Early Use of Liraglutide for the Treatment of Acute COVID-19 Infection: An Open-Label Single-Center Phase II Safety Study with Biomarker Profiling
Abstract
1. Introduction
2. Materials and Methods
3. Results
3.1. CD147 Expression on Lymphocytes and Soluble Plasma Levels
3.2. Plasma Levels of Circulating Inflammatory Mediators
4. Discussion
Supplementary Materials
Author Contributions
Funding
Institutional Review Board Statement
Informed Consent Statement
Data Availability Statement
Conflicts of Interest
References
- Wiersinga, W.J.; Rhodes, A.; Cheng, A.C.; Peacock, S.J.; Prescott, H.C. Pathophysiology, Transmission, Diagnosis, and Treatment of Coronavirus Disease 2019 (COVID-19): A Review. JAMA 2020, 324, 782–793. [Google Scholar] [CrossRef] [PubMed]
- Wu, Z.; McGoogan, J.M. Characteristics of and Important Lessons From the Coronavirus Disease 2019 (COVID-19) Outbreak in China: Summary of a Report of 72314 Cases From the Chinese Center for Disease Control and Prevention. JAMA 2020, 323, 1239–1242. [Google Scholar] [CrossRef]
- Abu-Farha, M.; Al-Mulla, F.; Thanaraj, T.A.; Kavalakatt, S.; Ali, H.; Ghani, M.A.; Abubaker, J. Impact of Diabetes in Patients Diagnosed With COVID-19. Front. Immunol. 2020, 11, 576818. [Google Scholar] [CrossRef] [PubMed]
- Wagner, C.; Griesel, M.; Mikolajewska, A.; Mueller, A.; Nothacker, M.; Kley, K.; Metzendorf, M.-I.; Fischer, A.-L.; Kopp, M.; Stegemann, M.; et al. Systemic corticosteroids for the treatment of COVID-19. Cochrane Database Syst. Rev. 2021, 8, CD014963. [Google Scholar] [CrossRef] [PubMed]
- Marso, S.P.; Daniels, G.H.; Brown-Frandsen, K.; Kristensen, P.; Mann, J.F.E.; Nauck, M.A.; Nissen, S.E.; Pocock, S.; Poulter, N.R.; Ravn, L.S.; et al. Liraglutide and Cardiovascular Outcomes in Type 2 Diabetes. N. Engl. J. Med. 2016, 375, 311–322. [Google Scholar] [CrossRef] [PubMed]
- Sheahan, K.H.; Wahlberg, E.A.; Gilbert, M.P. An overview of GLP-1 agonists and recent cardiovascular outcomes trials. Postgrad. Med. J. 2020, 96, 156–161. [Google Scholar] [CrossRef]
- Lundgren, J.R.; Janus, C.; Jensen, S.B.; Juhl, C.R.; Olsen, L.M.; Christensen, R.M.; Svane, M.S.; Bandholm, T.; Bojsen-Møller, K.N.; Blond, M.B.; et al. Healthy Weight Loss Maintenance with Exercise, Liraglutide, or Both Combined. N. Engl. J. Med. 2021, 384, 1719–1730. [Google Scholar] [CrossRef] [PubMed]
- Yusta, B.; Baggio, L.L.; Koehler, J.; Holland, D.; Cao, X.; Pinnell, L.J.; Johnson-Henry, K.C.; Yeung, W.; Surette, M.G.; Bang, K.A.; et al. GLP-1R Agonists Modulate Enteric Immune Responses Through the Intestinal Intraepithelial Lymphocyte GLP-1R. Diabetes 2015, 64, 2537–2549. [Google Scholar] [CrossRef] [PubMed]
- Cariou, B. Pleiotropic effects of insulin and GLP-1 receptor agonists: Potential benefits of the association. Diabetes Metab. 2015, 41, 6S28–26S35. [Google Scholar] [CrossRef] [PubMed]
- Natali, A.; Nesti, L.; Tricò, D.; Ferrannini, E. Effects of GLP-1 receptor agonists and SGLT-2 inhibitors on cardiac structure and function: A narrative review of clinical evidence. Cardiovasc. Diabetol. 2021, 20, 196. [Google Scholar] [CrossRef] [PubMed]
- Correale, M.; Lamacchia, O.; Ciccarelli, M.; Dattilo, G.; Tricarico, L.; Brunetti, N.D. Vascular and metabolic effects of SGLT2i and GLP-1 in heart failure patients. Heart Fail. Rev. 2021, 28, 733–744. [Google Scholar] [CrossRef]
- Wang, K.; Chen, W.; Zhang, Z.; Deng, Y.; Lian, J.-Q.; Du, P.; Wei, D.; Zhang, Y.; Sun, X.-X.; Gong, L.; et al. CD147-spike protein is a novel route for SARS-CoV-2 infection to host cells. Signal Transduct. Target. Ther. 2020, 5, 283. [Google Scholar] [CrossRef]
- Xie, Y.; Wang, Y.; Ding, H.; Guo, M.; Wang, X.; Dong, Q.; Cui, M. Highly glycosylated CD147 promotes hemorrhagic transformation after rt-PA treatment in diabetes: A novel therapeutic target? J. Neuroinflamm. 2019, 16, 72. [Google Scholar] [CrossRef] [PubMed]
- Radzikowska, U.; Ding, M.; Tan, G.; Zhakparov, D.; Peng, Y.; Wawrzyniak, P.; Wang, M.; Li, S.; Morita, H.; Altunbulakli, C.; et al. Distribution of ACE2, CD147, CD26, and other SARS-CoV-2 associated molecules in tissues and immune cells in health and in asthma, COPD, obesity, hypertension, and COVID-19 risk factors. Allergy 2020, 75, 2829–2845. [Google Scholar] [CrossRef] [PubMed]
- Smadja, D.M.; Philippe, A.; Ferreira, E.V.M.; Oliveira, R.K.F.; McCabe, C.; Zhao, L. CD147 Plasma Levels in Hospitalised Patients with COVID-19 Pneumonia Predict Illness Severity and In-Hospital Mortality. Stem Cell Rev. Rep. 2024, 20, 568–572. [Google Scholar] [CrossRef] [PubMed]
- Ahmetaj-Shala, B.; Vaja, R.; Atanur, S.S.; George, P.M.; Kirkby, N.S.; Mitchell, J.A. Cardiorenal Tissues Express SARS-CoV-2 Entry Genes and Basigin (BSG/CD147) Increases With Age in Endothelial Cells. JACC Basic. Transl. Sci. 2020, 5, 1111–1123. [Google Scholar] [CrossRef] [PubMed]
- Bao, W.; Min, D.; Twigg, S.M.; Shackel, N.A.; Warner, F.J.; Yue, D.K.; McLennan, S.V. Monocyte CD147 is induced by advanced glycation end products and high glucose concentration: Possible role in diabetic complications. Am. J. Physiol. Cell Physiol. 2010, 299, C1212–C1219. [Google Scholar] [CrossRef] [PubMed]
- Goswami, J.; MacArthur, T.A.; Sridharan, M.; Pruthi, R.K.; McBane, R.D.I.; Witzig, T.E.; Park, M.S. A Review of Pathophysiology, Clinical Features, and Management Options of COVID-19 Associated Coagulopathy. Shock 2021, 55, 700–716. [Google Scholar] [CrossRef] [PubMed]
- Fenizia, C.; Galbiati, S.; Vanetti, C.; Vago, R.; Clerici, M.; Tacchetti, C.; Daniele, T. SARS-CoV-2 Entry: At the Crossroads of CD147 and ACE2. Cells 2021, 10, 1413. [Google Scholar] [CrossRef]
- Bian, H.; Chen, L.; Zheng, Z.-H.; Sun, X.-X.; Geng, J.-J.; Chen, R.; Wang, K.; Yang, X.; Chen, S.-R.; Chen, S.-Y.; et al. Meplazumab in hospitalized adults with severe COVID-19 (DEFLECT): A multicenter, seamless phase 2/3, randomized, third-party double-blind clinical trial. Signal Transduct. Target. Ther. 2023, 8, 46. [Google Scholar] [CrossRef]
- Bian, H.; Zheng, Z.-H.; Wei, D.; Wen, A.; Zhang, Z.; Lian, J.-Q.; Kang, W.-Z.; Hao, C.-Q.; Wang, J.; Xie, R.-H.; et al. Safety and efficacy of meplazumab in healthy volunteers and COVID-19 patients: A randomized phase 1 and an exploratory phase 2 trial. Signal Transduct. Target. Ther. 2021, 6, 194. [Google Scholar] [CrossRef] [PubMed]
- Yang, F.; Zeng, F.; Luo, X.; Lei, Y.; Li, J.; Lu, S.; Huang, X.; Lan, Y.; Liu, R. GLP-1 Receptor: A New Target for Sepsis. Front. Pharmacol. 2021, 12, 706908. [Google Scholar] [CrossRef] [PubMed]
- Scirica, B.M.; Lincoff, A.M.; Lingvay, I.; Bogdanski, P.; Buscemi, S.; Colhoun, H.; Craciun, A.-E.; Ezhov, M.; Hardt-Lindberg, S.; Jeppesen, O.K.; et al. The Effect of Semaglutide on Mortality and COVID-19-Related Deaths: An Analysis From the SELECT Trial. J. Am. Coll. Cardiol. 2024, 17, 1632–1642. [Google Scholar] [CrossRef] [PubMed]


| Age, years | 55 ± 9 |
| Male gender, n (%) | 10 (7) |
| Comorbidities, n (%) | |
| Body mass index > 25 kg/m2 | 6 (46) |
| Systemic hypertension | 5 (38) |
| Current/former smoker | 4 (31) |
| Diabetes | 4 (31) |
| Autoimmune disease | 2 (15) |
| Left heart disease | 1 (8) |
| Asthma | 1 (8) |
| Symptom, n (%) | |
| Fever | 10 (77) |
| Cough | 10 (77) |
| Dyspnea | 9 (69) |
| Myalgia | 9 (69) |
| Anosmia | 6 (46) |
| Dysgeusia | 5 (38) |
| Fatigue | 3 (23) |
| Diarrhea | 3 (23) |
| Headache | 3 (23) |
| Nasal congestion | 2 (15) |
| Nausea/vomiting | 2 (15) |
| Clinical status at admission | |
| 4C Score, points | 7.5 ± 2.4 |
| Lung computerized tomography scan, n (%) | 5 (38) |
| Hospitalization data | |
| Days, median [interquartile range] | |
| From symptoms to diagnosis | 7 [4–9] |
| From diagnosis to hospitalization | 1 [4–6] |
| In the intensive care unit | 11 [5–23] |
| In hospital | 15 [8–30] |
| Treatment, n (%) | |
| Systemic corticosteroids | 13 (100) |
| Macrolides | 5 (38) |
| Prophylactic anticoagulation | 11 (85) |
| Therapeutic anticoagulation | 2 (15) |
| Follow-up data, n (%) | |
| Admission to the intensive care unit | 7 (54) |
| Mechanical ventilation | 2 (15) |
| Clinical improvement during the study period | 7 (54) |
| Deaths | 0 (0) |
| Day 0 | Day 5 | p-Value | |
|---|---|---|---|
| Clinical data | |||
| Respiratory rate, ipm | 28 [22–29] | 20 [19–23] | 0.105 |
| SpO2, % | 94 [92–96] | 93 [92–94] | 0.245 |
| Heart rate, bpm | 84 ± 22 | 91 ± 15 | 0.280 |
| Systolic blood pressure, mmHg | 124 ± 16 | 130 ± 18 | 0.287 |
| Diastolic blood pressure, mmHg | 81 ± 16 | 79 ± 14 | 0.774 |
| Temperature, Celsius | 36.5 [35.9–37.1] | 36.3 [36–37] | 0.843 |
| Laboratory results | |||
| Hemoglobin, g/dL | 14.0 ± 16 | 13.8 ± 1.4 | 0.674 |
| Hematocrit, % | 42 ± 4 | 41 ± 3 | 0.589 |
| Leukocytes, count/mm3 | 9096 ± 3547 | 9712 [8060–11,360] | 0.275 |
| Neutrophils, % | 86 [83–88] | 83 [79–89] | 0.131 |
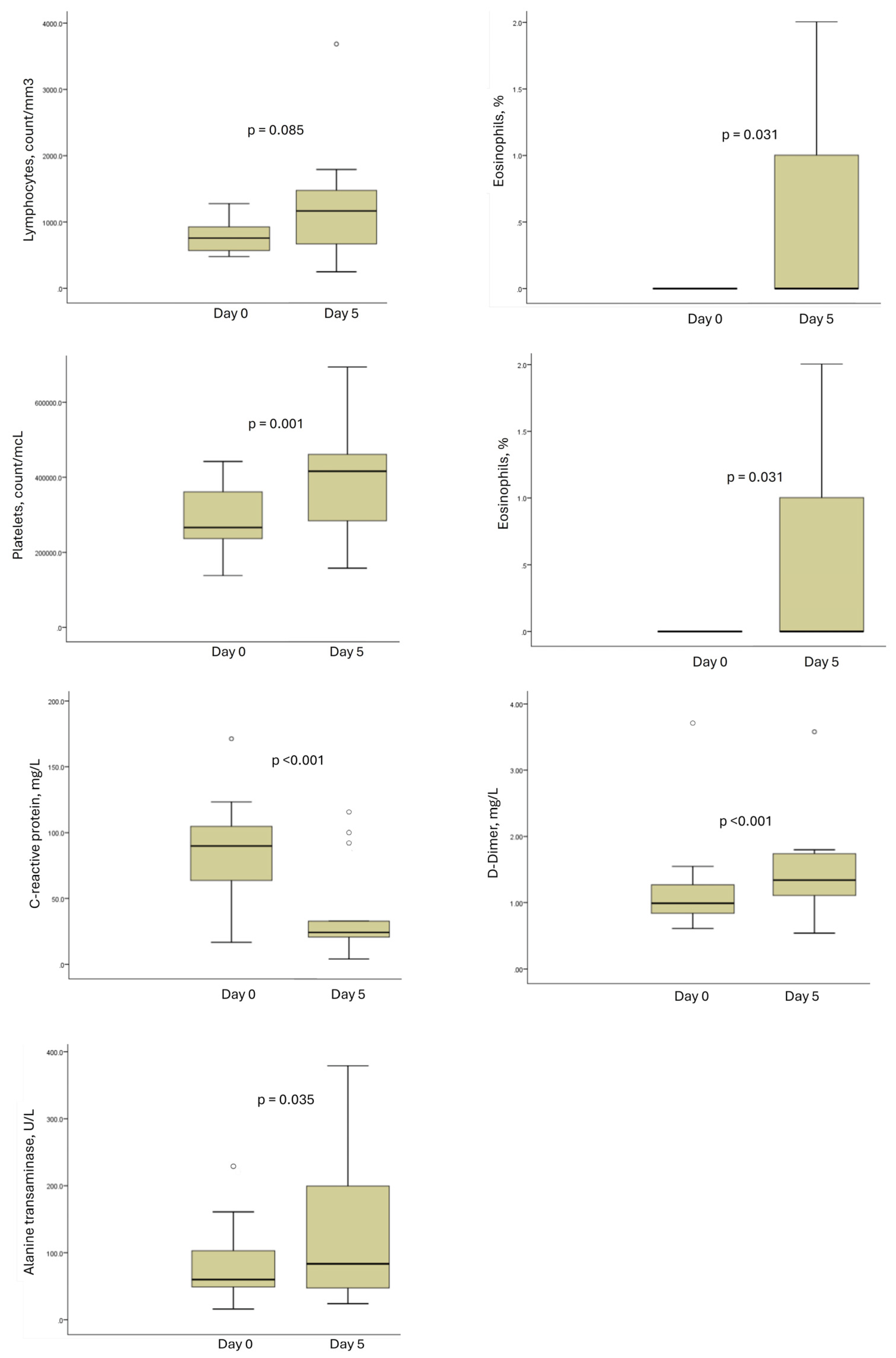
| Lymphocytes, count/mm3 | 757 [562–996] | 1167 [632–1499] | 0.085 |
| Lymphocytes, % | 10 [7–12] | 11 [8–12] | 0.220 |
| Eosinophils, % | 0 [0–0] | 0 [0–1] | 0.031 |
| Platelets, count/mcL | 284,923 ± 102,743 | 408,154 ± 162,413 | 0.001 |
| Urea, mg/dL | 56 [30–66] | 42 [35–55] | 0.402 |
| Creatinine, mg/dL | 0.8 [0.7–1.1] | 0.9 [0.8–1.0] | 0.401 |
| Sodium, mEq/L | 137 ± 3 | 136 ± 5 | 0.261 |
| Potassium, mEq/L | 4.3 ± 0.5 | 4.7 ± 0.5 | 0.029 |
| C-reactive protein, mg/L | 89.9 [62.6–112.6] | 24.3 [19.7–62.5] | <0.001 |
| Lactic dehydrogenase, U/L | 422 ± 119 | 409 ± 138 | 0.701 |
| D-Dimer, mg/L | 1.03 ± 0.30 | 1.51 ± 0.90 | 0.085 |
| Fibrinogen, mg/dL | 639 ± 80 | 583 ± 117 | 0.101 |
| Troponin T, ng/L | 5.0 [4.0–12.5] | 5.0 [4.0–7.0] | 0.363 |
| NT-proB-type Natriuretic Peptide, pg/mL | 119 [47–179] | 58 [17–840] | 0.325 |
| Aspartate aminotransferase, U/L | 42 [26–86] | 53 [27–99] | 0.795 |
| Alanine transaminase, U/L | 60 [37–122] | 84 [41–206] | 0.035 |
| Gamma-glutamyl transferase, IU/L | 162 [35–440] | 245 [48–384] | 0.945 |
| Alkaline phosphatase, IU/L | 85 [63–124] | 94 [70–113] | 0.698 |
| Total bilirubin, mg/dL | 0.5 [0.2–0.7] | 0.4 [0.3–0.5] | 0.655 |
| Direct bilirubin, mg/dL | 0.3 ± 0.2 | 0.3 ± 0.2 | 0.520 |
| C peptide, ng/mL | 7.8 ± 5.4 | 8.7 ± 4.8 | 0.572 |
| Glycated hemoglobin, % | 6.5 ± 1.0 | 6.6 ± 1.0 | 0.172 |
| Glucagon, ng/L | 223 ± 89 | 195 ± 48 | 0.224 |
| Echocardiography | |||
| Left ventricular ejection fraction, % | 68 ± 3 | 69 ± 4 | 0.619 |
| S wave, cm/s | 16.6 ± 3.7 | 16.7 ± 6.5 | 0.946 |
| Right ventricular fractional area change, % | 38 [33–39] | 40 [38–43] | 0.936 |
| Tricuspid annular plane systolic excursion, cm | 21 ± 3 | 21 ± 3 | 0.311 |
| Detectable tricuspid regurgitation velocity, n (%) | 2 (15) | 2 (15) | - |
| Laboratory Parameter | Non-Critical Care Cohort (n = 5) | Critical Care Cohort (n = 7) | ||||
|---|---|---|---|---|---|---|
| Day 0 | Day 5 | p-Value | Day 0 | Day 5 | p-Value | |
| Hemoglobin | 13.92 ± 1.71 | 14.18 ± 1.52 | 0.452 | 14.00 ± 1.69 | 13.44 ± 1.31 | 0.460 |
| Leukocytes | 9461.67 ± 4073.95 | 9413.33 ± 2625.27 | 0.954 | 8782.86 ± 3330.04 | 9968.57 ± 2738.72 | 0.145 |
| Neutrophils, % | 83.67 ± 2.07 | 77.17 ± 16.67 | 0.341 | 87.57 ± 3.10 | 83.71 ± 6.97 | 0.240 |
| Lymphocytes, % | 10.00 ± 2.83 | 16.50 ± 14.73 | 0.261 | 8.71 ± 2.81 | 9.43 ± 4.08 | 0.733 |
| Eosinophils, % | 0.00 ± 0.00 | 0.62 ± 0.80 | 0.118 | 0.00 ± 0.00 | 0.41 ± 0.75 | 0.196 |
| Platelets | 321,166.67 ± 83,501.90 | 441,166.67 ± 153,231.09 | 0.014 | 253,857.14 ± 113,411.39 | 379,857.14 ± 176,538.41 | 0.029 |
| Urea | 51.33 ± 17.74 | 38.83 ± 7.52 | 0.062 | 50.00 ± 23.70 | 53.29 ± 19.53 | 0.622 |
| Creatinine | 0.89 ± 0.26 | 0.88 ± 0.09 | 0.921 | 0.95 ± 0.41 | 1.22 ± 1.14 | 0.397 |
| Lactate dehydrogenase (LDH) | 402.20 ± 128.87 | 321.80 ± 100.68 | 0.056 | 435.43 ± 120.24 | 470.71 ± 131.57 | 0.462 |
| D-Dimer | 0.98 ± 0.26 | 1.26 ± 0.44 | 0.346 | 1.08 ± 0.39 | 1.82 ± 1.29 | 0.205 |
| Troponin (TNI), median|IQR | 6.60 ± 3.13 | 4.60 ± 1.52 | 0.061 | 9.14 ± 6.52 | 57.86 ± 136.36 | 0.365 |
| NTproBNP, median|IQR | 159.02 ± 194.28 | 213.70 ± 397.90 | 0.622 | 147.90 ± 121.01 | 5221.90 ± 12,115.86 | 0.352 |
| TGO-AST | 84.80 ± 59.39 | 75.40 ± 58.52 | 0.733 | 45.14 ± 23.36 | 57.57 ± 35.33 | 0.340 |
| TGP-ALT | 124.00 ± 81.87 | 198.40 ± 152.63 | 0.138 | 57.00 ± 29.26 | 94.29 ± 74.63 | 0.194 |
| Alkaline Phosphatase | 125.60 ± 63.08 | 119.80 ± 61.46 | 0.465 | 78.57 ± 34.39 | 87.00 ± 22.06 | 0.397 |
| Total Bilirubin | 0.60 ± 0.27 | 0.35 ± 0.07 | 0.098 | 0.45 ± 0.26 | 0.54 ± 0.28 | 0.615 |
| Fibrinogen | 629.60 ± 76.76 | 546.40 ± 76.85 | 0.012 | 645.29 ± 87.01 | 608.43 ± 139.43 | 0.510 |
| C peptide | 9.97 ± 4.78 | 10.92 ± 2.54 | 0.752 | 6.30 ± 5.72 | 7.10 ± 5.51 | 0.668 |
| Glycated hemoglobin HAB1C | 6.80 ± 1.20 | 6.84 ± 1.04 | 0.717 | 6.26 ± 0.93 | 6.40 ± 0.93 | 0.182 |
| Glucagon | 200.00 ± 61.77 | 210.80 ± 47.54 | 0.634 | 238.86 ± 106.11 | 184.14 ± 49.25 | 0.183 |
| Echocardiography | ||||||
| Left ventricular ejection fraction (%) | 67.60 ± 1.95 | 69.80 ± 2.28 | 0.004 | 69.20 ± 4.55 | 68.20 ± 5.81 | 0.669 |
| S wave (cm/s) | 14.68 ± 3.42 | 13.90 ± 3.85 | 0.763 | 19.67 ± 1.53 | 21.33 ± 8.08 | 0.707 |
| RV FAC, % | 35.75 ± 3.20 | 40.50 ± 3.11 | 0.064 | 44.00 ± 12.70 | 38.50 ± 5.20 | 0.572 |
| TAPSE | 21.40 ± 3.51 | 21.20 ± 3.49 | 0.704 | 20.50 ± 1.52 | 21.67 ± 2.50 | 0.201 |
| Day 0 | Day 5 | |||||
|---|---|---|---|---|---|---|
| Cytometry | Total (n = 12) | Non-Critical (n = 5) | Critical (n = 7) | Total (n = 12) | Non-Critical (n = 5) | Critical (n = 7) |
| B Lymphocyte, cells/mcL | 7968.58 ± 2437.52 | 6981.40 ± 1951.64 | 8673.71 ± 2638.42 | 9252.83 ± 3900.71 | 8926.60 ± 2699.81 | 9485.86 ± 4783.70 |
| T Lymphocyte, cells/mcL | 4642.50 ± 986.24 | 4231.80 ± 689.21 | 4935.86 ± 1107.07 | 5262.00 ± 897.40 * | 5450.80 ± 315.08 # | 5127.14 ± 1165.91 |
| T Lymphocyte CD4, cells/mcL | 4966.00 ± 1120.70 | 4423.40 ± 732.49 | 5353.57 ± 1234.64 | 5615.58 ± 991.30 * | 5786.00 ± 423.50 # | 5493.86 ± 1280.83 |
| T Lymphocyte CD8, cells/mcL | 4070.58 ± 799.08 | 3831.00 ± 608.71 | 4241.71 ± 917.41 | 4731.00 ± 830.17 * | 5049.00 ± 455.09 # | 4503.86 ± 990.44 |
| NK Lymphocyte, cells/mcL | 5353.92 ± 1451.53 | 4976.20 ± 959.51 | 5623.71 ± 1745.03 | 5744.67 ± 1155.53 | 5595.80 ± 1132.75 | 5851.00 ± 1249.36 |
| ELISA | ||||||
| CD147, pg/mL | 5626.07 ± 1481.51 | 6139.30 ± 1408.60 | 5259.47 ± 1524.76 | 6090.68 ± 2854.90 | 4753.08 ± 974.43 # | 7046.10 ± 3428.34 |
| MMP-2, ng/mL | 144.97 ± 24.83 | 153.66 ± 22.75 | 138.76 ± 26.03 | 142.92 ± 15.08 | 146.96 ± 7.91 | 140.04 ± 18.76 |
| MMP-9, ng/mL | 219.71 ± 80.21 | 219.52 ± 70.27 | 219.85 ± 92.20 | 274.09 ± 138.30 | 354.10 ± 70.74 & | 216.94 ± 150.29 |
| CD62E, ng/mL | 32.94 ± 14.13 | 29.65 ± 9.26 | 35.29 ± 17.14 | 31.71 ± 12.20 | 30.06 ± 11.15 | 32.89 ± 13.64 |
| Interleukins | ||||||
| IL-6, pg/mL | 46.04 [8.45–120.6] | 22.27 [6.68–59.52] | 84.94 [8.87–192.80] | 6.77 [2.34–29.07] * | 2.89 [2.13–3.79] | 28.69 [9.48–55.60] |
| IL-8, pg/mL | 25.44 ± 10.85 | 20.83 ± 7.56 | 28.74 ± 12.14 | 19.98 ± 24.13 | 8.71 ± 3.17 # | 28.03 ± 29.65 |
| IL-10, pg/mL | 4.82 [2.62–7.10] | 3.15 [1.89–6.13] | 5.50 [3.68–7.28] | 1.77 [1.09–2.10] * | 1.49 [1.10–1.77] | 1.99 [1.00–3.48] |
Disclaimer/Publisher’s Note: The statements, opinions and data contained in all publications are solely those of the individual author(s) and contributor(s) and not of MDPI and/or the editor(s). MDPI and/or the editor(s) disclaim responsibility for any injury to people or property resulting from any ideas, methods, instructions or products referred to in the content. |
© 2025 by the authors. Licensee MDPI, Basel, Switzerland. This article is an open access article distributed under the terms and conditions of the Creative Commons Attribution (CC BY) license (https://creativecommons.org/licenses/by/4.0/).
Share and Cite
Ferreira, E.V.M.; Oliveira, R.K.F.; Salomao, R.; Brunialti, M.K.C.; Cardoso, M.B.A.; Chen, C.-n.; Zhao, L.; McCabe, C. Early Use of Liraglutide for the Treatment of Acute COVID-19 Infection: An Open-Label Single-Center Phase II Safety Study with Biomarker Profiling. Infect. Dis. Rep. 2025, 17, 5. https://doi.org/10.3390/idr17010005
Ferreira EVM, Oliveira RKF, Salomao R, Brunialti MKC, Cardoso MBA, Chen C-n, Zhao L, McCabe C. Early Use of Liraglutide for the Treatment of Acute COVID-19 Infection: An Open-Label Single-Center Phase II Safety Study with Biomarker Profiling. Infectious Disease Reports. 2025; 17(1):5. https://doi.org/10.3390/idr17010005
Chicago/Turabian StyleFerreira, Eloara V. M., Rudolf K. F. Oliveira, Reinaldo Salomao, Milena K. C. Brunialti, Martyella B. A. Cardoso, Chien-nien Chen, Lan Zhao, and Colm McCabe. 2025. "Early Use of Liraglutide for the Treatment of Acute COVID-19 Infection: An Open-Label Single-Center Phase II Safety Study with Biomarker Profiling" Infectious Disease Reports 17, no. 1: 5. https://doi.org/10.3390/idr17010005
APA StyleFerreira, E. V. M., Oliveira, R. K. F., Salomao, R., Brunialti, M. K. C., Cardoso, M. B. A., Chen, C.-n., Zhao, L., & McCabe, C. (2025). Early Use of Liraglutide for the Treatment of Acute COVID-19 Infection: An Open-Label Single-Center Phase II Safety Study with Biomarker Profiling. Infectious Disease Reports, 17(1), 5. https://doi.org/10.3390/idr17010005

