Tick-Borne Encephalitis Virus (TBEV): Epidemiology, Diagnosis, Therapeutic Approaches and Some Molecular Aspects—An Updated Review
Abstract
1. Introduction
2. TBEV Structure


3. The Life Cycle of the Virus
4. TBEV Transmission and Circulation
4.1. TBEV Circulation in Nature
4.2. TBEV Transmission to Human
5. Geographical Distribution of TBE Subtypes and TBE Prevalence in Different Countries
| Country | Number of Cases in 2022 | Incidence per 100,000 Individuals in 2022 | Circulating Subtype | References |
|---|---|---|---|---|
| Austria | 206 | 2.3 | TBEV-Eu | [10,89] |
| Belarus | 260 | 4.1 | TBEV-Eu, TBEV-FE | [115,130] |
| Belgium | 2 | 0.02 | TBEV-Eu | [10,89] |
| Bosnia and Herzegovina | n.a., 2 in 2010 | n.a. | TBEV-Eu, TBEV-Sib | [131] |
| China | n.a., 3364 for 2007–2018 | n.a. | TBEV-FE, TBEV-Sib, TBEV-Him | [8,117] |
| Croatia | 23 | 0.6 | TBEV-Eu | [89,132] |
| Czechia | 709 | 6.7 | TBEV-Eu | [89,133] |
| Denmark | 5 | 0.1 | TBEV-Eu | [89,99,134], |
| Estonia | 140 | 10.5 | TBEV-Eu, TBEV-Sib, TBEV-FE | [89,96,135] |
| Finland | 124 | 2.2 | TBEV-Eu, TBEV-Sib | [89,136] |
| France | 37 | 0.1 | TBEV-Eu | [89,137] |
| Georgia | n.a., 36 in 2008 | n.a. | TBEV-FE, TBEV-Sib | [133,138] |
| Germany | 554 | 0.7 | TBEV-Eu | [89,139] |
| Greece | 1 | 0.01 | TBEV-Eu | [89,140] |
| Hungary | 29 | 0.3 | TBEV-Eu | [89,141] |
| Italy | 104 | 0.2 | TBEV-Eu | [89,142] |
| Japan | n.a., 7 since 1993 | n.a. | TBEV-FE | [88,122,143] |
| Kazakhstan | 32 | n.a., 0.19 * | TBEV-Sib | [144,145,146] |
| Kyrgyzstan | n.a. | n.a. | TBEV-Sib | [4,128] |
| Latvia | 240 | 12.67 | TBEV-Eu, TBEV-Sib, TBEV-FE | [95,147,148] |
| Lithuania | 377 | 13.4 | TBEV-Eu, TBEV-Sib, TBEV-FE | [89,96] |
| Moldova | n.a. | n.a. | TBEV-FE | [149] |
| Mongolia | 240 | 12.67 | TBEV-FE, TBEV-Blk | [10,150] |
| Netherlands | 5 | n.a. | TBEV-Eu | [89,102] |
| Norway | 84 | 1.5 | TBEV-Eu | [89,99] |
| Poland | 446 | 1.18 | TBEV-Eu | [151] |
| Portugal | 1 | 0.01 | n.a. | [89] |
| Romania | n.a., 30 for 2008–2018 | n.a. | TBEV-Eu | [152] |
| Russia | 1778 | 1.34 | TBEV-Eu, TBEV-Sib, TBEV-FE, TBEV-Bkl | [111,153,154] |
| Serbia | 1 | 0.02 | TBEV-Eu | [155,156] |
| Slovakia | 158 | 2. | TBEV-Eu | [89,104] |
| Slovenia | 125 | 5.90 | TBEV-Eu | [89,106] |
| South Korea | 0 | 0 | TBEV-Eu | [10] |
| Sweden | 465 | 4.4 | TBEV-Eu | [89,99] |
| Switzerland | 380 | 4.3 | TBEV-Eu | [157] |
| UK | n.a., 2 cases since 2019 | 0 | TBEV-Eu | [108,109] |
| Ukraine | n.a., 459 TBE cases for 1990–2018 | n.a. | TBEV-Eu, TBEV-Sib, TBEV-FE | [10,158] |
6. Pathogenesis of TBEV
7. Clinical Presentation of TBEV
8. Diagnostics of TBEV
8.1. Detection of Specific Immunoglobulins
8.2. PCR-Based Methods
8.3. Biomarkers
| Biomarker | Material | Direction of Changes | Stage of the Disease | Application | References |
|---|---|---|---|---|---|
| IgM | Serum | Increase | Second phase | Conformation of the diagnosis | [197,198] |
| CSF | |||||
| IgG | Serum | Increase | Second phase | Conformation of the diagnosis | [197] |
| CSF | |||||
| λ FLCs | Serum | Increase | Second phase | Indicates the rate of intrathecal synthesis of immunoglobulins | [206,250] |
| CSF | Decrease in pre-treatment Increase in post-treatment | A decrease indicates increased permeability of the BBB Post-treatment increase can be used for monitoring response to therapy | |||
| PCT | Serum | Reference range | First phase | Differential diagnostics with bacterial infections | [229] |
| CRP | Serum | Reference range or increased (up to 16 mg/l) | First phase | Differential diagnostics with bacterial infections | [229] |
| MMP-9 | Serum | Increase | Second phase | The increase indicates BBB damage | [225,227] |
| CSF | Increase | Second phase | |||
| IL-5 | Serum | Decrease | Second phase | Increase correlates with increased permeability of BBB | [196,230,231,235]. |
| CSF | Increase | ||||
| IL-6 | Serum | Increase | Second phase | The degree of increase correlates with the severity of the disease and permanent sequelae | [230,231] |
| CSF | Decrease concentration, higher content than in serum | ||||
| IL-8 | Serum | Increase | Second phase | BBB dysfunction | [225,230] |
| IL-9 | CSF | Decrease | Second phase | Decrease associated with the development of neuroinflammation | [231,251] |
| IL-10 | Serum | Increase | Second phase | A low level indicates complications | [230,232] |
| CSF | Decrease | ||||
| IL-12 | Serum | Increase | Second phase | The increase indicates enhancement of immunopathology | [230] |
| IL-22 | CSF | Increase | Second phase | Additional marker for TBE diagnostics | [231] |
| IFN-γ | CSF | Increase | Second phase | Increase correlates with strength of immune response | [231] |
| HMGB-1 | Serum | Reference range or increase | First phase | Differential diagnostic of TBE and NB | [240] |
| CSF | Increase | ||||
| TLR-2 | Serum | Increase | Second phase | Additional marker for TBE diagnostics | [241] |
| CSF | Increase | ||||
| GM-CSF | Serum | Decrease | Second phase | Decrease associated with the development of neuroinflammation | [230] |
| MCP-1 | Serum | Decrease | Second phase | Prognostic marker for the development of CNS complications | [226,252] |
| HGF | Serum | Increase | Second phase | Virus-mediated brain tissue damage | [230] |
| VEGF | Serum | Increase | Second phase | Degree of BBB injury | [230,248] |
| CSF | |||||
| Serotonin | Serum | Increase | Second phase | Development of severe TBE forms | [201,203] |
| Dopamine | Serum | Increase | Second phase | Development of severe TBE forms | [230] |
| Noradrenaline | Serum | Increase | Second phase | Development of severe TBE forms | [230] |
| Phospholipids | Serum | Increase | First phase | Additional marker for TBE diagnostics | [249] |
| TAGs | Serum | Decrease | First phase | Additional marker for TBE diagnostics | [249] |
| Acylcarnitine | Serum | Increase | First phase | Additional marker for TBE diagnostics | [249] |
| D-glutamine | Serum | Decrease | First phase | Additional marker for TBE diagnostics | [249] |
| Pyroglutamic acid | Serum | Decrease | First phase | Additional marker for TBE diagnostics | [249] |
| L-cystine | Serum | Decrease | First phase | Additional marker for TBE diagnostics | [249] |
9. Prevention and Treatment
10. Conclusions
Author Contributions
Funding
Data Availability Statement
Conflicts of Interest
Abbreviations
| BBB | the blood–brain barrier |
| BMECs | brain microvascular endothelial cells |
| CNS | central nervous system |
| CRP | C-reactive protein |
| CSF | cerebrospinal fluid |
| ECDC | European Centre for Disease Control |
| ELISA | enzyme-linked immunosorbent assay |
| ER | endoplasmic reticulum |
| ESR | erythrocyte sedimentation rate |
| GM-CSF | granulocyte–macrophage colony-stimulating factor |
| HGA | acute human granulocytic anaplasmosis |
| HGF | hepatocyte growth factor |
| HMGB-1 | High-mobility group box 1 protein |
| IFA | immunofluorescence assays |
| IL | interleukin |
| IRF-3 | interferon regulatory factor pathway |
| MCP-1/CCL2 | monocyte chemoattractant protein-1 |
| MMP-9 | matrix metalloproteinase-9 |
| MMPs | matrix metalloproteinases |
| NB | neuroborreliosis |
| n RT-PCR | nested reverse transcriptase PCR |
| PCT | procalcitonin |
| PCR | polymerase chain reaction |
| PRNT | plaque reduction neutralization test |
| prM | precursor M protein |
| RAFIs | rigid amphipathic fusion inhibitors |
| TAGs | triacylglycerols |
| TBEV | tick-borne encephalitis virus |
| TBE | tick-borne encephalitis |
| TCID | tissue culture infectious dose |
| VBT | vaccine breakthrough |
| VEGF | vascular endothelial growth factor |
| VNT | virus neutralization test |
References
- Worku, D.A. Tick-Borne Encephalitis (TBE): From Tick to Pathology. J. Clin. Med. 2023, 12, 6859. [Google Scholar] [CrossRef] [PubMed]
- Blom, K.; Cuapio, A.; Sandberg, J.T.; Varnaite, R.; Michaëlsson, J.; Björkström, N.K.; Sandberg, J.K.; Klingström, J.; Lindquist, L.; Gredmark Russ, S.; et al. Cell-Mediated Immune Responses and Immunopathogenesis of Human Tick-Borne Encephalitis Virus-Infection. Front. Immunol. 2018, 9, 2174. [Google Scholar] [CrossRef] [PubMed]
- Gritsun, T.S.; Nuttall, P.A.; Gould, E.A. Tick-Borne Flaviviruses. In Advances in Virus Research; Elsevier: Amsterdam, The Netherlands, 2003; Volume 61, pp. 317–371. ISBN 978-0-12-039861-4. [Google Scholar]
- Tkachev, S.E.; Babkin, I.V.; Chicherina, G.S.; Kozlova, I.V.; Verkhozina, M.M.; Demina, T.V.; Lisak, O.V.; Doroshchenko, E.K.; Dzhioev, Y.P.; Suntsova, O.V.; et al. Genetic Diversity and Geographical Distribution of the Siberian Subtype of the Tick-Borne Encephalitis Virus. Ticks Tick-Borne Dis. 2020, 11, 101327. [Google Scholar] [CrossRef] [PubMed]
- Deviatkin, A.A.; Karganova, G.G.; Vakulenko, Y.A.; Lukashev, A.N. TBEV Subtyping in Terms of Genetic Distance. Viruses 2020, 12, 1240. [Google Scholar] [CrossRef] [PubMed]
- Sukhorukov, G.A.; Paramonov, A.I.; Lisak, O.V.; Kozlova, I.V.; Bazykin, G.A.; Neverov, A.D.; Karan, L.S. The Baikal Subtype of Tick-Borne Encephalitis Virus Is Evident of Recombination between Siberian and Far-Eastern Subtypes. PLoS Negl. Trop. Dis. 2023, 17, e0011141. [Google Scholar] [CrossRef]
- Kwasnik, M.; Rola, J.; Rozek, W. Tick-Borne Encephalitis—Review of the Current Status. J. Clin. Med. 2023, 12, 6603. [Google Scholar] [CrossRef]
- Dai, X.; Shang, G.; Lu, S.; Yang, J.; Xu, J. A New Subtype of Eastern Tick-Borne Encephalitis Virus Discovered in Qinghai-Tibet Plateau, China. Emerg. Microbes Infect. 2018, 7, 1–9. [Google Scholar] [CrossRef]
- Bogovic, P.; Strle, F. Tick-Borne Encephalitis: A Review of Epidemiology, Clinical Characteristics, and Management. WJCC 2015, 3, 430. [Google Scholar] [CrossRef]
- Erber, W.; Schmitt, H.-J.; Janković, T.V. Chapter 12a: Epidemiology by Country—An Overview. In Tick-Borne Encephalitis-the Book; Global Health Press Pte Ltd.: Singapore, 2019. [Google Scholar] [CrossRef]
- Süss, J. Tick-Borne Encephalitis 2010: Epidemiology, Risk Areas, and Virus Strains in Europe and Asia—An Overview. Ticks Tick-Borne Dis. 2011, 2, 2–15. [Google Scholar] [CrossRef]
- Pulkkinen, L.I.A.; Barrass, S.V.; Domanska, A.; Överby, A.K.; Anastasina, M.; Butcher, S.J. Molecular Organisation of Tick-Borne Encephalitis Virus. Viruses 2022, 14, 792. [Google Scholar] [CrossRef]
- Füzik, T.; Formanová, P.; Růžek, D.; Yoshii, K.; Niedrig, M.; Plevka, P. Structure of Tick-Borne Encephalitis Virus and Its Neutralization by a Monoclonal Antibody. Nat. Commun. 2018, 9, 436. [Google Scholar] [CrossRef] [PubMed]
- Knipe, D.M.; Howley, P.M. Fields Virology, 5th ed.; Lippincott Williams & Wilkins: Philadelphia, PA, USA, 2007; ISBN 978-0-7817-6060-7. [Google Scholar]
- Mukhopadhyay, S.; Kim, B.-S.; Chipman, P.R.; Rossmann, M.G.; Kuhn, R.J. Structure of West Nile Virus. Science 2003, 302, 248. [Google Scholar] [CrossRef] [PubMed]
- Kuhn, R.J.; Zhang, W.; Rossmann, M.G.; Pletnev, S.V.; Corver, J.; Lenches, E.; Jones, C.T.; Mukhopadhyay, S.; Chipman, P.R.; Strauss, E.G.; et al. Structure of Dengue Virus. Cell 2002, 108, 717–725. [Google Scholar] [CrossRef] [PubMed]
- Kofler, R.M.; Heinz, F.X.; Mandl, C.W. Capsid Protein C of Tick-Borne Encephalitis Virus Tolerates Large Internal Deletions and Is a Favorable Target for Attenuation of Virulence. J. Virol. 2002, 76, 3534–3543. [Google Scholar] [CrossRef] [PubMed]
- Lattová, E.; Straková, P.; Pokorná-Formanová, P.; Grubhoffer, L.; Bell-Sakyi, L.; Zdráhal, Z.; Palus, M.; Ruzek, D. Comprehensive N-glycosylation mapping of envelope glycoprotein from tick-borne encephalitis virus grown in human and tick cells. Sci. Rep. 2020, 10, 13204. [Google Scholar] [CrossRef]
- Selinger, M.; Novotný, R.; Sýs, J.; Roby, J.A.; Tykalová, H.; Ranjani, G.S.; Vancová, M.; Jaklová, K.; Kaufman, F.; Bloom, M.E.; et al. Tick-Borne Encephalitis Virus Capsid Protein Induces Translational Shutoff as Revealed by Its Structural–Biological Analysis. J. Biol. Chem. 2022, 298, 102585. [Google Scholar] [CrossRef]
- Zhang, W.; Kaufmann, B.; Chipman, P.R.; Kuhn, R.J.; Rossmann, M.G. Membrane Curvature in Flaviviruses. J. Struct. Biol. 2013, 183, 86–94. [Google Scholar] [CrossRef]
- Salat, J.; Mikulasek, K.; Larralde, O.; Pokorna Formanova, P.; Chrdle, A.; Haviernik, J.; Elsterova, J.; Teislerova, D.; Palus, M.; Eyer, L.; et al. Tick-Borne Encephalitis Virus Vaccines Contain Non-Structural Protein 1 Antigen and May Elicit NS1-Specific Antibody Responses in Vaccinated Individuals. Vaccines 2020, 8, 81. [Google Scholar] [CrossRef]
- Neufeldt, C.J.; Cortese, M.; Acosta, E.G.; Bartenschlager, R. Rewiring Cellular Networks by Members of the Flaviviridae Family. Nat. Rev. Microbiol. 2018, 16, 125–142. [Google Scholar] [CrossRef]
- Khasnatinov, M.A.; Tuplin, A.; Gritsun, D.J.; Slovak, M.; Kazimirova, M.; Lickova, M.; Havlikova, S.; Klempa, B.; Labuda, M.; Gould, E.A.; et al. Tick-Borne Encephalitis Virus Structural Proteins Are the Primary Viral Determinants of Non-Viraemic Transmission between Ticks Whereas Non-Structural Proteins Affect Cytotoxicity. PLoS ONE 2016, 11, e0158105. [Google Scholar] [CrossRef]
- Elshuber, S.; Allison, S.L.; Heinz, F.X.; Mandl, C.W. Cleavage of Protein prM Is Necessary for Infection of BHK-21 Cells by Tick-Borne Encephalitis Virus FN1. J. Gen. Virol. 2003, 84, 183–191. [Google Scholar] [CrossRef] [PubMed]
- Lindenbach, B.D.; Rice, C.M. Molecular Biology of Flaviviruses. In Advances in Virus Research; Elsevier: Amsterdam, The Netherlands, 2003; Volume 59, pp. 23–61. ISBN 978-0-12-039859-1. [Google Scholar]
- Anastasina, M.; Füzik, T.; Domanska, A.; Pulkkinen, L.I.A.; Šmerdová, L.; Formanová, P.P.; Straková, P.; Nováček, J.; Růžek, D.; Plevka, P.; et al. The Structure of Immature Tick-Borne Encephalitis Virus Supports the Collapse Model of Flavivirus Maturation. Sci. Adv. 2024, 10, eadl1888. [Google Scholar] [CrossRef] [PubMed]
- Pichkur, E.B.; Vorovitch, M.F.; Ivanova, A.L.; Protopopova, E.V.; Loktev, V.B.; Osolodkin, D.I.; Ishmukhametov, A.A.; Samygina, V.R. The Structure of Inactivated Mature Tick-Borne Encephalitis Virus at 3.0 Å Resolution. Emerg. Microbes Infect. 2024, 13, 2313849. [Google Scholar] [CrossRef] [PubMed]
- Sehnal, D.; Bittrich, S.; Deshpande, M.; Svobodová, R.; Berka, K.; Bazgier, V.; Velankar, S.; Burley, S.K.; Koča, J.; Rose, A.S. Mol* Viewer: Modern Web App for 3D Visualization and Analysis of Large Biomolecular Structures. Nucleic Acids Res. 2021, 49, W431–W437. [Google Scholar] [CrossRef] [PubMed]
- Mandl, C.W. Steps of the Tick-Borne Encephalitis Virus Replication Cycle That Affect Neuropathogenesis. Virus Res. 2005, 111, 161–174. [Google Scholar] [CrossRef]
- Acosta, E.G.; Castilla, V.; Damonte, E.B. Alternative Infectious Entry Pathways for Dengue Virus Serotypes into Mammalian Cells. Cell. Microbiol. 2009, 11, 1533–1549. [Google Scholar] [CrossRef]
- Protopopova, E.V.; Sorokin, A.V.; Konovalova, S.N.; Kachko, A.V.; Netesov, S.V.; Loktev, V.B. Human Laminin Binding Protein as a Cell Receptor for the Tick-Borne Encephalitis Virus. Zentralblatt Bakteriol. 1999, 289, 632–638. [Google Scholar] [CrossRef]
- Kozlovskaya, L.I.; Osolodkin, D.I.; Shevtsova, A.S.; Romanova, L.I.; Rogova, Y.V.; Dzhivanian, T.I.; Lyapustin, V.N.; Pivanova, G.P.; Gmyl, A.P.; Palyulin, V.A.; et al. GAG-Binding Variants of Tick-Borne Encephalitis Virus. Virology 2010, 398, 262–272. [Google Scholar] [CrossRef]
- Kroschewski, H.; Allison, S.L.; Heinz, F.X.; Mandl, C.W. Role of Heparan Sulfate for Attachment and Entry of Tick-Borne Encephalitis Virus. Virology 2003, 308, 92–100. [Google Scholar] [CrossRef]
- Yoshii, K.; Yanagihara, N.; Ishizuka, M.; Sakai, M.; Kariwa, H. N-Linked Glycan in Tick-Borne Encephalitis Virus Envelope Protein Affects Viral Secretion in Mammalian Cells, but Not in Tick Cells. J. Gen. Virol. 2013, 94, 2249–2258. [Google Scholar] [CrossRef]
- Winkler, G.; Heinz, F.X.; Kunz, C. Studies on the Glycosylation of Flavivirus E Proteins and the Role of Carbohydrate in Antigenic Structure. Virology 1987, 159, 237–243. [Google Scholar] [CrossRef] [PubMed]
- Jiang, W.R.; Lowe, A.; Higgs, S.; Reid, H.; Gould, E.A. Single Amino Acid Codon Changes Detected in Louping Ill Virus Antibody-Resistant Mutants with Reduced Neurovirulence. J. Gen. Virol. 1993, 74, 931–935. [Google Scholar] [CrossRef] [PubMed]
- Chao, L.H.; Klein, D.E.; Schmidt, A.G.; Peña, J.M.; Harrison, S.C. Sequential Conformational Rearrangements in Flavivirus Membrane Fusion. eLife 2014, 3, e04389. [Google Scholar] [CrossRef] [PubMed]
- Heinz, F.X.; Allison, S.L. Flavivirus Structure and Membrane Fusion. In Advances in Virus Research; Elsevier: Amsterdam, The Netherlands, 2003; Volume 59, pp. 63–97. ISBN 978-0-12-039859-1. [Google Scholar]
- Hirano, M.; Yoshii, K.; Sakai, M.; Hasebe, R.; Ichii, O.; Kariwa, H. Tick-Borne Flaviviruses Alter Membrane Structure and Replicate in Dendrites of Primary Mouse Neuronal Cultures. J. Gen. Virol. 2014, 95, 849–861. [Google Scholar] [CrossRef] [PubMed]
- Lindenbach, B.D.; Rice, C.M. Genetic Interaction of Flavivirus Nonstructural Proteins NS1 and NS4A as a Determinant of Replicase Function. J. Virol. 1999, 73, 4611–4621. [Google Scholar] [CrossRef] [PubMed]
- Brinton, M. Replication Cycle and Molecular Biology of the West Nile Virus. Viruses 2013, 6, 13–53. [Google Scholar] [CrossRef]
- Allison, S.L.; Tao, Y.J.; O’Riordain, G.; Mandl, C.W.; Harrison, S.C.; Heinz, F.X. Two Distinct Size Classes of Immature and Mature Subviral Particles from Tick-Borne Encephalitis Virus. J. Virol. 2003, 77, 11357–11366. [Google Scholar] [CrossRef]
- Pustijanac, E.; Buršić, M.; Talapko, J.; Škrlec, I.; Meštrović, T.; Lišnjić, D. Tick-Borne Encephalitis Virus: A Comprehensive Review of Transmission, Pathogenesis, Epidemiology, Clinical Manifestations, Diagnosis, and Prevention. Microorganisms 2023, 11, 1634. [Google Scholar] [CrossRef]
- Pavlovsky, E.N. Fundamentals of the theory of natural focality of transmissible human diseases. Zh Obs. Biol. 1946, 7, 3–33. [Google Scholar]
- Malkhazova, S.M.; Mironova, V.A.; Kotova, T.V.; Shartova, N.V.; Orlov, D.S. Natural-Focal Diseases: Mapping Experience in Russia. Int. J. Health Geogr. 2014, 13, 21. [Google Scholar] [CrossRef]
- Korenberg, E.I. Natural Focality of Infections: Current Problems and Prospects of Research. Biol. Bull. Russ. Acad. Sci. 2010, 37, 665–676. [Google Scholar] [CrossRef]
- Mlera, L.; Bloom, M.E. The Role of Mammalian Reservoir Hosts in Tick-Borne Flavivirus Biology. Front. Cell. Infect. Microbiol. 2018, 8, 298. [Google Scholar] [CrossRef] [PubMed]
- Labuda, M.; Kozuch, O.; Zuffová, E.; Elecková, E.; Hails, R.S.; Nuttall, P.A. Tick-Borne Encephalitis Virus Transmission between Ticks Cofeeding on Specific Immune Natural Rodent Hosts. Virology 1997, 235, 138–143. [Google Scholar] [CrossRef] [PubMed]
- Michelitsch, A.; Wernike, K.; Klaus, C.; Dobler, G.; Beer, M. Exploring the Reservoir Hosts of Tick-Borne Encephalitis Virus. Viruses 2019, 11, 669. [Google Scholar] [CrossRef] [PubMed]
- Rubel, F.; Brugger, K.; Walter, M.; Vogelgesang, J.R.; Didyk, Y.M.; Fu, S.; Kahl, O. Geographical Distribution, Climate Adaptation and Vector Competence of the Eurasian Hard Tick Haemaphysalis Concinna. Ticks Tick-Borne Dis. 2018, 9, 1080–1089. [Google Scholar] [CrossRef]
- Černý, J.; Buyannemekh, B.; Needham, T.; Gankhuyag, G.; Oyuntsetseg, D. Hard Ticks and Tick-Borne Pathogens in Mongolia—A Review. Ticks Tick-Borne Dis. 2019, 10, 101268. [Google Scholar] [CrossRef]
- Hayasaka, D.; Ivanov, L.; Leonova, G.N.; Goto, A.; Yoshii, K.; Mizutani, T.; Kariwa, H.; Takashima, I. Distribution and Characterization of Tick-Borne Encephalitis Viruses from Siberia and Far-Eastern Asia. J. Gen. Virol. 2001, 82, 1319–1328. [Google Scholar] [CrossRef]
- Boulanger, N.; Aran, D.; Maul, A.; Camara, B.I.; Barthel, C.; Zaffino, M.; Lett, M.-C.; Schnitzler, A.; Bauda, P. Multiple Factors Affecting Ixodes Ricinus Ticks and Associated Pathogens in European Temperate Ecosystems (Northeastern France). Sci. Rep. 2024, 14, 9391. [Google Scholar] [CrossRef]
- Romanenko, V.; Leonovich, S. Long-Term Monitoring and Population Dynamics of Ixodid Ticks in Tomsk City (Western Siberia). Exp. Appl. Acarol. 2015, 66, 103–118. [Google Scholar] [CrossRef]
- Pettersson, J.H.-O.; Golovljova, I.; Vene, S.; Jaenson, T.G. Prevalence of Tick-Borne Encephalitis Virus in Ixodes Ricinus Ticks in Northern Europe with Particular Reference to Southern Sweden. Parasites Vectors 2014, 7, 102. [Google Scholar] [CrossRef]
- Slovák, M.; Kazimírová, M.; Siebenstichová, M.; Ustaníková, K.; Klempa, B.; Gritsun, T.; Gould, E.A.; Nuttall, P.A. Survival Dynamics of Tick-Borne Encephalitis Virus in Ixodes Ricinus Ticks. Ticks Tick-Borne Dis. 2014, 5, 962–969. [Google Scholar] [CrossRef] [PubMed]
- Labuda, M.; Nuttall, P.A. Tick-Borne Viruses. Parasitology 2004, 129, S221–S245. [Google Scholar] [CrossRef] [PubMed]
- Kahl, O.; Gray, J.S. The Biology of Ixodes Ricinus with Emphasis on Its Ecology. Ticks Tick-Borne Dis. 2023, 14, 102114. [Google Scholar] [CrossRef] [PubMed]
- Brackney, D.E.; Armstrong, P.M. Transmission and Evolution of Tick-Borne Viruses. Curr. Opin. Virol. 2016, 21, 67–74. [Google Scholar] [CrossRef] [PubMed]
- Orlova, M.V.; Doronin, I.V.; Doronina, M.A.; Anisimov, N.V. A Review of Ixodid Ticks (Acari: Ixodidae) Associated with Lacerta Spp. (Reptilia: Lacertidae) from the Caucasus and Adjacent Territory. Diversity 2023, 15, 1026. [Google Scholar] [CrossRef]
- Tonteri, E.; Jääskeläinen, A.E.; Tikkakoski, T.; Voutilainen, L.; Niemimaa, J.; Henttonen, H.; Vaheri, A.; Vapalahti, O. Tick-Borne Encephalitis Virus in Wild Rodents in Winter, Finland, 2008–2009. Emerg. Infect. Dis. 2011, 17, 72–75. [Google Scholar] [CrossRef]
- Achazi, K.; Růžek, D.; Donoso-Mantke, O.; Schlegel, M.; Ali, H.S.; Wenk, M.; Schmidt-Chanasit, J.; Ohlmeyer, L.; Rühe, F.; Vor, T.; et al. Rodents as Sentinels for the Prevalence of Tick-Borne Encephalitis Virus. Vector-Borne Zoonotic Dis. 2011, 11, 641–647. [Google Scholar] [CrossRef]
- Knap, N.; Korva, M.; Dolinšek, V.; Sekirnik, M.; Trilar, T.; Avšič-Županc, T. Patterns of Tick-Borne Encephalitis Virus Infection in Rodents in Slovenia. Vector-Borne Zoonotic Dis. 2012, 12, 236–242. [Google Scholar] [CrossRef]
- Burri, C.; Korva, M.; Bastic, V.; Knap, N.; Avšič-Županc, T.; Gern, L. Serological Evidence of Tick-Borne Encephalitis Virus Infection in Rodents Captured at Four Sites in Switzerland. J. Med. Entom. 2012, 49, 436–439. [Google Scholar] [CrossRef]
- Weidmann, M.; Schmidt, P.; Hufert, F.T.; Krivanec, K.; Meyer, H. Tick-Borne Encephalitis Virus in Clethrionomys Glareolus in the Czech Republic. Vector-Borne Zoonotic Dis. 2006, 6, 379–381. [Google Scholar] [CrossRef]
- Pintér, R.; Madai, M.; Horváth, G.; Németh, V.; Oldal, M.; Kemenesi, G.; Dallos, B.; Bányai, K.; Jakab, F. Molecular Detection and Phylogenetic Analysis of Tick-Borne Encephalitis Virus in Rodents Captured in the Transdanubian Region of Hungary. Vector-Borne Zoonotic Dis. 2014, 14, 621–624. [Google Scholar] [CrossRef] [PubMed]
- Bakhvalova, V.N.; Chicherina, G.S.; Potapova, O.F.; Panov, V.V.; Glupov, V.V.; Potapov, M.A.; Seligman, S.J.; Morozova, O.V. Tick-Borne Encephalitis Virus Diversity in Ixodid Ticks and Small Mammals in South-Western Siberia, Russia. Vector-Borne Zoonotic Dis. 2016, 16, 541–549. [Google Scholar] [CrossRef] [PubMed]
- Takashima, I.; Takahashi, K.; Osada, M.; Ito, T.; Takeda, T. Isolation of Tick-Borne Encephalitis Virus from Wild Rodents and a Seroepizootiologic Survey in Hokkaido, Japan. Am. J. Trop. Med. Hyg. 1999, 60, 287–291. [Google Scholar] [CrossRef]
- Hofmeester, T.R.; Sprong, H.; Jansen, P.A.; Prins, H.H.T.; Van Wieren, S.E. Deer Presence Rather than Abundance Determines the Population Density of the Sheep Tick, Ixodes Ricinus, in Dutch Forests. Parasites Vectors 2017, 10, 433. [Google Scholar] [CrossRef]
- Wilhelmsson, P.; Jaenson, T.G.T.; Olsen, B.; Waldenström, J.; Lindgren, P.-E. Migratory Birds as Disseminators of Ticks and the Tick-Borne Pathogens Borrelia Bacteria and Tick-Borne Encephalitis (TBE) Virus: A Seasonal Study at Ottenby Bird Observatory in South-Eastern Sweden. Parasites Vectors 2020, 13, 607. [Google Scholar] [CrossRef]
- Holding, M.; Dowall, S.D.; Medlock, J.M.; Carter, D.P.; McGinley, L.; Curran-French, M.; Pullan, S.T.; Chamberlain, J.; Hansford, K.M.; Baylis, M.; et al. Detection of New Endemic Focus of Tick-Borne Encephalitis Virus (TBEV), Hampshire/Dorset Border, England, September 2019. Eurosurveillance 2019, 24, 1900658. [Google Scholar] [CrossRef]
- Jääskeläinen, A.; Tonteri, E.; Pieninkeroinen, I.; Sironen, T.; Voutilainen, L.; Kuusi, M.; Vaheri, A.; Vapalahti, O. Siberian Subtype Tick-Borne Encephalitis Virus in Ixodes Ricinus in a Newly Emerged Focus, Finland. Ticks Tick-Borne Dis. 2016, 7, 216–223. [Google Scholar] [CrossRef]
- Suzuki, Y. Multiple Transmissions of Tick-Borne Encephalitis Virus between Japan and Russia. Genes Genet. Syst. 2007, 82, 187–195. [Google Scholar] [CrossRef][Green Version]
- Ličková, M.; Fumačová Havlíková, S.; Sláviková, M.; Klempa, B. Alimentary Infections by Tick-Borne Encephalitis Virus. Viruses 2021, 14, 56. [Google Scholar] [CrossRef]
- Ijaz, S.; Bhatti, M.F.E.; Shahid, S.; Faiz, A.; Asad, K.; Arshad, M.; Mushtaq, A. Tick-Borne Encephalitis-A Threat to Life. IJAB 2023, 3, 8–11. [Google Scholar] [CrossRef]
- Donoso-Mantke, O.; Karan, L.S.; Ruzek, D. Tick-Borne Encephalitis Virus: A General Overview. In Flavivirus Encephalitis; Ruzek, D., Ed.; InTech: London, UK, 2011; ISBN 978-953-307-669-0. [Google Scholar]
- Kubiak, K.; Dziekońska-Rynko, J. Seasonal Activity of the Common European Tick, Ixodes Ricinus (Linnaeus, 1758), in the Forested Areas of the City of Olsztyn and Its Surroundings. Wiad. Parazytol. 2006, 52, 59–64. [Google Scholar] [PubMed]
- Daniel, M.; Danielová, V.; Fialová, A.; Malý, M.; Kříž, B.; Nuttall, P.A. Increased Relative Risk of Tick-Borne Encephalitis in Warmer Weather. Front. Cell. Infect. Microbiol. 2018, 8, 90. [Google Scholar] [CrossRef] [PubMed]
- Bournez, L.; Umhang, G.; Moinet, M.; Richomme, C.; Demerson, J.-M.; Caillot, C.; Devillers, E.; Boucher, J.-M.; Hansmann, Y.; Boué, F.; et al. Tick-Borne Encephalitis Virus: Seasonal and Annual Variation of Epidemiological Parameters Related to Nymph-to-Larva Transmission and Exposure of Small Mammals. Pathogens 2020, 9, 518. [Google Scholar] [CrossRef] [PubMed]
- Bugmyrin, S.V.; Bespyatova, L.A. Seasonal Activity of Adult Ticks Ixodes Persulcatus (Acari, Ixodidae) in the North-West of the Distribution Area. Animals 2023, 13, 3834. [Google Scholar] [CrossRef] [PubMed]
- Kerlik, J.; Avdičová, M.; Štefkovičová, M.; Tarkovská, V.; Pántiková Valachová, M.; Molčányi, T.; Mezencev, R. Slovakia Reports Highest Occurrence of Alimentary Tick-Borne Encephalitis in Europe: Analysis of Tick-Borne Encephalitis Outbreaks in Slovakia during 2007–2016. Travel Med. Infect. Dis. 2018, 26, 37–42. [Google Scholar] [CrossRef]
- Martello, E.; Gillingham, E.L.; Phalkey, R.; Vardavas, C.; Nikitara, K.; Bakonyi, T.; Gossner, C.M.; Leonardi-Bee, J. Systematic Review on the Non-Vectorial Transmission of Tick-Borne Encephalitis Virus (TBEv). Ticks Tick-Borne Dis. 2022, 13, 102028. [Google Scholar] [CrossRef]
- Lipowski, D.; Popiel, M.; Perlejewski, K.; Nakamura, S.; Bukowska-Ośko, I.; Rzadkiewicz, E.; Dzieciątkowski, T.; Milecka, A.; Wenski, W.; Ciszek, M.; et al. A Cluster of Fatal Tick-Borne Encephalitis Virus Infection in Organ Transplant Setting. J. Infect. Dis. 2017, 215, 896–901. [Google Scholar] [CrossRef]
- Wahlberg, P.; Saikku, P.; Brummer-Korvenkontio, M. Tick-borne Viral Encephalitis in Finland. The Clinical Features of Kumlinge Disease during 1959–1987. J. Intern. Med. 1989, 225, 173–177. [Google Scholar] [CrossRef]
- Kerlik, J.; Avdičová, M.; Musilová, M.; Bérešová, J.; Mezencev, R. Breast Milk as Route of Tick-Borne Encephalitis Virus Transmission from Mother to Infant. Emerg. Infect. Dis. 2022, 28, 1060–1061. [Google Scholar] [CrossRef]
- European Centre for Disease Prevention and Control. The Risk of Tick-Borne Encephalitis Virus Transmission via Substances of Human Origin; Publications Office of the European Union: Luxembourg, 2024. [Google Scholar]
- Wondim, M.A.; Czupryna, P.; Pancewicz, S.; Kruszewska, E.; Groth, M.; Moniuszko-Malinowska, A. Epidemiological Trends of Trans-Boundary Tick-Borne Encephalitis in Europe, 2000–2019. Pathogens 2022, 11, 704. [Google Scholar] [CrossRef]
- Yoshii, K.; Song, J.Y.; Park, S.-B.; Yang, J.; Schmitt, H.-J. Tick-Borne Encephalitis in Japan, Republic of Korea and China: TBE in Japan, ROK and China. Emerg. Microbes Infect. 2017, 6, 1–10. [Google Scholar] [CrossRef] [PubMed]
- European Centre for Disease Prevention and Control. Tick-Borne Encephalitis. In Annual Epidemiological Report for 2022; ECDC: Stockholm, Sweden, 2024. [Google Scholar]
- Dobler, G.; Gniel, D.; Petermann, R.; Pfeffer, M. Epidemiology and Distribution of Tick-Borne Encephalitis. Wien Med. Wochenschr. 2012, 162, 230–238. [Google Scholar] [CrossRef] [PubMed]
- Topp, A.-K.; Springer, A.; Mischke, R.; Rieder, J.; Feige, K.; Ganter, M.; Nagel-Kohl, U.; Nordhoff, M.; Boelke, M.; Becker, S.; et al. Seroprevalence of Tick-Borne Encephalitis Virus in Wild and Domestic Animals in Northern Germany. Ticks Tick-Borne Dis. 2023, 14, 102220. [Google Scholar] [CrossRef] [PubMed]
- Danielová, V.; Schwarzová, L.; Materna, J.; Daniel, M.; Metelka, L.; Holubová, J.; Kříž, B. Tick-Borne Encephalitis Virus Expansion to Higher Altitudes Correlated with Climate Warming. Int. J. Med. Microbiol. 2008, 298, 68–72. [Google Scholar] [CrossRef]
- Sumilo, D.; Asokliene, L.; Bormane, A.; Vasilenko, V.; Golovljova, I.; Randolph, S.E. Climate Change Cannot Explain the Upsurge of Tick-Borne Encephalitis in the Baltics. PLoS ONE 2007, 2, e500. [Google Scholar] [CrossRef]
- Golovljova, I.; Vene, S.; Sjölander, K.B.; Vasilenko, V.; Plyusnin, A.; Lundkvist, Å. Characterization of Tick-borne Encephalitis Virus from Estonia. J. Med. Virol. 2004, 74, 580–588. [Google Scholar] [CrossRef]
- Lundkvist, Å.; Vene, S.; Golovljova, I.; Mavtchoutko, V.; Forsgren, M.; Kalnina, V.; Plyusnin, A. Characterization of Tick-borne Encephalitis Virus from Latvia: Evidence for Co-circulation of Three Distinct Subtypes. J. Med. Virol. 2001, 65, 730–735. [Google Scholar] [CrossRef]
- Katargina, O.; Russakova, S.; Geller, J.; Kondrusik, M.; Zajkowska, J.; Zygutiene, M.; Bormane, A.; Trofimova, J.; Golovljova, I. Detection and Characterization of Tick-Borne Encephalitis Virus in Baltic Countries and Eastern Poland. PLoS ONE 2013, 8, e61374. [Google Scholar] [CrossRef]
- Karelis, G.; Bormane, A.; Logina, I.; Lucenko, I.; Suna, N.; Krumina, A.; Donaghy, M. Tick-borne Encephalitis in Latvia 1973–2009: Epidemiology, Clinical Features and Sequelae. Euro. J. Neurol. 2012, 19, 62–68. [Google Scholar] [CrossRef]
- Zając, Z.; Bartosik, K.; Kulisz, J.; Woźniak, A. Incidence of Tick-Borne Encephalitis during the COVID-19 Pandemic in Selected European Countries. J. Clin. Med. 2022, 11, 803. [Google Scholar] [CrossRef]
- Lamsal, A.; Edgar, K.S.; Jenkins, A.; Renssen, H.; Kjær, L.J.; Alfsnes, K.; Bastakoti, S.; Dieseth, M.; Klitgaard, K.; Lindstedt, H.E.H.; et al. Prevalence of Tick-borne Encephalitis Virus in Questing Ixodes Ricinus Nymphs in Southern Scandinavia and the Possible Influence of Meteorological Factors. Zoonoses Public Health 2023, 70, 473–484. [Google Scholar] [CrossRef] [PubMed]
- Vilibic-Cavlek, T.; Krcmar, S.; Bogdanic, M.; Tomljenovic, M.; Barbic, L.; Roncevic, D.; Sabadi, D.; Vucelja, M.; Santini, M.; Hunjak, B.; et al. An Overview of Tick-Borne Encephalitis Epidemiology in Endemic Regions of Continental Croatia, 2017–2023. Microorganisms 2024, 12, 386. [Google Scholar] [CrossRef] [PubMed]
- Jahfari, S.; De Vries, A.; Rijks, J.M.; Van Gucht, S.; Vennema, H.; Sprong, H.; Rockx, B. Tick-Borne Encephalitis Virus in Ticks and Roe Deer, the Netherlands. Emerg. Infect. Dis. 2017, 23, 1028–1030. [Google Scholar] [CrossRef] [PubMed]
- Esser, H.J.; Lim, S.M.; De Vries, A.; Sprong, H.; Dekker, D.J.; Pascoe, E.L.; Bakker, J.W.; Suin, V.; Franz, E.; Martina, B.E.E.; et al. Continued Circulation of Tick-Borne Encephalitis Virus Variants and Detection of Novel Transmission Foci, the Netherlands. Emerg. Infect. Dis. 2022, 28, 2416–2424. [Google Scholar] [CrossRef] [PubMed]
- Amicizia, D.; Domnich, A.; Panatto, D.; Lai, P.L.; Cristina, M.L.; Avio, U.; Gasparini, R. Epidemiology of Tick-Borne Encephalitis (TBE) in Europe and Its Prevention by Available Vaccines. Hum. Vaccines Immunother. 2013, 9, 1163–1171. [Google Scholar] [CrossRef]
- Čabanová, V.; Kerlik, J.; Kirschner, P.; Rosochová, J.; Klempa, B.; Sláviková, M.; Ličková, M. Co-Circulation of West Nile, Usutu, and Tick-Borne Encephalitis Viruses in the Same Area: A Great Challenge for Diagnostic and Blood and Organ Safety. Viruses 2023, 15, 366. [Google Scholar] [CrossRef]
- Blasko-Markic, M.; Socan, M. Tick-Borne Encephalitis in Slovenia: Data from a Questionnaire Survey. Vector-Borne Zoonotic Dis. 2012, 12, 496–502. [Google Scholar] [CrossRef]
- Fajs, L.; Durmiši, E.; Knap, N.; Strle, F.; Avšič-Županc, T. Phylogeographic Characterization of Tick-Borne Encephalitis Virus from Patients, Rodents and Ticks in Slovenia. PLoS ONE 2012, 7, e48420. [Google Scholar] [CrossRef]
- Knap, N.; Avšič-Županc, T. Factors Affecting the Ecology of Tick-Borne Encephalitis in Slovenia. Epidemiol. Infect. 2015, 143, 2059–2067. [Google Scholar] [CrossRef]
- Mahase, E. UK Confirms Two Cases of Tickborne Encephalitis Acquired within the Country. BMJ 2023, 381, p799. [Google Scholar] [CrossRef]
- Holding, M.; Dowall, S.D.; Medlock, J.M.; Carter, D.P.; Pullan, S.T.; Lewis, J.; Vipond, R.; Rocchi, M.S.; Baylis, M.; Hewson, R. Tick-Borne Encephalitis Virus, United Kingdom. Emerg. Infect. Dis. 2020, 26, 90–96. [Google Scholar] [CrossRef] [PubMed]
- Kovalev, S.Y.; Chernykh, D.N.; Kokorev, V.S.; Snitkovskaya, T.E.; Romanenko, V.V. Origin and Distribution of Tick-Borne Encephalitis Virus Strains of the Siberian Subtype in the Middle Urals, the North-West of Russia and the Baltic Countries. J. Gen. Virol. 2009, 90, 2884–2892. [Google Scholar] [CrossRef] [PubMed]
- Kovalev, S.Y.; Mukhacheva, T.A. Tick-borne Encephalitis Virus Subtypes Emerged through Rapid Vector Switches Rather than Gradual Evolution. Ecol. Evol. 2014, 4, 4307–4316. [Google Scholar] [CrossRef] [PubMed]
- Pukhovskaya, N.M.; Morozova, O.V.; Vysochina, N.P.; Belozerova, N.B.; Bakhmetyeva, S.V.; Zdanovskaya, N.I.; Seligman, S.J.; Ivanov, L.I. Tick-Borne Encephalitis Virus in Arthropod Vectors in the Far East of Russia. Ticks Tick-Borne Dis. 2018, 9, 824–833. [Google Scholar] [CrossRef] [PubMed]
- Leonova, G.N.; Belikov, S.I. Phylogenetic Analysis and Distribution of Far Eastern Tick-Borne Encephalitis Virus Subtype (Flaviridae, Flavirus, TBEV-FE) from Asia. Probl. Virol. 2019, 64, 250–256. [Google Scholar] [CrossRef]
- Bespyatova, L.A.; Bychkova, E.I.; Yakovich, M.M.; Bugmyrin, S.V. Manifestation Peculiarities of Natural Focuses of Tickborne Infections on the Territory of Karelia and Belarus. Nat. Resour. 2018, 1, 86–91. [Google Scholar]
- Zlobin, V.; Verkhozina, M.; Demina, T.; Dzhioev, I.; Adelshin, R.; Kozlova, I.; Belikov, S.; Khasnatinov, M.; Danchinova, G.; Isaeva, E.; et al. Molecular Epidemiology of Tick-Borne Encephalitis. Vopr. Virusol. 2007, 52, 4–13. [Google Scholar]
- Ganbold, D.; Uudus, B.; Nyamdavaa, N.; Chultemsuren, Y.; Zagd, A.; Tangad, M.; Badrakh, B.; Baldandorj, B.; Dogsom, O.; Lkunrev, R.; et al. Seroprevalence and Risk Factors of Tick-Borne Encephalitis in Mongolia between 2016 and 2022. Parasite Epidemiol. Control 2023, 22, e00318. [Google Scholar] [CrossRef]
- Chen, X.; Li, F.; Yin, Q.; Liu, W.; Fu, S.; He, Y.; Lei, W.; Xu, S.; Liang, G.; Wang, S.; et al. Epidemiology of Tick-Borne Encephalitis in China, 2007–2018. PLoS ONE 2019, 14, e0226712. [Google Scholar] [CrossRef]
- Sun, R.-X.; Lai, S.-J.; Yang, Y.; Li, X.-L.; Liu, K.; Yao, H.-W.; Zhou, H.; Li, Y.; Wang, L.-P.; Mu, D.; et al. Mapping the Distribution of Tick-Borne Encephalitis in Mainland China. Ticks Tick-Borne Dis. 2017, 8, 631–639. [Google Scholar] [CrossRef]
- Tajima, Y.; Yaguchi, H.; Mito, Y. Fatal Meningoencephalomyelitis Due to the Tick-Borne Encephalitis Virus: The First Detailed Neurological Observation in a Japanese Patient from the Central Part of Hokkaido Island. Intern. Med. 2018, 57, 873–876. [Google Scholar] [CrossRef] [PubMed]
- Takashima, I.; Morita, K.; Chiba, M.; Hayasaka, D.; Sato, T.; Takezawa, C.; Igarashi, A.; Kariwa, H.; Yoshimatsu, K.; Arikawa, J.; et al. A Case of Tick-Borne Encephalitis in Japan and Isolation of the Virus. J. Clin. Microbiol. 1997, 35, 1943–1947. [Google Scholar] [CrossRef] [PubMed]
- Kentaro, Y.; Yamazaki, S.; Mottate, K.; Nagata, N.; Seto, T.; Sanada, T.; Sakai, M.; Kariwa, H.; Takashima, I. Genetic and Biological Characterization of Tick-Borne Encephalitis Virus Isolated from Wild Rodents in Southern Hokkaido, Japan in 2008. Vector-Borne Zoonotic Dis. 2013, 13, 406–414. [Google Scholar] [CrossRef] [PubMed]
- Ohira, M.; Yoshii, K.; Aso, Y.; Nakajima, H.; Yamashita, T.; Takahashi-Iwata, I.; Maeda, N.; Shindo, K.; Suenaga, T.; Matsuura, T.; et al. First Evidence of Tick-Borne Encephalitis (TBE) Outside of Hokkaido Island in Japan. Emerg. Microbes Infect. 2023, 12, 2278898. [Google Scholar] [CrossRef]
- Ko, S.; Kang, J.-G.; Kim, S.Y.; Kim, H.-C.; Klein, T.A.; Chong, S.-T.; Sames, W.J.; Yun, S.-M.; Ju, Y.-R.; Chae, J.-S. Prevalence of Tick-Borne Encephalitis Virus in Ticks from Southern Korea. J. Vet. Sci. 2010, 11, 197. [Google Scholar] [CrossRef]
- Im, J.; Baek, J.-H.; Durey, A.; Kwon, H.; Chung, M.-H.; Lee, J.-S. Geographic Distribution of Tick-Borne Encephalitis Virus Complex. J. Vector Borne Dis. 2020, 57, 14. [Google Scholar] [CrossRef]
- Shin, A.; Tukhanova, N.; Ndenkeh, J.; Shapiyeva, Z.; Yegemberdiyeva, R.; Yeraliyeva, L.; Nurmakhanov, T.; Froeschl, G.; Hoelscher, M.; Musralina, L.; et al. Tick-borne Encephalitis Virus and West-Nile Fever Virus as Causes of Serous Meningitis of Unknown Origin in Kazakhstan. Zoonoses Public Health 2022, 69, 514–525. [Google Scholar] [CrossRef]
- Hay, J.; Yeh, K.B.; Dasgupta, D.; Shapieva, Z.; Omasheva, G.; Deryabin, P.; Nurmakhanov, T.; Ayazbayev, T.; Andryushchenko, A.; Zhunushov, A.; et al. Biosurveillance in Central Asia: Successes and Challenges of Tick-Borne Disease Research in Kazakhstan and Kyrgyzstan. Front. Public Health 2016, 4, 4. [Google Scholar] [CrossRef]
- Briggs, B.J.; Atkinson, B.; Czechowski, D.M.; Larsen, P.A.; Meeks, H.N.; Carrera, J.P.; Duplechin, R.M.; Hewson, R.; Junushov, A.T.; Gavrilova, O.N.; et al. Tick-Borne Encephalitis Virus, Kyrgyzstan. Emerg. Infect. Dis. 2011, 17, 876–879. [Google Scholar] [CrossRef]
- Jung, H.; Choi, C.-H.; Lee, M.; Kim, S.-Y.; Aknazarov, B.; Nyrgaziev, R.; Atabekova, N.; Jetigenov, E.; Chung, Y.-S.; Lee, H.-I. Molecular Detection and Phylogenetic Analysis of Tick-Borne Encephalitis Virus from Ticks Collected from Cattle in Kyrgyzstan, 2023. Viruses 2024, 16, 107. [Google Scholar] [CrossRef]
- Fares, W.; Dachraoui, K.; Cherni, S.; Barhoumi, W.; Slimane, T.B.; Younsi, H.; Zhioua, E. Tick-Borne Encephalitis Virus in Ixodes Ricinus (Acari: Ixodidae) Ticks, Tunisia. Ticks Tick-Borne Dis. 2021, 12, 101606. [Google Scholar] [CrossRef] [PubMed]
- Hanenko, O.; Kolomiets, N.; Dashkevich, A.; Zapolskaya, V.; Stoma, I. TBE in Belarus. In The TBE Book, 7th ed.; Dobler, G., Erber, W., Bröker, M., Chitimia-Dobler, L., Schmitt, H.J., Eds.; Global Health Press: Singapore, 2024; Chapter 13. [Google Scholar]
- Demina, T.V.; Dzhioev, Y.P.; Verkhozina, M.M.; Kozlova, I.V.; Tkachev, S.E.; Plyusnin, A.; Doroshchenko, E.K.; Lisak, O.V.; Zlobin, V.I. Genotyping and Characterization of the Geographical Distribution of Tick-borne Encephalitis Virus Variants with a Set of Molecular Probes. J. Med. Virol. 2010, 82, 965–976. [Google Scholar] [CrossRef] [PubMed]
- Erber, W.; Vuković Janković, T. TBE in Croatia. In Tick-Borne Encephalitis-The Book; Global Health Press Pte Ltd.: Singapore, 2019. [Google Scholar]
- Kunze, M.; Banović, P.; Bogovič, P.; Briciu, V.; Čivljak, R.; Dobler, G.; Hristea, A.; Kerlik, J.; Kuivanen, S.; Kynčl, J.; et al. Recommendations to Improve Tick-Borne Encephalitis Surveillance and Vaccine Uptake in Europe. Microorganisms 2022, 10, 1283. [Google Scholar] [CrossRef] [PubMed]
- Skarpaas, T.; Golovljova, I.; Vene, S.; Ljøstad, U.; Sjursen, H.; Plyusnin, A.; Lundkvist, Å. Tickborne Encephalitis Virus, Norway and Denmark. Emerg. Infect. Dis. 2006, 12, 1136–1138. [Google Scholar] [CrossRef]
- Lindquist, L.; Vapalahti, O. Tick-Borne Encephalitis. Lancet 2008, 371, 1861–1871. [Google Scholar] [CrossRef]
- Uusitalo, R.; Siljander, M.; Dub, T.; Sane, J.; Sormunen, J.J.; Pellikka, P.; Vapalahti, O. Modelling Habitat Suitability for Occurrence of Human Tick-Borne Encephalitis (TBE) Cases in Finland. Ticks Tick-Borne Dis. 2020, 11, 101457. [Google Scholar] [CrossRef]
- Botelho-Nevers, E.; Gagneux-Brunon, A.; Velay, A.; Guerbois-Galla, M.; Grard, G.; Bretagne, C.; Mailles, A.; Verhoeven, P.O.; Pozzetto, B.; Gonzalo, S.; et al. Tick-Borne Encephalitis in Auvergne-Rhône-Alpes Region, France, 2017–2018. Emerg. Infect. Dis. 2019, 25, 1944–1948. [Google Scholar] [CrossRef]
- Bautista, C.T.; House, B.; Mikautadze, T.; Makhviladze, M.; Endeladze, M.; Farrell, M.; Nanuashvili, A.; Mamuchishvili, N.; Makharadze, M.; Maksoud, M.A.; et al. Hospital-Based Surveillance for Infectious Etiologies Among Patients with Acute Febrile Illness in Georgia, 2008–2011. Am. J. Trop. Med. Hyg. 2016, 94, 236–242. [Google Scholar] [CrossRef][Green Version]
- Liebig, K.; Boelke, M.; Grund, D.; Schicht, S.; Springer, A.; Strube, C.; Chitimia-Dobler, L.; Dobler, G.; Jung, K.; Becker, S. Tick Populations from Endemic and Non-Endemic Areas in Germany Show Differential Susceptibility to TBEV. Sci. Rep. 2020, 10, 15478. [Google Scholar] [CrossRef]
- Efstratiou, A.; Karanis, G.; Karanis, P. Tick-Borne Pathogens and Diseases in Greece. Microorganisms 2021, 9, 1732. [Google Scholar] [CrossRef]
- Nagy, A.; Schneider, F.; Mezei, E.; Lakos, A. TBE in Hungary. In Tick-Borne Encephalitis-The Book; Global Health Press Pte Ltd.: Singapore, 2023. [Google Scholar] [CrossRef]
- Alfano, N.; Tagliapietra, V.; Rosso, F.; Ziegler, U.; Arnoldi, D.; Rizzoli, A. Tick-Borne Encephalitis Foci in Northeast Italy Revealed by Combined Virus Detection in Ticks, Serosurvey on Goats and Human Cases. Emerg. Microbes Infect. 2020, 9, 474–484. [Google Scholar] [CrossRef] [PubMed]
- Yoshii, K. TBE in Japan. In Tick-Borne Encephalitis-The Book; Global Health Press Pte Ltd.: Singapore, 2023. [Google Scholar] [CrossRef]
- Kirpicheva, U.A.; Shapiyeva, Z.Z.; Utegenova, E.S. Tick-Borne Encephalitis Surveillance in Kazakhstan, 2019-2021. Nauka Zdr. Sci. Healthc. 2023, 25, 71–78. [Google Scholar] [CrossRef]
- Dmitrovskiy, A. TBE in Kazakhstan. In Tick-Borne Encephalitis-The Book; Global Health Press Pte Ltd.: Singapore, 2023. [Google Scholar] [CrossRef]
- Abdiyeva, K.; Turebekov, N.; Yegemberdiyeva, R.; Dmitrovskiy, A.; Yeraliyeva, L.; Shapiyeva, Z.; Nurmakhanov, T.; Sansyzbayev, Y.; Froeschl, G.; Hoelscher, M.; et al. Vectors, Molecular Epidemiology and Phylogeny of TBEV in Kazakhstan and Central Asia. Parasites Vectors 2020, 13, 504. [Google Scholar] [CrossRef] [PubMed]
- Freimane, Z.; Karelis, G.; Zolovs, M.; Zavadska, D. Tick-Borne Encephalitis Infections without CNS Involvement: An Observational Study in Latvia, 2007–2022. PLoS ONE 2024, 19, e0305120. [Google Scholar] [CrossRef]
- Zavadska, D.; Freimane, Z. TBE in Latvia. In The TBE Book, 7th ed.; Dobler, G., Erber, W., Bröker, M., Chitimia-Dobler, L., Schmitt, H.J., Eds.; Global Health Press: Singapore, 2024; Chapter 13. [Google Scholar]
- Ponomareva, E.P.; Mikryukova, T.P.; Gori, A.V.; Kartashov, M.Y.; Protopopova, E.V.; Chausov, E.V.; Konovalova, S.N.; Tupota, N.L.; Gheorghita, S.D.; Burlacu, V.I.; et al. Detection of Far-Eastern Subtype of Tick-Borne Encephalitis Viral RNA in Ticks Collected in the Republic of Moldova. J. Vector Borne Dis. 2015, 52, 334–336. [Google Scholar]
- Tserennorov, D.; Uyanga, B.; Uranshagai, N.; Tsogbadrakh, N.; Burmaajav, B.; Burmaa, K. TBE in Mongolia. In The TBE Book, 7th ed.; Dobler, G., Erber, W., Bröker, M., Schmitt, H.J., Eds.; Global Health Press: Singapore, 2024; Chapter 13. [Google Scholar]
- National Institute of Public Health NIH—NRI, GIS. Vaccinations in Poland; 2000–2022. Available online: http://wwwold.pzh.gov.pl/oldpage/epimeld/index_p.html (accessed on 21 September 2024).
- Panciu, A.M.; Cheran, C.A.; Militaru, E.D.; Rîciu, C.D.; Hristea, A. Serosurvey of Tick-Borne Encephalitis Virus Infection in Romania. Pathogens 2024, 13, 231. [Google Scholar] [CrossRef]
- Tkachev, S.; Esyunina, M.; Syrochkina, M. TBE in Russia. In The TBE Book, 7th ed.; Dobler, G., Erber, W., Bröker, M., Chitimia-Dobler, L., Schmitt, H.J., Eds.; Global Health Press: Singapore, 2024; Chapter 13. [Google Scholar]
- Nikitin, A.Y.; Andaev, E.I.; Tolmacheva, M.I.; Zarva, I.D.; Bondaryuk, A.N.; Yatsmenko, E.V.; Matveeva, V.A.; Sidorova, E.A.; Adel’shin, R.V.; Kolesnikova, V.Y.; et al. Epidemiological Situation on Tick-Borne Encephalitis in the Russian Federation in 2014–2023 and Short-Term Forecast of the Incidence for 2024. Probl. Osob. Opasnykh Infektsii 2024, 1, 48–58. [Google Scholar] [CrossRef]
- Potkonjak, A.; Petrović, T.; Ristanović, E.; Lalić, I.; Vračar, V.; Savić, S.; Turkulov, V.; Čanak, G.; Milošević, V.; Vidanović, D.; et al. Molecular Detection and Serological Evidence of Tick-Borne Encephalitis Virus in Serbia. Vector-Borne Zoonotic Dis. 2017, 17, 813–820. [Google Scholar] [CrossRef]
- Banović, P. TBE in Serbia. In The TBE Book, 7th ed.; Dobler, G., Erber, W., Bröker, M., Chitimia-Dobler, L., Schmitt, H.J., Eds.; Global Health Press: Singapore, 2024; Chapter 13. [Google Scholar]
- Swiss Federal Authorities. Federal Office of Public Health. Available online: https://www.idd.bag.admin.ch/diseases/fsme/statistic#over-time (accessed on 7 October 2024).
- Yurchenko, O.O.; Dubyna, D.O.; Vynograd, N.O.; Rogovskyy, A.S. Tick-Borne Encephalitis Cases Recorded in Ukraine over 1990–2018. J. Travel Med. 2020, 27, taaa075. [Google Scholar] [CrossRef]
- Orlova, M.V.; Mischenko, V.A.; Doronin, I.V.; Zabashta, M.V.; Anisimov, N.V.; Vyalykh, I.V. Tick-Borne Encephalitis in the Russian Caucasus: Virus Was Detected for the First Time on the Border of Europe and Asia Minor. Vector-Borne Zoonotic Dis. 2024, 24, 177–180. [Google Scholar] [CrossRef]
- Vasilenko, N.F.; Maletskaya, O.V.; Ermakov, A.V.; Varfolomeeva, N.G.; Kulichenko, A.N. Serological Monitoring of Arbovirus Infections in Stavropol Region. Med. Bull. North Cauc. 2013, 8, 70–72. [Google Scholar]
- Varfolomeeva, N.G.; Ermakov, A.V.; Vasilenko, N.F.; Shkarlet, G.P.; Maletskaya, O.V.; Kireitseva, O.A.; Zaikina, I.N.; Kulichenko, A.N. Epidemiological Situation on Natural Focal Viral Infections in the Territory of the Stavropol Region. Probl. Espec. Danger. Infect. 2011, 108, 16–18. [Google Scholar] [CrossRef]
- Vasilenko, N.F.; Ermakov, A.V.; Maletskaya, O.V.; Kulichenko, A.N. Epidemiological Situation on Vector-Borne Natural-Focal Infections in the Territory of Caucasian Mineral Waters. Probl. Osob. Opasnykh Infektsii 2014, 3, 16–19. [Google Scholar] [CrossRef][Green Version]
- Tokhov, Y.M.; Shaposhnikova, L.I.; Dyachenko, Y.V. Investigation of Gulf Coast Ticks on Natural Infection with Viruses of Natural Local Infections. Agric. J. 2018, 3, 81–85. [Google Scholar]
- Nikitin, A.Y.; Andaev, E.I.; Tolmacheva, M.I.; Ayugin, N.I.; Yatsmenko, E.V.; Matveeva, V.A.; Turanov, A.O.; Balakhonov, S.V. Epidemiological Situation on Tick-Borne Viral Encephalitis in the Russian Federation in 2011–2021 and Short-Term Forecast of Its Development. Probl. Osob. Opasnykh Infektsii 2022, 1, 15–23. [Google Scholar] [CrossRef]
- Vashakidze, E.; Megrelishvili, T.; Mikadze, I.; Kalandadze, I.; Gegeshidze, T.; Pachkoria, E.; Kipiani, N.; Kvitashvili, M. Tick-Borne Zoonotic Infection in Georgia. Int. J. Infect. Dis. 2018, 73, 393. [Google Scholar] [CrossRef]
- Maletskaia, O.V.; Beliaeva, A.I.; Taran, T.V.; Agapitov, D.S.; Kulichenko, A.N. Epidemiologic Situation on Dangerous Infectious Diseases on the Territory of Republic of Abkhazia. Zh Mikrobiol. Epidemiol. Immunobiol. 2013, 5, 43–47. [Google Scholar]
- Ismailov, A.S.; Kasymov, M.S. Arboviruses in Azerbaijan. Biomedicine 2009, 2, 14–16. [Google Scholar]
- Taba, P.; Schmutzhard, E.; Forsberg, P.; Lutsar, I.; Ljøstad, U.; Mygland, Å.; Levchenko, I.; Strle, F.; Steiner, I. EAN Consensus Review on Prevention, Diagnosis and Management of Tick-borne Encephalitis. Euro. J. Neurol. 2017, 24, 1214. [Google Scholar] [CrossRef]
- Asal, G.; Tamer, C.; Albayrak, H. Serological Survey and Molecular Investigation of Tick-Borne Encephalitis Virus in Northern Turkey. Etlik Vet. Mikrobiyoloji Derg. 2022, 33, 34–39. [Google Scholar] [CrossRef]
- Uyar, Y.; Akçalı, A.; Çarhan, A.; Özkaya, E.; Ertek, M. Seroprevalence of Tick-Borne Encephalitis Virüs (TBEV) Among Cases with Tick Bite History in Turkey. Turk. Bull. Hyg. Exp. Biol. 2007, 64, 21–25. [Google Scholar]
- Esen, B.; Gozalan, A.; Coplu, N.; Tapar, F.S.; Uzun, R.; Aslan, T.; Ertek, M.; Buzgan, T.; Akin, L. The Presence of Tick-Borne Encephalitis in an Endemic Area for Tick-Borne Diseases, Turkey. Trop. Doct. 2008, 38, 27–28. [Google Scholar] [CrossRef] [PubMed]
- Ergünay, K.; Saygan, M.B.; Aydoğan, S.; Litzba, N.; Şener, B.; Lederer, S.; Niedrig, M.; Hasçelik, G.; Us, D. Confirmed Exposure to Tick-Borne Encephalitis Virus and Probable Human Cases of Tick-Borne Encephalitis in Central/Northern Anatolia, Turkey. Zoonoses Public Health 2011, 58, 220–227. [Google Scholar] [CrossRef] [PubMed]
- Yilmaz, H.; Barut, K.; Karakullukcu, A.; Kasapcopur, O.; Kocazeybek, B.; Altan, E.; Cizmecigil, U.Y.; Yilmaz, A.; Bilgin, Z.; Ulutas Esatgil, M.; et al. Serological Evidence of Tick-Borne Encephalitis and West Nile Virus Infections Among Children with Arthritis in Turkey. Vector-Borne Zoonotic Dis. 2019, 19, 446–449. [Google Scholar] [CrossRef] [PubMed]
- Salehi-Vaziri, M.; Pouriayevali, M.H.; Azad-Manjiri, S.; Ahmadi Vasmehjani, A.; Baniasadi, V.; Fazlalipour, M. The Seroprevalence of Tick-Borne Encephalitis in Rural Population of Mazandaran Province, Northern Iran (2018–2019). Arch. Clin. Infect. Dis. 2020, 15, e98867. [Google Scholar] [CrossRef]
- Dumpis, U.; Crook, D.; Oksi, J. Tick-borne encephalitis. Clin. Infect. Dis. 1999, 28, 882–890. [Google Scholar] [CrossRef]
- Parsadanians, A.; Mirshahabi, H.; Yavarmanesh, M. First Detection of Tick-borne Encephalitis Virus (TBEV) in Raw Milk Samples in North-Western Iran. Vet. Med. Sci. 2024, 10, e1477. [Google Scholar] [CrossRef]
- Nuttall, P.A. Tick Saliva and Its Role in Pathogen Transmission. Wien. Klin. Wochenschr. 2023, 135, 165–176. [Google Scholar] [CrossRef]
- Dörrbecker, B.; Dobler, G.; Spiegel, M.; Hufert, F.T. Tick-Borne Encephalitis Virus and the Immune Response of the Mammalian Host. Travel Med. Infect. Dis. 2010, 8, 213–222. [Google Scholar] [CrossRef]
- Marshall, E.; Koopmans, M.; Rockx, B. A Journey to the Central Nervous System: Routes of Flaviviral Neuroinvasion in Human Disease. Viruses 2022, 14, 2096. [Google Scholar] [CrossRef]
- Růžek, D.; Salát, J.; Singh, S.K.; Kopecký, J. Breakdown of the Blood-Brain Barrier during Tick-Borne Encephalitis in Mice Is Not Dependent on CD8+ T-Cells. PLoS ONE 2011, 6, e20472. [Google Scholar] [CrossRef] [PubMed]
- Hayasaka, D.; Nagata, N.; Hasegawa, H.; Sata, T.; Takashima, I.; Koike, S. Early Mortality Following Intracerebral Infection with the Oshima Strain of Tick-Borne Encephalitis Virus in a Mouse Model. J. Vet. Med. Sci. 2010, 72, 391–396. [Google Scholar] [CrossRef] [PubMed]
- Fares, M.; Cochet-Bernoin, M.; Gonzalez, G.; Montero-Menei, C.N.; Blanchet, O.; Benchoua, A.; Boissart, C.; Lecollinet, S.; Richardson, J.; Haddad, N.; et al. Pathological Modeling of TBEV Infection Reveals Differential Innate Immune Responses in Human Neurons and Astrocytes That Correlate with Their Susceptibility to Infection. J. Neuroinflammation 2020, 17, 76. [Google Scholar] [CrossRef] [PubMed]
- Palus, M.; Bílý, T.; Elsterová, J.; Langhansová, H.; Salát, J.; Vancová, M.; Růžek, D. Infection and Injury of Human Astrocytes by Tick-Borne Encephalitis Virus. J. Gen. Virol. 2014, 95, 2411–2426. [Google Scholar] [CrossRef]
- Bogovič, P.; Lusa, L.; Korva, M.; Pavletič, M.; Resman Rus, K.; Lotrič-Furlan, S.; Avšič-Županc, T.; Strle, K.; Strle, F. Inflammatory Immune Responses in the Pathogenesis of Tick-Borne Encephalitis. J. Clin. Med. 2019, 8, 731. [Google Scholar] [CrossRef]
- Zhang, X.; Zheng, Z.; Liu, X.; Shu, B.; Mao, P.; Bai, B.; Hu, Q.; Luo, M.; Ma, X.; Cui, Z.; et al. Tick-Borne Encephalitis Virus Induces Chemokine RANTES Expression via Activation of IRF-3 Pathway. J. Neuroinflammation 2016, 13, 209. [Google Scholar] [CrossRef]
- Kaiser, R. The Clinical and Epidemiological Profile of Tick-Borne Encephalitis in Southern Germany 1994–98. Brain 1999, 122, 2067–2078. [Google Scholar] [CrossRef]
- Bojkiewicz, E.; Toczylowski, K.; Grygorczuk, S.; Zelazowska-Rutkowska, B.; Dunaj, J.; Zebrowska, A.; Czupryna, P.; Moniuszko-Malinowska, A.; Sulik, A. The Prevalence of Asymptomatic Infections with Tick-Borne Encephalitis Virus and Attitude towards Tick-Borne Encephalitis Vaccine in the Endemic Area of Northeastern Poland. Vaccines 2022, 10, 1294. [Google Scholar] [CrossRef]
- Van Heuverswyn, J.; Hallmaier-Wacker, L.K.; Beauté, J.; Gomes Dias, J.; Haussig, J.M.; Busch, K.; Kerlik, J.; Markowicz, M.; Mäkelä, H.; Nygren, T.M.; et al. Spatiotemporal Spread of Tick-Borne Encephalitis in the EU/EEA, 2012 to 2020. Eurosurveillance 2023, 28, 2200543. [Google Scholar] [CrossRef]
- Mickienė, A.; Laiškonis, A.; Günther, G.; Vene, S.; Lundkvist, Å.; Lindquist, L. Tickborne Encephalitis in an Area of High Endemicity in Lithuania: Disease Severity and Long-Term Prognosis. Clin. Infect. Dis. 2002, 35, 650–658. [Google Scholar] [CrossRef]
- Bogovič, P.; Kastrin, A.; Lotrič-Furlan, S.; Ogrinc, K.; Županc, T.A.; Korva, M.; Knap, N.; Strle, F. Clinical and Laboratory Characteristics and Outcome of Illness Caused by Tick-Borne Encephalitis Virus without Central Nervous System Involvement. Emerg. Infect. Dis. 2022, 28, 291–301. [Google Scholar] [CrossRef] [PubMed]
- Czupryna, P.; Moniuszko, A.; Pancewicz, S.A.; Grygorczuk, S.; Kondrusik, M.; Zajkowska, J. Tick-Borne Encephalitis in Poland in Years 1993–2008-Epidemiology and Clinical Presentation. A Retrospective Study of 687 Patients: Tick-Borne Encephalitis in Poland. Eur. J. Neurol. 2011, 18, 673–679. [Google Scholar] [CrossRef] [PubMed]
- Meyer, P.M.; Zimmermann, H.; Goetschel, P. Tick-Borne Encephalitis Presenting as Fever without Localising Signs—A Case Series. Eur. J. Pediatr. 2010, 169, 767–769. [Google Scholar] [CrossRef] [PubMed]
- Zakotnik, S.; Knap, N.; Bogovič, P.; Zorec, T.M.; Poljak, M.; Strle, F.; Avšič-Županc, T.; Korva, M. Complete Genome Sequencing of Tick-Borne Encephalitis Virus Directly from Clinical Samples: Comparison of Shotgun Metagenomic and Targeted Amplicon-Based Sequencing. Viruses 2022, 14, 1267. [Google Scholar] [CrossRef] [PubMed]
- Poponnikova, T.V. Specific Clinical and Epidemiological Features of Tick-Borne Encephalitis in Western Siberia. Int. J. Med. Microbiol. 2006, 296, 59–62. [Google Scholar] [CrossRef]
- Elbaz, M.; Gadoth, A.; Shepshelovich, D.; Shasha, D.; Rudoler, N.; Paran, Y. Systematic Review and Meta-Analysis of Foodborne Tickborne Encephalitis, Europe, 1980–2021. Emerg. Infect. Dis. 2022, 28, 1945. [Google Scholar] [CrossRef]
- ECDC Meeting Report 2011 Second Expert Consultation on Tick-Borne Diseases with Emphasis on Lyme Borreliosis and Tick-Borne Encephalitis. 2012. Available online: https://www.ecdc.europa.eu/sites/default/files/media/en/publications/Publications/Tick-borne-diseases-meeting-report.pdf (accessed on 17 August 2024).
- Gudowska-Sawczuk, M.; Mroczko, B. Selected Biomarkers of Tick-Borne Encephalitis: A Review. Int. J. Mol. Sci. 2021, 22, 10615. [Google Scholar] [CrossRef]
- Günther, G.; Haglund, M.; Lindquist, L.; Sköldenberg, B.; Forsgren, M. Intrathecal IgM, IgA and IgG Antibody Response in Tick-Borne Encephalitis. Long-Term Follow-up Related to Clinical Course and Outcome. Clin. Diagn. Virol. 1997, 8, 17–29. [Google Scholar] [CrossRef]
- Stiasny, K.; Aberle, J.H.; Chmelik, V.; Karrer, U.; Holzmann, H.; Heinz, F.X. Quantitative Determination of IgM Antibodies Reduces the Pitfalls in the Serodiagnosis of Tick-Borne Encephalitis. J. Clin. Virol. 2012, 54, 115–120. [Google Scholar] [CrossRef]
- Reusken, C.; Boonstra, M.; Rugebregt, S.; Scherbeijn, S.; Chandler, F.; Avšič-Županc, T.; Vapalahti, O.; Koopmans, M.; GeurtsvanKessel, C.H. An Evaluation of Serological Methods to Diagnose Tick-Borne Encephalitis from Serum and Cerebrospinal Fluid. J. Clin. Virol. 2019, 120, 78–83. [Google Scholar] [CrossRef]
- Vilibic-Cavlek, T.; Ferenc, T.; Vujica Ferenc, M.; Bogdanic, M.; Potocnik-Hunjadi, T.; Sabadi, D.; Savic, V.; Barbic, L.; Stevanovic, V.; Monaco, F.; et al. Cross-Reactive Antibodies in Tick-Borne Encephalitis: Case Report and Literature Review. Antibodies 2022, 11, 72. [Google Scholar] [CrossRef] [PubMed]
- Allwinn, R.; Doerr, H.; Emmerich, P.; Schmitz, H.; Preiser, W. Cross-Reactivity in Flavivirus Serology: New Implications of an Old Finding? Med. Microbiol. Immunol. 2002, 190, 199–202. [Google Scholar] [CrossRef] [PubMed]
- Papa, A.; Karabaxoglou, D.; Kansouzidou, A. Acute West Nile Virus Neuroinvasive Infections: Cross-reactivity with Dengue Virus and Tick-borne Encephalitis Virus. J. Med. Virol. 2011, 83, 1861–1865. [Google Scholar] [CrossRef] [PubMed]
- Maeki, T.; Tajima, S.; Ikeda, M.; Kato, F.; Taniguchi, S.; Nakayama, E.; Takasaki, T.; Lim, C.-K.; Saijo, M. Analysis of Cross-Reactivity between Flaviviruses with Sera of Patients with Japanese Encephalitis Showed the Importance of Neutralization Tests for the Diagnosis of Japanese Encephalitis. J. Infect. Chemother. 2019, 25, 786–790. [Google Scholar] [CrossRef] [PubMed]
- Litzba, N.; Zelená, H.; Kreil, T.R.; Niklasson, B.; Kühlmann-Rabens, I.; Remoli, M.E.; Niedrig, M. Evaluation of Different Serological Diagnostic Methods for Tick-Borne Encephalitis Virus: Enzyme-Linked Immunosorbent, Immunofluorescence, and Neutralization Assay. Vector-Borne Zoonotic Dis. 2014, 14, 149–159. [Google Scholar] [CrossRef]
- Girl, P.; Haut, M.; Riederer, S.; Pfeffer, M.; Dobler, G. Comparison of Three Serological Methods for the Epidemiological Investigation of TBE in Dogs. Microorganisms 2021, 9, 399. [Google Scholar] [CrossRef]
- Gudowska-Sawczuk, M.; Czupryna, P.; Moniuszko-Malinowska, A.; Pancewicz, S.; Mroczko, B. Free Immunoglobulin Light Chains in Patients with Tick-Borne Encephalitis: Before and after Treatment. J. Clin. Med. 2021, 10, 2922. [Google Scholar] [CrossRef]
- Beicht, J.; Kubinski, M.; Zdora, I.; Puff, C.; Biermann, J.; Gerlach, T.; Baumgärtner, W.; Sutter, G.; Osterhaus, A.D.M.E.; Prajeeth, C.K.; et al. Induction of Humoral and Cell-Mediated Immunity to the NS1 Protein of TBEV with Recombinant Influenza Virus and MVA Affords Partial Protection against Lethal TBEV Infection in Mice. Front. Immunol. 2023, 14, 1177324. [Google Scholar] [CrossRef]
- Burbelo, P.D.; Ji, Y.; Iadarola, M.J. Advancing Luciferase-Based Antibody Immunoassays to Next-Generation Mix and Read Testing. Biosensors 2023, 13, 303. [Google Scholar] [CrossRef]
- Könenkamp, L.; Ziegler, U.; Naucke, T.; Groschup, M.H.; Steffen, I. Antibody Ratios against NS1 Antigens of Tick-borne Encephalitis and West Nile Viruses Support Differential Flavivirus Serology in Dogs. Transbounding Emerg. Dis. 2022, 69, e2789–e2799. [Google Scholar] [CrossRef]
- Aregay, A.; Slunečko, J.; Bogovic, P.; Korva, M.; Resman Rus, K.; Knap, N.; Beicht, J.; Kubinski, M.; Saletti, G.; Steffen, I.; et al. Poor Virus-Specific T-Cell Responses Early After Tick-Borne Encephalitis Virus Infection Correlate with Disease Severity. Emerg. Microbes Infect. 2024, 13, 2317909. [Google Scholar] [CrossRef] [PubMed]
- Mandl, C.W.; Heinz, F.X.; Stöckl, E.; Kunz, C. Genome Sequence of Tick-Borne Encephalitis Virus (Western Subtype) and Comparative Analysis of Nonstructural Proteins with Other Flaviviruses. Virology 1989, 173, 291–301. [Google Scholar] [CrossRef]
- Mandl, C.W.; Heinz, F.X.; Kunz, C. Sequence of the Structural Proteins of Tick-Borne Encephalitis Virus (Western Subtype) and Comparative Analysis with Other Flaviviruses. Virology 1988, 166, 197–205. [Google Scholar] [CrossRef] [PubMed]
- Puchhammer-Stöckl, E.; Kunz, C.; Mandl, C.W.; Heinz, F.X. Identification of Tick-Borne Encephalitis Virus Ribonucleic Acid in Tick Suspensions and in Clinical Specimens by a Reverse Transcription-Nested Polymerase Chain Reaction Assay. Clin. Diagn. Virol. 1995, 4, 321–326. [Google Scholar] [CrossRef] [PubMed]
- Ramelow, C.; Süss, J.; Berndt, D.; Roggendorf, M.; Schreier, E. Detection of Tick-Borne Encephalitis Virus RNA in Ticks (Ixodes Ricinus) by the Polymerase Chain Reaction. J. Virol. Methods 1993, 45, 115–119. [Google Scholar] [CrossRef]
- Schwaiger, M.; Cassinotti, P. Development of a Quantitative Real-Time RT-PCR Assay with Internal Control for the Laboratory Detection of Tick Borne Encephalitis Virus (TBEV) RNA. J. Clin. Virol. 2003, 27, 136–145. [Google Scholar] [CrossRef]
- Schrader, C.; Süss, J. A Nested RT-PCR for the Detection of Tick-Borne Encephalitis Virus (TBEV) in Ticks in Natural Foci. Zentralblatt Für Bakteriol. 1999, 289, 319–328. [Google Scholar] [CrossRef]
- Achazi, K.; Nitsche, A.; Patel, P.; Radonić, A.; Mantke, O.D.; Niedrig, M. Detection and Differentiation of Tick-Borne Encephalitis Virus Subtypes by a Reverse Transcription Quantitative Real-Time PCR and Pyrosequencing. J. Virol. Methods 2011, 171, 34–39. [Google Scholar] [CrossRef]
- Růžek, D.; Šťastná, H.; Kopecký, J.; Golovljova, I.; Grubhoffer, L. Rapid Subtyping of Tick-Borne Encephalitis Virus Isolates Using Multiplex RT-PCR. J. Virol. Methods 2007, 144, 133–137. [Google Scholar] [CrossRef]
- Pedersen, B.N.; Jenkins, A.; Paulsen, K.M.; Basset, C.; Andreassen, Å.K. Development of a Real-Time PCR Method for the Detection of European and Siberian Subtypes of Tick-Borne Encephalitis Virus. Microbiol. Res. 2023, 14, 1545–1558. [Google Scholar] [CrossRef]
- Sidorenko, M.; Radzijevskaja, J.; Mickevičius, S.; Bratchikov, M.; Mardosaitė-Busaitienė, D.; Sakalauskas, P.; Paulauskas, A. Phylogenetic Characterisation of Tick-Borne Encephalitis Virus from Lithuania. PLoS ONE 2024, 19, e0296472. [Google Scholar] [CrossRef] [PubMed]
- Holzmann, H. Diagnosis of Tick-Borne Encephalitis. Vaccine 2003, 21, S36–S40. [Google Scholar] [CrossRef] [PubMed]
- Saksida, A.; Duh, D.; Lotrič-Furlan, S.; Strle, F.; Petrovec, M.; Avšič-Županc, T. The Importance of Tick-Borne Encephalitis Virus RNA Detection for Early Differential Diagnosis of Tick-Borne Encephalitis. J. Clin. Virol. 2005, 33, 331–335. [Google Scholar] [CrossRef] [PubMed]
- Mázló, M.; Szántó, J. Morphological Demonstration of the Virus of Tick-Borne Encephalitis in the Human Brain. Acta Neuropathol. 1978, 43, 251–253. [Google Scholar] [CrossRef]
- Tomažič, J.; Matičič, M.; Beovič, B.; Lotrič, S.; Jereb, M.; Pikelj, F.; Poljak, M.; Avšič-Županc, T.; Popovič, M.; Gale, N. Tick-Borne Encephalitis: Possibly a Fatal Disease in Its Acute Stage. PCR Amplification of TBE RNA from Postmortem Brain Tissue. Infection 1997, 25, 41–43. [Google Scholar] [CrossRef]
- Palus, M.; Žampachová, E.; Elsterová, J.; Růžek, D. Serum Matrix Metalloproteinase-9 and Tissue Inhibitor of Metalloproteinase-1 Levels in Patients with Tick-Borne Encephalitis. J. Infect. 2014, 68, 165–169. [Google Scholar] [CrossRef]
- Turner, R.J.; Sharp, F.R. Implications of MMP9 for Blood Brain Barrier Disruption and Hemorrhagic Transformation Following Ischemic Stroke. Front. Cell. Neurosci. 2016, 10, 180751. [Google Scholar] [CrossRef]
- Fortova, A.; Hönig, V.; Salat, J.; Palus, M.; Pychova, M.; Krbkova, L.; Barkhash, A.V.; Kriha, M.F.; Chrdle, A.; Lipoldova, M.; et al. Serum Matrix Metalloproteinase-9 (MMP-9) as a Biomarker in Paediatric and Adult Tick-Borne Encephalitis Patients. Virus Res. 2023, 324, 199020. [Google Scholar] [CrossRef]
- Matsuura, E.; Umehara, F.; Hashiguchi, T.; Fujimoto, N.; Okada, Y.; Osame, M. Marked Increase of Matrix Metalloproteinase 9 in Cerebrospinal Fluid of Patients with Fungal or Tuberculous Meningoencephalitis. J. Neurol. Sci. 2000, 173, 45–52. [Google Scholar] [CrossRef]
- Lotric-Furlan, S.; Rojko, T.; Strle, F. Concentration of Procalcitonin and C-Reactive Protein in Patients with Human Granulocytic Anaplasmosis and the Initial Phase of Tick-Borne Encephalitis. Ann. N. Y. Acad. Sci. 2005, 1063, 439–441. [Google Scholar] [CrossRef]
- Palus, M.; Formanová, P.; Salát, J.; Žampachová, E.; Elsterová, J.; Růžek, D. Analysis of Serum Levels of Cytokines, Chemokines, Growth Factors, and Monoamine Neurotransmitters in Patients with Tick-Borne Encephalitis: Identification of Novel Inflammatory Markers with Implications for Pathogenesis: Serum Inflammatory Markers in TBE. J. Med. Virol. 2015, 87, 885–892. [Google Scholar] [CrossRef] [PubMed]
- Zidovec-Lepej, S.; Vilibic-Cavlek, T.; Ilic, M.; Gorenec, L.; Grgic, I.; Bogdanic, M.; Radmanic, L.; Ferenc, T.; Sabadi, D.; Savic, V.; et al. Quantification of Antiviral Cytokines in Serum, Cerebrospinal Fluid and Urine of Patients with Tick-Borne Encephalitis in Croatia. Vaccines 2022, 10, 1825. [Google Scholar] [CrossRef] [PubMed]
- Sumlivaya, O.N. Correlation between Serotonin and Cytokine Changes in Patients with Tick-Borne Encephalitis. Perm Med. J. 2015, 32, 68–73. [Google Scholar] [CrossRef]
- Strle, K.; Zhou, J.H.; Shen, W.H.; Broussard, S.R.; Johnson, R.W.; Freund, G.G.; Dantzer, R.; Kelley, K.W. Interleukin-10 in the Brain. Crit. Rev. Immunol. 2001, 21, 427–449. [Google Scholar] [CrossRef] [PubMed]
- Trinchieri, G. Interleukin-12 and the Regulation of Innate Resistance and Adaptive Immunity. Nat. Rev. Immunol. 2003, 3, 133–146. [Google Scholar] [CrossRef]
- Grygorczuk, S.; Czupryna, P.; Pancewicz, S.; Świerzbińska, R.; Kondrusik, M.; Dunaj, J.; Zajkowska, J.; Moniuszko-Malinowska, A. Intrathecal Expression of IL-5 and Humoral Response in Patients with Tick-Borne Encephalitis. Ticks Tick-Borne Dis. 2018, 9, 896–911. [Google Scholar] [CrossRef]
- Shabgah, A.G.; Navashenaq, J.G.; Shabgah, O.G.; Mohammadi, H.; Sahebkar, A. Interleukin-22 in Human Inflammatory Diseases and Viral Infections. Autoimmun. Rev. 2017, 16, 1209–1218. [Google Scholar] [CrossRef]
- Monteiro, S.; Roque, S.; Marques, F.; Correia-Neves, M.; Cerqueira, J.J. Brain Interference: Revisiting the Role of IFNγ in the Central Nervous System. Prog. Neurobiol. 2017, 156, 149–163. [Google Scholar] [CrossRef]
- Das, N.; Dewan, V.; Grace, P.M.; Gunn, R.J.; Tamura, R.; Tzarum, N.; Watkins, L.R.; Wilson, I.A.; Yin, H. HMGB1 Activates Proinflammatory Signaling via TLR5 Leading to Allodynia. Cell Rep. 2016, 17, 1128–1140. [Google Scholar] [CrossRef]
- Andersson, U.; Yang, H.; Harris, H. High-Mobility Group Box 1 Protein (HMGB1) Operates as an Alarmin Outside as Well as Inside Cells. Semin. Immunol. 2018, 38, 40–48. [Google Scholar] [CrossRef]
- Moniuszko-Malinowska, A.; Penza, P.; Czupryna, P.; Zajkowska, O.; Pancewicz, S.; Świerzbińska, R.; Dunaj, J.; Zajkowska, J. Assessment of HMGB-1 Concentration in Tick-Borne Encephalitis and Neuroborreliosis. Int. J. Infect. Dis. 2018, 70, 131–136. [Google Scholar] [CrossRef]
- Moniuszko-Malinowska, A.; Penza, P.; Czupryna, P.; Zajkowska, O.; Pancewicz, S.; Król, M.; Świerzbińska, R.; Dunaj, J.; Zajkowska, J. Assessment of TLR-2 Concentration in Tick-Borne Encephalitis and Neuroborreliosis. Scand. J. Clin. Lab. Investig. 2019, 79, 502–506. [Google Scholar] [CrossRef]
- Madar, R.; Rotter, A.; Ben-Asher, H.W.; Mughal, M.R.; Arumugam, T.V.; Wood, W.H.; Becker, K.G.; Mattson, M.P.; Okun, E. Postnatal TLR2 Activation Impairs Learning and Memory in Adulthood. Brain Behav. Immun. 2015, 48, 301–312. [Google Scholar] [CrossRef]
- Acioglu, C.; Heary, R.F.; Elkabes, S. Roles of Neuronal Toll-like Receptors in Neuropathic Pain and Central Nervous System Injuries and Diseases. Brain Behav. Immun. 2022, 102, 163–178. [Google Scholar] [CrossRef]
- Cosenza-Nashat, M.; Zhao, M.-L.; Marshall, H.D.; Si, Q.; Morgello, S.; Lee, S.C. Human Immunodeficiency Virus Infection Inhibits Granulocyte-Macrophage Colony-Stimulating Factor–Induced Microglial Proliferation. J. Neurovirol. 2007, 13, 536–548. [Google Scholar] [CrossRef]
- Deshmane, S.L.; Kremlev, S.; Amini, S.; Sawaya, B.E. Monocyte Chemoattractant Protein-1 (MCP-1): An Overview. J. Interferon Cytokine Res. 2009, 29, 313–326. [Google Scholar] [CrossRef]
- Ozden, M.; Kalkan, A.; Demirdag, K.; Denk, A.; Kilic, S.S. Hepatocyte Growth Factor (HGF) in Patients with Hepatitis B and Meningitis. J. Infect. 2004, 49, 229–235. [Google Scholar] [CrossRef]
- Ay, I.; Francis, J.W.; Brown, R.H. VEGF Increases Blood–Brain Barrier Permeability to Evans Blue Dye and Tetanus Toxin Fragment C but Not Adeno-Associated Virus in ALS Mice. Brain Res. 2008, 1234, 198–205. [Google Scholar] [CrossRef] [PubMed]
- Pavletič, M.; Korva, M.; Knap, N.; Bogovič, P.; Lusa, L.; Strle, K.; Nahtigal Klevišar, M.; Vovko, T.; Tomažič, J.; Lotrič-Furlan, S.; et al. Upregulated Intrathecal Expression of VEGF-A and Long Lasting Global Upregulation of Proinflammatory Immune Mediators in Vaccine Breakthrough Tick-Borne Encephalitis. Front. Cell. Infect. Microbiol. 2021, 11, 696337. [Google Scholar] [CrossRef] [PubMed]
- Du, Y.; Mi, Z.; Xie, Y.; Lu, D.; Zheng, H.; Sun, H.; Zhang, M.; Niu, Y. Insights into the Molecular Basis of Tick-Borne Encephalitis from Multiplatform Metabolomics. PLoS Negl. Trop. Dis. 2021, 15, e0009172. [Google Scholar] [CrossRef] [PubMed]
- Gudowska-Sawczuk, M.; Mroczko, B. Free Light Chains κ and λ as New Biomarkers of Selected Diseases. Int. J. Mol. Sci. 2023, 24, 9531. [Google Scholar] [CrossRef] [PubMed]
- Yoshimura, S.; Thome, R.; Konno, S.; Mari, E.R.; Rasouli, J.; Hwang, D.; Boehm, A.; Li, Y.; Zhang, G.-X.; Ciric, B.; et al. IL-9 Controls Central Nervous System Autoimmunity by Suppressing GM-CSF Production. J. Immunol. 2020, 204, 531–539. [Google Scholar] [CrossRef] [PubMed]
- Wang, Q.; Peng, H.; Zheng, Z.; Lu, B. Tick-borne Encephalitis Virus (TBEV) Enhances the Expression of MCP-1, CD68 and NF-κB in Infected Mouse Brain Tissue. Chin. J. Cell. Mol. Immunol. 2020, 36, 9–13. [Google Scholar]
- Wężyk, D.; Bajer, A.; Dwużnik-Szarek, D. How to Get Rid of Ticks—A Mini-Review on Tick Control Strategies in Parks, Gardens, and Other Human-Related Environments. Ann. Agric. Environ. Med. 2024. [Google Scholar] [CrossRef]
- Kapoor, S.; Goel, A.D.; Jain, V. Milk-Borne Diseases through the Lens of One Health. Front. Microbiol. 2023, 14, 1041051. [Google Scholar] [CrossRef]
- Kubinski, M.; Beicht, J.; Gerlach, T.; Volz, A.; Sutter, G.; Rimmelzwaan, G.F. Tick-Borne Encephalitis Virus: A Quest for Better Vaccines against a Virus on the Rise. Vaccines 2020, 8, 451. [Google Scholar] [CrossRef]
- Kollaritsch, H.; Paulke-Korinek, M.; Holzmann, H.; Hombach, J.; Bjorvatn, B.; Barrett, A. Vaccines and Vaccination against Tick-Borne Encephalitis. Expert Rev. Vaccines 2012, 11, 1103–1119. [Google Scholar] [CrossRef]
- Ruzek, D.; Avšič Županc, T.; Borde, J.; Chrdle, A.; Eyer, L.; Karganova, G.; Kholodilov, I.; Knap, N.; Kozlovskaya, L.; Matveev, A.; et al. Tick-Borne Encephalitis in Europe and Russia: Review of Pathogenesis, Clinical Features, Therapy, and Vaccines. Antivir. Res. 2019, 164, 23–51. [Google Scholar] [CrossRef]
- Xing, Y.; Schmitt, H.-J.; Arguedas, A.; Yang, J. Tick-Borne Encephalitis in China: A Review of Epidemiology and Vaccines. Vaccine 2017, 35, 1227–1237. [Google Scholar] [CrossRef]
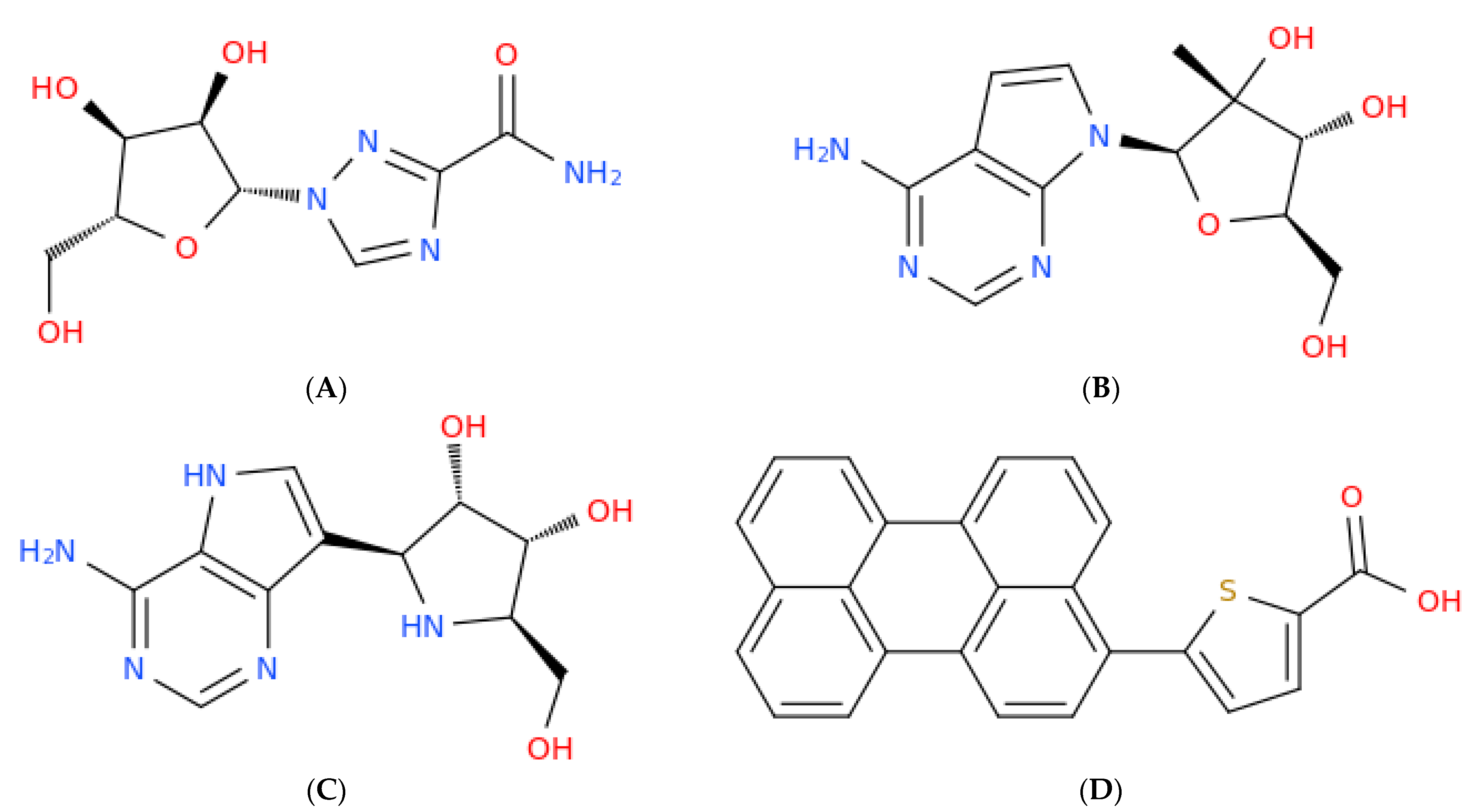
- Goryashchenko, A.S.; Uvarova, V.I.; Osolodkin, D.I.; Ishmukhametov, A.A. Discovery of Small Molecule Antivirals Targeting Tick-Borne Encephalitis Virus. In Annual Reports in Medicinal Chemistry; Elsevier: Amsterdam, The Netherlands, 2022; Volume 58, pp. 1–54. ISBN 978-0-323-98893-3. [Google Scholar]
- De Clercq, E.; Neyts, J. Antiviral Agents Acting as DNA or RNA Chain Terminators. In Antiviral Strategies; Kräusslich, H.-G., Bartenschlager, R., Eds.; Handbook of Experimental Pharmacology; Springer: Berlin/Heidelberg, Germany, 2009; Volume 189, pp. 53–84. ISBN 978-3-540-79085-3. [Google Scholar]
- Casaos, J.; Gorelick, N.L.; Huq, S.; Choi, J.; Xia, Y.; Serra, R.; Felder, R.; Lott, T.; Kast, R.E.; Suk, I.; et al. The Use of Ribavirin as an Anticancer Therapeutic: Will It Go Viral? Mol. Cancer Ther. 2019, 18, 1185–1194. [Google Scholar] [CrossRef]
- Tang, W.-D.; Tang, H.-L.; Peng, H.-R.; Ren, R.-W.; Zhao, P.; Zhao, L.-J. Inhibition of Tick-Borne Encephalitis Virus in Cell Cultures by Ribavirin. Front. Microbiol. 2023, 14, 1182798. [Google Scholar] [CrossRef] [PubMed]
- Eyer, L.; Kondo, H.; Zouharova, D.; Hirano, M.; Valdés, J.J.; Muto, M.; Kastl, T.; Kobayashi, S.; Haviernik, J.; Igarashi, M.; et al. Escape of Tick-Borne Flavivirus from 2′-C-Methylated Nucleoside Antivirals Is Mediated by a Single Conservative Mutation in NS5 That Has a Dramatic Effect on Viral Fitness. J. Virol. 2017, 91, e01028-17. [Google Scholar] [CrossRef] [PubMed]
- Binderup, A.; Galli, A.; Fossat, N.; Fernandez-Antunez, C.; Mikkelsen, L.S.; Rivera-Rangel, L.R.; Scheel, T.K.H.; Fahnøe, U.; Bukh, J.; Ramirez, S. Differential Activity of Nucleotide Analogs against Tick-Borne Encephalitis and Yellow Fever Viruses in Human Cell Lines. Virology 2023, 585, 179–185. [Google Scholar] [CrossRef] [PubMed]
- Julander, J.G.; Demarest, J.F.; Taylor, R.; Gowen, B.B.; Walling, D.M.; Mathis, A.; Babu, Y.S. An Update on the Progress of Galidesivir (BCX4430), a Broad-Spectrum Antiviral. Antivir. Res. 2021, 195, 105180. [Google Scholar] [CrossRef] [PubMed]
- Warren, T.K.; Wells, J.; Panchal, R.G.; Stuthman, K.S.; Garza, N.L.; Van Tongeren, S.A.; Dong, L.; Retterer, C.J.; Eaton, B.P.; Pegoraro, G.; et al. Protection against Filovirus Diseases by a Novel Broad-Spectrum Nucleoside Analogue BCX4430. Nature 2014, 508, 402–405. [Google Scholar] [CrossRef]
- St. Vincent, M.R.; Colpitts, C.C.; Ustinov, A.V.; Muqadas, M.; Joyce, M.A.; Barsby, N.L.; Epand, R.F.; Epand, R.M.; Khramyshev, S.A.; Valueva, O.A.; et al. Rigid Amphipathic Fusion Inhibitors, Small Molecule Antiviral Compounds against Enveloped Viruses. Proc. Natl. Acad. Sci. USA 2010, 107, 17339–17344. [Google Scholar] [CrossRef]
- Slesarchuk, N.A.; Khvatov, E.V.; Chistov, A.A.; Proskurin, G.V.; Nikitin, T.D.; Lazarevich, A.I.; Ulanovskaya, A.A.; Ulashchik, E.A.; Orlov, A.A.; Jegorov, A.V.; et al. Simplistic Perylene-Related Compounds as Inhibitors of Tick-Borne Encephalitis Virus Reproduction. Bioorganic Med. Chem. Lett. 2020, 30, 127100. [Google Scholar] [CrossRef]
- Vicidomini, C.; Palumbo, R.; Moccia, M.; Roviello, G.N. Oxidative Processes and Xenobiotic Metabolism in Plants: Mechanisms of Defense and Potential Therapeutic Implications. J. Xenobiotics 2024, 14, 1541–1569. [Google Scholar] [CrossRef]
- Vicidomini, C.; Fontanella, F.; D’Alessandro, T.; Roviello, G.N. A Survey on Computational Methods in Drug Discovery for Neurodegenerative Diseases. Biomolecules 2024, 14, 1330. [Google Scholar] [CrossRef]
- Costanzo, M.; De Giglio, M.A.R.; Gilhen-Baker, M.; Roviello, G.N. The Chemical Basis of Seawater Therapies: A Review. Environ. Chem. Lett. 2024, 22, 2133–2149. [Google Scholar] [CrossRef]
- Gamberi, C.; Leverette, C.L.; Davis, A.C.; Ismail, M.; Piccialli, I.; Borbone, N.; Oliviero, G.; Vicidomini, C.; Palumbo, R.; Roviello, G.N. Oceanic Breakthroughs: Marine-Derived Innovations in Vaccination, Therapy, and Immune Health. Vaccines 2024, 12, 1263. [Google Scholar] [CrossRef] [PubMed]

Vertical transstadial transmission occurs between tick developmental stages.
Vertical transovarial transmission occurs via eggs of infected female ticks.
Horizontal transmission occurs when uninfected ticks feed on infected vertebrate hosts. 1—Co-feeding transmission occurs when infected and uninfected ticks feed simultaneously on an animal host. 2—Foodborne transmission of TBEV occurs via unpasteurized dairy products.
Vertical transstadial transmission occurs between tick developmental stages.
Vertical transovarial transmission occurs via eggs of infected female ticks.
Horizontal transmission occurs when uninfected ticks feed on infected vertebrate hosts. 1—Co-feeding transmission occurs when infected and uninfected ticks feed simultaneously on an animal host. 2—Foodborne transmission of TBEV occurs via unpasteurized dairy products.


Disclaimer/Publisher’s Note: The statements, opinions and data contained in all publications are solely those of the individual author(s) and contributor(s) and not of MDPI and/or the editor(s). MDPI and/or the editor(s) disclaim responsibility for any injury to people or property resulting from any ideas, methods, instructions or products referred to in the content. |
© 2024 by the authors. Licensee MDPI, Basel, Switzerland. This article is an open access article distributed under the terms and conditions of the Creative Commons Attribution (CC BY) license (https://creativecommons.org/licenses/by/4.0/).
Share and Cite
Mittova, V.; Tsetskhladze, Z.R.; Motsonelidze, C.; Palumbo, R.; Vicidomini, C.; Roviello, G.N. Tick-Borne Encephalitis Virus (TBEV): Epidemiology, Diagnosis, Therapeutic Approaches and Some Molecular Aspects—An Updated Review. Microbiol. Res. 2024, 15, 2619-2649. https://doi.org/10.3390/microbiolres15040174
Mittova V, Tsetskhladze ZR, Motsonelidze C, Palumbo R, Vicidomini C, Roviello GN. Tick-Borne Encephalitis Virus (TBEV): Epidemiology, Diagnosis, Therapeutic Approaches and Some Molecular Aspects—An Updated Review. Microbiology Research. 2024; 15(4):2619-2649. https://doi.org/10.3390/microbiolres15040174
Chicago/Turabian StyleMittova, Valentina, Zurab R. Tsetskhladze, Catherine Motsonelidze, Rosanna Palumbo, Caterina Vicidomini, and Giovanni N. Roviello. 2024. "Tick-Borne Encephalitis Virus (TBEV): Epidemiology, Diagnosis, Therapeutic Approaches and Some Molecular Aspects—An Updated Review" Microbiology Research 15, no. 4: 2619-2649. https://doi.org/10.3390/microbiolres15040174
APA StyleMittova, V., Tsetskhladze, Z. R., Motsonelidze, C., Palumbo, R., Vicidomini, C., & Roviello, G. N. (2024). Tick-Borne Encephalitis Virus (TBEV): Epidemiology, Diagnosis, Therapeutic Approaches and Some Molecular Aspects—An Updated Review. Microbiology Research, 15(4), 2619-2649. https://doi.org/10.3390/microbiolres15040174

