Sentinel or Disperser? The Role of White Storks (Ciconia ciconia) in the Spread of Antibiotic-Resistant Bacteria
Abstract
1. Introduction
2. Materials and Methods
2.1. Study Sites
2.2. Sampling
2.2.1. Sampling Period
2.2.2. Sampling at Wetlands (Water Samples and Fecal-W Samples)
2.2.3. Sampling at Landfills (Fecal-L Samples)
2.3. Bacterial Isolation from Fecal Samples
2.4. Bacterial Isolation from Water Samples
2.5. Identification, Antimicrobial Susceptibility Testing and Detection of Resistance Genes by PCR
2.6. Statistical Analysis
3. Results
3.1. Recovery of Enterobacterales, Enterococci and Pseudomonas spp. and the Presence of Phenotypic Resistant Patterns
3.2. Recovery of Enterobacterales, Enterococci and Pseudomonas spp. and Strain Phenotypic Resistance Patterns Present in Each Location
3.2.1. Wetland 1 (W1)
3.2.2. Wetland 2 (W2)
3.2.3. Landfill 1 (L1)
3.2.4. Landfill 2 (L2)
3.3. Comparative Analysis of E. coli Isolates
3.4. Antibiotic Resistance Rate in E. coli Isolates
3.5. Distribution of Antibiotic Resistances in E. coli Classified by Locations and Phenological Periods
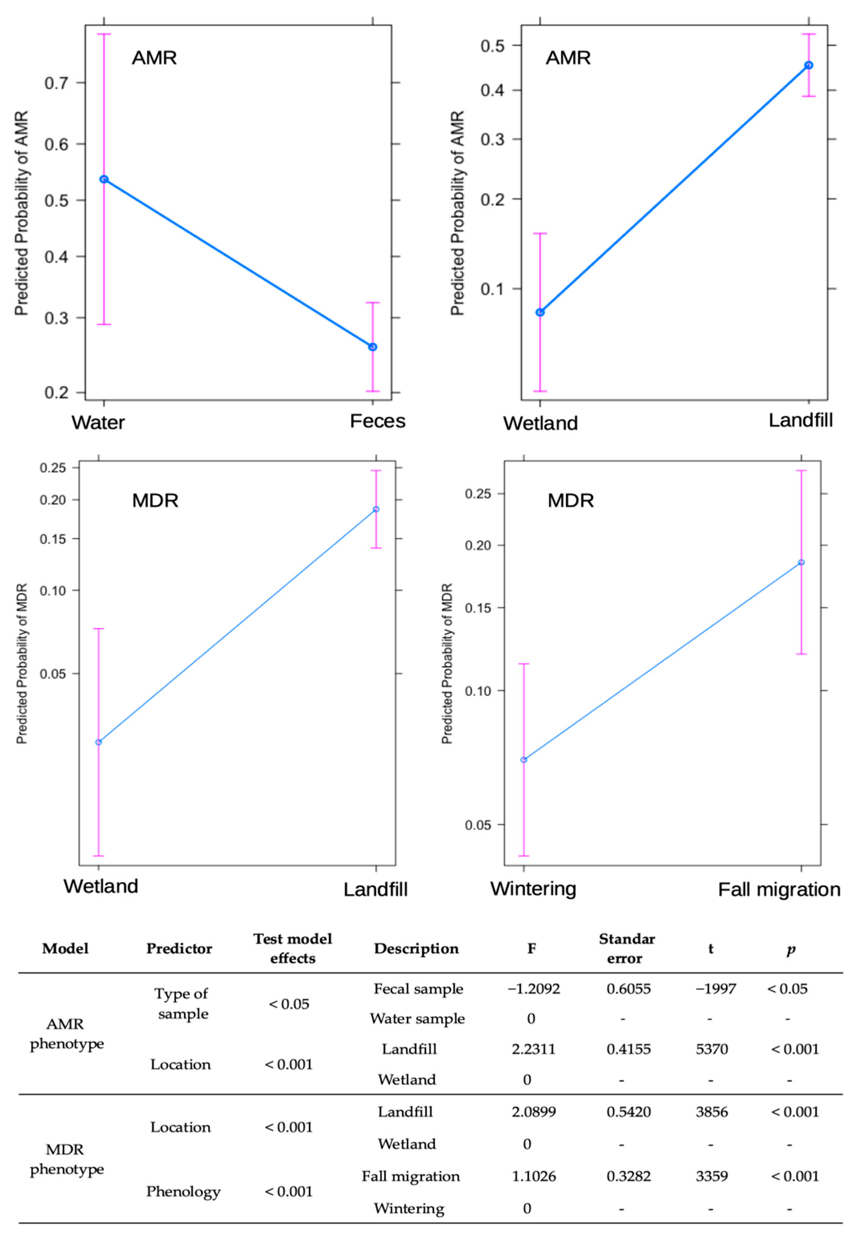
3.6. Factors Affecting the Probability of Acquiring AMR/MDR
3.7. Comparative Study of Enterobacterales by Paired Wetlands and Landfills
3.7.1. L1 Vs. W1
3.7.2. L2 Vs. W2
3.8. Comparative Study of Antibiotic Resistance Rates in E. coli Isolates Between Paired Wetlands and Landfills
4. Discussion
5. Conclusions
Supplementary Materials
Author Contributions
Funding
Informed Consent Statement
Data Availability Statement
Acknowledgments
Conflicts of Interest
Abbreviations
| ARB | Antimicrobial resistant bacteria |
| AMP | Ampicillin |
| AMC | Amoxicillin/clavulanate |
| AMK | Amikacin |
| AMR | Antimicrobial resistance |
| ATM | Aztreonam |
| BHI | Brain hearth infusion |
| CA | Cetrimide agar |
| CAZ | Ceftazidime |
| CHL | Chloramphenicol |
| CLSI | Clinical Laboratory Standard Institute |
| CIP | Ciprofloxacin |
| CTX | Cefotaxime |
| ERY | Erythromycin |
| ESBL | Extended-spectrum beta-lactamase |
| EUCAST | European Committee on Antimicrobial Susceptibility Testing |
| FEP | Cefepime |
| FOX | Cefoxitin |
| GEN | Gentamicin |
| GLM | Generalized linear model |
| GLMM | Generalized linear mixed model |
| GPS | Global positioning system |
| L | Landfill |
| LNZ | Linezolid |
| MCA | MacConkey Agar |
| MDR | Multi-drug resistance |
| PCR | Polymerase Chain Reaction |
| PRL | Piperacillin-tazobactam |
| S-BA | Slanetz-Bartley Agar |
| STR | Streptomycin |
| SXT | Trimethoprim/sulfamethoxazole |
| TET | Tetracycline |
| TIC | Ticarcillin |
| TOB | Tobramycin |
| VAN | Vancomycin |
| W | Wetland |
| WHO | World Health Organization |
| 3CG | Third generation cephalosporine |
References
- WHO. Antimicrobial Resistance. Available online: https://www.who.int/news-room/fact-sheets/detail/antimicrobial-resistance (accessed on 7 October 2024).
- Wang, J.; Ma, Z.B.; Zeng, Z.L.; Yang, X.W.; Huang, Y.; Liu, J.H. The role of wildlife (wild birds) in the global transmission of antimicrobial resistance genes. Zool. Res. 2017, 38, 55–80. [Google Scholar] [CrossRef]
- Lin, Y.; Dong, X.; Sun, R.; Wu, J.; Tian, L.; Rao, D.; Zhang, L.; Yang, K. Migratory birds-one major source of environmental antibiotic resistance around Qinghai Lake, China. Sci. Total Environ. 2020, 739, 139758. [Google Scholar] [CrossRef]
- Zhao, H.; Sun, R.; Yu, P.; Alvarez, P.J.J. High levels of antibiotic resistance genes and opportunistic pathogenic bacteria indicators in urban wild bird feces. Environ. Pollut. 2020, 266 Pt 2, 115200. [Google Scholar] [CrossRef]
- Ahlstrom, C.A.; Woksepp, H.; Sandegren, L.; Mohsin, M.; Hasan, B.; Muzyka, D.; Hernandez, J.; Aguirre, F.; Tok, A.; Söderman, J.; et al. Genomically diverse carbapenem resistant Enterobacteriaceae from wild birds provide insight into global patterns of spatiotemporal dissemination. Sci. Total Environ. 2022, 824, 153632. [Google Scholar] [CrossRef]
- Li, X.; Mowlaboccus, S.; Jackson, B.; Cai, C.; Coombs, G.W. Antimicrobial resistance among clinically significant bacteria in wildlife: An overlooked one health concern. Int. J. Antimicrob. Agents 2024, 64, 107251. [Google Scholar] [CrossRef]
- Palmeira, J.D.; Cunha, M.V.; Carvalho, J.; Ferreira, H.; Fonseca, C.; Torres, R.T. Emergence and spread of cephalosporinases in wildlife: A review. Animals 2021, 11, 1765. [Google Scholar] [CrossRef] [PubMed]
- Suarez-Yana, T.; Salgado-Caxito, M.; Hayer, J.; Rojas-Sereno, Z.E.; Pino-Hurtado, M.S.; Campaña-Burguet, A.; Caparrós, C.; Torres, C.; Benavides, J.A. ESBL-producing Escherichia coli prevalence and sharing across seabirds of central Chile. Sci. Total Environ. 2024, 951, 175475. [Google Scholar] [CrossRef] [PubMed]
- WHO. WHO Bacterial Priority Pathogens List, 2024: Bacterial Pathogens of Public Health Importance to Guide Research, Development and Strategies to Prevent and Control Antimicrobial Resistance; World Health Organization: Geneva, Switzerland, 2024; Available online: https://iris.who.int/bitstream/handle/10665/376776/9789240093461-eng.pdf (accessed on 7 October 2024).
- Peirano, G.; Pitout, J.D.D. Extended-Spectrum β-Lactamase-Producing Enterobacteriaceae: Update on Molecular Epidemiology and Treatment Options. Drugs 2019, 79, 1529–1541. [Google Scholar] [CrossRef] [PubMed]
- Arnold, K.E.; Williams, N.J.; Bennett, M. ‘Disperse abroad in the land’: The role of wildlife in the dissemination of antimicrobial resistance. Biol. Lett. 2016, 12, 20160137. [Google Scholar] [CrossRef]
- Ahlstrom, C.A.; Bonnedahl, J.; Woksepp, H.; Hernandez, J.; Olsen, B.; Ramey, A.M. Acquisition and dissemination of cephalosporin-resistant E. coli in migratory birds sampled at an Alaska landfill as inferred through genomic analysis. Sci. Rep. 2018, 8, 7361. [Google Scholar] [CrossRef]
- Akhil Prakash, E.; Hromádková, T.; Jabir, T.; Vipindas, P.V.; Krishnan, K.P.; Mohamed Hatha, A.A.; Briedis, M. Dissemination of multidrug resistant bacteria to the polar environment—Role of the longest migratory bird Arctic tern (Sterna paradisaea). Sci. Total Environ. 2022, 815, 152727. [Google Scholar] [CrossRef]
- Jarma, D.; Sánchez, M.I.; Green, A.J.; Peralta-Sánchez, J.M.; Hortas, F.; Sánchez-Melsió, A.; Borrego, C.M. Faecal microbiota and antibiotic resistance genes in migratory waterbirds with contrasting habitat use. Sci. Total Environ. 2021, 783, 146872. [Google Scholar] [CrossRef]
- Jarma, D.; Sacristán-Soriano, O.; Borrego, C.M.; Hortas, F.; Peralta-Sánchez, J.M.; Balcázar, J.L.; Green, A.J.; Alonso, E.; Sánchez-Melsió, A.; Sánchez, M.I. Variability of faecal microbiota and antibiotic resistance genes in flocks of migratory gulls and comparison with the surrounding environment. Environ. Pollut. 2024, 359, 124563. [Google Scholar] [CrossRef]
- Sacristán-Soriano, O.; Jarma, D.; Sánchez, M.I.; Romero, N.; Alonso, E.; Green, A.J.; Sànchez-Melsió, A.; Hortas, F.; Balcázar, J.L.; Peralta-Sánchez, J.M.; et al. Winged resistance: Storks and gulls increase carriage of antibiotic resistance by shifting from paddy fields to landfills. Sci. Total Environ. 2024, 914, 169946. [Google Scholar] [CrossRef]
- Bécares, J.; Blas, J.; López-López, P.; Schulz, H.; Torres-Medina, F.; Flack, A.; Enggist, P.; Höfle, U.; Bermejo, A.; de la Puente, J. Migración y Ecología Espacial de la Cigüeña Blanca en España; Monografía no: 5 del programa Migra; SEO/BirdLife: Madrid, Spain, 2019. [Google Scholar] [CrossRef]
- López-Calderón, C.; Martín-Vélez, V.; Blas, J.; Höfle, U.; Sánchez, M.I.; Flack, A.; Fiedler, W.; Wikelski, M.; Green, A.J. White stork movements reveal the ecological connectivity between landfills and different habitats. Mov. Ecol. 2023, 11, 18. [Google Scholar] [CrossRef] [PubMed]
- Plaza, P.I.; Lambertucci, S.A. How are garbage dumps impacting vertebrate demography, health, and conservation? Glob. Ecol. Conserv. 2017, 12, 9–20. [Google Scholar] [CrossRef]
- Molina, B.; Del Moral, J.C. La Cigüeña Blanca en España; VI Censo Internacional; SEO/BirdLife: Madrid, Spain, 2005; Available online: https://www.seo.org/wp-content/uploads/2012/04/4_ciguena_blanca1.pdf (accessed on 7 October 2024).
- López-García, A.; Aguirre, J.I. White Storks nest at high densities near landfills changing stork nesting distributions in the last 4 decades in Central Spain. Ornithol. Appl. 2023, 125, duad009. [Google Scholar] [CrossRef]
- de la Casa-Resino, I.; Hernández-Moreno, D.; Castellano, A.; Pérez-López, M.; Soler, F. Chlorinated pollutants in blood of White stork nestlings (Ciconia ciconia) in different colonies in Spain. Chemosphere 2015, 118, 367–372. [Google Scholar] [CrossRef]
- Höfle, U.; Gonzalez-Lopez, J.; Camacho, M.C.; Solà-Ginés, M.; Moreno-Mingorance, A.; Manuel Hernández, J.; De La Puente, J.; Pineda-Pampliega, J.; Aguirre, J.I.; Torres-Medina, F.; et al. Foraging at solid urban waste disposal sites as risk factor for cephalosporin and colistin resistant Escherichia coli carriage in white storks (Ciconia ciconia). Front. Microbiol. 2020, 11, 1397. [Google Scholar] [CrossRef]
- Martínez-Álvarez, S.; Höfle, U.; Châtre, P.; Alonso, C.A.; Asencio-Egea, M.A.; François, P.; Cardona-Cabrera, T.; Zarazaga, M.; Madec, J.; Haenni, M.; et al. One Health bottom-up analysis of the dissemination pathways concerning critical priority carbapenemase- and ESBL-producing Enterobacterales from storks and beyond. J. Antimicrob. Chemother. 2025, 80, 68–78. [Google Scholar] [CrossRef]
- Gilbert, N.I.; Correia, R.A.; Silva, J.P.; Pacheco, C.; Catry, I.; Atkinson, P.W.; Gill, J.A.; Franco, A.M. Are white storks addicted to junk food? Impacts of landfill use on the movement and behaviour of resident white storks (Ciconia ciconia) from a partially migratory population. Mov. Ecol. 2016, 4, 7. [Google Scholar] [CrossRef]
- Clinical and Laboratory Standards Institute (CLSI). Performance Standards for Antimicrobial Susceptibility Testing, 32nd ed.; CLSI Supplement M100-Ed32; National Committee for Clinical Laboratory Standards: Wayne, PA, USA, 2022. [Google Scholar]
- The European Committee on Antimicrobial Susceptibility Testing. Breakpoint Tables for Interpretation of MICs and Zone Diameters; Version 12.0; The European Committee on Antimicrobial Susceptibility Testing: Växjö, Sweden, 2022; Available online: http://www.eucast.org (accessed on 12 October 2023).
- Batchelor, M.; Hopkins, K.; Threlfall, E.J.; Clifton-Hadley, F.A.; Stallwood, A.D.; Davies, R.H.; Liebana, E. blaCTX-M genes in clinical Salmonella isolates recovered from humans in England and Wales from 1992 to 2003. Antimicrob. Agents. Chemother. 2005, 49, 1319–1322. [Google Scholar] [CrossRef]
- Doyle, C.; Wall, K.; Fanning, S.; McMahon, B.J. Making sense of sentinels: Wildlife as the One Health bridge for environmental antimicrobial resistance surveillance. J. Appl. Microbiol. 2025, 136, lxaf017. [Google Scholar] [CrossRef]
- Martín-Vélez, V.; Montalvo, T.; Giralt, D.; Ramírez, F.; Giménez, J.; Morral-Puigmal, C.; Planell, R.; Sabate, S.; Bota, G.; Navarro, J. Evil and allies: Opportunistic gulls as both spreaders and sentinels of antibiotic-resistant bacteria in human-transformed landscapes. J. App. Ecol. 2024, 61, 2809–2821. [Google Scholar] [CrossRef]
- Andersson, D.I.; Levin, B.R. The biological cost of antibiotic resistance. Curr. Opin. Microbiol. 1999, 2, 489–493. [Google Scholar] [CrossRef]
- Foucault, M.L.; Courvalin, P.; Grillot-Courvalin, C. Fitness cost of VanA-type vancomycin resistance in methicillin-resistant Staphylococcus aureus. Antimicrob. Agents Chemother. 2009, 53, 2354–2359. [Google Scholar] [CrossRef] [PubMed]
- Martín-Maldonado, B.; Vega, S.; Mencía-Gutiérrez, A.; Lorenzo-Rebenaque, L.; de Frutos, C.; González, F.; Revuelta, L.; Marin, C. Urban birds: An important source of antimicrobial resistant Salmonella strains in Central Spain. Comp. Immunol. Microbiol. Infect. Dis. 2020, 72, 101519. [Google Scholar] [CrossRef]
- Guitart-Matas, J.; Espunyes, J.; Illera, L.; Gonzalez-Escalona, N.; Ribas, M.P.; Marco, I.; Migura-Garcia, L. High-risk lineages of extended spectrum cephalosporinase producing Escherichia coli from Eurasian griffon vultures (Gyps fulvus) foraging in landfills in north-eastern Spain. Sci. Total Environ. 2024, 909, 168625. [Google Scholar] [CrossRef]
- Samreen, A.I.; Malak, H.A.; Abulreesh, H.H. Environmental antimicrobial resistance and its drivers: A potential threat to public health. J. Glob. Antimicrob. Resist. 2021, 27, 101–111. [Google Scholar] [CrossRef] [PubMed]
- Hernández, J.M.; Höfle, U. Use of South-Central Spanish landfill sites by central european White storks Ciconia ciconia based upon regular ring lectures: Migration, wintering and juvenile dispersal. In Proceedings of the 1st International White Stork Conference, Zielona Góra, Poland, 4–6 September 2014; p. 23. [Google Scholar]
- Sanz-Aguilar, A.; Jovani, R.; Melián, C.J.; Pradel, R.; Tella, J.L. Multi-event capture–recapture analysis reveals individual foraging specialization in a generalist species. Ecology 2015, 96, 1650–1660. [Google Scholar] [CrossRef]
- Martínez-Álvarez, S.A.; Asencio-Egea, M.Á.; Huertas-Vaquero, M.; Cardona-Cabrera, T.; Zarazaga, M.; Höfle, U.; Torres, C. Genomic epidemiology of ESBL-and Carbapenemase-producing Enterobacterales in a Spanish hospital: Exploring the clinical–environmental interface. Microorganisms 2025, 13, 1854. [Google Scholar] [CrossRef]
- Cheng, Y.; Fiedler, W.; Wikelski, M.; Flack, A. “Closer-to-home” strategy benefits juvenile survival in a long-distance migratory bird. Ecol. Evol. 2019, 9, 8945–8952. [Google Scholar] [CrossRef] [PubMed]
- Bárbara, A.; Torrontegi, O.; Camacho, M.C.; Barral, M.; Hernández, J.M.; Höfle, U. Avian Influenza Virus surveillance in South-Central Spain using fecal samples of aquatic birds foraging at landfills. Front. Vet. Sci. 2017, 4, 178. [Google Scholar] [CrossRef] [PubMed]
- Sandegren, L.; Stedt, J.; Lustig, U.; Bonnedahl, J.; Andersson, D.I.; Järhult, J.D. Long-term carriage and rapid transmission of extended spectrum beta-lactamase-producing E. coli within a flock of Mallards in the absence of antibiotic selection. Environ. Microbiol. Rep. 2018, 10, 576–582. [Google Scholar] [CrossRef]
- Franklin, A.B.; Ramey, A.M.; Bentler, K.T.; Barrett, N.L.; McCurdy, L.M.; Ahlstrom, C.A.; Bonnedahl, J.; Shriner, S.A.; Chandler, J.C. Gulls as sources of environmental contamination by colistin-resistant bacteria. Sci. Rep. 2020, 10, 4408. [Google Scholar] [CrossRef]
- Farkas, K.; Knight, M.E.; Woodhall, N.; Williams, R.C.; Seerung, W.; Silvester, R.; Abbey, R.; Wade, M.J.; Cattarino, L.; White, T.; et al. Monitoring of antimicrobial resistance genes and influenza viruses in avian-populated water bodies. Sustain. Microbiol. 2025, 2, qvaf013. [Google Scholar] [CrossRef]







| Bacterial Group | Antibiotics Tested |
|---|---|
| Enterobacterales and Aeromonas | Ampicillin (AMP 30), amoxicillin/clavulanate (AMC 30), ceftazidime (CAZ 30), cefotaxime (CTX 30), cefoxitin (FOX 30), aztreonam (ATM 30), ciprofloxacin (CIP 5), gentamicin (GEN 10), chloramphenicol (CHL 30), trimethoprim/sulfamethoxazole (SXT 25), and tetracycline (TET 30). |
| Enterococci | Vancomycin (VAN 30), ampicillin (AMP 10), erythromycin (ERY 15), tetracycline (TET 30), ciprofloxacin (CIP 5), gentamicin (GEN 120), streptomycin (STR 300), linezolid (LNZ 10) and chloramphenicol (CHL 30). |
| Pseudomonas | Ticarcillin (TIC 75), piperacillin (PRL 30), piperacillin-tazobactam (TZP 110), ceftazidime (CAZ 30), cefepime (FEP 30), aztreonam (ATM 30), gentamicin (GEN 30), tobramycin (TOB 10), amikacin (AMK 30), ciprofloxacin (CIP 5). |
| Categorical Variables |
|---|
| AMR Enterococcus: enterococci with any resistant phenotype |
| MDR Enterococcus: enterococci resistant to 3 or more different families of antibiotics |
| AMR Enterobacterales: Enterobacterales and Aeromonas spp., with any resistant phenotype |
| MDR Enterobacterales: Enterobacterales and Aeromonas spp. resistant to 3 or more different families of antibiotics |
| Resistance to 3rd generation cephalosporins (3GC) in Enterobacterales |
| Resistance to fluoroquinolones in Enterobacterales |
| ESBL-producing Enterobacterales: E. coli and Klebsiella spp. with phenotypic ESBL |
| Wetland (n = 121) | Landfill (n = 225) | |||||||
|---|---|---|---|---|---|---|---|---|
| W1 (n = 50) | W2 (n = 71) | L1 Feces (n = 76) | L2 Feces (n = 149) | |||||
| Water (n = 15) | Feces (n = 35) | Water (n = 13) | Feces (n = 58) | |||||
| AMR | 3/20 (4) | 5/14.9 (6) | 3/23.1 (4) | 2/3.4 (2) | ||||
| 8/16 (10) | 5/7 (6) | 32/42.1 (42) | 65/43.6 (83) | |||||
| MDR | n.d. | 3/8.8 (3) | n.d. | 1/1.7 (1) | ||||
| 3/6 (3) | 1/1.4 (1) | 22/28.9 (23) | 22/14.8 (24) | |||||
| AMR Enterococcus | n.d. | 3/8.8 (3) | n.d. | 1/1.7 (1) | ||||
| 3/6 (3) | 1/1.4 (1) | 16/21.1 (16) | 11/7.4 (11) | |||||
| MDR Enterococcus | n.d. | 1/2.8 (1) | n.d. | 1/1.7 (1) | ||||
| 1/ 2 (1) | 1/1.4 (1) | 7/9.2 (7) | 4/2.7 (4) | |||||
| AMR Enterobacateria | 3/20 (4) | 2/5.7 (3) | 3/23.1 (4) | 1/1.7 (1) | ||||
| 5/10 (7) | 4/5.6 (5) | 20/26.3 (25) | 57/38.3 (72) | |||||
| MDR Enterobacteria | n.d. | 2/5.7 (2) | n.d. | n.d. | ||||
| 2/4 (2) | 0 | 15/19.7 (16) | 19/12.8 (20) | |||||
| Resist. Third-generation Enterobacteria | 1/6.6 (1) | 1/2.8 (1) | 1/7.7 (1) | n.d. | ||||
| 2/4 (2) | 1/1.4 (1) | 10/13.2 (10) | 29/19.5 (33) | |||||
| Resist. Fluoroq. Enterobacteria | n.d. | 2/5.7 (2) | n.d. | n.d. | ||||
| 2/4 (2) | 0 | 13/17.1 (14) | 16/10.7 (16) | |||||
| ESBL- Enterobacteria | n.d. | n.d. | n.d. | n.d. | ||||
| 0 | 0 | 8/10.5 (8) | 10/6.7 (10) | |||||
| Resistance to | Total E. coli (n = 70) | ESBL-E. coli (n = 15)/ Non ESBL-E. coli (n = 55) | ||
|---|---|---|---|---|
| n | % | n | % | |
| Ampicillin | 46 | 65.7 | 15/31 | 100/56.4 |
| Amoxicillin-clavulanate | 20 | 28.6 | 2/18 | 13.3/32.7 |
| Ceftazidime | 16 | 22.9 | 9/7 | 60/12.7 |
| Cefotaxime | 33 | 47.1 | 14/19 | 93.3/34.5 |
| Cefoxitin | 6 | 8.6 | 1/5 | 6.7/9.1 |
| Imipenem | 0 | 0 | 0/0 | 0.0/0.0 |
| Aztreonam | 24 | 34.3 | 11/13 | 73.3/23.6 |
| Ciprofloxacin | 28 | 40 | 11/17 | 73.3/30.9 |
| Trimethoprim/sulfamethoxazole | 26 | 37.1 | 7/19 | 46.7/34.5 |
| Gentamicin | 27 | 38.6 | 8/19 | 53.3/34.5 |
| Chloramphenicol | 14 | 20 | 5/9 | 33.3/16.4 |
| Tetracycline | 31 | 44.3 | 7/24 | 46.7/43.6 |
Disclaimer/Publisher’s Note: The statements, opinions and data contained in all publications are solely those of the individual author(s) and contributor(s) and not of MDPI and/or the editor(s). MDPI and/or the editor(s) disclaim responsibility for any injury to people or property resulting from any ideas, methods, instructions or products referred to in the content. |
© 2025 by the authors. Licensee MDPI, Basel, Switzerland. This article is an open access article distributed under the terms and conditions of the Creative Commons Attribution (CC BY) license (https://creativecommons.org/licenses/by/4.0/).
Share and Cite
Cardona-Cabrera, T.; Martínez-Álvarez, S.; Muela-Trujillo, Y.; Sánchez-Cano, A.; Montero, J.C.; Fernández-Gallego, J.M.; Torres, C.; Höfle, U. Sentinel or Disperser? The Role of White Storks (Ciconia ciconia) in the Spread of Antibiotic-Resistant Bacteria. Microbiol. Res. 2025, 16, 202. https://doi.org/10.3390/microbiolres16090202
Cardona-Cabrera T, Martínez-Álvarez S, Muela-Trujillo Y, Sánchez-Cano A, Montero JC, Fernández-Gallego JM, Torres C, Höfle U. Sentinel or Disperser? The Role of White Storks (Ciconia ciconia) in the Spread of Antibiotic-Resistant Bacteria. Microbiology Research. 2025; 16(9):202. https://doi.org/10.3390/microbiolres16090202
Chicago/Turabian StyleCardona-Cabrera, Teresa, Sandra Martínez-Álvarez, Yolanda Muela-Trujillo, Alberto Sánchez-Cano, Juan Carlos Montero, Juan Manuel Fernández-Gallego, Carmen Torres, and Ursula Höfle. 2025. "Sentinel or Disperser? The Role of White Storks (Ciconia ciconia) in the Spread of Antibiotic-Resistant Bacteria" Microbiology Research 16, no. 9: 202. https://doi.org/10.3390/microbiolres16090202
APA StyleCardona-Cabrera, T., Martínez-Álvarez, S., Muela-Trujillo, Y., Sánchez-Cano, A., Montero, J. C., Fernández-Gallego, J. M., Torres, C., & Höfle, U. (2025). Sentinel or Disperser? The Role of White Storks (Ciconia ciconia) in the Spread of Antibiotic-Resistant Bacteria. Microbiology Research, 16(9), 202. https://doi.org/10.3390/microbiolres16090202

