Chitosan and Brassinosteroids Mitigate Ion Imbalance and Enhancing Stolon Production in Strawberry
Abstract
1. Introduction
2. Materials and Methods
2.1. Research Location
2.2. Plant Materials, and Soil Characteristics
2.3. Irrigation Water Characteristics
2.4. Experiment Treatments
2.5. Data Recorded
2.5.1. Foliar Mineral Nutrients, Soil, and Water Analyses
2.5.2. Morphological Parameters of the Mother Plants
2.5.3. Total Phenols (TP)
2.5.4. Photosynthetic Pigments
2.5.5. Extraction and Quantification of Hydrogen Peroxide
2.6. Statistical Analysis
3. Results
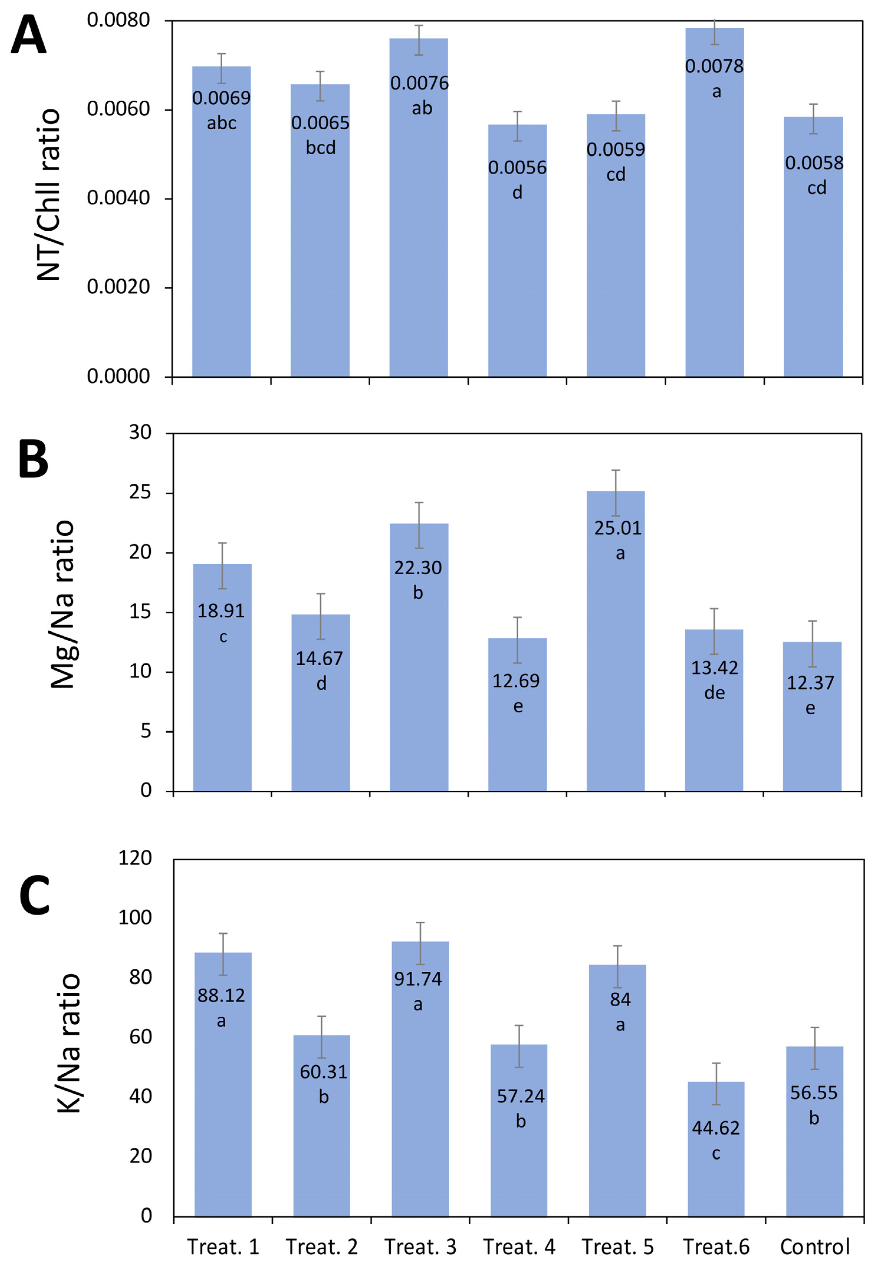
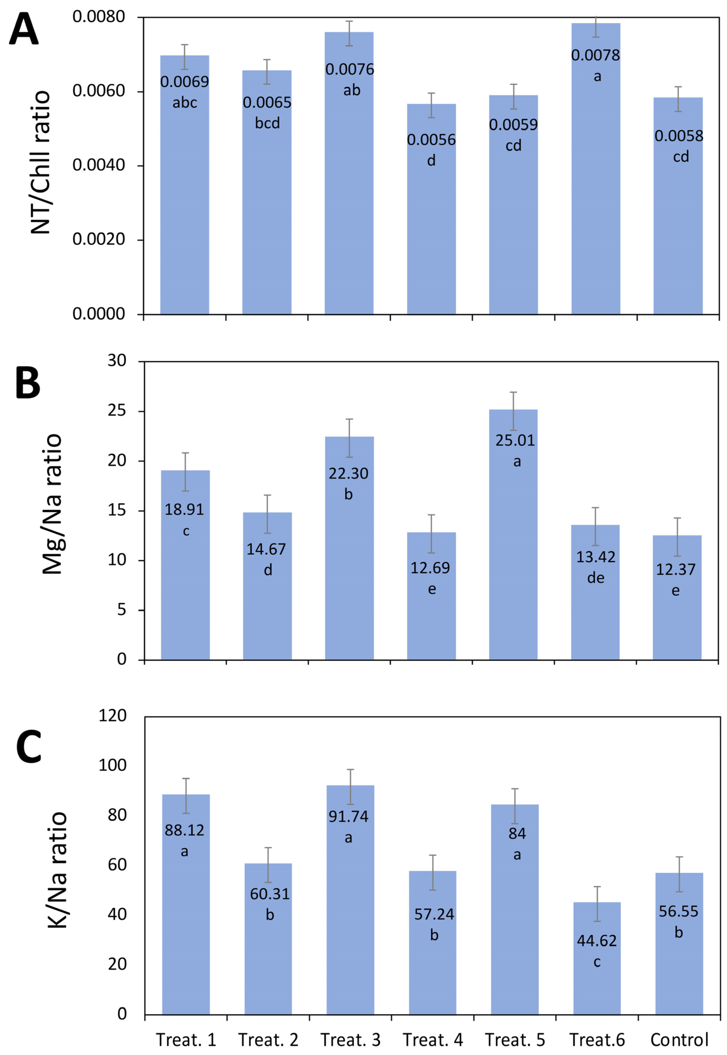
3.1. Response of the Foliar Application of CTS, BRs, and TDZ on the Macro and Micronutrient Foliar Content in Soil Salinity Conditions
3.2. Morphological Parameters of the Mother Plants
3.3. Morphological Parameters of the Stolons
3.4. Physiological Attributes and Biochemical Content in Mother Plants
4. Discussion
4.1. Sensitivity of Strawberry to Salinity
4.2. Effects of Biostimulants on Nutrient Uptake and Metal Ion Homeostasis
4.3. Morphological Responses of Strawberry Mother Plants
4.4. Biochemical and Physiological Bases for the Effects
4.5. Implications for Strawberry Propagation and Future Research
5. Conclusions
Author Contributions
Funding
Data Availability Statement
Acknowledgments
Conflicts of Interest
References
- Hernández Valencia, R.D.; Juárez Maldonado, A.; Pérez Hernández, A.; Lozano Cavazos, C.J.; Zermeño González, A.; González Fuentes, J.A. Influencia de fertilizantes orgánicos y del silicio sobre la fisiología, el rendimiento y la calidad nutracéutica del cultivo de fresa. [Influence of organic fertilizers and silicon on the physiology, yield and nutraceutical quality of strawberry cultivation]. Nova Sci. 2022, 14, 1–16. [Google Scholar] [CrossRef]
- Rocha-Ibarra, J.E.; Mireles-Arriaga, A.I.; Ruiz-Nieto, J.E.; Maki-Díaz, G. Production and export of berries in Mexico’s agricultural development: A study of competitive advantage. Agrociencia 2024, 58, 1–14. [Google Scholar] [CrossRef]
- Lu, W.; Fan, H.; Zhang, Y.; Cai, B.; Wang, X.; Xue, Z.; Li, Q. Low-concentration NaCl foliar spraying enhances photosynthesis, mineral concentration, and fruit quality of strawberry during greenhouse high-temperature periods. BMC Plant Biol. 2025, 25, 487. [Google Scholar] [CrossRef]
- Denaxa, N.K.; Nomikou, A.; Malamos, N.; Liveri, E.; Roussos, P.A.; Papasotiropoulos, V. Salinity effect on plant growth parameters and fruit bioactive compounds of two strawberry cultivars, coupled with environmental conditions monitoring. Agron 2022, 12, 2279. [Google Scholar] [CrossRef]
- Malekzadeh, M.R.; Roosta, H.R.; Kalaji, H.M. Enhancing strawberry resilience to saline, alkaline, and combined stresses with light spectra: Impacts on growth, enzymatic activity, nutrient uptake, and osmotic regulation. BMC Plant Biol. 2024, 24, 1038. [Google Scholar] [CrossRef]
- Muradoğlu, F.; Batur, Ş.; Hasanov, M.; Güler, E. Putrescine eases saline stress by regulating biochemicals, antioxidative enzymes, and osmolyte balance in hydroponic strawberries (cv. Albion). Physiol. Plant. 2025, 177, e70259. [Google Scholar] [CrossRef]
- Hung, N.Q.; Thi Thanh Nga, N.; Lam, V.P. Effects of varying electrical conductivity levels on plant growth, yield, and photosynthetic parameters of Tochiotome strawberry (‘Fragaria × ananassa’ ‘Tochiotome’) in a greenhouse. Aust. J. Crop Sci. 2025, 19, 436–441. [Google Scholar] [CrossRef]
- Tian, J.; Pang, Y.; Yuan, W.; Peng, J.; Zhao, Z. Growth and nitrogen metabolism in Sophora japonica (L.) as affected by salinity under different nitrogen forms. Plant Sci. 2022, 322, 111347. [Google Scholar] [CrossRef] [PubMed]
- Poury, N.; Seifi, E.; Alizadeh, M. Effects of salinity and proline on growth and physiological characteristics of three olive cultivars. Gesunde Pflanz. 2022, 75, 1169–1180. [Google Scholar] [CrossRef]
- Tammam, A.; El-Aggan, W.; Helaly, A.; Badr, G.; El-Dakak, R. Proteomics and photosynthetic apparatus response to vermicompost attenuation of salinity stress Vicia faba leaves. Acta Physiol. Plant. 2023, 45, 17. [Google Scholar] [CrossRef]
- Bağ, E.; Kocaman, B. Effects of mycorrhizal fungi application on some growth parameters of Monterey strawberry cultivars under different salt stress conditions. Int. J. Agric. Environ. Food Sci. 2024, 8, 158–168. [Google Scholar] [CrossRef]
- Guevara-Matus, K.; Loría-Quirós, C.L.; Granados-Montero, M. Efecto de la vernalización sobre la producción de estolones de Fresa. [Effect of vernalization on the production of strawberry runners]. Rev. Mex. Cienc. Agrícolas 2023, 14, 129–134. [Google Scholar] [CrossRef]
- Malekzadeh, M.R.; Roosta, H.R.; Esmaeilizadeh, M.; Dąbrowski, P.; Kalaji, H.M. Improving strawberry plant resilience to salinity and alkalinity through the use of diverse spectra of supplemental lighting. BMC Plant Biol. 2025, 24, 252. [Google Scholar] [CrossRef]
- Wekesa, C.; Asudi, G.O.; Okoth, P.; Reichelt, M.; Muoma, J.O.; Furch, A.C.U.; Oelmüller, R. Rhizobia Contribute to Salinity Tolerance in Common Beans (Phaseolus vulgaris L.). Cells 2022, 11, 3628. [Google Scholar] [CrossRef] [PubMed]
- Yang, H.; Zhang, J.; Zhong, Y.; Wang, L. 5-Aminolevulinic acid improves strawberry salt tolerance through a NO–H2O2 signaling circuit regulated by FaWRKY70 and FaWRKY40. J. Adv. Res. 2024; in press. [Google Scholar] [CrossRef]
- Li, W.; Zhang, W.; Li, H.; Yao, A.; Ma, Z.; Kang, R.; Guo, Y.; Li, X.; Yu, W.; Han, D. Overexpression of a Fragaria × ananassa AP2/ERF Transcription Factor Gene (FaTINY2) Increases Cold and Salt Tolerance in Arabidopsis thaliana. Int. J. Mol. Sci. 2025, 26, 2109. [Google Scholar] [CrossRef]
- Hu, T.; Liu, L.; Wei, Y.; Wu, F.; Yang, X.; Zhang, J. Combined transcriptomic and metabolomic analysis reveals a role for ATP-binding cassette transporters and cell wall remodeling in response to salt stress in strawberry. Front. Plant Sci. 2022, 14, 952312. [Google Scholar] [CrossRef]
- El Amerany, F.; Rhazi, M.; Balcke, G.; Wahbi, S.; Meddich, A.; Taourirte, M.; Hause, B. The effect of chitosan on plant physiology, wound response, and fruit quality of tomato. J. Polym. 2022, 14, 5006. [Google Scholar] [CrossRef] [PubMed]
- Mukarram, M.; Khan, M.M.A.; Kurjak, D.; Corpas, F.J. Chitosan oligomers (COS) trigger a coordinated biochemical response of lemongrass (Cymbopogon flexuosus) plants to palliate salinity-induced oxidative stress. Sci Rep. 2023, 13, 8636. [Google Scholar] [CrossRef]
- Hidangmayum, A.; Dwivedi, P.; Kumar, P.; Upadhyay, S.K. Seed Priming and Foliar Application of Chitosan Ameliorate Drought Stress Responses in Mungbean Genotypes Through Modulation of Morpho-physiological Attributes and Increased Antioxidative Defense Mechanism. J. Plant Growth Regul. 2023, 42, 6137–6154. [Google Scholar] [CrossRef]
- Ghoname, A.A.; AbdelMotlb, N.A.; Abdel-Al, F.S.; Abu El-Azm, N.A.; Abd Elhady, S.A.; Merah, O.; Abdelhamid, M.T. Brassinosteroids or proline can alleviate yield inhibition under salt stress via modulating physio-biochemical activities and antioxidant systems in snap bean. J. Hortic. Sci. Biotechnol. 2023, 98, 526–539. [Google Scholar] [CrossRef]
- Nazir, F.; Jahan, B.; Kumari, S.; Iqbal, N.; Albaqami, M.; Sofo, A.; Khan, M.I.R. Brassinosteroid modulates ethylene synthesis and antioxidant metabolism to protect rice (Oryza sativa) against heat stress-induced inhibition of source–sink capacity and photosynthetic and growth attributes. J. Plant Physiol. 2023, 289, 154096. [Google Scholar] [CrossRef]
- Hathal, N.M.; Al-Hayany, A.M. Effect of Humic Acid, Organic Nitrogen and Thidiazuron Spray on Growth and Yield Characteristics of Pear trees (Pyrus communis L.) cv. Le-Conte. IOP Conf. Ser. Earth Environ. Sci. 2023, 1262, 042027. [Google Scholar] [CrossRef]
- Abdel-Aziz, H.M.M.; Hasaneen, M.N.A.; Omer, A.M. Nano chitosan-NPK fertilizer enhances the growth and productivity of wheat plants grown in sandy soil. Span. J. Agric. Res. 2016, 14, e0902. [Google Scholar] [CrossRef]
- Reyes-Perez, J.J.; Enríquez-Acosta, E.A.; Ramírez-Arrebato, M.Á.; Zúñiga Valenzuela, E.; Lara-Capistrán, L.; Hernández-Montiel, L.G. Efecto del quitosano sobre variables del crecimiento, rendimiento y contenido nutricional del tomate. Rev. Mex. Cienc. Agrícolas 2020, 11, 457–465. [Google Scholar] [CrossRef]
- Lachica, M.; Aguilar, A.; Yánez, J. Análisis foliar: Métodos utilizados en la Estación Experimental del Zaidin. Ina. Edafol. Agrobiol. 1973, 32, 1033–1047. [Google Scholar]
- Singleton, V.L.; Rossi, J.A. Colorimetry of total phenolics with phosphomolybdic-phosphotungstic acid reagents. Am. J. Enol. Vitic. 1965, 16, 144–158. [Google Scholar] [CrossRef]
- Wellburn, A.R. The spectral determination of chlorophylls a and b as well as total carotenoids, using various solvents with spectrophotometers of different resolution. J. Plant Physiol. 1994, 144, 307–313. [Google Scholar] [CrossRef]
- Brennan, T.; Frenkel, C. Involvement of hydrogen peroxide in the regulation of senescence in pear. J. Plant Physiol. 1977, 59, 411–416. [Google Scholar] [CrossRef]
- IBM Corp. IBM SPSS Statistics for Windows, Version 25.0; IBM Corp.: Armonk, NY, USA, 2017.
- Zörb, C.; Geilfus, C.M.; Dietz, K.J. Salinity and crop yield. Plant Biol. 2019, 21, 31–38. [Google Scholar] [CrossRef]
- Kumar, A.; Singh, S.; Gaurav, A.K.; Srivastava, S.; Verma, J.P. Plant growth-promoting bacteria: Biological tools for the mitigation of salinity stress in plants. Front. Microbiol. 2020, 11, 1216. [Google Scholar] [CrossRef]
- Rattan, A.; Kapoor, D.; Kapoor, N.; Bhardwaj, R.; Sharma, A. Brassinosteroids regulate functional components of antioxidative defense system in salt stressed maize seedlings. J. Plant Growth Regul. 2020, 39, 1465–1475. [Google Scholar] [CrossRef]
- Otie, V.; Udo, I.; Shao, Y.; Itam, M.O.; Okamoto, H.; An, P.; Eneji, E.A. Salinity effects on morphophysiological and yield traits of soybean (Glycine max L.) as mediated by foliar spray with brassinolide. Plants 2021, 10, 541. [Google Scholar] [CrossRef] [PubMed]
- Cheng, L.; Li, M.; Min, W.; Wang, M.; Chen, R.; Wang, W. Optimal Brassinosteroid Levels Are Required for Soybean Growth and Mineral Nutrient Homeostasis. Int. J. Mol. Sci. 2021, 22, 8400. [Google Scholar] [CrossRef]
- Xing, J.; Wang, Y.; Yao, Q.; Zhang, Y.; Zhang, M.; Li, Z. Brassinosteroids modulate nitrogen physiological response and promote nitrogen uptake in maize (Zea mays L.). Crop J. 2022, 10, 166–176. [Google Scholar] [CrossRef]
- Gu, M.F.; Li, N.; Shao, T.Y.; Long, X.H.; Brestič, M.; Shao, H.B.; Li, J.B.; Mbarki, S. Accumulation capacity of ions in cabbage (Brassica oleracea L.) supplied with sea water. Plant Soil Environ. 2016, 62, 314–320. [Google Scholar] [CrossRef]
- Al-Ghumaiz, N.S.; Abd-Elmoniem, E.M.; Motawei, M.I. Salt tolerance and K/Na ratio of some introduced forage grass species under salinity stress in irrigated areas. Commun. Soil Sci. Plant Anal. 2017, 48, 1494–1502. [Google Scholar] [CrossRef]
- Xia, S.P.; Guo, S.W.; Xu, Y.Y.; Li, P.F. The regulation of accumulation and secretion of several major inorganic cations by Chinese Iris under NaCl stress. J. Plant Nutr. 2018, 41, 67–79. [Google Scholar] [CrossRef]
- Zhang, X.; Li, K.; Xing, R.; Liu, S.; Li, P. Metabolite Profiling of Wheat Seedlings Induced by Chitosan: Revelation of the Enhanced Carbon and Nitrogen Metabolism. Front. Plant Sci. 2017, 8, 2017. [Google Scholar] [CrossRef]
- Castorina, G.; Consonni, G. The role of brassinosteroids in controlling plant height in Poaceae: A genetic perspective. Int. J. Mol. Sci. 2020, 21, 1191. [Google Scholar] [CrossRef]
- Fagherazzi, A.F.; Suek Zanin, D.; Soares dos Santos, M.F.; Martins de Lima, J.; Welter, P.D.; Francis Richter, A.; Nerbass, F.R.; Kretzschmar, A.A.; Rufato, L.; Baruzzi, G. Initial crown diameter influences on the fruit yield and quality of strawberry Pircinque. J. Agron. 2021, 11, 184. [Google Scholar] [CrossRef]
- Quitadamo, F.; De Simone, V.; Beleggia, R.; Trono, D. Chitosan-Induced Activation of the Antioxidant Defense System Counteracts the Adverse Effects of Salinity in Durum Wheat. Plants 2021, 10, 1365. [Google Scholar] [CrossRef]
- Zhu, T.; Deng, X.; Zhou, X.; Zhu, L.; Zou, L.; Li, P.; Zhang, D.; Lin, H. Ethylene and hydrogen peroxide are involved in brassinosteroid-induced salt tolerance in tomato. Sci. Rep. 2016, 6, 35392. [Google Scholar] [CrossRef] [PubMed]
- Sehar, Z.; Jahan, B.; Masood, A.; Anjum, N.A.; Khan, N.A. Hydrogen peroxide potentiates defense system in presence of sulfur to protect chloroplast damage and photosynthesis of wheat under drought stress. Physiol. Plant. 2020, 172, 922–934. [Google Scholar] [CrossRef] [PubMed]
- Tabassum, M.; Noreen, Z.; Aslam, M.; Shah, A.N.; Usman, S.; Waqas, A.; Alsherif, E.A.; Korany, S.M.; Nazim, M. Chitosan modulated antioxidant activity, inorganic ions homeostasis and endogenous melatonin to improve yield of Pisum sativum L. accessions under salt stress. Sci. Hortic. 2024, 323, 112509. [Google Scholar] [CrossRef]
- Khaengkhan, P.; Wanna, R.; Bunphan, D.; Kunlanit, B.; Srisompan, O.; Jirakajornjaritkul, C.; Khaengkhan, P.; Bozdoğan, H. Foliar application of chitosan and brassinosteroids on glutinous rice (‘RD6’): Alteration in growth, agronomic trait, antioxidant capacity, elemental composition and aroma compound, 2-acetyl-1-pyrroline (2AP) in rice grain. Chil. J. Agric. Res. 2024, 84, 739–748. [Google Scholar] [CrossRef]
- Abulmagd, S.; EL-Leithy, A.; El-maadawy, E.; Heider, S. Effect of Brassinolide and Chitosan on Growth and Chemical Composition of Aglaonema commutatum plant. Egypt. J. Chem. 2023, 66, 419–427. [Google Scholar] [CrossRef]




| Physical Analysis | Chemical Analysis | |||
|---|---|---|---|---|
| Sand | 39.65% | Cations% | Anions% | CEC *** 26.21 cmolc Kg−1 |
| Silt | 44.48% | Ca 62.1 | CaCO3 4.70 | |
| Clay | 15.87% | Mg 5.8 | HC **** 14.90 cm/hr | |
| Na 24.7% | ||||
| Soil pH | 7.67 | K 7.4% | ||
| EC ** | 0.73 mmhos/cm | Available N 150.19 kg ha−1 | ||
| OM * | 1.08% | Available P 21.03 kg ha−1 | ||
| Available K 400 mg Kg −1 | ||||
| Treatments | Applied Biostimulant | Doses |
|---|---|---|
| Treat. 1 | CTS | 1.96533927 μM |
| Treat. 2 | CTS + BRs | 2.62045236 μM + 1.265 × 10−6 μM |
| Treat. 3 | CTS + BRs | 1.96533927 μM + 2.53 × 10−6 μM |
| Treat. 4 | CTS + BRs | 0.65511309 μM + 1.0 × 10−5 μM |
| Treat. 5 | BRs | 2.53 × 10−6 μM |
| Treat. 6 | TDZ | 3.30375 × 105 μM |
| Control | Without application | Water |
| Macro Elements % | Treat. 1 | Treat. 2 | Treat. 3 | Treat. 4 | Treat. 5 | Treat. 6 | Control |
|---|---|---|---|---|---|---|---|
| N | 1.92 a | 1.83 ab | 1.87 ab | 1.52 c | 1.71 abc | 1.62 bc | 1.64 bc |
| P | 0.46 a | 0.34 de | 0.41 bc | 0.43 ab | 0.25 f | 0.38 cd | 0.31 e |
| K | 2.96 a | 2.45 e | 2.53 d | 2.78 c | 2.40 f | 2.21 g | 2.86 b |
| Ca | 2.21 a | 2.30 a | 2.40 a | 1.81 a | 2.06 a | 2.25 a | 2.07 a |
| Mg | 0.63 bc | 0.60 c | 0.61 bc | 0.62 bc | 0.71 a | 0.66 ab | 0.62 bc |
| Na | 0.03 c | 0.04 b | 0.02 d | 0.04 a | 0.02 d | 0.04 a | 0.05 a |
| Microelements mg Kg−1 | |||||||
| Cu | 6.05 a | 5.05 b | 5.01 b | 4.55 c | 5.05 b | 5.01 b | 4.55 c |
| Fe | 172.74 d | 269.57 b | 156.74 g | 294.74 a | 161.74 f | 251.74 c | 163.95 e |
| Mn | 114.74 d | 108.24 e | 118.24 d | 113.24 d | 136.24 b | 138.24 a | 101.24 f |
| Zn | 17.24 a | 13.58 b | 14.08 b | 13.52 b | 14.08 b | 14.02 b | 17.08 a |
| Treatments | Crown Diameter (cm) | Number of Runners per 10 Plants (Unit) | Runner Length (cm) | Runner Diameter (cm) | Runner Weight (g) | Number of Daughters Plants Runner −1 per 10 Plants (Unit) |
|---|---|---|---|---|---|---|
| Treat. 1 | 1.86 ab | 23 ab | 80.20 b | 0.31 a | 14.9 d | 34 bc |
| Treat. 2 | 2.06 ab | 25 ab | 87.65 b | 0.33 a | 15.8 b | 31 c |
| Treat. 3 | 1.87 ab | 30 ab | 129.70 ab | 0.34 a | 15.4 c | 37 abc |
| Treat. 4 | 2.13 ab | 26 ab | 97.70 ab | 0.34 a | 18.2 a | 36 abc |
| Treat. 5 | 2.35 a | 43 a | 141.20 a | 0.36 a | 14.7 d | 52 a |
| Treat. 6 | 1.85 ab | 16 b | 126.70 ab | 0.35 a | 13.6 e | 44 abc |
| Control | 1.64 b | 26 ab | 134.55 a | 0.36 a | 12.8 f | 48 ab |
| Treatment | Crown Diameter of the First Plant Produced (cm) | First Plant Weight (g) |
|---|---|---|
| Treat. 1 | 0.91 a | 5.1 bc |
| Treat. 2 | 0.96 a | 5.5 b |
| Treat. 3 | 0.93 a | 5.2 b |
| Treat. 4 | 1.07 a | 6.1 a |
| Treat. 5 | 1.09 a | 4.9 c |
| Treat. 6 | 1.12 a | 4.0 d |
| Control | 0.91 a | 4.0 d |
| Treat. | Chl a [mg/g−1] | Chl b [mg/g−1] | Total Chl [mg/g−1] | Carotenoids [mg/g−1] | Chl a/b | Total Chl/Carotenoids Ratio |
|---|---|---|---|---|---|---|
| Treat. 1 | 192.6 b | 86.8 a | 279.4 | 68.8 a | 2.2 a | 4.0 ab |
| Treat. 2 | 205.4 ab | 93.0 a | 298.4 | 75.1 a | 2.2 a | 3.9 bc |
| Treat. 3 | 171.3 c | 81.0 ab | 252.3 | 67.6 a | 2.1 a | 3.7 d |
| Treat. 4 | 187.3 bc | 82.7 a | 270 | 70.4 a | 2.2 a | 3.8 c |
| Treat. 5 | 211.9 a | 81.1 ab | 293 | 73.5 a | 2.6 a | 3.9 b |
| Treat. 6 | 140.1 d | 67.8 b | 207.9 | 55.5 a | 2.0 a | 3.7 d |
| Control | 191.9 b | 90.8 a | 282.7 | 69.2 a | 2.1 a | 4.0 a |
| Treatment | Total Phenols [mg100 g−1] Fresh Weight | H2O2 [μmol g−1] |
|---|---|---|
| Treat. 1 | 27.9 b | 4.8 c |
| Treat. 2 | 19.5 f | 10.0 a |
| Treat. 3 | 24.5 d | 6.8 bc |
| Treat. 4 | 31.7 a | 8.7 ab |
| Treat. 5 | 16.9 g | 8.8 ab |
| Treat. 6 | 24.7 c | 6.6 c |
| Control | 22.6 e | 6.6 bc |
Disclaimer/Publisher’s Note: The statements, opinions and data contained in all publications are solely those of the individual author(s) and contributor(s) and not of MDPI and/or the editor(s). MDPI and/or the editor(s) disclaim responsibility for any injury to people or property resulting from any ideas, methods, instructions or products referred to in the content. |
© 2025 by the authors. Licensee MDPI, Basel, Switzerland. This article is an open access article distributed under the terms and conditions of the Creative Commons Attribution (CC BY) license (https://creativecommons.org/licenses/by/4.0/).
Share and Cite
Martínez-Pérez, M.E.; Ojeda-Barrios, D.L.; Parra-Quezada, R.Á.; Jacobo-Cuéllar, J.L.; Guerrero, B.I.; Sánchez-Chávez, E.; Ruíz-Anchondo, T.d.J. Chitosan and Brassinosteroids Mitigate Ion Imbalance and Enhancing Stolon Production in Strawberry. Int. J. Plant Biol. 2025, 16, 115. https://doi.org/10.3390/ijpb16040115
Martínez-Pérez ME, Ojeda-Barrios DL, Parra-Quezada RÁ, Jacobo-Cuéllar JL, Guerrero BI, Sánchez-Chávez E, Ruíz-Anchondo TdJ. Chitosan and Brassinosteroids Mitigate Ion Imbalance and Enhancing Stolon Production in Strawberry. International Journal of Plant Biology. 2025; 16(4):115. https://doi.org/10.3390/ijpb16040115
Chicago/Turabian StyleMartínez-Pérez, Miriam Elizabeth, Dámaris Leopoldina Ojeda-Barrios, Rafael Ángel Parra-Quezada, Juan Luis Jacobo-Cuéllar, Brenda I. Guerrero, Esteban Sánchez-Chávez, and Teresita de Jesús Ruíz-Anchondo. 2025. "Chitosan and Brassinosteroids Mitigate Ion Imbalance and Enhancing Stolon Production in Strawberry" International Journal of Plant Biology 16, no. 4: 115. https://doi.org/10.3390/ijpb16040115
APA StyleMartínez-Pérez, M. E., Ojeda-Barrios, D. L., Parra-Quezada, R. Á., Jacobo-Cuéllar, J. L., Guerrero, B. I., Sánchez-Chávez, E., & Ruíz-Anchondo, T. d. J. (2025). Chitosan and Brassinosteroids Mitigate Ion Imbalance and Enhancing Stolon Production in Strawberry. International Journal of Plant Biology, 16(4), 115. https://doi.org/10.3390/ijpb16040115

