y component) | ST_108 | South Iceland | 2000-6-17 | 6.5 | strike-slip | 13.23 | |
| 118(y component) | ST_105 | South Iceland | 2000-6-21 | 6.4 | strike-slip | 21.37 | |
| 243(y component) | FKS014 | EASTERN FUKUSHIMA PREF | 2011-4-11 | 6.6 | normal | 23.07 | |
| 244(y component) | FKS015 | EASTERN FUKUSHIMA PREF | 2011-4-11 | 6.6 | normal | 27.56 | |
| 383(y component) | CACS | Christchurch | 2011-6-13 | 6.0 | reverse | 19.34 | |
| 389(x component) | RHSC | Christchurch | 2011-6-13 | 6.0 | reverse | 14.76 | |
| Set 2 | 124(x component) | ST_306 | South Iceland | 2000-6-21 | 6.4 | strike-slip | 20.18 |
| 242(x component) | FKS011 | EASTERN FUKUSHIMA PREF | 2011-4-11 | 6.6 | normal | 26.24 | |
| 242(y component) | FKS011 | EASTERN FUKUSHIMA PREF | 2011-4-11 | 6.6 | normal | 26.24 | |
| 313(x component) | SAN0 | EMILIA_Pianura_Padana | 2012-5-29 | 6.0 | reverse | 4.73 | |
| 345(x component) | TPLC | Christchurch | 2011-2-21 | 6.2 | reverse | 19.97 | |
| 383(x component) | CACS | Christchurch | 2011-6-13 | 6.0 | reverse | 19.34 | |
| 388(x component) | PPHS | Christchurch | 2011-6-13 | 6.0 | reverse | 13.44 | |
| 388(y component) | PPHS | Christchurch | 2011-6-13 | 6.0 | reverse | 13.44 | |
| 391(y component) | SMTC | Christchurch | 2011-6-13 | 6.0 | reverse | 14.86 | |
| 438(x component) | ST_36445 | Parkfield | 2004-9-28 | 6.0 | strike-slip | 15.23 |
| Structure | No. of Story | Bay Width (ft) | Period (s) | Design Base Shear (kips) | Peak Base Shear (kips) | Over-Strength |
|---|---|---|---|---|---|---|
| Str01 | 1 | 20 | 0.42 | 46.9 | 102 | 2.17 |
| Str02 | 2 | 20 | 0.62 | 65 | 127.6 | 1.96 |
| Str03 | 4 | 20 | 0.89 | 92.9 | 167.5 | 1.8 |
| Str04 | 8 | 20 | 1.76 | 92 | 129.5 | 1.41 |
| Structure | Story Number | NZS2004 | EC8 | NTC08 | |||
|---|---|---|---|---|---|---|---|
| Median | Deviation | Median | Deviation | Median | Deviation | ||
| Str01 | 1 | 1.40 | 0.89 | 1.92 | 0.71 | 1.62 | 0.83 |
| Str02 | 1 | 1.27 | 0.71 | 1.84 | 0.67 | 1.51 | 0.71 |
| 2 | 1.09 | 0.58 | 1.42 | 0.45 | 1.30 | 0.65 | |
| Str03 | 1 | 1.44 | 0.69 | 1.28 | 0.59 | 1.20 | 0.57 |
| 2 | 1.25 | 0.54 | 1.27 | 0.47 | 1.12 | 0.44 | |
| 3 | 0.74 | 0.27 | 0.95 | 0.23 | 0.83 | 0.26 | |
| 4 | 0.73 | 0.12 | 0.46 | 0.11 | 0.40 | 0.14 | |
| Str04 | 1 | 1.29 | 0.65 | 1.06 | 0.25 | 0.96 | 0.31 |
| 2 | 1.68 | 0.82 | 1.36 | 0.35 | 1.13 | 0.39 | |
| 3 | 1.82 | 0.92 | 1.46 | 0.40 | 0.96 | 0.41 | |
| 4 | 1.76 | 0.86 | 1.16 | 0.32 | 0.89 | 0.40 | |
| 5 | 1.43 | 0.72 | 1.01 | 0.32 | 0.99 | 0.28 | |
| 6 | 1.00 | 0.53 | 1.10 | 0.29 | 0.99 | 0.23 | |
| 7 | 0.69 | 0.32 | 0.84 | 0.15 | 0.71 | 0.21 | |
| 8 | 0.38 | 0.19 | 0.46 | 0.07 | 0.40 | 0.13 | |
| Structure | Story Number | Baker G22 | Baker G09 | Baker G20 | |||
|---|---|---|---|---|---|---|---|
| Median | Deviation | Median | Deviation | Median | Deviation | ||
| Str01 | 1 | 1.68 | 0.60 | 1.68 | 0.40 | 1.79 | 0.48 |
| Str02 | 1 | 2.08 | 0.74 | 2.13 | 0.59 | 2.08 | 0.68 |
| 2 | 1.67 | 0.67 | 1.66 | 0.56 | 1.67 | 0.62 | |
| Str03 | 1 | 1.61 | 0.99 | 2.67 | 1.09 | 2.15 | 0.99 |
| 2 | 1.85 | 0.70 | 2.09 | 0.74 | 1.87 | 0.68 | |
| 3 | 1.00 | 0.39 | 1.14 | 0.36 | 1.08 | 0.37 | |
| 4 | 0.41 | 0.12 | 0.47 | 0.11 | 0.41 | 0.11 | |
| Str04 | 1 | 1.25 | 0.43 | 1.27 | 0.49 | 1.24 | 0.45 |
| 2 | 1.47 | 0.60 | 1.41 | 0.58 | 1.44 | 0.61 | |
| 3 | 1.35 | 0.64 | 1.33 | 0.59 | 1.35 | 0.64 | |
| 4 | 1.20 | 0.58 | 1.06 | 0.61 | 1.25 | 0.58 | |
| 5 | 1.34 | 0.47 | 1.14 | 0.55 | 1.35 | 0.50 | |
| 6 | 1.21 | 0.33 | 1.12 | 0.37 | 1.18 | 0.37 | |
| 7 | 0.83 | 0.20 | 0.80 | 0.18 | 0.81 | 0.22 | |
| 8 | 0.46 | 0.10 | 0.44 | 0.11 | 0.47 | 0.09 | |
© 2018 by the authors. Licensee MDPI, Basel, Switzerland. This article is an open access article distributed under the terms and conditions of the Creative Commons Attribution (CC BY) license (http://creativecommons.org/licenses/by/4.0/).
Share and Cite
Chen, Y.; Xu, L.; Zhu, X.; Liu, H. A Multi-Objective Ground Motion Selection Approach Matching the Acceleration and Displacement Response Spectra. Sustainability 2018, 10, 4659. https://doi.org/10.3390/su10124659
Chen Y, Xu L, Zhu X, Liu H. A Multi-Objective Ground Motion Selection Approach Matching the Acceleration and Displacement Response Spectra. Sustainability. 2018; 10(12):4659. https://doi.org/10.3390/su10124659
Chicago/Turabian StyleChen, Yabin, Longjun Xu, Xingji Zhu, and Hao Liu. 2018. "A Multi-Objective Ground Motion Selection Approach Matching the Acceleration and Displacement Response Spectra" Sustainability 10, no. 12: 4659. https://doi.org/10.3390/su10124659
APA StyleChen, Y., Xu, L., Zhu, X., & Liu, H. (2018). A Multi-Objective Ground Motion Selection Approach Matching the Acceleration and Displacement Response Spectra. Sustainability, 10(12), 4659. https://doi.org/10.3390/su10124659
