Understanding Farm Diversity to Promote Agroecological Transitions
Abstract
1. Introduction
2. Methods
2.1. Study Region
2.2. Farm Typology Construction
2.2.1. Participatory Typology
2.2.2. Farm Characterisation and Quantitative Typology
Multivariate Analysis and Farm Classification
Characterisation of Different Farm Types
Agroecological Practices and Principles
3. Results
3.1. Participatory Typology
3.2. Quantitative Typology
3.2.1. Multivariate Analysis and Farm Type Classification
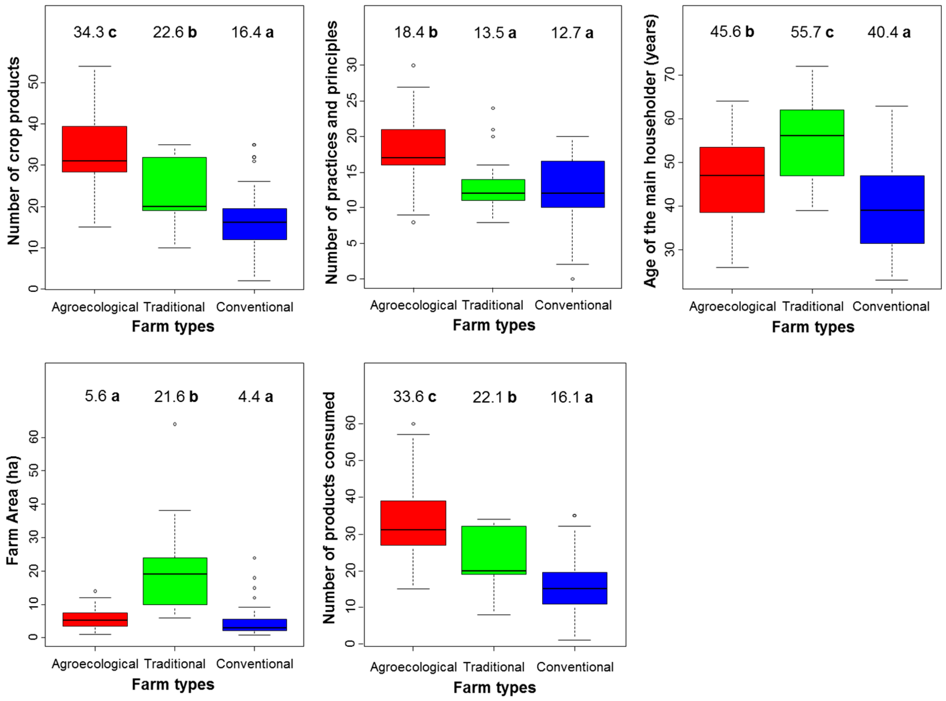
3.2.2. Farm Types Characterisation
3.2.3. Association between Farm Diversity and Agroecological Practices and Principles
4. Discussion
4.1. Agroecological Practices and Principles
4.2. Farm Diversity and Implications for Agroecological Transitions
4.3. Typology Construction for Agroecological Transitions
5. Conclusions
- (i)
- In the face of agroecological transitions, farmers differ in their management strategies, practices and principles;
- (ii)
- Farmers identified as agroecological were strongly engaged in a network composed of farmers’ organisations, universities and NGO’s;
- (iii)
- Agroecological farms showed great potential to provide a wide range of ecosystem services as they featured higher crop diversity and higher number of crops for self-consumption;
- (iv)
- To promote agroecology, it is crucial to recognise peasant knowledge and change the dominant discourse on agriculture through social movement dynamics, as well as to generate support from public policies and funds; and
- (v)
- Participatory and quantitative methodologies can be combined for more precise and relevant assessments of agroecological transitions
Supplementary Materials
Author Contributions
Funding
Acknowledgments
Conflicts of Interest
References
- Dupré, M.; Michels, T.; Gal, P. Le Diverse dynamics in agroecological transitions on fruit tree farms. Eur. J. Agron. 2017, 90, 23–33. [Google Scholar] [CrossRef]
- Blesh, J.; Wolf, S.A. Transitions to agroecological farming systems in the Mississippi River Basin: Toward an integrated socioecological analysis. Agric. Hum. Values 2014, 31, 621–635. [Google Scholar] [CrossRef]
- Beudou, J.; Martin, G.; Ryschawy, J. Cultural and territorial vitality services play a key role in livestock agroecological transition in France. Agron. Sustain. Dev. 2017, 37, 1–11. [Google Scholar] [CrossRef]
- Nicholls, C.I.; Altieri, M.A. Pathways for the amplification of agroecology. Agroecol. Sustain. Food Syst. 2018, 1–24. [Google Scholar] [CrossRef]
- Silici, L. Agroecology: What It Is and What It Has to Offer; IIED: London, UK, 2014. [Google Scholar]
- Oxfam. Building a New Agricultural Future; Oxfam: Cambridge, UK, 2014; pp. 1–18. [Google Scholar]
- FAO. FAO’s Work on Agroecology: A Pathway to Achieving the SDG’s; FAO: Rome, Italy, 2018. [Google Scholar]
- La Via Campesina. Peasant Agroecology for Food Sovereignty and Mother Earth; La Via Campesina: Mons, Belgium, 2015. [Google Scholar]
- Duru, M.; Therond, O.; Fares, M. Designing agroecological transitions; A review. Agron. Sustain. Dev. 2015, 35, 1237–1257. [Google Scholar] [CrossRef]
- Bonaudo, T.; Bendahan, A.B.; Sabatier, R.; Ryschawy, J.; Bellon, S.; Leger, F.; Magda, D.; Tichit, M. Agroecological principles for the redesign of integrated crop-livestock systems. Eur. J. Agron. 2014, 57, 43–51. [Google Scholar] [CrossRef]
- Van den Berg, L.; Roep, D.; Hebinck, P.; Teixeira, H.M. Reassembling nature and culture: Resourceful farming in Araponga, Brazil. J. Rural Stud. 2018, 61, 314–322. [Google Scholar] [CrossRef]
- Cardoso, I.M.; Guijt, I.; Franco, F.S.; Carvalho, A.F.; Ferreira Neto, P.S. Continual learning for agroforestry system design: University, NGO and farmer partnership in Minas Gerais, Brazil. Agric. Syst. 2001, 69, 235–257. [Google Scholar] [CrossRef]
- Copeland, N. Meeting peasants where they are: Cultivating agroecological alternatives in neoliberal Guatemala. J. Peasant Stud. 2018, 1–22. [Google Scholar] [CrossRef]
- Mccune, N.; Rosset, P.M.; Salazar, T.C.; Moreno, A.S.; Morales, H. Mediated territoriality: Rural workers and the efforts to scale out agroecology in Nicaragua. J. Peasant Stud. 2017, 44, 354–376. [Google Scholar] [CrossRef]
- Kepkiewicz, L.; Dale, B.; Kepkiewicz, L.; Dale, B. Keeping “our” land: Property, agriculture and tensions between Indigenous and settler visions of food sovereignty in Canada in Canada. J. Peasant Stud. 2018, 1–20. [Google Scholar] [CrossRef]
- Tittonell, P. Ecological intensification of agriculture-sustainable by nature. Environ. Sustain. 2014, 8, 53–61. [Google Scholar] [CrossRef]
- Gliessman, S. Transforming food systems with agroecology. Agroecol. Sustain. Food Syst. 2016, 40, 187–189. [Google Scholar] [CrossRef]
- Guzmán, G.I.; López, D.; Román, L.; Alonso, A.M. Participatory Action research in agroecology: Building local organic food networks in Spain. Agroecol. Sustain. Food Syst. 2013, 37, 127–146. [Google Scholar] [CrossRef]
- Teixeira, H.M.; Vermue, A.J.; Cardoso, I.M.; Peña Claros, M.; Bianchi, F.J.J.A. Farmers show complex and contrasting perceptions on ecosystem services and their management. Ecosyst. Serv. 2018, 33, 44–58. [Google Scholar] [CrossRef]
- Leeuwis, C.; Pyburn, R. Wheelbarrow Full of Frogs: Social Learning in Rural Resource Management; Van Gorcum Ltd.: Assen, The Netherlands, 2002; ISBN 9023238508. [Google Scholar]
- Weltin, M.; Zasada, I.; Franke, C.; Piorr, A.; Raggi, M.; Viaggi, D. Analysing behavioural differences of farm households: An example of income diversification strategies based on European farm survey data. Land Use Policy 2017, 62, 172–184. [Google Scholar] [CrossRef]
- Kuivanen, K.S.; Alvarez, S.; Michalscheck, M.; Adjei-Nsiah, S.; Descheemaeker, K. Characterising the diversity of smallholder farming systems and their constraints and opportunities for innovation: A case study from the Northern Region, Ghana. NJAS—Wagen. J. Life Sci. 2016, 78, 153–166. [Google Scholar] [CrossRef]
- Cortez-Arriola, J.; Rossing, W.A.H.; Massiotti, R.D.A.; Scholberg, J.M.S.; Groot, J.C.J.; Tittonell, P. Leverages for on-farm innovation from farm typologies? An illustration for family-based dairy farms in north-west. Agric. Syst. 2015, 135, 66–76. [Google Scholar] [CrossRef]
- Schmitzberger, I.; Wrbka, T.; Steurer, B.; Aschenbrenner, G.; Peterseil, J.; Zechmeister, H.G. How farming styles influence biodiversity maintenance in Austrian agricultural landscapes. Agric. Ecosyst. Environ. 2005, 108, 274–290. [Google Scholar] [CrossRef]
- Kansiime, M.K.; van Asten, P.; Sneyers, K. Farm diversity and resource use efficiency: Targeting agricultural policy interventions in East Africa farming systems. NJAS—Wagen. J. Life Sci. 2018, 85, 32–41. [Google Scholar] [CrossRef]
- Van der Ploeg, J.D. The New Peasantries: Struggles for Autonomy and Sustainability in an Era of Empire and Globalization, 1st ed.; Earthscan: London, UK, 2008; ISBN 1844078825. [Google Scholar]
- Righi, E.; Dogliotti, S.; Stefanini, F.M.; Pacini, G.C. Capturing farm diversity at regional level to up-scale farm level impact assessment of sustainable development options. Agric. Ecosyst. Environ. 2011, 142, 63–74. [Google Scholar] [CrossRef]
- Modernel, P.; Dogliotti, S.; Alvarez, S.; Corbeels, M.; Picasso, V.; Tittonell, P.; Rossing, W.A.H. Identification of beef production farms in the Pampas and Campos area that stand out in economic and environmental performance. Ecol. Indic. 2018, 89, 755–770. [Google Scholar] [CrossRef]
- Leeuwis, C.; Van den Ban, A. Communication for Rural Innovation, 3rd ed.; Blackwell Publishing: London, UK, 2004; ISBN 9780470995235. [Google Scholar]
- Kuivanen, K.S.; Michalscheck, M.; Descheemaeker, K.; Adjei-Nsiah, S.; Mellon-Bedi, S.; Groot, J.C.J.; Alvarez, S. A comparison of statistical and participatory clustering of smallholder farming systems—A case study in Northern Ghana. J. Rural Stud. 2016, 45, 184–198. [Google Scholar] [CrossRef]
- Méndez, V.E.; Caswell, M.; Gliessman, S.R.; Cohen, R. Integrating agroecology and Participatory Action Research (PAR): Lessons from Central America. Sustainability 2017, 9, 705. [Google Scholar] [CrossRef]
- Myers, N.; Mittermeier, R.A.; Fonseca, G.A.B.; Fonseca, G.A.B.; Kent, J. Biodiversity hotspots for conservation priorities. Nature 2000, 403, 853–858. [Google Scholar] [CrossRef] [PubMed]
- Golfari, L. Zoneamento Ecolόgico do Estado de Minas Gerais Para Reflorestamento; Centro de Pesquisa Florestal da Região do Cerrado: Belo Horizonte, Brazil, 1975. [Google Scholar]
- Freire, J. Escravidão e Família Escrava Na Zona da Mata Mineira Oitocentista. Ph.D. Thesis, Universidade Estadual de Campinas, Campinas, Brazil, 2009. [Google Scholar]
- Valverde, O. Estudo regional da Zona da Mata de Minas Gerais. Rev. Bras. Geogr. 1958, 1, 1–131. [Google Scholar]
- IBGE Instituto Brasileiro De Geografia E Estatística. Censo Agropecuário 2006; IBGE: Rio de Janeiro, Brazil, 2006.
- LEI N°11.326. Brazil National Policy on Family Farming and Rural Family Enterprises 2006. Available online: http://www2.camara.leg.br/legin/fed/lei/2006/lei-11326-24-julho-2006-544830-normaatualizada-pl.html (accessed on 15 February 2018).
- Souza, H.N.; Cardoso, I.M.; de Sá Mendonça, E.; Carvalho, A.F.; de Oliveira, G.B.; Gjorup, D.F.; Bonfim, V.R. Learning by doing: A participatory methodology for systematization of experiments with agroforestry systems, with an example of its application. Agrofor. Syst. 2012, 85, 247–262. [Google Scholar] [CrossRef]
- Bernard, B.; Lux, A. How to feed the world sustainably: An overview of the discourse on agroecology and sustainable intensification. Reg. Environ. Chang. 2017, 17, 1279–1290. [Google Scholar] [CrossRef]
- Van der Ploeg, J.D. Peasant-driven agricultural growth and food sovereignty. J. Peasant Stud. 2014, 41, 999–1030. [Google Scholar] [CrossRef]
- Chambers, R. The origins and practice of participatory rural appraisal. World Dev. 1994, 22, 953–969. [Google Scholar] [CrossRef]
- Tittonell, P.; Vanlauwe, B.; Leffelaar, P.A.; Rowe, E.C.; Giller, K.E. Exploring diversity in soil fertility management of smallholder farms in western Kenya: I. Heterogeneity at region and farm scale. Agric. Ecosyst. Environ. 2005, 110, 149–165. [Google Scholar] [CrossRef]
- Tittonell, P.; Muriuki, A.; Shepherd, K.D.; Mugendi, D.; Kaizzi, K.C.; Okeyo, J.; Verchot, L.; Coe, R.; Vanlauwe, B. The diversity of rural livelihoods and their influence on soil fertility in agricultural systems of East Africa–A typology of smallholder farms. Agric. Syst. 2010, 103, 83–97. [Google Scholar] [CrossRef]
- Mulder, C.; Bennett, E.M.; Bohan, D.A.; Bonkowski, M.; Carpenter, S.R.; Chalmers, R.; Cramer, W.; Durance, I.; Eisenhauer, N.; Fontaine, C.; et al. 10 Years later: Revisiting priorities for science and society a decade after the Millennium Ecosystem Assessment. Adv. Ecol. Res. 2015, 53, 1–53. [Google Scholar] [CrossRef]
- Bastian, M.; Heymann, S. Gephi: An open source software for exploring and manipulating networks. In Proceedings of the Third International ICWSM Conference, San Jose, CA, USA, 17–20 May 2009; pp. 361–362. [Google Scholar]
- Barman, M.; Paul, S.; Choudhury, A.G.; Roy, P.; Sen, J. Biofertilizer as prospective input for sustainable agriculture in India. Int. J. Curr. Microbiol. Appl. Sci. 2017, 6, 1177–1186. [Google Scholar] [CrossRef]
- Leakey, R.R.B. The Role of Trees in Agroecology and Sustainable Agriculture in the Tropics. Annu. Rev. Phytopathol. 2014, 1–21. [Google Scholar] [CrossRef] [PubMed]
- Castro, A.M.; Tapias, J.; Ortiz, A.; Benavides, P.; Góngora, C.E. Identification of attractant and repellent plants to coffee berry borer, Hypothenemus hampei. Entomol. Exp. Appl. 2017, 164, 120–130. [Google Scholar] [CrossRef]
- Batish, D.R.; Singh, H.P.; Kohli, R.K.; Kaur, S. Eucalyptus essential oil as a natural pesticide. For. Ecol. Manag. 2008, 256, 2166–2174. [Google Scholar] [CrossRef]
- Khadse, A. Women, Agroecology & Gender Equality; Focus on the Global South: New Delhi, India, 2017. [Google Scholar]
- Schwendler, S.F.; Thompson, L.A. An education in gender and agroecology in Brazil’s landless rural workers’ movement. Gend. Educ. 2017, 29, 100–114. [Google Scholar] [CrossRef]
- Altieri, M.; Toledo, V.M. The agroecological revolution in Latin America: Rescuing nature, ensuring food sovereignty and empowering peasants. J. Peasant Stud. 2011, 38, 587–612. [Google Scholar] [CrossRef]
- Mohri, H.; Lahoti, S.; Saito, O.; Mahalingam, A.; Gunatilleke, N.; Irham; Hoang, V.T.; Hitinayake, G.; Takeuchi, K.; Herath, S. Assessment of ecosystem services in homegarden systems in Indonesia, Sri Lanka, and Vietnam. Ecosyst. Serv. 2013, 5, 124–136. [Google Scholar] [CrossRef]
- Kamiyama, C.; Hashimoto, S.; Kohsaka, R.; Saito, O. Non-market food provisioning services via homegardens and communal sharing in satoyama socio-ecological production landscapes on Japan’s Noto peninsula. Ecosyst. Serv. 2016, 17, 185–196. [Google Scholar] [CrossRef]
- Fenetahun, Y.; Eshetu, G.; Worku, A.; Abdella, T. A survey on medicinal plants used by traditional healers in Harari regional State, East Ethiopia. J. Med. Plants Stud. 2017, 5, 85–90. [Google Scholar]
- Díaz-reviriego, A.I.; González-segura, L.; Fernández-llamazares, Á.; Howard, P.L.; Molina, J.L.; Reyes-garcía, V. Social organization influences the exchange and species richness of medicinal plants in Amazonian homegardens. Ecol. Soc. 2018, 21, 1. [Google Scholar] [CrossRef] [PubMed]
- Dean, W. With Broadax and Firebrand: The Destruction of the Brazilian Atlantic Forest, 1st ed.; University of California Press Books: Oakland, CA, USA, 1997; ISBN 9780520919082. [Google Scholar]
- FAO. Advancing Agroforestry on the Policy Agenda; FAO: Rome, Italy, 2013. [Google Scholar]
- Browder, J. Redemptive communities: Indigenous knowledge, colonist farming systems and conservation of tropical forests. Agric. Hum. Values 1995, 12, 17–30. [Google Scholar] [CrossRef]
- Perfecto, I.; Vandermeer, J. Coffee Agroecology: A New Approach to Understanding Agricultural Biodiversity, Ecosystem Services and Sustainable Development; Routledge: New York, NY, USA, 2015; ISBN 9780415826808. [Google Scholar]
- Khadse, A.; Rosset, P.M.; Morales, H.; Ferguson, B.G. Taking agroecology to scale: The Zero Budget Natural Farming peasant movement in Karnataka, India. J. Peasant Stud. 2018, 45, 192–219. [Google Scholar] [CrossRef]
- Petersen, P.F.; Silveira, L.M. Agroecology, public policies and labor-driven intensification: Alternative development trajectories in the Brazilian semi-arid region. Sustainability 2017, 9, 535. [Google Scholar] [CrossRef]
- Wittman, H.; Blesh, J.; Wittman, H.; Blesh, J. Food sovereignty and Fome Zero: Connecting public food procurement programmes to sustainable rural development in Brazil. J. Agrar. Chang. 2017, 17, 81–105. [Google Scholar] [CrossRef]
- Miles, A.; Delonge, M.S.; Carlisle, L. Triggering a positive research and policy feedback cycle to support a transition to agroecology and sustainable food systems. Agroecol. Sustain. Food Syst. 2017, 41, 855–879. [Google Scholar] [CrossRef]
- Altieri, M.; Merrick, L.C. In situ conservation of crop genetic resources through maintenance of traditional farming systems. Econ. Bot. 1987, 41, 86–96. [Google Scholar] [CrossRef]
- Pimbert, M. Agroecology as an alternative vision to conventional development and climate-smart Agriculture. Development 2016, 58, 286–298. [Google Scholar] [CrossRef]
- Rosset, P. Re-thinking agrarian reform, land and territory in La Via Campesina. J. Peasant Stud. 2013, 40, 721–775. [Google Scholar] [CrossRef]
- Reydon, B.P.; Fernandes, V.B.; Telles, T.S. Land tenure in Brazil: The question of regulation and governance. Land Use Policy 2015, 42, 509–516. [Google Scholar] [CrossRef]
- Campos, A.P.T. De Conquista de Terras Em Conjunto: Redes Sociais e Confianca: A Experiencia dos Agricultures e Agricultoras Familiares de Araponga. Master’s Thesis, Universidade Federal de Viçosa, Viçosa, Brazil, 2006. [Google Scholar]
- Pahnke, A. Institutionalizing economies of opposition: Explaining and evaluating the success of the MST’s cooperatives and agroecological repeasantization. J. Peasant Stud. 2015, 42, 1087–1107. [Google Scholar] [CrossRef]
- Mccune, N.; Sánchez, M. Teaching the territory: Agroecological pedagogy and popular movements. Agric. Hum. Values 2018, 1–16. [Google Scholar] [CrossRef]
- Pascual, U.; Balvanera, P.; Díaz, S.; Pataki, G.; Roth, E.; Stenseke, M.; Watson, R.T.; Dessane, E.B.; Islar, M.; Kelemen, E.; et al. Valuing nature’s contributions to people: The IPBES approach. Curr. Opin. Environ. Sustain. 2017, 26, 7–16. [Google Scholar] [CrossRef]






| Agroecological Family Farmers | Traditional Family Farmers | Conventional Family Farmers | Part-Time Farmers | Large-Scale Farmers | Landless Farmers | |
|---|---|---|---|---|---|---|
| Size of the farm | + | + | + | + | +++ | NR |
| External inputs | + | +/++ | ++/+++ | ++/+++ | +++ | +++ 1 |
| Organic inputs | +++ | + | + | + | + | + 1 |
| Equipment and machinery | + | + | +/++ | +/++ | +++ | +++ 1 |
| Market-oriented | + | + | ++ | +++ | +++ | +++ 1 |
| Distance to town | NR | NR | NR | + | NR | NR |
| Age of the main householder | NR | +++ | NR | NR | NR | NR |
| off-farm income | + | + | + | +++ | + | + |
| Resource endowment | +/++ | +/++ | +/++ | +/+++ | +++ | + |
| Land ownership | + | + | + | + | + | NR |
| Hired labour | + | + | +/++ | ++ | +++ | NR |
| Family labour | +++ | +++ | +++ | + | + | +++ |
| Participation in social organisations | +++ | + | + | + | + | + |
| Forest conservation | ++ | + | ++ | + | +/++ | +/++ 1 |
| Pastures with trees | ++ | + | + | + | + | + 1 |
| Grazing intensity | + | + | +/++ | +++ | +++ | +++ 1 |
| Intensive coffee weeding | + | ++ | +/++ | ++ | ++ | ++ 1 |
| Coffee with trees | +++ | + | + | + | + | + 1 |
| Presence of homegarden | +++ | +++ | ++ | + | + | +/++ |
| Crop diversification | +++ | ++ | + | + | + | +/++ |
| Indigenous local knowledge | +++ | +++ | ++ | + | + | +/++/+++ |
© 2018 by the authors. Licensee MDPI, Basel, Switzerland. This article is an open access article distributed under the terms and conditions of the Creative Commons Attribution (CC BY) license (http://creativecommons.org/licenses/by/4.0/).
Share and Cite
Teixeira, H.M.; Van den Berg, L.; Cardoso, I.M.; Vermue, A.J.; Bianchi, F.J.J.A.; Peña-Claros, M.; Tittonell, P. Understanding Farm Diversity to Promote Agroecological Transitions. Sustainability 2018, 10, 4337. https://doi.org/10.3390/su10124337
Teixeira HM, Van den Berg L, Cardoso IM, Vermue AJ, Bianchi FJJA, Peña-Claros M, Tittonell P. Understanding Farm Diversity to Promote Agroecological Transitions. Sustainability. 2018; 10(12):4337. https://doi.org/10.3390/su10124337
Chicago/Turabian StyleTeixeira, Heitor Mancini, Leonardo Van den Berg, Irene Maria Cardoso, Ardjan J. Vermue, Felix J. J. A. Bianchi, Marielos Peña-Claros, and Pablo Tittonell. 2018. "Understanding Farm Diversity to Promote Agroecological Transitions" Sustainability 10, no. 12: 4337. https://doi.org/10.3390/su10124337
APA StyleTeixeira, H. M., Van den Berg, L., Cardoso, I. M., Vermue, A. J., Bianchi, F. J. J. A., Peña-Claros, M., & Tittonell, P. (2018). Understanding Farm Diversity to Promote Agroecological Transitions. Sustainability, 10(12), 4337. https://doi.org/10.3390/su10124337

