Analysis of Factors Determining Serologic Response to Treatment of Early Syphilis in Adult Men
Abstract
1. Introduction
2. Materials and Methods
2.1. Study Design
2.2. Inclusion and Exclusion Criteria
2.3. Characteristics of the Study Sample
2.4. Study Outcomes and Definitions
2.5. Ethics
2.6. Statistical Analysis
3. Results
3.1. Characteristics of the Clinical and Epidemiological Parameters of Syphilis in the Study Cohort
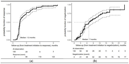
3.2. Analysis of the Probability of Achieving a Serological Response and Seroreversion over Time
3.3. Analysis of the Influence of Selected Factors on Treatment Response: The Log-Rank Test
3.4. Evaluation of Determinants of Treatment Response in Early Syphilis Patients: A Multivariate Analysis
3.4.1. Treatment Response
3.4.2. Seroreversion in Early Syphilis
4. Discussion
5. Conclusions
Supplementary Materials
Author Contributions
Funding
Institutional Review Board Statement
Informed Consent Statement
Data Availability Statement
Acknowledgments
Conflicts of Interest
Abbreviations
| ART | Antiretroviral therapy. |
| BPG | Benzathine penicillin. |
| TPHA | Treponema pallidum hemagglutination assay. |
| VDRL | Venereal Disease Laboratory Research. |
References
- WHO. WHO Syphilis Fact Sheet. 2024. Available online: www.who.int/news-room/fact-sheets/detail/syphilis (accessed on 3 August 2024).
- Chief Sanitary Inspectorate—Department of Epidemic Prevention and Border Sanitary Protection, National Institute of Public Health NIH—National Research Institute, Department of Epidemiology and Surveillance of Infectious Diseases. Infectious Diseases and Poisonings in Poland in 2023, Warsaw, Poland. 29 March 2024. Available online: https://wwwold.pzh.gov.pl/oldpage/epimeld/2023/Ch_2023.pdf (accessed on 26 April 2024).
- Hazra, A.; Collison, M.W.; Davis, A.M. CDC Sexually Transmitted Infections Treatment Guidelines, 2021. JAMA 2022, 327, 870. [Google Scholar] [CrossRef] [PubMed]
- Kingston, M.; Apea, V.; Evans, C.; Fifer, H.; Foster, K.; Patrick, P.; Grant, A.; Manns, V.; Ramsden, S.; Sinka, K.; et al. BASHH UK guidelines for the management of syphilis 2024. Int. J. STD AIDS 2024, 35, 1142–1160. [Google Scholar] [CrossRef]
- Wojas-Pelc, A.; Pastuszczak, M.; Serwin, A.B.; Rudnicka, I.; Majewski, S.; Czajkowski, R.; Flisiak, I.; Placek, W.; Maj, J.; Maleszka, R.; et al. Syphilis. Diagnostic and therapeutic recommendations of the Polish Dermatological Society. Part 1: Early and late syphilis. Dermatol. Rev. 2018, 105, 563–581. [Google Scholar] [CrossRef]
- Janier, M.; Unemo, M.; Dupin, N.; Tiplica, G.; Potočnik, M.; Patel, R. 2020 European guideline on the management of syphilis. J. Eur. Acad. Dermatol. Venereol. 2021, 35, 574–588. [Google Scholar] [CrossRef] [PubMed]
- Tuddenham, S.; Ghanem, K.G. Management of Adult Syphilis: Key Questions to Inform the 2021 Centers for Disease Control and Prevention Sexually Transmitted Infections Treatment Guidelines. Clin. Infect. Dis. 2022, 74, S127–S133. [Google Scholar] [CrossRef] [PubMed]
- Dunlop, E.M.C. Survival of Treponemes after Treatment: Comments, Clinical Conclusions, and Recommendations. Sex. Transm. Infect. 1985, 61, 293–301. [Google Scholar] [CrossRef] [PubMed][Green Version]
- Hamill, M.M.; Ghanem, K.G.; Tuddenham, S. State-of-the-Art Review: Neurosyphilis. Clin. Infect. Dis. 2024, 78, e57–e68. [Google Scholar] [CrossRef]
- Knaute, D.F.; Graf, N.; Lautenschlager, S.; Weber, R.; Bosshard, P.P. Serological response to treatment of syphilis according to disease stage and HIV status. Clin. Infect. Dis. 2012, 55, 1615–1622. [Google Scholar] [CrossRef]
- Ghanem, K.G.; Erbelding, E.J.; Wiener, Z.S.; Rompalo, A.M. Serological response to syphilis treatment in HIV-positive and HIV-negative patients attending sexually transmitted diseases clinics. Sex. Transm. Infect. 2007, 83, 97–101. [Google Scholar] [CrossRef]
- González-López, J.J.; Guerrero, M.L.F.; Luján, R.; Tostado, S.F.; de Górgolas, M.; Requena, L. Factors Determining Serologic Response to Treatment in Patients with Syphilis. Clin. Infect. Dis. 2009, 49, 1505–1511. [Google Scholar] [CrossRef]
- Romanowski, B.; Sutherland, R.; Fick, G.H.; Mooney, D.; Love, E.J. Serologic Response to Treatment of Infectious Syphilis. Ann. Intern. Med. 1991, 114, 1005–1009. [Google Scholar] [CrossRef] [PubMed]
- Spagnuolo, V.; Poli, A.; Galli, L.; Nozza, S.; Bossolasco, S.; Cernuschi, M.; Maillard, M.; Hasson, H.; Gianotti, N.; Guffanti, M.; et al. Incidence and predictors of serological treatment response in early and late syphilis among people living with HIV. Open Forum Infect. Dis. 2019, 6, ofy324. [Google Scholar] [CrossRef] [PubMed]
- Jinno, S.; Anker, B.; Kaur, P.; Bristow, C.C.; Klausner, J.D. Predictors of serological failure after treatment in HIV-infected patients with early syphilis in the emerging Era of universal antiretroviral therapy use. BMC Infect. Dis. 2013, 13, 605. [Google Scholar] [CrossRef]
- Seña, A.C.; Wolff, M.; Behets, F.; Van Damme, K.; Martin, D.H.; Leone, P.; McNeil, L.; Hook, E.W. Response to therapy following retreatment of serofast early syphilis patients with benzathine penicillin. Clin. Infect. Dis. 2013, 56, 420–422. [Google Scholar] [CrossRef]
- Dionne-Odom, J.; Karita, E.; Kilembe, W.; Henderson, F.; Vwalika, B.; Bayingana, R.; Li, Z.; Mulenga, J.; Chomba, E.; del Rio, C.; et al. Syphilis treatment response among HIV-discordant couples in Zambia and Rwanda. Clin. Infect. Dis. 2013, 56, 1829–1837. [Google Scholar] [CrossRef]
- Li, J.; Wang, L.-N.; Zheng, H.-Y. Predictors of serological cure and serofast state after treatment in HIV-negative patients with early syphilis in China. Sex. Transm. Infect. 2013, 89, 69. [Google Scholar] [CrossRef] [PubMed]
- Tong, M.-L.; Lin, L.-R.; Liu, G.-L.; Zhang, H.-L.; Zeng, Y.-L.; Zheng, W.-H.; Liu, L.-L.; Yang, T.-C. Factors Associated with Serological Cure and the Serofast State of HIV-Negative Patients with Primary, Secondary, Latent, and Tertiary Syphilis. PLoS ONE 2013, 8, e70102. [Google Scholar] [CrossRef]
- Nieuwenburg, S.A.; Sprenger, R.J.; van der Loeff, M.F.S.; de Vries, H.J.C. Clinical outcomes of syphilis in HIV-negative and HIV-positive MSM: Occurrence of repeat syphilis episodes and non-treponemal serology responses. Sex. Transm. Infect. 2022, 98, 95–100. [Google Scholar] [CrossRef]
- Manavi, K.; McMillan, A. The outcome of treatment of early latent syphilis and syphilis with undetermined duration in HIV-infected and HIV-uninfected patients. Int. J. STD AIDS 2007, 18, 814–818. [Google Scholar] [CrossRef]
- Marchese, V.; Tiecco, G.; Storti, S.; Degli Antoni, M.; Calza, S.; Gulletta, M.; Viola, F.; Focà, E.; Matteelli, A.; Castelli, F.; et al. Syphilis Infections, Reinfections and Serological Response in a Large Italian Sexually Transmitted Disease Centre: A Monocentric Retrospective Study. J. Clin. Med. 2022, 11, 7499. [Google Scholar] [CrossRef]
- Yang, C.-J.; Lee, N.-Y.; Chen, T.-C.; Lin, Y.-H.; Liang, S.-H.; Lu, P.-L.; Huang, W.-C.; Tang, H.-J.; Lee, C.-H.; Lin, H.-H.; et al. One dose versus three weekly doses of benzathine penicillin G for patients co-infected with Hiv and early syphilis: A multicenter, prospective observational study. PLoS ONE 2014, 9, e109667. [Google Scholar] [CrossRef] [PubMed]
- Paul, G.; Wesselmann, J.; Adzic, D.; Malin, J.; Suarez, I.; Priesner, V.; Kümmerle, T.; Wyen, C.; Jung, N.; van Bremen, K.; et al. Predictors of serofast state after treatment for early syphilis in HIV-infected patients. HIV Med. 2021, 22, 165–171. [Google Scholar] [CrossRef] [PubMed]


| Characteristic | Total (n = 130) |
|---|---|
| Age | 30.5 a |
| MSM | 108 (83.1%) |
| PREP usage | 6 (4.6%) |
| HIV | 20 (15.4%) |
| Reinfection | 35 (26.9%) |
| Syphilis stage | |
| early latent | 46 (35.4%) |
| primary | 22 (16.9%) |
| secondary | 62 (47.7%) |
| Treatment: | |
| 1BPG b | 122 (93.9%) |
| Doxycycline | 8 (6.2%) |
| Titer at baseline | |
| up to 1:16 | 59 (45.4%) |
| 1:32 or above | 71 (54.6%) |
| Response to treatment (at least 4x decrease in titers) | 125 (96.2%) |
| Follow-up response to treatment, months | 1.5 (1.3, 3.0) a |
| Seroreversion (VDRL) | 77 (59.2%) |
| Following disease to treatment, months | 4.9 (3.0, 8.5) a |
| Characteristic | Proper Serologic Response | Seroreversion | ||
|---|---|---|---|---|
| RR | p-Value | RR | p-Value | |
| Aged over 30 years vs. below | 1.381 | 0.008 | 1.100 | 0.583 |
| Baseline titers ≥1:32 vs. <1:32 | 1.484 | 0.005 | 0.692 | 0.038 |
| Early latent vs. primary syphilis | 0.526 | <0.001 | 0.560 | 0.019 |
| Secondary vs. primary syphilis | 0.767 | 0.119 | 0.590 | 0.030 |
| Reinfection, yes vs. no | 0.771 | 0.124 | 0.966 | 0.866 |
| Doxycycline vs. BPG | 0.704 | 0.150 | 1.153 | 0.669 |
| HIV, yes vs. no | 1.151 | 0.392 | 1.076 | 0.735 |
Disclaimer/Publisher’s Note: The statements, opinions and data contained in all publications are solely those of the individual author(s) and contributor(s) and not of MDPI and/or the editor(s). MDPI and/or the editor(s) disclaim responsibility for any injury to people or property resulting from any ideas, methods, instructions or products referred to in the content. |
© 2025 by the authors. Licensee MDPI, Basel, Switzerland. This article is an open access article distributed under the terms and conditions of the Creative Commons Attribution (CC BY) license (https://creativecommons.org/licenses/by/4.0/).
Share and Cite
Czarny, J.; Kadylak, D.; Sokołowska-Wojdyło, M.; Nowicki, R.J. Analysis of Factors Determining Serologic Response to Treatment of Early Syphilis in Adult Men. Infect. Dis. Rep. 2025, 17, 41. https://doi.org/10.3390/idr17030041
Czarny J, Kadylak D, Sokołowska-Wojdyło M, Nowicki RJ. Analysis of Factors Determining Serologic Response to Treatment of Early Syphilis in Adult Men. Infectious Disease Reports. 2025; 17(3):41. https://doi.org/10.3390/idr17030041
Chicago/Turabian StyleCzarny, Justyna, Damian Kadylak, Małgorzata Sokołowska-Wojdyło, and Roman J. Nowicki. 2025. "Analysis of Factors Determining Serologic Response to Treatment of Early Syphilis in Adult Men" Infectious Disease Reports 17, no. 3: 41. https://doi.org/10.3390/idr17030041
APA StyleCzarny, J., Kadylak, D., Sokołowska-Wojdyło, M., & Nowicki, R. J. (2025). Analysis of Factors Determining Serologic Response to Treatment of Early Syphilis in Adult Men. Infectious Disease Reports, 17(3), 41. https://doi.org/10.3390/idr17030041

