Preliminary Evidence of Foliar Spray Effectiveness Against the Invasive Cactus Cylindropuntia pallida (Rose), F.M. Knuth in South Africa
Abstract
1. Introduction
2. Materials and Methods
2.1. Study Species
2.2. Study Sites
2.3. Management of Cactus in South Africa
2.4. Plant Biometry Data Collection
2.5. Interviews with Communities Affected by C. pallida
3. Data Analysis
3.1. Comparisons of C. pallida Biometrics Between Sites
3.2. Interviews: Knowledge of and Community Interactions with C. pallida
4. Results
4.1. Cylindropuntia pallida Biometry Comparisons
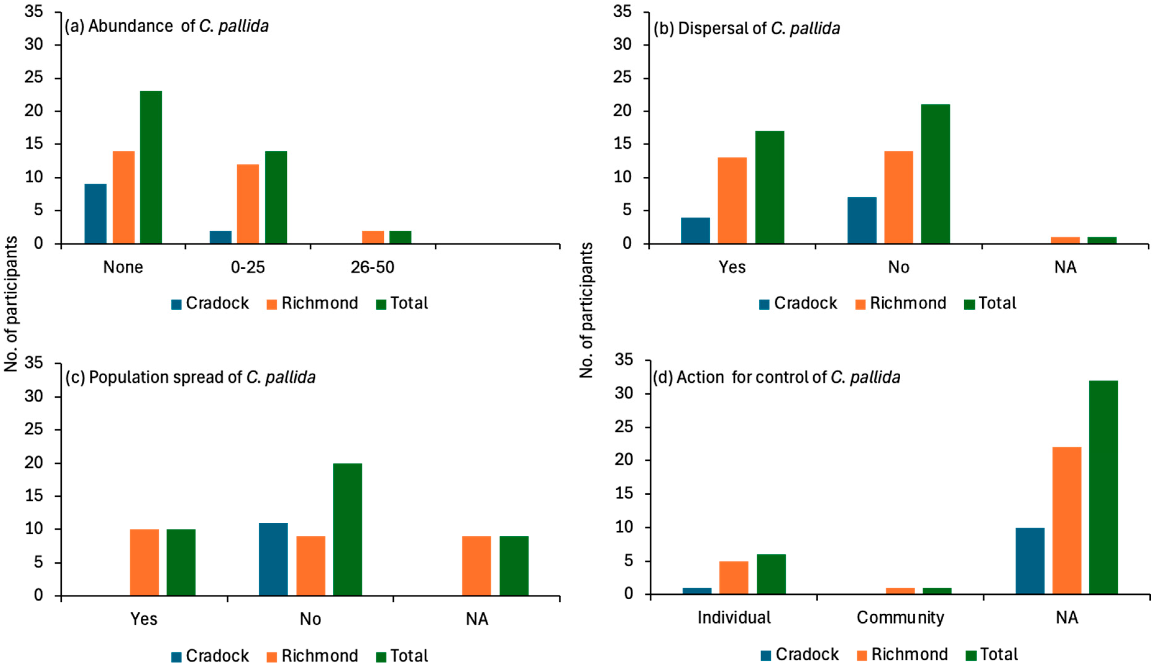
4.2. Community Interviews on Their Knowledge of and Interactions with C. pallida
5. Discussion
6. Conclusions
Supplementary Materials
Author Contributions
Funding
Institutional Review Board Statement
Informed Consent Statement
Data Availability Statement
Acknowledgments
Conflicts of Interest
References
- Kaplan, H.; Wilson, J.R.U.; Klein, H.; Henderson, L.; Zimmermann, H.G.; Manyama, P.; Ivey, P.; Richardson, D.M.; Novoa, A. A proposed national strategic framework for the management of Cactaceae in South Africa. Bothalia 2017, 47, a2149. [Google Scholar] [CrossRef]
- Novoa, A.; Dehnen-Schmutz, K.; Fried, J.; Vimercati, G. Does public awareness increase support for invasive species management? Promising evidence across taxa and landscape types. Biol. Invasions 2017, 19, 3691–3705. [Google Scholar] [CrossRef]
- Masocha, M.; Dube, T. Global terrestrial biomes at risk of cacti invasion identified for four species using consensual modelling. J. Arid Environ. 2018, 156, 77–86. [Google Scholar] [CrossRef]
- Van Wilgen, B.W.; Van Measey, J.; Richardson, D.M.; Wilson, J.R. Biological Invasions in South Africa; Springer: Cham, Switzerland, 2020. [Google Scholar] [CrossRef]
- Novoa, A.; Le Roux, J.J.; Robertson, M.P.; Wilson, J.R.; Richardson, D.M. Introduced and invasive cactus species: A global review. AoB Plants 2015, 7, plu078. [Google Scholar] [CrossRef] [PubMed]
- Novoa, A.; Le Roux, J.J.; Richardson, D.M.; Wilson, J.R. Level of environmental threat posed by horticultural trade in Cactaceae. Conserv. Biol. 2017, 31, 1066–1075. [Google Scholar] [CrossRef] [PubMed]
- Lockwood, J.L.; Cassey, P.; Blackburn, T.M. The more you introduce the more you get: The role of colonization pressure and propagule pressure in invasion ecology. Divers. Distrib. 2009, 15, 904–910. [Google Scholar] [CrossRef]
- Korpelainen, H.; Pietiläinen, M. What Makes a Good Plant Invader? Life 2023, 13, 1596. [Google Scholar] [CrossRef] [PubMed]
- Nobel, P.S.; Geller, G.N.; Kee, S.C.; Zimmerman, A.D. Temperatures and thermal tolerances for cacti exposed to high temperatures near the soil surface. Plant Cell Environ. 1986, 9, 279–287. [Google Scholar] [CrossRef]
- Williamson, M.H.; Fitter, A. The characters of successful invaders. Biol. Conserv. 1996, 78, 163–170. [Google Scholar] [CrossRef]
- Walters, M.; Figwueiredo, E.; Zimmermann, H.G.; Mashope, B.K. Naturalised and Invasive Succulents of Southern Africa; ABC Taxa: Brussels, Belgium, 2011. [Google Scholar]
- Richardson, D.M.; Thuiller, W. Home away from home—Objective mapping of high-risk source areas for plant introductions. Divers. Distrib. 2007, 13, 299–312. [Google Scholar] [CrossRef]
- Milton, S.J.; Dean, W.R.J. Disturbance, drought and dynamics of desert dune grassland, South Africa. Plant Ecol. 2000, 150, 37–51. [Google Scholar] [CrossRef]
- Kalwij, J.M.; Robertson, M.P.; van Rensburg, B.J. Annual monitoring reveals rapid upward movement of exotic plants in a montane ecosystem. Biol. Invasions 2015, 17, 3517–3529. [Google Scholar] [CrossRef]
- Howard, P.L. Human adaptation to invasive species: A conceptual framework based on a case study metasynthesis. Ambio 2019, 48, 1401–1430. [Google Scholar] [CrossRef]
- Mokotjomela, T.M.; Nemurangoni, T.; Mundalamo, T.; Jaca, T.P.; Kuhudzai, A.G. The value of dump sites for monitoring biological invasions in South Africa. Biol. Invasions 2022, 24, 971–986. [Google Scholar] [CrossRef]
- Pellegrini, A.F.; Reich, P.B.; Hobbie, S.E.; Coetsee, C.; Wigley, B.; February, E.; Georgiou, K.; Terrer, C.; Brookshire, E.N.J.; Ahlström, A.; et al. Soil carbon storage capacity of drylands under altered fire regimes. Nat. Clim. Change 2023, 13, 1089–1094. [Google Scholar] [CrossRef]
- Novoa, A.; Kumschick, S.; Richardson, D.M.; Rouget, M.; Wilson, J.R. Native range size and growth form in Cactaceae predict invasiveness and impact. NeoBiota 2016, 30, 75–90. [Google Scholar] [CrossRef]
- Novoa, A.; Shackleton, R.; Canavan, S.; Cybele, C.; Davies, S.J.; Dehnen-Schmutz, K.; Fried, J.; Gaertner, M.; Geerts, S.; Griffiths, C.L.; et al. A framework for engaging stakeholders on the management of alien species. J. Environ. Manag. 2018, 205, 286–297. [Google Scholar] [CrossRef] [PubMed]
- Shackleton, R.T.; Richardson, D.M.; Shackleton, C.M.; Bennett, B.; Crowley, S.L.; Dehnen-Schmutz, K.; Estévez, R.A.; Fischer, A.; Kueffer, C.; Kull, C.A.; et al. Explaining people’s perceptions of invasive alien species: A conceptual framework. J. Environ. Manag. 2019, 229, 10–26. [Google Scholar] [CrossRef] [PubMed]
- Jubase, N.; Shackleton, R.T.; Measey, J. Public awareness and perceptions of invasive alien species in small towns. Biology 2021, 10, 1322. [Google Scholar] [CrossRef] [PubMed]
- Pluess, T.; Jarošík, V.; Pyšek, P.; Cannon, R.; Pergl, J.; Breukers, A.; Bacher, S. Which factors affect the success or failure of eradication campaigns against alien species? PLoS ONE 2012, 7, e48157. [Google Scholar] [CrossRef] [PubMed]
- Wilson, J.R.; Ivey, P.; Manyama, P.; Nanni, I. A new national unit for invasive species detection, assessment and eradication planning. S. Afr. J. Sci. 2013, 109, 1–13. [Google Scholar] [CrossRef]
- Mokotjomela, T.M.; Vukeya, L.R.; Guo, D.; Mbele, T.J.; Xivuri, T.; Kuhudzai, A.G. Assessing success in attempts to eradicate an emerging invader plant: Tephrocactus articulatus (Pfeiff.) Backeb, in arid areas of South Africa. J. Arid Environ. 2024, 220, 105101. [Google Scholar] [CrossRef]
- Cheek, M.D.; Crouch, N.R. Assessment of the invasive status of newly recorded cactus species in the central Tugela River basin. Bothalia-Afr. Biodivers. Conserv. 2015, 45, a1953. [Google Scholar] [CrossRef]
- Henderson, L.; Wilson, J.R. Changes in the composition and distribution of alien plants in South Africa: An update from the Southern African Plant Invaders Atlas. Bothalia-Afr. Biodivers. Conserv. 2017, 47, a2172. [Google Scholar] [CrossRef]
- Van Wilgen, B.W.; Wilson, J.R. (Eds.) The Status of Biological Invasions and Their Management in South Africa in 2017; South African National Biodiversity Institute, Kirstenbosch and DST-NRF Centre of Excellence for Invasion Biology: Stellenbosch, South Africa, 2018. [Google Scholar]
- Department of Environmental Affairs. National Environmental Management: Biodiversity Act 2004 (Act No. 10 of 2004) Alien and Invasive Species Lists; Government Gazette of South Africa: Pretoria, South Africa, 2020. [Google Scholar]
- Henderson, L. Invasive Alien Plants in South Africa; Plant Protection Research Institute Handbook No. 21; Agricultural Research Council: Pretoria, South Africa, 2020; ISBN 978-0-620-86146-5. [Google Scholar]
- Paterson, I.D.; Klein, H.; Muskett, P.C.; Griffith, T.C.; Mayonde, S.; Mofokeng, K.; Mnqeta, Z.; Venter, N. Biological control of Cactaceae in South Africa. Afr. Entomol. 2021, 29, 713–734. [Google Scholar] [CrossRef]
- Deltoro, V.I.; Ballester, G.A.; Oltra, J.E.; Perez-Botella, J.O.; Perez-Rovira, P.A.; Gómez-Serrano, M.A.; Juan, J.I. The practicalities of eradicating an extremely invasive cactus: Hudson pear Cylindropuntia rosea in the Valencia region (East Spain). Aliens Invasive Spec. Bull. 2013, 33, 23–27. [Google Scholar]
- CABI. Cylindropuntia pallida. In Invasive Species Compendium; CAB International: Wallingford, UK, 2024. [Google Scholar]
- Richardson, D.M.; Pyšek, P.; Rejmanek, M.; Barbour, M.G.; Panetta, F.D.; West, C.J. Naturalization and invasion of alien plants: Concepts and definitions. Divers. Distrib. 2000, 6, 93–107. [Google Scholar] [CrossRef]
- Mokotjomela, T.M.; Xivuri, T.M.; Manyama, P. Eradication of the emerging alien cactus species, Cylindropuntia pallida F.M. Knuth, and active restoration in arid areas of South Africa. In Proceedings of the 8th World Conference: Ecological Restoration,, Cape Town, South Africa, 24–28 September 2019; pp. 24–28. [Google Scholar]
- Mokotjomela, T.M.; Nelufule, T.; Scott, Z.; Vukeya, L.R.; Xivuri, T.; Matsokane, K.; Mweli, N.; Magqabi, F.L.; Jaca, T. The invasion threat of the emerging alien cactus Cylindropuntia pallida (Rosa), FM Knuth in South Africa and the potential for control using herbicides. Environ. Monit. Assess. 2024, 196, 673. [Google Scholar] [CrossRef]
- Moran, V.C.; Hoffmann, J.H.; Hill, M.P. A context for the 2011 compilation of reviews on the biological control of invasive alien plants in South Africa. Afr. Entomol. 2011, 19, 177–185. [Google Scholar] [CrossRef]
- Zozo, E. The Use of the Cochineal Insect, Dactylopius tomentosus Lamarck, as a Biological Control Agent for the Invasive Alien Thistle Cholla, Cylindropuntia pallida (Rose) FM Knuth in South Africa. Master’s Thesis, Rhodes University, Makhanda, South Africa, 2022. [Google Scholar]
- Sheehan, M.R.; Potter, S. Managing Opuntioid Cacti in Australia: Best Practice Control Manual for Austrocylindropuntia, Cylindropuntia and Opuntia Species; Department of Primary Industries and Regional Development: Perth, Australia, 2017. [Google Scholar]
- Tu, M.; Hurd, C.; Randall, J.M. Weed Control Methods Handbook: Tools & Techniques for Use in Natural Areas. Available via TNC. 2001. Available online: http://www.invasive.org/gist/products/handbook/methods-handbook.pdf (accessed on 3 December 2023).
- Roura-Pascual, N.; Richardson, D.M.; Krug, R.M.; Brown, A.; Chapman, R.A.; Forsyth, G.G.; Le Maitre, D.C.; Robertson, M.P.; Stafford, L.; Van Wilgen, B.W.; et al. Ecology and management of alien plant invasions in South African fynbos: Accommodating key complexities in objective decision making. Biol. Conserv. 2009, 142, 1595–1604. [Google Scholar] [CrossRef]
- Van Wilgen, B.W. A brief, selective history of researchers and research initiatives related to biological invasions in South Africa. In Biological Invasions in South Africa; Van Wilgen, B.W., Measey, J., Richardson, D.M., Wilson, J.R., Zengeya, T.A., Eds.; Springer International Publishing: Cham, Switzerland, 2020; pp. 33–64. [Google Scholar]
- Pyšek, P.; Richardson, D.M. Traits associated with invasiveness in alien plants: Where do we stand? In Biological Invasions, Ecological Studies; Nentwig, W., Ed.; Springer: Berlin/Heidelberg, Germany, 2007; pp. 97–125. [Google Scholar]
- Mucina, L.; Rutherford, M.C. The Vegetation of South Africa, Lesotho and Swaziland. Strelitzia 19; South African National Biodiversity Institute: Pretoria, South Africa, 2006. [Google Scholar]
- Dayaram, A.; Harris, L.R.; Grobler, B.A.; Van der Merwe, S.; Rebelo, A.G.; Ward Powrie, L.; Vlok, J.H.; Desmet, P.G.; Qabaqaba, M.; Hlahane, K.M.; et al. Vegetation map of South Africa, Lesotho and Swaziland 2018: A description of changes since 2006. Bothalia-Afr. Biodivers. Conserv. 2019, 49, a2452. [Google Scholar] [CrossRef]
- Novoa, A.; Brundu, G.; Day, M.D.; Deltoro, V.; Essl, F.; Foxcroft, L.C.; Fried, G.; Kaplan, H.; Kumschick, S.; Lloyd, S.; et al. Global actions for managing cactus invasions. Plants 2019, 8, 421. [Google Scholar] [CrossRef] [PubMed]
- Hill, D.A. (Ed.) Handbook of Biodiversity Methods: Survey, Evaluation and Monitoring; Cambridge University Press: Cambridge, UK, 2005. [Google Scholar]
- Mokotjomela, T.M. A Comparison of Bird Foraging Preferences for Fruits of Indigenous and Alien Shrubs and Seed Dispersal Potentials in the Cape Floristic Region. Ph.D. Thesis, Stellenbosch University, Stellenbosch, South Africa, 2012. [Google Scholar]
- Nenungwi, L.; Mokotjomela, T.M.; Vukeya, L.R.; Slabbert, M.M.; Prinsloo, K.L. A human–wildlife conflict: Potential impacts of fatal harvesting approaches on medicinal plants in Free State Province, South Africa. S. Afr. Geogr. J. 2024, 107, 20–38. [Google Scholar] [CrossRef]
- Koli, P.; Bhardwaj, N.R.; Mahawer, S.K. Agrochemicals: Harmful and beneficial effects of climate changing scenarios. In Climate Change and Agricultural Ecosystems; Woodhead Publishing: Sawston, UK, 2019; pp. 65–94. [Google Scholar]
- Singh, S.; Tiwari, S. Responses of plants to herbicides: Recent advances and future prospectives. Plant Life Under Chang. Environ. 2020, 2020, 237–250. [Google Scholar]
- Garnier, E.; Stahl, U.; Laporte, M.A.; Kattge, J.; Mougenot, I.; Kühn, I.; Laporte, B.; Amiaud, B.; Ahrestani, F.S.; Bönisch, G.; et al. Towards a thesaurus of plant characteristics: An ecological contribution. J. Ecol. 2017, 105, 298–309. [Google Scholar] [CrossRef]
- Kwinda, M.; Siebert, S.J.; Van Coller, H.; Masehela, T.S. Identifying Plant Functional Traits of Weeds in Fields Planted with Glyphosate-Tolerant Maize for Preferable Weed Management Practices. Agriculture 2024, 14, 223. [Google Scholar] [CrossRef]
- Herron, P.M.; Martine, C.T.; Latimer, A.M.; Leicht-Young, S.A. Invasive plants and their ecological strategies: Prediction and explanation of woody plant invasion in New England. Divers. Distrib. 2007, 13, 633–644. [Google Scholar] [CrossRef]
- Coutts, S.R.; Van Klinken, R.D.; Yokomizo, H.; Buckley, Y.M. What are the key drivers of spread in invasive plants: Dispersal, demography or landscape: And how can we use this knowledge to aid management? Biol. Invasions 2011, 13, 1649–1661. [Google Scholar] [CrossRef]
- Starzomski, B. Indicators of ecosystem change. In Encyclopedia of Quality of Life and Well-Being Research; Michalos, A.C., Ed.; Springer: Dordrecht, The Netherlands, 2014. [Google Scholar] [CrossRef]
- Godinez-Alvarez, H.; Valverde, T.; Ortega-Baes, P. Demographic trends in the Cactaceae. Bot. Rev. 2003, 69, 173–201. [Google Scholar] [CrossRef]
- Van Kleunen, M.; Weber, E.; Fischer, M. A meta-analysis of trait differences between invasive and non-invasive plant species. Ecol. Lett. 2010, 13, 235–245. [Google Scholar] [CrossRef] [PubMed]
- Gilbert, M.; Guichard, S.; Freise, J.; Grégoire, J.C.; Heitland, W.; Straw, N.; Tilbury, C.; Augustin, S. Forecasting Cameraria ohridella invasion dynamics in recently invaded countries: From validation to prediction. J. Appl. Ecol. 2005, 42, 805–813. [Google Scholar] [CrossRef]
- Rejmánek, M. A theory of seed plant invasiveness: The first sketch. Biol. Conserv. 1996, 78, 171–181. [Google Scholar] [CrossRef]
- Le Roux, J.J.; Clusella-Trullas, S.; Mokotjomela, T.M.; Mairal, M.; Richardson, D.M.; Skein, L.; Wilson, J.R.; Weyl, O.L.; Geerts, S. Biotic interactions as mediators of biological invasions: Insights from South Africa. In Biological Invasions in South Africa; Van Wilgen, B., Measey, J., Richardson, D., Wilson, J., Zengeya, T., Eds.; Springer International Publishing: Cham, Switzerland, 2020; pp. 387–427. [Google Scholar]
- Essl, F.; Latombe, G.; Lenzner, B.; Pagad, S.; Seebens, H.; Smith, K.; Wilson, J.R.; Genovesi, P. The Convention on Biological Diversity (CBD)’s Post-2020 target on invasive alien species–what should it include and how should it be monitored? NeoBiota 2020, 62, 99–121. [Google Scholar] [CrossRef]
- Van Kleunen, M.; Essl, F.; Pergl, J.; Brundu, G.; Carboni, M.; Dullinger, S.; Early, R.; González-Moreno, P.; Groom, Q.J.; Hulme, P.E.; et al. The changing role of ornamental horticulture in alien plant invasions. Biol. Rev. 2018, 93, 1421–1437. [Google Scholar] [CrossRef] [PubMed]
- Pachepsky, E.; Levine, J.M. Density dependence slows invader spread in fragmented landscapes. Am. Nat. 2011, 177, 18–28. [Google Scholar] [CrossRef]
- Zhu, J.; Lukić, N.; Pagel, J.; Schurr, F.M. Density dependence of seed dispersal and fecundity profoundly alters the spread dynamics of plant populations. J. Ecol. 2023, 111, 1735–1748. [Google Scholar] [CrossRef]
- Pyšek, P.; Jarošík, V.; Hulme, P.E.; Pergl, J.; Hejda, M.; Schaffner, U.; Vilà, M. A global assessment of invasive plant impacts on resident species, communities and ecosystems: The interaction of impact measures, invading species’ traits and environment. Glob. Change Biol. 2012, 18, 1725–1737. [Google Scholar] [CrossRef]
- Kraaij, T.; Baard, J.A.; Rikhotso, D.R.; Cole, N.S.; Van Wilgen, B.W. Assessing the effectiveness of invasive alien plant management in a large fynbos protected area. Bothalia 2017, 47, a2105. [Google Scholar] [CrossRef]
- McConnachie, M.M.; Cowling, R.M.; Van Wilgen, B.W.; McConnachie, D.A. Evaluating the cost-effectiveness of invasive alien plant clearing: A case study from South Africa. Biol. Conserv. 2012, 155, 128–135. [Google Scholar] [CrossRef]
- Ngorima, A.; Shackleton, C.M. Livelihood benefits and costs from an invasive alien tree (Acacia dealbata) to rural communities in the Eastern Cape, South Africa. J. Environ. Manag. 2019, 229, 158–165. [Google Scholar] [CrossRef]
- Ruwanza, S.; Thondhlana, G. People’s perceptions and uses of invasive plant Psidium guajava in Vhembe Biosphere Reserve, Limpopo Province of South Africa. Ecosyst. People 2022, 18, 64–75. [Google Scholar] [CrossRef]
- Mhlongo, E.S.; Ruwanza, S.; Dalu, T. Perceptions, Knowledge, and Invasion Extent of Lantana camara on Household Yards in Rural Communities in Limpopo Province, South Africa. Soc. Nat. Resour. 2024, 37, 1218–1239. [Google Scholar] [CrossRef]
- Balandrán-Quintana, R.R.; González-León, A.; Islas-Rubio, A.R.; Madera-Santana, T.J.; Soto-Valdez, H.; Mercado-Ruiz, J.N.; Peralta, E.; Robles-Osuna, L.E.; Vásquez-Lara, F.; Carvallo-Ruiz, T.; et al. An overview of Cholla (Cylindropuntia spp.) from Sonora, Mexico. J. Prof. Assoc. Cactus Dev. 2018, 20, 162–176. [Google Scholar] [CrossRef]
- Mdweshu, L.; Maroyi, A. Local perceptions about utilization of invasive alien species Opuntia ficus-indica in three Local Municipalities in the Eastern Cape Province, South Africa. Biodiversitas 2020, 21. [Google Scholar] [CrossRef]
- Zengeya, T.; Ivey, P.; Woodford, D.J.; Weyl, O.; Novoa, A.; Shackleton, R.; Richardson, D.; Van Wilgen, B. Managing conflict-generating invasive species in South Africa: Challenges and trade-offs. Bothalia 2017, 47, 1e11. [Google Scholar] [CrossRef]
- Höbart, R.; Schindler, S.; Essl, F. Perceptions of alien plants and animals and acceptance of control methods among different societal groups. NeoBiota 2020, 58, 33–54. [Google Scholar] [CrossRef]
- Mukwada, G.; Chingombe, W.; Taru, P. Strifes of the frontier: An assessment of Acacia mearnsii related park-community conflicts in the Golden Gate Highlands National Park, South Africa. J. Integr. Environ. Sci. 2016, 13, 37–54. [Google Scholar] [CrossRef]
- Potgieter, L.J.; Gaertner, M.; O’Farrell, P.J.; Richardson, D.M. Perceptions of impact: Invasive alien plants in the urban environment. J. Environ. Manag. 2019, 229, 76–87. [Google Scholar] [CrossRef]
- Cordeiro, B.; Marchante, H.; Castro, P.; Marchante, E. Does public awareness about invasive plants pays off? An analysis of knowledge and perceptions of environmentally aware citizens in Portugal. Biol. Invasions 2020, 22, 2267–2281. [Google Scholar] [CrossRef]
- Shackleton, R.T.; Witt, A.B.; Aool, W.; Pratt, C.F. Distribution of the invasive alien weed, Lantana camara, and its ecological and livelihood impacts in eastern Africa. Afr. J. Range Forage Sci. 2017, 34, 1–11. [Google Scholar] [CrossRef]
- Johnson, S.B.; Hosking, J.R.; Chinnock, R.J.; Holtkamp, R.H. The Biology of Australian Weeds 53: Cylindropuntia rosea (DC.) Backeb.; Cylindropuntia tunicata (Lehm.) FM Knuth. Plant Prot. Q. 2009, 24, 42–49. [Google Scholar]
- Al-Robai, S.A.; Howladar, S.M.; Mohamed, H.A.; Ahmed, A.A. Cylindropuntia rosea (DC.) Backeb, (Cactaceae): A new generic alien record in the flora of Saudi Arabia. J. Asia-Pac. Biodivers. 2018, 11, 320–323. [Google Scholar] [CrossRef]
- Mokotjomela, T.M.; Thabethe, V.; Downs, C. Comparing germination metrics of Opuntia ficus-indica and O. robusta between two sets of bird species (Pied Crows and two smaller species). Acta Oecol. 2021, 110, 103676. [Google Scholar] [CrossRef]
- Mokotjomela, T.M.; Vukeya, L.R.; Pamla, L.; Scott, Z. The critical role of coastal protected areas in buffering impacts of extreme climatic conditions on bird diversity and their ecosystem services’ provisioning in the Eastern Cape Province, South Africa. Ecol. Evol. 2023, 13, e10452. [Google Scholar] [CrossRef] [PubMed]
- Foxcroft, L.C.; Van Wilgen, B.W.; Abrahams, B.; Esler, K.J.; Wannenburgh, A. Knowing-doing continuum or knowing-doing gap? Information flow between researchers and managers of biological invasions in South Africa. In Biological Invasions in South Africa; Van Wilgen, B., Measey, J., Richardson, D., Wilson, J., Zengeya, T., Eds.; Springer International Publishing: Cham, Switzerland, 2020; pp. 831–853. [Google Scholar]
- Mokotjomela, T.M.; Rahlao, S.J.; Vukeya, L.R.; Baltzinger, C.; Mangane, L.V.; Willis, C.K.; Mutshinyalo, T.M. The Diversity of Alien Plant Species in South Africa’s National Botanical and Zoological Gardens. Diversity 2023, 15, 407. [Google Scholar] [CrossRef]
- Le Maitre, D.C.; Richardson, D.M.; Chapman, R.A. Alien plant invasions in South Africa: Driving forces and the human dimension: Working for water. S. Afr. J. Sci. 2004, 100, 103–112. [Google Scholar]
- Marchante, E.; Marchante, H.; Morais, M.; Freitas, H. Combining methodologies to increase public awareness about invasive alien plants in Portugal. In 2nd International Workshop on Invasive Plants in the Mediterranean Type Regions of the World; European Environment Agency: Trabzon, Turkey, 2010; pp. 227–239. [Google Scholar]
- Faulkner, K.T.; Burness, A.; Byrne, M.J.; Kumschick, S.; Peters, K.; Roberston, M.P.; Saccaggi, D.L.; Weyl, O.L.; Williams, V.L. South Africa’s Pathways of Introduction and Dispersal and How They Have Changed Over Time. In Biological Invasions in South Africa; Van Wilgen, B., Measey, J., Richardson, D., Wilson, J., Zengeya, T., Eds.; Springer International Publishing: Cham, Switzerland, 2020; pp. 313–354. [Google Scholar]






| Number of Cladodes per plant | GLM Comparison | ||||
| Site | Mean (N) | SE | χ2 | Df | Sig. |
| Overall (Treated vs. No Treatment) | 73.29 | 1 | <0.001 | ||
| Colesberg | 76.3 (53) a | 15.3 | 15.228 | 1 | <0.001 |
| Cookhouse | 209.1 (57) b | 14.7 | 1.328 | 1 | 0.249 |
| Edenburg | 33.4 (45) c | 16.6 | 59.006 | 1 | <0.001 |
| Richmond | 166.7 (48) d | 16.1 | a | - | - |
| Number of fruits per plant | GLM comparison | ||||
| Site | Mean (N) | SE | χ2 | Df | Sig. |
| Overall (Treated vs. No Treatment) | 624.45 | 1 | <0.001 | ||
| Colesberg | 0.6 (53) a | 18.5 | 1009.19 | 1 | <0.001 |
| Cookhouse | 100.3 (57) b | 19.4 | 365.952 | 1 | <0.001 |
| Edenburg | 0.6 (45) ac | 20 | 0.083 | 1 | 0.773 |
| Richmond | 94.8 (48) bd | 17.8 | a | - | - |
| Number of juveniles | GLM comparison | ||||
| Site | Mean (N) | SE | χ2 | Df | Sig. |
| Overall (Treated vs. No Treatment) | 27.28 | 1 | <0.001 | ||
| Colesberg | 2.5 (53) a | 0.3 | 15.73 | 1 | <0.001 |
| Cookhouse | 6.1 (57) b | 0.3 | 6.47 | 1 | 0.011 |
| Edenburg | 1.4 (45) ac | 0.3 | 34.612 | 1 | <0.001 |
| Richmond | 3.5 (48) bd | 0.3 | a | - | - |
| Control Variables | Gladodes | Fruits | Juveniles | Height | ||
|---|---|---|---|---|---|---|
| -none- | Gladodes | Correlation | 1.000 | 0.698 | 0.609 | 0.817 |
| Significance (2-tailed) | <0.001 | <0.001 | <0.001 | |||
| Df | 0 | 201 | 201 | 201 | ||
| Fruits | Correlation | 0.698 | 1.000 | 0.578 | 0.757 | |
| Significance (2-tailed) | <0.001 | <0.001 | <0.001 | |||
| Df | 201 | 0 | 201 | 201 | ||
| Juveniles | Correlation | 0.609 | 0.578 | 1.000 | 0.479 | |
| Significance (2-tailed) | <0.001 | <0.001 | <0.001 | |||
| Df | 201 | 201 | 0 | 201 | ||
| Height | Correlation | 0.817 | 0.757 | 0.479 | 1.000 | |
| Significance (2-tailed) | <0.001 | <0.001 | <0.001 | |||
| Df | 201 | 201 | 201 | 0 | ||
| Height | Gladodes | Correlation | 1.000 | 0.211 | 0.430 | |
| Significance (2-tailed) | 0.003 | <0.001 | ||||
| Df | 0 | 200 | 200 | |||
| Fruits | Correlation | 0.211 | 1.000 | 0.377 | ||
| Significance (2-tailed) | 0.003 | <0.001 | ||||
| Df | 200 | 0 | 200 | |||
| Juveniles | Correlation | 0.430 | 0.377 | 1.000 | ||
| Significance (2-tailed) | <0.001 | <0.001 | ||||
| Df | 200 | 200 | 0 | |||
Disclaimer/Publisher’s Note: The statements, opinions and data contained in all publications are solely those of the individual author(s) and contributor(s) and not of MDPI and/or the editor(s). MDPI and/or the editor(s) disclaim responsibility for any injury to people or property resulting from any ideas, methods, instructions or products referred to in the content. |
© 2025 by the authors. Licensee MDPI, Basel, Switzerland. This article is an open access article distributed under the terms and conditions of the Creative Commons Attribution (CC BY) license (https://creativecommons.org/licenses/by/4.0/).
Share and Cite
Makaota, K.; Mokotjomela, T.M.; Munyai, C.; Mbele, T.J.; Dube, N. Preliminary Evidence of Foliar Spray Effectiveness Against the Invasive Cactus Cylindropuntia pallida (Rose), F.M. Knuth in South Africa. Int. J. Plant Biol. 2025, 16, 113. https://doi.org/10.3390/ijpb16040113
Makaota K, Mokotjomela TM, Munyai C, Mbele TJ, Dube N. Preliminary Evidence of Foliar Spray Effectiveness Against the Invasive Cactus Cylindropuntia pallida (Rose), F.M. Knuth in South Africa. International Journal of Plant Biology. 2025; 16(4):113. https://doi.org/10.3390/ijpb16040113
Chicago/Turabian StyleMakaota, Keletso, Thabiso Michael Mokotjomela, Caswell Munyai, Thembelihle Joyce Mbele, and Nontembeko Dube. 2025. "Preliminary Evidence of Foliar Spray Effectiveness Against the Invasive Cactus Cylindropuntia pallida (Rose), F.M. Knuth in South Africa" International Journal of Plant Biology 16, no. 4: 113. https://doi.org/10.3390/ijpb16040113
APA StyleMakaota, K., Mokotjomela, T. M., Munyai, C., Mbele, T. J., & Dube, N. (2025). Preliminary Evidence of Foliar Spray Effectiveness Against the Invasive Cactus Cylindropuntia pallida (Rose), F.M. Knuth in South Africa. International Journal of Plant Biology, 16(4), 113. https://doi.org/10.3390/ijpb16040113

