An Empirical Analysis of the Effectiveness of Local Industrial Policies for China’s New Energy Vehicle Sector
Abstract
1. Introduction
1.1. Research Background and Strategic Context
1.2. Literature Review and Research Gap
1.3. Research Questions and Hypotheses
- (1)
- H1: A comprehensive policy strength index, constructed based on multi-dimensional characteristics, explains the development of the NEV market more significantly than the mere quantity of policies. This hypothesis directly challenges the fundamental flaw of the “policy counting method” prevalent in existing research [33].
- (2)
- H2: Different types of policies exert stronger targeted effects on their directly related output indicators. Here, a “targeted effect” is operationally defined as a policy mix designed for a specific objective (e.g., promoting sales, guiding production, or developing infrastructure) having a more significant impact on the corresponding output indicator for that objective (e.g., sales volume, production output, or number of charging piles).
- (3)
- H3: The impact of policy strength is subject to significant regional heterogeneity. Here, “regional heterogeneity” is operationally defined as the magnitude, and even the direction, of policy effects showing statistically significant differences contingent on key contextual factors of a province, such as its geographical location, level of economic development, and industrial base [38,39].
1.4. Contributions and Structure
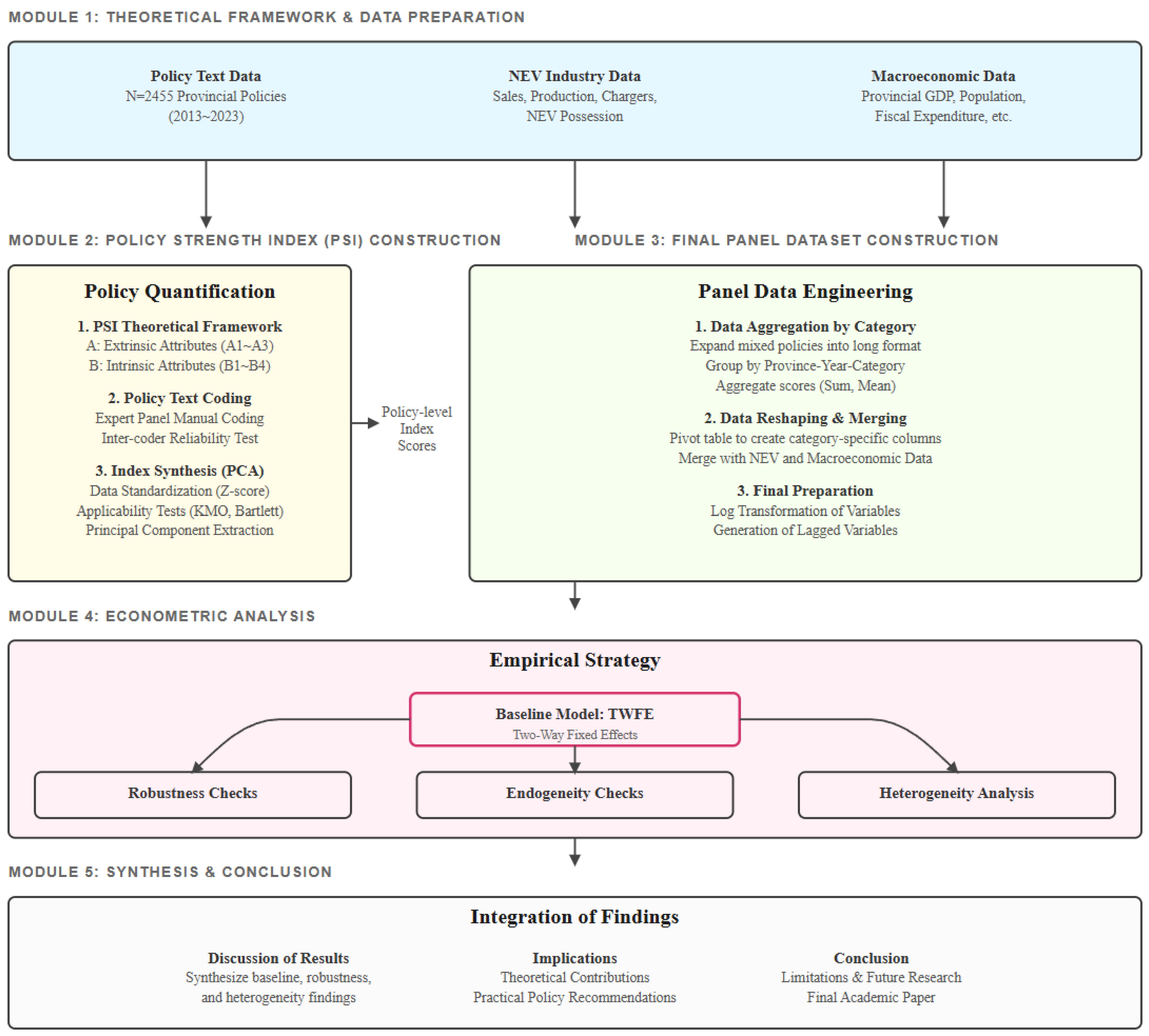
2. Research Design, Data, and Methods
2.1. Data Sources and Variable Definitions
2.1.1. Policy Text Data
2.1.2. Dependent Variables and Control Variables
2.2. Analytical Framework of the Policy Strength Index (PSI)
2.2.1. Theoretical Framework and Indicator System for Index Construction
2.2.2. Indicator Quantification and Data Processing
2.2.3. Index Synthesis: Objective Weighting Based on Principal Component Analysis (PCA)
2.3. Model Specification and Empirical Strategy
2.3.1. Benchmark Model: Two-Way Fixed Effects (TWFE)
- (1)
- Province-fixed effects (): This is a core advantage of the model. It effectively controls for all time-invariant intrinsic characteristics of a province, such as geographical location, resource endowments, political traditions, and cultural atmosphere. By including province-fixed effects, the model’s basis of comparison shifts from being “between provinces” to “within each province over time” (i.e., comparing a province to its own history), which significantly mitigates the endogeneity problem arising from omitted variables.
- (2)
- Year-fixed effects (): This effect controls for all factors that have a common impact on all provinces in the same year, such as national-level macroeconomic shocks, uniform national policy changes (e.g., the phase-out of national subsidies), or major technological breakthroughs. This ensures that the coefficients we estimate are attributable to differential provincial-level policies rather than to nationwide common trends.
2.3.2. Robustness and Endogeneity Test Strategy
2.3.3. Robustness and Endogeneity Test Strategy
3. Empirical Results
3.1. Descriptive Statistics and PCA Results
3.1.1. Descriptive Statistics
3.1.2. Principal Component Analysis
- (1)
- PC1: Substantive-Driving Policy
- (2)
- PC2: High-Level Authoritative Policy
- (3)
- PC3: Coordinative-Programmatic Policy
3.2. Baseline Regression Analysis
3.2.1. Analytical Strategy
3.2.2. Analysis of the Impact of Policy Strength on Domain-Specific Outputs
3.3. Robustness Checks
3.3.1. Design of the Robustness Checks
3.3.2. Robustness Check Results and Analysis
3.4. Endogeneity Test
3.4.1. Construction and Theoretical Basis of Instrumental Variables
- (1)
- Geographical and spatial spillover effects: This class of IVs is based on the theories of “policy diffusion” and “yardstick competition,” which posit that a province’s policymaking is influenced by its geographical neighbors [42]. We construct the average of neighboring provinces’ policies (IV_NeighborAvg), the sum of neighboring provinces’ policies (IV_NeighborSum), the lagged average of neighboring provinces’ policies (IV_NeighborLag), and the policy of the best-performing neighbor (IV_BestNeighbor). It must be acknowledged that the exogeneity of such spatial instruments is not perfect. The core challenge lies in the “exclusion restriction”, as it is difficult to completely rule out the possibility that neighboring provinces’ policies directly affect the home province’s market through channels other than policy diffusion, such as regional supply chain integration or cross-province consumption. Nevertheless, this remains one of the most commonly used and widely accepted identification strategies in current macroeconomic policy evaluation.
- (2)
- Central-local interactions and institutional arrangements: This class of IVs is based on China’s unique central-local relations and institutional context. We construct a classic Bartik instrument (IV_Bartik) (an interaction term between a province’s share of the national automobile industry output value in 2010 and the number of central-level NEV policies in a given year), the count of central-level policies (IV_National_Count), and a trend variable for pilot provinces based on the “Ten Cities, One Thousand Vehicles” demonstration program (IV_Pilot_Trend) [65].
- (3)
- Intra-provincial political structure: We construct instruments based on the policy strength of the provincial capital city (IV_Capital_PC1, IV_Capital_PC2, IV_Capital_PC3). The logic is that the policy direction of the provincial capital, as the political center, often leads or reflects the policy orientation of the entire province.
3.4.2. First-Stage Test: The Pervasive Weak Instrument Problem
3.4.3. Addressing Weak Instruments: Contradictory Results from 2SLS and LIML Estimations
- (1)
- Highly unstable and contradictory estimates: A striking phenomenon is observed in Table 16: in all five models, the signs of the 2SLS and LIML estimated coefficients are completely opposite. For instance, in Model (1) and Model (4), which have the highest F-statistics, 2SLS yields weakly significant or significant positive coefficients, whereas the LIML estimates—which are more robust to weak IVs—are negative and much larger in absolute value.
- (2)
- Significant p-values are illusory: In Model (4), 2SLS produces a result that is highly statistically significant (p = 0.011). However, given that the corresponding LIML result has the opposite sign and is entirely insignificant, this significant p-value is almost certainly a case of spurious inference caused by a weak instrument and carries no meaningful economic interpretation.
- (3)
- Overall failure of the IV strategy: The vast differences and complete contradiction in direction between the 2SLS and LIML results are classic symptoms of a total failure in estimation caused by weak instruments. This indicates that even the relatively best-performing instrumental variables are far from adequate for making reliable causal inferences. We cannot select any single result from this analysis to either support or refute the findings of the baseline model.
3.4.4. Summary of the Endogeneity Test
3.5. Heterogeneity Analysis
3.5.1. Dimensions and Methods for Heterogeneity Analysis
- (1)
- Geographic region: Following the official standards of China’s National Bureau of Statistics (NBS), we divide the 31 provincial-level administrative units into four major regions: Eastern, Central, Western, and Northeastern. This is intended to test whether policy effects are influenced by macro-level factors such as national regional development strategies, degree of marketization, level of foreign exposure, and geographical location.
- (2)
- Economic development level: To avoid endogeneity (i.e., the current year’s economic level could be influenced by the current year’s policies), we use the per capita gross regional product at the beginning of the sample period (2016) as the basis for division. We rank the 31 provinces by this indicator and divide them into three equal groups (terciles): high-income, middle-income, and low-income. This aims to test whether policy effectiveness is contingent on the local economic base, residents’ purchasing power, market maturity, and governmental fiscal capacity.
- (3)
- Industrial foundation: Based on historical data of each province’s automobile industry output value in 2010, we classify the provinces into three groups: those with a strong, medium, or weak automobile industry. This dimension is used to examine whether a locality’s industrial endowment and historical path dependence moderate policy effectiveness.
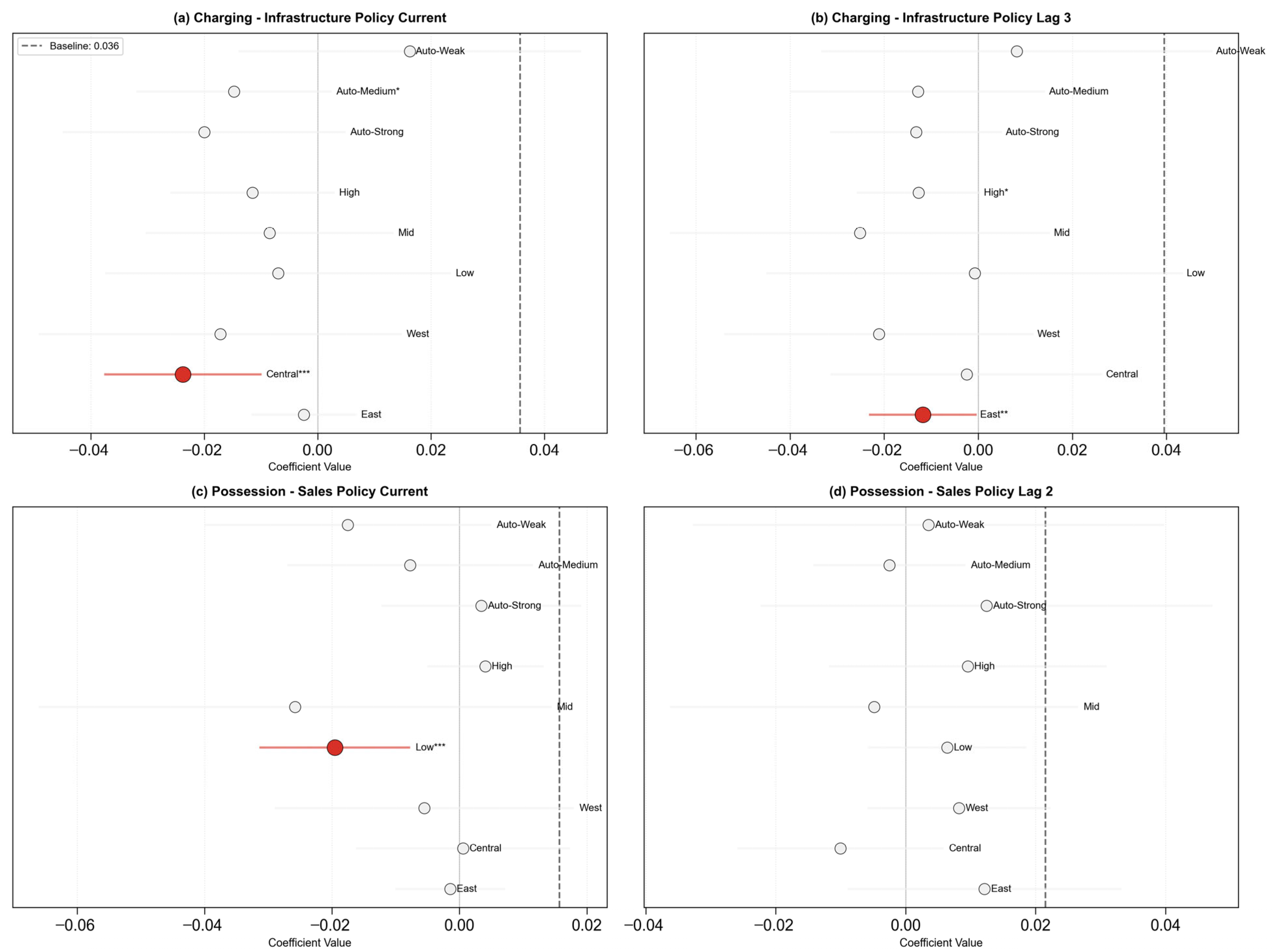
3.5.2. Heterogeneity Analysis Results
- (1)
- The negative effect on charging poles is concentrated in the Central and Eastern regions. The heterogeneity analysis clarifies the source of the negative effect of coordinative-programmatic policies (PC3) on charging pole construction that was identified in the baseline regression. As shown in the coefficient plot (Figure 3), this negative effect is primarily concentrated in the Eastern region (coefficient = −0.012, p < 0.05). Similarly, the negative effect of high-level authoritative policies (PC2) on charging poles is most pronounced in the Central region (coefficient = −0.024, p < 0.01). This suggests that for infrastructure like charging poles, which have long investment return cycles, grand plans or authoritative directives may easily become detached from market realities, thereby producing an inhibitory effect. This is particularly true in the Central region, which faces significant economic transition pressure but has a lower degree of marketization than the East, and in the Eastern region, where factor costs are extremely high.
- (2)
- The positive effects on NEV stock and sales are more pronounced in high-income provinces and those with a strong automobile industry. The promotional effect of policy on market development clearly exhibits a “Matthew effect” where the strong grow stronger. The positive impact of substantive-driving policies (PC1) on NEV stock is almost entirely concentrated in provinces with a strong auto industry (coefficient = 0.009, p < 0.01), while being insignificant in other provinces. Likewise, the effect of this policy on sales is most significant in high-income regions (coefficient = 0.008, p < 0.05) and in provinces with a strong auto industry (coefficient = 0.018, p < 0.01). This indicates that in regions with a solid industrial foundation and stronger consumer purchasing power, powerful incentive policies can be more effectively translated into growth in both the stock and flow of the market.
- (3)
- Insights from the Heatmap: A “Central Collapse” and Western Opportunities. The heatmap in Figure 4 provides a more comprehensive regional picture of policy effectiveness. The large red areas in the map (especially in the Central and middle-income regions) indicate that many policies that appear effective at the national level are substantially less effective, or even have negative effects, in these specific regions. For example, regarding charging pole construction, the effectiveness of nearly all policy types is significantly worse than the national average in Central and low-to-middle-income regions. In stark contrast, the few blue areas on the map identify the “sweet spots” where policies achieve their maximum utility. Most notably, the positive effect of production-side coordinative-programmatic policies (PC3) on production is greatly enhanced in the Western region (a 121% increase in the coefficient relative to the baseline). This may be highly consistent with the strategic need of the Western region to undertake industrial transfers and develop emerging industries.
3.5.3. Testing Heterogeneity Mechanisms: Interaction Effect Analysis
- Per Capita GDP (log_PerCapitaGDP): The logarithm of per capita gross regional product is used to directly measure the local level of economic development and the average purchasing power of residents.
- Industrial Structure (Share_SecondaryIndustry): The share of the value-added of the secondary industry in the gross regional product is used as a proxy for a region’s level of industrialization and traditional industrial base.
- Commercial Factor Cost (log_LandCost_Proxy): The logarithm of the “average sales price of commercial business buildings” is used as a proxy variable to reflect the factor costs of local commercial activities.
- Provincial Fiscal Space (Fiscal_Expenditure): The logarithm of local government general budgetary expenditure is used as a proxy for the local government’s capacity to translate policy intentions into actual public resource investment.
- Regional Electricity Load (log_PowerConsumption_Proxy): The logarithm of the “total electricity consumption of the whole society” is used as a proxy for the grid capacity, reflecting the actual electricity demand and load level in the region.
- Share of SOE Assets in Industry (SOE_AssetShare_Proxy): Calculated by dividing the “total assets of state-controlled industrial enterprises” by the “total assets of industrial enterprises above a designated size,” this serves as a proxy for the influence of the state-owned economy in the local industrial system.
3.5.4. Summary of the Heterogeneity Analysis
4. Discussion
4.1. Consolidation and Interpretation of Core Findings
4.2. Theoretical Contributions and Academic Dialogue
4.3. Practical and Policy Implications
5. Conclusions
5.1. Research Summary
5.2. Limitations and Future Research
Author Contributions
Funding
Data Availability Statement
Conflicts of Interest
Appendix A. Lexicon of Key Terms (Action Intensity, Resource Support, and Quantification)
| Category | Core Vocabulary |
|---|---|
| Mandates & Prohibitions | without exception, must, shall not, not be granted, no longer, strictly prohibit, prohibit, stop, cancel, eliminate, repeal, suspend, investigate and hold accountable, recover (funds), investigate and prosecute, penalize, rectify, order, compel, suppress/ban, confiscate, revoke, severe penalties, handle seriously, non-transferable, duplicate applications forbidden, arbitrary adjustments prohibited, rectify within a prescribed period, strictly, severely punish, investigate and prosecute in accordance with the law, resolutely eliminate, impose heavier penalties, suspend implementation, cease implementation |
| Supervision & Management | supervision, management, inspection, review, examination, verification, audit, assessment, monitoring, evaluation, urge, coordinate (holistically), coordinate, guide, control, for the record, report, submit for review, public disclosure, announce, make public, registration, confirmation, accreditation, approval, validation, verification, final approval, deliberation, supervision and management, strict review, dynamic monitoring, strict gatekeeping, strengthen supervision and inspection, strengthen regulation, information reporting, establish a clear baseline, tracking, follow-up inspection, spot check, patrol, acceptance inspection, validation, testing, inspection, gatekeeping, consultation |
| Promotion & Enhancement | promote, advance, accelerate, strengthen, deepen, elevate, improve, optimize, perfect, ensure, guarantee, implement, effectively manage, expedite, earnestly, vigorously, actively, comprehensively, continuously, highlight, focus on, maintain, consolidate, develop, strengthen (grow), accelerate construction, accelerate promotion, comprehensively advance, vigorously promote, actively promote, solidly advance, rigorously manage, focus on, continuously improve, enrich, enhance, expand, continuously optimize, continuously strengthen, further promote, fully advance, advance in an orderly manner, steadily, radiate and drive, tackle key problems, breakthrough |
| Incentives & Support | encourage, support, prioritize, guide, advocate, recommend, reward, grant, subsidize, aid, provide preferential (treatment), reduce or exempt, give preferential treatment to, cultivate, demonstrate, lead, assist, help, serve, connect, attract, introduce, be entitled to, strive for, priority support, priority arrangement, strong support, active support, priority guarantee, priority processing, priority procurement, full assistance, synergistic cooperation, facilitate, empower, open, relax (restrictions), liberalize, permit, approve |
| Regulation & Execution | regulate, execute, implement, carry out, establish, formulate, set up, construct, deploy, arrange, clarify, unify, follow, abide by, refer to, fulfill, undertake, be responsible for, handle, resolve, address, adopt, trial implementation, explore, innovate, pilot, carry out, apply, in accordance with, execute in accordance with, research and formulate, organize and implement, strictly execute, conscientiously implement, implement and fulfill, establish and improve, scientifically formulate, coordinate and advance, in conjunction with, action, issue, promulgate, print and distribute, publish |
| Category | Core Vocabulary |
|---|---|
| Finance & Funding | funds, finance, subsidy, reward, reward and subsidy, grant, budget, funding, fund, bond, loan, financing, interest subsidy, taxation, tax reduction and exemption, consumption voucher, special-purpose fund, matching fund, seed fund, social capital, financial support, funding guarantee, special subsidy, financial reward and subsidy, credit, guarantee, insurance, equity, option, fiscal appropriation, operational subsidy, construction grant, R&D subsidy, purchase subsidy, subsidized loan, government procurement, government investment, industrial fund, venture capital fund, risk capital, capital fund, pledge financing, financial leasing, financial support, green credit, green bond, special-purpose bond, corporate bond, enterprise bond, credit investment, credit product, supply chain finance, fiscal interest subsidy, employment stabilization refund, public funds, project funding, earmarked funds, post-subsidy |
| Land & Facilities | land, land use, planning, infrastructure, charging pile, parking lot, hydrogen refueling station, power grid, factory building, industrial park, public facility, supporting facility, space, quota/indicator, supply, allocation, expropriation, compensation, land use guarantee, land supply, construction land, charging facility, power distribution network, station, base station, pipeline network, laboratory, incubator, co-working space, public service platform, environmental protection facility, sewage treatment, warehousing, logistics, transportation support, network, data center, territorial spatial planning, detailed regulatory plan, annual construction plan, land use procedures, land use quota, temporary public parking lot, charging infrastructure, grid connection project, capacity expansion and renovation, independent electricity meter, dedicated parking space, office space, staff apartment, talent apartment, transitional housing |
| Talent & Technology | talent, team, expert, technology, research and development (R&D), scientific research, training, intellectual property, skills, platform, laboratory, innovation center, industry-academia-research collaboration, workstation, introduction, cultivation, agglomeration, high-level talent, technical personnel, R&D team, skills training, talent apartment, talent policy, settling-in allowance, living subsidy, technology equity participation, technology R&D, science and technology innovation, scientific research institute, standard, patent, certification, testing, inspection, expert database, professional and technical personnel, talent team development, industry-academia-research cooperation, technical and managerial measures, R&D platform, high-level innovation team, vocational skill level, professional testing equipment, R&D institution, scientific research funding, project funding, technology center, high and new technology, online monitoring device |
| Policy & Services | policy, service, support/guarantee, approval, license, qualification, standard, green channel, government procurement, information platform, one-stop service, procedure handling, factor endowment guarantee, environment, system, mechanism, policy support, service platform, coordination mechanism, joint conference, special task force, leading group, market access, fair competition, credit system, law, regulation, institution, emergency plan, safety management, publicity, promotion, preferential policy, support policy, headquarters economy policy, price policy, preferential electricity price, preferential parking fee, preferential toll fee, market regulation, information system, written materials, letter of commitment, contract, agreement, consultation, matchmaking, consultation mechanism, logistical support, security guarantee, emergency response force |
| Category of Quantitative Units | Example Units (Captured by Regular Expression) |
|---|---|
| Monetary & Financial | yuan, ten thousand, hundred million, % |
| Entities & Quantities | unit(s), vehicles, structures, establishments |
| Time & Cycles | year, month, day, hour, minute |
| Physical & Energy | kilometer (km), degree (kWh), kilowatt (kW), megawatt (MW), GW, MW, kW |
Appendix B. Complete First-Stage Regression Results for the Instrumental Variable Approach
| Model Name | Dependent Variable | Endogenous Variable | Instrumental Variable | Sample Size | First-Stage F-Statistic | Weak Instrument (F < 10) |
|---|---|---|---|---|---|---|
| Panel A: Models for the Effect on Charging Pile Stock (log_Chargers) | ||||||
| Charging_PC2_contemp_neighbor_avg | Charging Pile Stock | Infrastructure-side-High-level Authoritative Policy (PC2) | Average of neighboring provinces | 240 | 1.07 | Yes |
| Charging_PC2_contemp_pilot_trend | Charging Pile Stock | Infrastructure-side-High-level Authoritative Policy (PC2) | Trend of pilot provinces | 248 | 2.16 | Yes |
| Charging_PC2_contemp_neighbor_sum | Charging Pile Stock | Infrastructure-side-High-level Authoritative Policy (PC2) | Sum of neighboring provinces | 240 | 3.04 | Yes |
| Charging_PC2_contemp_optimal_neighbor | Charging Pile Stock | Infrastructure-side-High-level Authoritative Policy (PC2) | Optimal neighbor | 240 | 0.03 | Yes |
| Charging_PC2_contemp_neighbor_lag | Charging Pile Stock | Infrastructure-side-High-level Authoritative Policy (PC2) | Lagged value of neighboring provinces | 240 | 1.06 | Yes |
| Charging_PC2_contemp_Bartik | Charging Pile Stock | Infrastructure-side-High-level Authoritative Policy (PC2) | Bartik | 240 | 0.34 | Yes |
| Charging_PC2_contemp_capital_PC1 | Charging Pile Stock | Infrastructure-side-High-level Authoritative Policy (PC2) | Provincial capital policy PC1 | 248 | 1.74 | Yes |
| Charging_PC2_contemp_capital_PC2 | Charging Pile Stock | Infrastructure-side-High-level Authoritative Policy (PC2) | Provincial capital policy PC2 | 248 | 1.74 | Yes |
| Charging_PC2_contemp_capital_PC3 | Charging Pile Stock | Infrastructure-side-High-level Authoritative Policy (PC2) | Provincial capital policy PC3 | 248 | 1.74 | Yes |
| Charging_PC2_contemp_central_policy | Charging Pile Stock | Infrastructure-side-High-level Authoritative Policy (PC2) | Number of central government policies | 248 | 0.08 | Yes |
| Charging_PC3_lag2_neighbor_avg | Charging Pile Stock | Infrastructure-side-Coordinative-Programmatic Policy (PC3)—lagged 2 periods | Average of neighboring provinces | 240 | 3.84 | Yes |
| Charging_PC3_lag2_pilot_trend | Charging Pile Stock | Infrastructure-side-Coordinative-Programmatic Policy (PC3)—lagged 2 periods | Trend of pilot provinces | 248 | 0.21 | Yes |
| Charging_PC3_lag2_neighbor_sum | Charging Pile Stock | Infrastructure-side-Coordinative-Programmatic Policy (PC3)—lagged 2 periods | Sum of neighboring provinces | 240 | 1.90 | Yes |
| Charging_PC3_lag2_optimal_neighbor | Charging Pile Stock | Infrastructure-side-Coordinative-Programmatic Policy (PC3)—lagged 2 periods | Optimal neighbor | 240 | 0.16 | Yes |
| Charging_PC3_lag2_neighbor_lag | Charging Pile Stock | Infrastructure-side-Coordinative-Programmatic Policy (PC3)—lagged 2 periods | Lagged value of neighboring provinces | 240 | 0.11 | Yes |
| Charging_PC3_lag2_Bartik | Charging Pile Stock | Infrastructure-side-Coordinative-Programmatic Policy (PC3)—lagged 2 periods | Bartik | 240 | 2.56 | Yes |
| Charging_PC3_lag2_capital_PC1 | Charging Pile Stock | Infrastructure-side-Coordinative-Programmatic Policy (PC3)—lagged 2 periods | Provincial capital policy PC1 | 248 | 1.72 | Yes |
| Charging_PC3_lag2_capital_PC2 | Charging Pile Stock | Infrastructure-side-Coordinative-Programmatic Policy (PC3)—lagged 2 periods | Provincial capital policy PC2 | 248 | 1.72 | Yes |
| Charging_PC3_lag2_capital_PC3 | Charging Pile Stock | Infrastructure-side-Coordinative-Programmatic Policy (PC3)—lagged 2 periods | Provincial capital policy PC3 | 248 | 1.72 | Yes |
| Charging_PC3_lag2_central_policy | Charging Pile Stock | Infrastructure-side-Coordinative-Programmatic Policy (PC3)—lagged 2 periods | Number of central government policies | 248 | 0.08 | Yes |
| Charging_PC3_lag3_neighbor_avg | Charging Pile Stock | Infrastructure-side-Coordinative-Programmatic Policy (PC3)—lagged 3 periods | Average of neighboring provinces | 240 | 9.16 | Yes |
| Charging_PC3_lag3_pilot_trend | Charging Pile Stock | Infrastructure-side-Coordinative-Programmatic Policy (PC3)—lagged 3 periods | Trend of pilot provinces | 248 | 0.06 | Yes |
| Charging_PC3_lag3_neighbor_sum | Charging Pile Stock | Infrastructure-side-Coordinative-Programmatic Policy (PC3)—lagged 3 periods | Sum of neighboring provinces | 240 | 5.73 | Yes |
| Charging_PC3_lag3_optimal_neighbor | Charging Pile Stock | Infrastructure-side-Coordinative-Programmatic Policy (PC3)—lagged 3 periods | Optimal neighbor | 210 | 0.12 | Yes |
| Charging_PC3_lag3_neighbor_lag | Charging Pile Stock | Infrastructure-side-Coordinative-Programmatic Policy (PC3)—lagged 3 periods | Lagged value of neighboring provinces | 210 | 0.73 | Yes |
| Charging_PC3_lag3_Bartik | Charging Pile Stock | Infrastructure-side-Coordinative-Programmatic Policy (PC3)—lagged 3 periods | Bartik | 240 | 4.61 | Yes |
| Charging_PC3_lag3_capital_PC1 | Charging Pile Stock | Infrastructure-side-Coordinative-Programmatic Policy (PC3)—lagged 3 periods | Provincial capital policy PC1 | 248 | 0.43 | Yes |
| Charging_PC3_lag3_capital_PC2 | Charging Pile Stock | Infrastructure-side-Coordinative-Programmatic Policy (PC3)—lagged 3 periods | Provincial capital policy PC2 | 248 | 0.43 | Yes |
| Charging_PC3_lag3_capital_PC3 | Charging Pile Stock | Infrastructure-side-Coordinative-Programmatic Policy (PC3)—lagged 3 periods | Provincial capital policy PC3 | 248 | 0.43 | Yes |
| Charging_PC3_lag3_central_policy | Charging Pile Stock | Infrastructure-side-Coordinative-Programmatic Policy (PC3)—lagged 3 periods | Number of central government policies | 248 | 0.43 | Yes |
| Possession_PC2_sales_contemp_neighbor_avg | NEV Possession | Sales-side-High-level Authoritative Policy (PC2) | Average of neighboring provinces | 210 | 3.44 | Yes |
| Possession_PC2_sales_contemp_pilot_trend | NEV Possession | Sales-side-High-level Authoritative Policy (PC2) | Trend of pilot provinces | 217 | 0.90 | Yes |
| Possession_PC2_sales_contemp_neighbor_sum | NEV Possession | Sales-side-High-level Authoritative Policy (PC2) | Sum of neighboring provinces | 210 | 5.32 | Yes |
| Possession_PC2_sales_contemp_optimal_neighbor | NEV Possession | Sales-side-High-level Authoritative Policy (PC2) | Optimal neighbor | 210 | 0.92 | Yes |
| Possession_PC2_sales_contemp_neighbor_lag | NEV Possession | Sales-side-High-level Authoritative Policy (PC2) | Lagged value of neighboring provinces | 210 | 1.85 | Yes |
| Possession_PC2_sales_contemp_Bartik | NEV Possession | Sales-side-High-level Authoritative Policy (PC2) | Bartik | 210 | 0.13 | Yes |
| Possession_PC2_sales_contemp_capital_PC1 | NEV Possession | Sales-side-High-level Authoritative Policy (PC2) | Provincial capital policy PC1 | 217 | 1.37 | Yes |
| Possession_PC2_sales_contemp_capital_PC2 | NEV Possession | Sales-side-High-level Authoritative Policy (PC2) | Provincial capital policy PC2 | 217 | 1.37 | Yes |
| Possession_PC2_sales_contemp_capital_PC3 | NEV Possession | Sales-side-High-level Authoritative Policy (PC2) | Provincial capital policy PC3 | 217 | 1.37 | Yes |
| Possession_PC2_sales_contemp_central_policy | NEV Possession | Sales-side-High-level Authoritative Policy (PC2) | Number of central government policies | 217 | 0.15 | Yes |
| Possession_PC2_infra_lag1_neighbor_avg | NEV Possession | Infrastructure-side-High-level Authoritative Policy (PC2)—lagged 1 period | Average of neighboring provinces | 210 | 1.20 | Yes |
| Possession_PC2_infra_lag1_pilot_trend | NEV Possession | Infrastructure-side-High-level Authoritative Policy (PC2)—lagged 1 period | Trend of pilot provinces | 217 | 4.39 | Yes |
| Possession_PC2_infra_lag1_neighbor_sum | NEV Possession | Infrastructure-side-High-level Authoritative Policy (PC2)—lagged 1 period | Sum of neighboring provinces | 210 | 3.51 | Yes |
| Possession_PC2_infra_lag1_optimal_neighbor | NEV Possession | Infrastructure-side-High-level Authoritative Policy (PC2)—lagged 1 period | Optimal neighbor | 210 | 0.00 | Yes |
| Possession_PC2_infra_lag1_neighbor_lag | NEV Possession | Infrastructure-side-High-level Authoritative Policy (PC2)—lagged 1 period | Lagged value of neighboring provinces | 210 | 1.52 | Yes |
| Possession_PC2_infra_lag1_Bartik | NEV Possession | Infrastructure-side-High-level Authoritative Policy (PC2)—lagged 1 period | Bartik | 210 | 0.44 | Yes |
| Possession_PC2_infra_lag1_capital_PC1 | NEV Possession | Infrastructure-side-High-level Authoritative Policy (PC2)—lagged 1 period | Provincial capital policy PC1 | 217 | 0.18 | Yes |
| Possession_PC2_infra_lag1_capital_PC2 | NEV Possession | Infrastructure-side-High-level Authoritative Policy (PC2)—lagged 1 period | Provincial capital policy PC2 | 217 | 0.18 | Yes |
| Possession_PC2_infra_lag1_capital_PC3 | NEV Possession | Infrastructure-side-High-level Authoritative Policy (PC2)—lagged 1 period | Provincial capital policy PC3 | 217 | 0.18 | Yes |
| Possession_PC2_infra_lag1_central_policy | NEV Possession | Infrastructure-side-High-level Authoritative Policy (PC2)—lagged 1 period | Number of central government policies | 217 | 0.18 | Yes |
| Possession_PC1_sales_lag2_neighbor_avg | NEV Possession | Sales-side-Substantive Driving Policy (PC1)—lagged 2 periods | Average of neighboring provinces | 210 | 0.26 | Yes |
| Possession_PC1_sales_lag2_pilot_trend | NEV Possession | Sales-side-Substantive Driving Policy (PC1)—lagged 2 periods | Trend of pilot provinces | 217 | 1.17 | Yes |
| Possession_PC1_sales_lag2_neighbor_sum | NEV Possession | Sales-side-Substantive Driving Policy (PC1)—lagged 2 periods | Sum of neighboring provinces | 210 | 0.00 | Yes |
| Possession_PC1_sales_lag2_optimal_neighbor | NEV Possession | Sales-side-Substantive Driving Policy (PC1)—lagged 2 periods | Optimal neighbor | 210 | 0.00 | Yes |
| Possession_PC1_sales_lag2_neighbor_lag | NEV Possession | Sales-side-Substantive Driving Policy (PC1)—lagged 2 periods | Lagged value of neighboring provinces | 210 | 1.06 | Yes |
| Possession_PC1_sales_lag2_Bartik | NEV Possession | Sales-side-Substantive Driving Policy (PC1)—lagged 2 periods | Bartik | 210 | 0.00 | Yes |
| Possession_PC1_sales_lag2_capital_PC1 | NEV Possession | Sales-side-Substantive Driving Policy (PC1)—lagged 2 periods | Provincial capital policy PC1 | 217 | 2.97 | Yes |
| Possession_PC1_sales_lag2_capital_PC2 | NEV Possession | Sales-side-Substantive Driving Policy (PC1)—lagged 2 periods | Provincial capital policy PC2 | 217 | 2.97 | Yes |
| Possession_PC1_sales_lag2_capital_PC3 | NEV Possession | Sales-side-Substantive Driving Policy (PC1)—lagged 2 periods | Provincial capital policy PC3 | 217 | 2.97 | Yes |
| Possession_PC1_sales_lag2_central_policy | NEV Possession | Sales-side-Substantive Driving Policy (PC1)—lagged 2 periods | Number of central government policies | 217 | 0.23 | Yes |
| Possession_PC3_sales_lag2_neighbor_avg | NEV Possession | Sales-side-Coordinative-Programmatic Policy (PC3)—lagged 2 periods | Average of neighboring provinces | 210 | 9.07 | Yes |
| Possession_PC3_sales_lag2_pilot_trend | NEV Possession | Sales-side-Coordinative-Programmatic Policy (PC3)—lagged 2 periods | Trend of pilot provinces | 217 | 0.48 | Yes |
| Possession_PC3_sales_lag2_neighbor_sum | NEV Possession | Sales-side-Coordinative-Programmatic Policy (PC3)—lagged 2 periods | Sum of neighboring provinces | 210 | 6.70 | Yes |
| Possession_PC3_sales_lag2_optimal_neighbor | NEV Possession | Sales-side-Coordinative-Programmatic Policy (PC3)—lagged 2 periods | Optimal neighbor | 210 | 1.70 | Yes |
| Possession_PC3_sales_lag2_neighbor_lag | NEV Possession | Sales-side-Coordinative-Programmatic Policy (PC3)—lagged 2 periods | Lagged value of neighboring provinces | 210 | 2.12 | Yes |
| Possession_PC3_sales_lag2_Bartik | NEV Possession | Sales-side-Coordinative-Programmatic Policy (PC3)—lagged 2 periods | Bartik | 210 | 1.83 | Yes |
| Possession_PC3_sales_lag2_capital_PC1 | NEV Possession | Sales-side-Coordinative-Programmatic Policy (PC3)—lagged 2 periods | Provincial capital policy PC1 | 217 | 0.05 | Yes |
| Possession_PC3_sales_lag2_capital_PC2 | NEV Possession | Sales-side-Coordinative-Programmatic Policy (PC3)—lagged 2 periods | Provincial capital policy PC2 | 217 | 0.05 | Yes |
| Possession_PC3_sales_lag2_capital_PC3 | NEV Possession | Sales-side-Coordinative-Programmatic Policy (PC3)—lagged 2 periods | Provincial capital policy PC3 | 217 | 0.05 | Yes |
| Possession_PC3_sales_lag2_central_policy | NEV Possession | Sales-side-Coordinative-Programmatic Policy (PC3)—lagged 2 periods | Number of central government policies | 217 | 0.14 | Yes |
| Possession_PC3_sales_lag3_neighbor_avg | NEV Possession | Sales-side-Coordinative-Programmatic Policy (PC3)—lagged 3 periods | Average of neighboring provinces | 210 | 3.06 | Yes |
| Possession_PC3_sales_lag3_pilot_trend | NEV Possession | Sales-side-Coordinative-Programmatic Policy (PC3)—lagged 3 periods | Trend of pilot provinces | 217 | 0.30 | Yes |
| Possession_PC3_sales_lag3_neighbor_sum | NEV Possession | Sales-side-Coordinative-Programmatic Policy (PC3)—lagged 3 periods | Sum of neighboring provinces | 210 | 1.78 | Yes |
| Possession_PC3_sales_lag3_optimal_neighbor | NEV Possession | Sales-side-Coordinative-Programmatic Policy (PC3)—lagged 3 periods | Optimal neighbor | 210 | 2.18 | Yes |
| Possession_PC3_sales_lag3_neighbor_lag | NEV Possession | Sales-side-Coordinative-Programmatic Policy (PC3)—lagged 3 periods | Lagged value of neighboring provinces | 210 | 1.59 | Yes |
| Possession_PC3_sales_lag3_Bartik | NEV Possession | Sales-side-Coordinative-Programmatic Policy (PC3)—lagged 3 periods | Bartik | 210 | 0.01 | Yes |
| Possession_PC3_sales_lag3_capital_PC1 | NEV Possession | Sales-side-Coordinative-Programmatic Policy (PC3)—lagged 3 periods | Provincial capital policy PC1 | 217 | 0.23 | Yes |
| Possession_PC3_sales_lag3_capital_PC2 | NEV Possession | Sales-side-Coordinative-Programmatic Policy (PC3)—lagged 3 periods | Provincial capital policy PC2 | 217 | 0.23 | Yes |
| Possession_PC3_sales_lag3_capital_PC3 | NEV Possession | Sales-side-Coordinative-Programmatic Policy (PC3)—lagged 3 periods | Provincial capital policy PC3 | 217 | 0.23 | Yes |
| Possession_PC3_sales_lag3_central_policy | NEV Possession | Sales-side-Coordinative-Programmatic Policy (PC3)—lagged 3 periods | Number of central government policies | 217 | 0.36 | Yes |
| Production_PC3_lag2_neighbor_avg | NEV Production | Production-side-Coordinative-Programmatic Policy (PC3)—lagged 2 periods | Average of neighboring provinces | 180 | 0.08 | Yes |
| Production_PC3_lag2_pilot_trend | NEV Production | Production-side-Coordinative-Programmatic Policy (PC3)—lagged 2 periods | Trend of pilot provinces | 186 | 0.26 | Yes |
| Production_PC3_lag2_neighbor_sum | NEV Production | Production-side-Coordinative-Programmatic Policy (PC3)—lagged 2 periods | Sum of neighboring provinces | 180 | 0.28 | Yes |
| Production_PC3_lag2_optimal_neighbor | NEV Production | Production-side-Coordinative-Programmatic Policy (PC3)—lagged 2 periods | Optimal neighbor | 180 | 0.32 | Yes |
| Production_PC3_lag2_neighbor_lag | NEV Production | Production-side-Coordinative-Programmatic Policy (PC3)—lagged 2 periods | Lagged value of neighboring provinces | 180 | 0.14 | Yes |
| Production_PC3_lag2_Bartik | NEV Production | Production-side-Coordinative-Programmatic Policy (PC3)—lagged 2 periods | Bartik | 180 | 1.97 | Yes |
| Production_PC3_lag2_capital_PC1 | NEV Production | Production-side-Coordinative-Programmatic Policy (PC3)—lagged 2 periods | Provincial capital policy PC1 | 186 | 0.50 | Yes |
| Production_PC3_lag2_capital_PC2 | NEV Production | Production-side-Coordinative-Programmatic Policy (PC3)—lagged 2 periods | Provincial capital policy PC2 | 186 | 0.50 | Yes |
| Production_PC3_lag2_capital_PC3 | NEV Production | Production-side-Coordinative-Programmatic Policy (PC3)—lagged 2 periods | Provincial capital policy PC3 | 186 | 0.50 | Yes |
| Production_PC3_lag2_central_policy | NEV Production | Production-side-Coordinative-Programmatic Policy (PC3)—lagged 2 periods | Number of central government policies | 186 | 0.01 | Yes |
| Sales_PC1_sales_lag1_neighbor_avg | NEV Sales | Sales-side-Substantive Driving Policy (PC1)—lagged 1 period | Average of neighboring provinces | 240 | 0.00 | Yes |
| Sales_PC1_sales_lag1_pilot_trend | NEV Sales | Sales-side-Substantive Driving Policy (PC1)—lagged 1 period | Trend of pilot provinces | 248 | 0.45 | Yes |
| Sales_PC1_sales_lag1_neighbor_sum | NEV Sales | Sales-side-Substantive Driving Policy (PC1)—lagged 1 period | Sum of neighboring provinces | 240 | 0.04 | Yes |
| Sales_PC1_sales_lag1_optimal_neighbor | NEV Sales | Sales-side-Substantive Driving Policy (PC1)—lagged 1 period | Optimal neighbor | 240 | 0.00 | Yes |
| Sales_PC1_sales_lag1_neighbor_lag | NEV Sales | Sales-side-Substantive Driving Policy (PC1)—lagged 1 period | Lagged value of neighboring provinces | 240 | 1.03 | Yes |
| Sales_PC1_sales_lag1_Bartik | NEV Sales | Sales-side-Substantive Driving Policy (PC1)—lagged 1 period | Bartik | 240 | 0.01 | Yes |
| Sales_PC1_sales_lag1_capital_PC1 | NEV Sales | Sales-side-Substantive Driving Policy (PC1)—lagged 1 period | Provincial capital policy PC1 | 248 | 3.00 | Yes |
| Sales_PC1_sales_lag1_capital_PC2 | NEV Sales | Sales-side-Substantive Driving Policy (PC1)—lagged 1 period | Provincial capital policy PC2 | 248 | 3.00 | Yes |
| Sales_PC1_sales_lag1_capital_PC3 | NEV Sales | Sales-side-Substantive Driving Policy (PC1)—lagged 1 period | Provincial capital policy PC3 | 248 | 3.00 | Yes |
| Sales_PC1_sales_lag1_central_policy | NEV Sales | Sales-side-Substantive Driving Policy (PC1)—lagged 1 period | Number of central government policies | 248 | 0.18 | Yes |
| Sales_PC1_sales_lag2_neighbor_avg | NEV Sales | Sales-side-Substantive Driving Policy (PC1)—lagged 2 periods | Average of neighboring provinces | 240 | 2.56 | Yes |
| Sales_PC1_sales_lag2_pilot_trend | NEV Sales | Sales-side-Substantive Driving Policy (PC1)—lagged 2 periods | Trend of pilot provinces | 248 | 0.83 | Yes |
| Sales_PC1_sales_lag2_neighbor_sum | NEV Sales | Sales-side-Substantive Driving Policy (PC1)—lagged 2 periods | Sum of neighboring provinces | 240 | 2.01 | Yes |
| Sales_PC1_sales_lag2_optimal_neighbor | NEV Sales | Sales-side-Substantive Driving Policy (PC1)—lagged 2 periods | Optimal neighbor | 240 | 0.51 | Yes |
| Sales_PC1_sales_lag2_neighbor_lag | NEV Sales | Sales-side-Substantive Driving Policy (PC1)—lagged 2 periods | Lagged value of neighboring provinces | 240 | 0.04 | Yes |
| Sales_PC1_sales_lag2_Bartik | NEV Sales | Sales-side-Substantive Driving Policy (PC1)—lagged 2 periods | Bartik | 240 | 0.55 | Yes |
| Sales_PC1_sales_lag2_capital_PC1 | NEV Sales | Sales-side-Substantive Driving Policy (PC1)—lagged 2 periods | Provincial capital policy PC1 | 248 | 1.83 | Yes |
| Sales_PC1_sales_lag2_capital_PC2 | NEV Sales | Sales-side-Substantive Driving Policy (PC1)—lagged 2 periods | Provincial capital policy PC2 | 248 | 1.83 | Yes |
| Sales_PC1_sales_lag2_capital_PC3 | NEV Sales | Sales-side-Substantive Driving Policy (PC1)—lagged 2 periods | Provincial capital policy PC3 | 248 | 1.83 | Yes |
| Sales_PC1_sales_lag2_central_policy | NEV Sales | Sales-side-Substantive Driving Policy (PC1)—lagged 2 periods | Number of central government policies | 248 | 0.83 | Yes |
- PC1: Substantive-Driving Policy
- PC2: High-level Authoritative Policy
- PC3: Coordinative-Programmatic Policy
- Lagged X period(s): Indicates that the data for the policy variable has been lagged by X year(s).
References
- Meckling, J.; Nahm, J. The politics of technology bans: Industrial policy competition and green goals for the auto industry. Energy Policy 2019, 126, 470–479. [Google Scholar] [CrossRef]
- U.S.-China Economic and Security Review Commission. U.S.-China Competition in Emerging Technologies. In 2024 Annual Report to Congress; U.S. Government Publishing Office: Washington, DC, USA, 2024; pp. 169–270. Available online: https://www.uscc.gov/sites/default/files/2024-11/Chapter_3--U.S.-China_Competition_in_Emerging_Technologies.pdf (accessed on 22 August 2025).
- Warichet, J. A global shift to E-mobility on the way to net-zero by 2050. IET Conf. Proc. 2021, 2021, 28–47. [Google Scholar] [CrossRef]
- Meckling, J.; Nahm, J. When do states disrupt industries? Electric cars and the politics of innovation. Rev. Int. Polit. Econ. 2018, 25, 505–529. [Google Scholar] [CrossRef]
- Hou, X.; Li, P. Whose legitimacy? China’s drive for electric vehicles. Sociol. Dev. 2020, 6, 66–90. [Google Scholar] [CrossRef]
- The OGL Team. The Road to 2060: China’s Transformation to Carbon Neutrality. On Global Leadership. Available online: https://ongloballeadership.com/f/the-road-to-2060-china%E2%80%99s-transformation-to-carbon-neutrality (accessed on 22 July 2025).
- Mobility Notes. Roadmap for Net Zero GHG by 2050—Summary of the IEA Analysis. Available online: https://mobilitynotes.com/iea-roadmap-to-net-zero-by-2050/ (accessed on 22 August 2025).
- Dua, R. Net-zero transport dialogue: Emerging developments and the puzzles they present. Energy Sustain. Dev. 2024, 82, 101516. [Google Scholar] [CrossRef]
- Wang, Y.; Xu, W.; Hu, Q. Integration and coordination in the development of China’s new energy vehicle industry: Mechanisms and policy implications. China Econ. 2024, 19, 2–30. [Google Scholar] [CrossRef]
- Lin, J.Y.; Wang, Y. Seventy years of economic development: A review from the angle of new structural economics. China World Econ. 2020, 28, 26–50. [Google Scholar] [CrossRef]
- Li, T.; Ma, L.; Liu, Z.; Yi, C.; Liang, K. Dual Carbon Goal-Based Quadrilateral Evolutionary Game: Study on the New Energy Vehicle Industry in China. Int. J. Environ. Res. Public Health 2023, 20, 3217. [Google Scholar] [CrossRef]
- Discovery Alert. China’s NEV Sales Surge 40.3% in H1 2025: Market Analysis. Available online: https://discoveryalert.com.au/news/chinas-nev-market-growth-2025-sales-boom/ (accessed on 22 August 2025).
- Lam, A.; Mercure, J.-F. Which policy mixes are best for decarbonising passenger cars? Simulating interactions among taxes, subsidies and regulations for the United Kingdom, the United States, Japan, China, and India. Energy Res. Soc. Sci. 2021, 75, 101951. [Google Scholar] [CrossRef]
- Fan, B.; Wen, Z.; Qin, Q. Competition and cooperation mechanism of new energy vehicle policies in China’s key regions. Humanit. Soc. Sci. Commun. 2024, 11, 1640. [Google Scholar] [CrossRef]
- China Electric Vehicle Charging Infrastructure Promotion Alliance. National Electric Vehicle Charging and Battery Swapping Infrastructure Operation in 2024. Available online: https://www.evcipa.org.cn/newsinfo/8137834.html (accessed on 22 August 2025).
- Chu, Y.; He, H.; Cui, Z. Leading New Energy Vehicle Cities in China: The 2022 Market; International Council on Clean Transportation: Washington, DC, USA, 2024; Available online: https://theicct.org/wp-content/uploads/2024/03/ID-117-%E2%80%93-EV-cities_final-2-1.pdf (accessed on 22 July 2025).
- Zhang, M.; Rodríguez-Pose, A. Government reform and innovation performance in China. Pap. Reg. Sci. 2024, 103, 100023. [Google Scholar] [CrossRef]
- Teets, J.C. China’s Local Policymakers’ Strategic Adaptation to Political Centralization; Foreign Policy Research Institute: Philadelphia, PA, USA, 2024; Available online: https://www.fpri.org/wp-content/uploads/2024/03/32824-.pdf (accessed on 22 July 2025).
- Joshi, J. Do renewable portfolio standards increase renewable energy capacity? Evidence from the United States. J. Environ. Manag. 2021, 287, 112261. [Google Scholar] [CrossRef]
- Mullen, J.D.; Dong, L. Effects of state and federal policy on renewable electricity generation capacity in the United States. Energy Econ. 2022, 105, 105764. [Google Scholar] [CrossRef]
- Feldman, R.; Levinson, A. Renewable Portfolio Standards. Energy J. 2023, 44, 1–20. [Google Scholar] [CrossRef]
- Basseches, J.A. Who Pays for Environmental Policy? Business Power and the Design of State-Level Climate Policies. Politics Soc. 2024, 52, 409–451. [Google Scholar] [CrossRef]
- Haldar, S. A landscape level analysis of entrepreneurship and sustainable energy transitions: Evidences from Gujarat, India. Sustain. Dev. 2022, 30, 489–502. [Google Scholar] [CrossRef]
- Trachtman, S.; Inal, I.; Meckling, J. Building winning climate coalitions: Evidence from US states. Energy Policy 2025, 203, 114628. [Google Scholar] [CrossRef]
- Qin, S.; Xiong, Y. Differential impact of subsidised and nonsubsidized policies on the innovation of new energy vehicle enterprises: Evidence from China. Asian J. Technol. Innov. 2022, 31, 260–283. [Google Scholar] [CrossRef]
- Zhao, X.; Li, X.; Wu, Y.; Qiao, L.; Zhang, C. Assessment of the effects of China’s new energy vehicle industry policies: From the perspective of moderating effect of consumer characteristics. Environ. Dev. Sustain. 2025, 27, 4319–4340. [Google Scholar] [CrossRef]
- Justen, A.; Schippl, J.; Lenz, B.; Fleischer, T. Assessment of policies and detection of unintended effects: Guiding principles for the consideration of methods and tools in policy-packaging. Transp. Res. Part A Policy Pract. 2014, 60, 19–30. [Google Scholar] [CrossRef]
- Kong, D.; Xia, Q.; Xue, Y.; Zhao, X. Effects of multi policies on electric vehicle diffusion under subsidy policy abolishment in China: A multi-actor perspective. Appl. Energy 2020, 266, 114887. [Google Scholar] [CrossRef]
- Chriqui, J.F.; Piekarz-Porter, E.; Schermbeck, R.M.; Das, A. Assessing policy impacts on chronic disease risk reduction: The science and art of policy measurement and rating systems. Annu. Rev. Public Health 2025, 46, 331–348. [Google Scholar] [CrossRef] [PubMed]
- Migone, A.; Howlett, M. The purpose of policy portfolios: Design, intention, and logic. J. Public Policy 2024, 44, 809–825. [Google Scholar] [CrossRef]
- Xie, S.; Xiong, H.; Shang, L.; Bao, Y. Machine learning-facilitated policy intensity analysis: A proposed procedure and its application. Soc. Indic. Res. 2024, 174, 881–904. [Google Scholar] [CrossRef]
- Lawrence, L.M.; Fierlbeck, K.; McGrath, P.J.; Curran, J.A. An expert-generated tool for assessing policy capacity. Can. Public Adm. 2020, 63, 293–317. [Google Scholar] [CrossRef]
- Liu, Q.; Jia, M.; Xia, D. Dynamic evaluation of new energy vehicle policy based on text mining of PMC knowledge framework. J. Clean. Prod. 2023, 392, 136237. [Google Scholar] [CrossRef]
- Han, H.; Wang, Q.; Chen, C. Policy text analysis based on text mining and fuzzy cognitive map. In Proceedings of the 2019 15th International Conference on Computational Intelligence and Security (CIS), Macau, China, 13–16 December 2019; pp. 142–146. [Google Scholar] [CrossRef]
- Wang, C.; Wang, H.; Pan, J.; Li, J.; Wang, X. Decoding policy directives: An empirical study on the influence of central policy signals on local environmental regulation behavior. In E-Business: New Challenges and Opportunities for Digital-Enabled Intelligent Future, Proceedings of the 23rd Wuhan International Conference, WHICEB 2024, Wuhan, China, 24–26 May 2024; Tu, Y.P., Chi, M., Eds.; Lecture Notes in Business Information Processing; Springer: Cham, Switzerland, 2024; Volume 517, pp. 214–225. [Google Scholar] [CrossRef]
- Siar, S. The challenges and approaches of measuring research impact and influence on public policy making. Public Adm. Policy 2023, 26, 169–183. [Google Scholar] [CrossRef]
- Wang, Z.; Ju, Y. A nonlinear approach to assessing heterogeneous policy effects: An extended study of a multiphase difference-in-differences model. China J. Econom. 2022, 2, 533–547. [Google Scholar] [CrossRef]
- Ding, G.; Kang, N. The impact of digital financial inclusion on China’s regional disparities in the quality of economic development: Based on the relational data paradigm. Econ. Anal. Policy 2024, 81, 629–651. [Google Scholar] [CrossRef]
- Yuan, C.; Ren, S.; Han, Z.; Shang, M.; Hu, Z. Do national urban agglomeration policies reduce regional disparity? Evidence from nineteen urban agglomerations in China. Int. J. Urban Sci. 2024, 1–35. [Google Scholar] [CrossRef]
- Duke Global Health Institute. Core Guide: Dummy and Effect Coding in the Analysis of Factorial Designs; Duke University: Durham, NC, USA, 2020; Available online: https://sites.globalhealth.duke.edu/rdac/wp-content/uploads/sites/27/2020/08/Core-Guide_Dummy-and-Effect-Coding_16-03-20.pdf (accessed on 22 July 2025).
- Zhou, L. Promotion Tournaments—Literature Review and Future Directions. Q. J. Econ. Manag. 2022, 1, 1–34. [Google Scholar]
- Wu, Q. Breaking Local Protectionism to Smooth Domestic Circulation. Peking University, School of Economics. Available online: https://econ.pku.edu.cn/kxyj/cjsp/bdgjjjpl/365841.htm (accessed on 22 July 2025).
- Jiao, J. Sales forecast for new energy vehicles based on grey relevance analysis and a BP neural network. In Cyber Security Intelligence and Analytics, Proceedings of the 4th International Conference on Cyber Security Intelligence and Analytics (CSIA 2022), Shanghai, China, 18–19 March 2022; Xu, Z., Alrabaee, S., Loyola-Gonzalez, O., Zhang, X., Cahyani, N.D.W., Ab Rahman, N.H., Eds.; Lecture Notes on Data Engineering and Communications Technologies; Springer: Cham, Switzerland, 2022; Volume 123, pp. 846–852. [Google Scholar] [CrossRef]
- Alogdianakis, F.; Dimitriou, L. Optimal mechanism design of public policies for promoting electromobility: A dynamic programming formulation. Transp. Res. Interdiscip. Perspect. 2023, 19, 100807. [Google Scholar] [CrossRef]
- Xiong, Y.; Cheng, Q. Effects of new energy vehicle adoption on provincial energy efficiency in China: From the perspective of regional imbalances. Energy 2023, 281, 128324. [Google Scholar] [CrossRef]
- Dong, Y.; Wang, D.; Zeng, F.; Zhang, Y. A novel MADM model integrating hybrid information for evaluating the development prospects of urban new energy vehicles. PLoS ONE 2025, 20, e0314026. [Google Scholar] [CrossRef]
- Hassan, W.; Maletzke, A.; Batista, G. Accurately quantifying a billion instances per second. In Proceedings of the 2020 IEEE 7th International Conference on Data Science and Advanced Analytics (DSAA), Sydney, Australia, 6–9 October 2020; pp. 1–10. [Google Scholar] [CrossRef]
- Kaufmann, D.; Kraay, A. The Worldwide Governance Indicators: Methodology and 2024 Update; World Bank Policy Research Working Paper Series; The World Bank: Washington, DC, USA, 2024; Available online: https://www.worldbank.org/content/dam/sites/govindicators/doc/wgimethodologypaper.pdf (accessed on 22 July 2025).
- Richards, S. The Quiet Power of Indicators: Measuring Governance, Corruption and the Rule of Law Edited by Sally Engle Merry, Kevin E Davis and Benedict Kingsbury. Aust. J. Hum. Rights 2016, 22, 201–204. [Google Scholar] [CrossRef]
- Warren, J. How the structure of legal authority affects political inequality. Const. Polit. Econ. 2024, 35, 151–173. [Google Scholar] [CrossRef]
- Carmen, E.; Fazey, I.; Bergseng, A.M.; Om, E.S. Building policy synergies: A case of community resilience, climate change and community empowerment policies in Scotland. Environ. Sci. Policy 2023, 150, 103579. [Google Scholar] [CrossRef]
- McDonnell, L.M.; Elmore, R.F. Getting the Job Done: Alternative Policy Instruments. Educ. Eval. Policy Anal. 1987, 9, 133–152. [Google Scholar] [CrossRef]
- Marion, N.E.; Oliver, W.M. Symbolic politics, criminal justice policy, and third political party platforms. Crim. Justice Policy Rev. 2010, 21, 476–499. [Google Scholar] [CrossRef]
- Jung, C.S.; Lee, G. Goals, strategic planning, and performance in government agencies. Public Manag. Rev. 2013, 15, 787–815. [Google Scholar] [CrossRef]
- Zhang, X.; Iyer, G.; Xu, X.; Chong, J.K. Sunk cost effect, self-control, and contract design. J. Mark. Res. 2024, 61, 975–992. [Google Scholar] [CrossRef]
- Ayanso, A.; Chatterjee, D.; Cho, D.I. E-Government readiness index: A methodology and analysis. Gov. Inf. Q. 2011, 28, 522–532. [Google Scholar] [CrossRef]
- Olivas, M.J.; Camberos, M. The water poverty index for Mexico: A comparison with OECD countries. Entre Cienc. Ing. 2021, 15, 54–62. [Google Scholar] [CrossRef]
- Wu, T. Quantifying coastal flood vulnerability for climate adaptation policy using principal component analysis. Ecol. Indic. 2021, 129, 108006. [Google Scholar] [CrossRef]
- Bouchoucha, N.; Yahyaoui, I. Governance and Foreign Direct Investment: A Comparative Analysis Between Low and Middle Income African Countries; MPRA Paper No. 95944; University Library of Munich: Munich, Germany, 2019; Available online: https://mpra.ub.uni-muenchen.de/95944/1/MPRA_paper_95944.pdf (accessed on 22 July 2025).
- Broby, D.; Smyth, W. On the use of principal components analysis in index construction. Financ. Stat. J. 2025, 8, 10858. [Google Scholar] [CrossRef]
- Yang, S.; Wang, W.; Feng, D.; Lu, J. Impact of pilot environmental policy on urban eco-innovation. J. Clean. Prod. 2022, 341, 130858. [Google Scholar] [CrossRef]
- Liu, J.; Zhou, D.; Jiang, G. The implementation of China’s poverty alleviation policies has enhanced the diversity of the industrial structure. Econ. Anal. Policy 2025, 87, 446–462. [Google Scholar] [CrossRef]
- Grdinić-Rakonjac, M.; Pajković, V. The influence of different weighting schemes on the construction of the composite behaviour index. Transp. Res. Procedia 2023, 69, 85–90. [Google Scholar] [CrossRef]
- Henry, I.; Dowling, M.; Ko, L.-M.; Brown, P. Challenging the new orthodoxy: A critique of SPLISS and variable-oriented approaches to comparing sporting nations. Eur. Sport Manag. Q. 2020, 20, 520–536. [Google Scholar] [CrossRef]
- Sun, J.; Tian, M. Did China’s dual-credit policy promote innovation in new energy vehicle enterprises? An empirical study based on the PSM-DID method. Front. Environ. Econ. 2023, 2, 1173925. [Google Scholar] [CrossRef]
- Stock, J.H.; Yogo, M. Testing for weak instruments in linear IV regression. In Identification and Inference for Econometric Models: Essays in Honor of Thomas Rothenberg; Andrews, D.W.K., Stock, J.H., Eds.; Cambridge University Press: Cambridge, UK, 2005; pp. 80–108. [Google Scholar] [CrossRef]
- Vince, J.; Fudge, M.; Fullbrook, L.; Haward, M. Understanding policy integration through an integrative capacity framework. Policy Soc. 2024, 43, 381–395. [Google Scholar] [CrossRef]
- Findeisen, F.; Le Gales, P. Decentralization, Europeanization, State Restructuring, and the Politics of Instruments Accumulation: The Case of the French Housing Sector. Regul. Gov. 2025, in press. [Google Scholar] [CrossRef]
- Howlett, M.; Ramesh, M. Achilles’ heels of governance: Critical capacity deficits and their role in governance failures. Regul. Gov. 2016, 10, 301–313. [Google Scholar] [CrossRef]
- Wade, R. After the Crisis: Industrial Policy and the Developmental State in Low-Income Countries. Glob. Policy 2010, 1, 150–161. [Google Scholar] [CrossRef]
- Hodler, R. Industrial policy in an imperfect world. J. Dev. Econ. 2009, 90, 85–93. [Google Scholar] [CrossRef]
- Huang, Y. Between two coordination failures: Automotive industrial policy in China with a comparison to Korea. Rev. Int. Polit. Econ. 2002, 9, 538–573. [Google Scholar] [CrossRef]
- You, D.; Zhang, Y.; Yuan, B. Environmental regulation and firm eco-innovation: Evidence of moderating effects of fiscal decentralization and political competition from listed Chinese industrial companies. J. Clean. Prod. 2019, 207, 1072–1083. [Google Scholar] [CrossRef]
- Yi, M.; Guan, Y.; Wu, T.; Wen, L.; Lei, Y.; Xu, S. How does Chinese-style fiscal decentralization affect green technology innovation? Environ. Sci. Pollut. Res. 2023, 30, 46022–46037. [Google Scholar] [CrossRef]




| Variable | Definition | Time Span | Data Source |
|---|---|---|---|
| NEV Sales | Annual insured sales volume of new energy vehicles in each province | 2016–2023 | Souche Intelligence Cloud |
| NEV Production | Annual production volume of new energy vehicles in each province | 2018–2023 | Provincial Bureaus of Statistics, Statistical Yearbooks, government press releases, and authoritative media reports |
| Public Charging Pole Stock | Cumulative number of public charging poles in each province at year-end | 2016–2023 | China Electric Vehicle Charging Infrastructure Promotion Alliance (EVCIPA) |
| NEV Stock | Cumulative stock of new energy vehicles in each province at year-end | 2017–2023 | Provincial Bureaus of Statistics, Statistical Yearbooks, government press releases, and authoritative media reports |
| Variable | Definition | Unit |
|---|---|---|
| Per Capita GDP | Gross regional product/Year-end permanent population | Yuan/person |
| Fiscal Expenditure | General budgetary expenditure of the local government, reflecting its intervention capacity and public service level | 100 million Yuan |
| Secondary Industry Share | Value added of the secondary industry/Gross regional product | % |
| Tertiary Industry Share | Value added of the tertiary industry/Gross regional product | % |
| Electricity Generation | Reflects the regional energy supply capacity | 100 million kWh |
| Highway Mileage | Reflects the level of regional transportation infrastructure | 10,000 km |
| Per Capita Disposable Income | Reflects the purchasing power of residents | Yuan |
| Permanent Population | Year-end permanent population, reflecting the regional market size | 10,000 persons |
| Household Car Ownership | Average number of household cars owned per 100 households at year-end | Vehicles/100 households |
| Dimension | Indicator Name | Definition & Measurement Logic | Theoretical Basis & Importance |
|---|---|---|---|
| A. Extrinsic Attributes | A1. Issuing Body Authority | Measures the administrative rank of the policy-issuing body. For documents jointly issued by multiple departments, the rank of the highest-level body is adopted. | The efficacy of a policy is rooted in the “legal-rational authority” of its issuing body. Directives from higher-level authorities possess greater mobilization capacity and binding force within the bureaucratic system, forming the fundamental source of policy strength [50]. |
| A2. Joint Issuance Breadth | Measures the number of departments participating in the joint issuance of a policy, processed using a logarithmic transformation. | The breadth of joint issuance reflects the degree of inter-departmental coordination and the consensus basis of the policy. It embodies the advantages of “collaborative governance” and can effectively overcome departmental obstacles during implementation to form policy synergy [51]. | |
| A3. Document Type Efficacy | Measures the legal force of the policy document “genre,” e.g., “Measures” have a higher efficacy than “Circulars”. | In China’s administrative system, different document types carry varying degrees of legal binding force, which directly determines the policy’s level of compulsion and the seriousness of its enforcement. | |
| B. Intrinsic Attributes | B1. Policy Instrument Strength | Measures the coerciveness of the core intervention tools adopted by the policy. For policies containing multiple instruments, the score of the strongest instrument is adopted. | Drawing on the classic framework of McDonnell & Elmore, policy instruments can be categorized into types such as mandates, inducements, and capacity-building, which differ significantly in their intrinsic strength and directly determine the policy’s intervention intensity [52]. |
| B2. Measure Intensity | Calculates the density of decisive words expressing compulsion, command, or prohibition within the policy text through text mining. | Policy language is a “symbolic political” act that conveys government resolve. Strong, decisive wording sends a high-cost, non-negotiable “policy signal,” enhancing the credibility of the policy [53]. | |
| B3. Degree of Quantification | Calculates the density of words related to specific numerical values, deadlines, and other assessable targets within the policy text through text mining. | Clear, measurable objectives are the foundation of policy success and a prerequisite for subsequent monitoring and accountability. Quantified targets significantly increase the government’s accountability costs by setting explicit “performance pledges” [54]. | |
| B4. Resource Assurance | Calculates the density of words within the policy text that explicitly promise fiscal, human, or organizational support and resources through text mining. | Policy implementation is impossible without resource support. Explicit resource commitments represent the “sunk costs” the government is willing to invest, serving as a vital signal of the policy’s feasibility and the government’s determination [55]. |
| Indicator | N | Mean | Sth. Dev. | Min | Max |
|---|---|---|---|---|---|
| A1. Issuing Body Authority | 2455 | 2.99 | 1.03 | 1.00 | 5.00 |
| A2. Joint Issuance Breadth | 2455 | 0.86 | 0.37 | 0.69 | 3.40 |
| A3. Document Type Efficacy | 2455 | 3.18 | 0.81 | 1.00 | 5.00 |
| B1. Policy Instrument Strength | 2455 | 4.13 | 0.90 | 1.00 | 5.00 |
| B2. Measure Intensity | 2455 | 0.10 | 0.04 | 0.00 | 0.32 |
| B3. Degree of Quantification | 2455 | 0.12 | 0.08 | 0.00 | 0.61 |
| B4. Resource Assurance | 2455 | 0.10 | 0.05 | 0.00 | 0.37 |
| Principal Component | Eigenvalue | Variance Explained (%) | Cumulative Variance (%) |
|---|---|---|---|
| PC1 | 1.695 | 24.21 | 24.21 |
| PC2 | 1.161 | 16.58 | 40.79 |
| PC3 | 1.060 | 15.14 | 55.93 |
| PC4 | 0.953 | 13.60 | 69.54 |
| PC5 | 0.802 | 11.45 | 80.99 |
| PC6 | 0.729 | 10.41 | 91.40 |
| PC7 | 0.603 | 8.60 | 100.00 |
| Indicator | PC1 | PC2 | PC3 |
|---|---|---|---|
| A1. Issuing Body Authority | 0.016 | 0.663 | −0.334 |
| A2. Joint Issuance Breadth | 0.050 | 0.445 | 0.745 |
| A3. Document Type Efficacy | 0.580 | 0.124 | 0.384 |
| B1. Policy Instrument Strength | 0.625 | 0.111 | −0.097 |
| B2. Measure Intensity | 0.635 | −0.149 | −0.386 |
| B3. Degree of Quantification | −0.479 | −0.456 | 0.179 |
| B4. Resource Assurance | 0.578 | −0.516 | 0.238 |
| (1) Contemporaneous | (2) Lag 1 | (3) Lag 2 | (4) Lag 3 | |
|---|---|---|---|---|
| Variables | Coef. (Std. Err.) | Coef. (Std. Err.) | Coef. (Std. Err.) | Coef. (Std. Err.) |
| PC1_sum_Sales-Side | 0.005 (0.007) | 0.015 * (0.007) | 0.010 *** (0.004) | 0.004 (0.004) |
| PC2_sum_Sales-Side | −0.001 (0.007) | −0.005 (0.007) | −0.005 (0.006) | −0.003 (0.006) |
| PC3_sum_Sales-Side | 0.003 (0.008) | 0.003 (0.008) | 0.003 (0.008) | 0.002 (0.008) |
| Control Variables | Yes | Yes | Yes | Yes |
| Observations | 248 | 248 | 248 | 248 |
| R-squared | 0.152 | 0.156 | 0.164 | 0.149 |
| Province Fixed Effects | Yes | Yes | Yes | Yes |
| Year Fixed Effects | Yes | Yes | Yes | Yes |
| (1) Contemporaneous | (2) Lag 1 | (3) Lag 2 | (4) Lag 3 | |
|---|---|---|---|---|
| Variables | Coef. (Std. Err.) | Coef. (Std. Err.) | Coef. (Std. Err.) | Coef. (Std. Err.) |
| PC1_sum_Production-Side | −0.003 (0.012) | −0.001 (0.012) | 0.002 (0.012) | 0.002 (0.013) |
| PC2_sum_Production-Side | 0.003 (0.011) | 0.003 (0.011) | 0.003 (0.011) | 0.003 (0.012) |
| PC3_sum_Production-Side | 0.024 (0.016) | 0.027 (0.016) | 0.039 ** (0.015) | 0.028 (0.016) |
| Control Variables | Yes | Yes | Yes | Yes |
| Observations | 186 | 186 | 186 | 186 |
| R-squared | 0.176 | 0.181 | 0.190 | 0.182 |
| Province Fixed Effects | Yes | Yes | Yes | Yes |
| Year Fixed Effects | Yes | Yes | Yes | Yes |
| (1) Contemporaneous | (2) Lag 1 | (3) Lag 2 | (4) Lag 3 | |
|---|---|---|---|---|
| Variables | Coef. (Std. Err.) | Coef. (Std. Err.) | Coef. (Std. Err.) | Coef. (Std. Err.) |
| PC1_sum_Infrastructure-Side | 0.002 (0.005) | 0.002 (0.005) | 0.002 (0.005) | 0.002 (0.005) |
| PC2_sum_Infrastructure-Side | −0.013 ** (0.006) | −0.005 (0.006) | −0.004 (0.006) | −0.005 (0.006) |
| PC3_sum_Infrastructure-Side | −0.004 (0.007) | −0.009 (0.007) | −0.013 * (0.007) | −0.013 ** (0.007) |
| Control Variables | Yes | Yes | Yes | Yes |
| Observations | 248 | 248 | 248 | 248 |
| R-squared | 0.209 | 0.203 | 0.200 | 0.200 |
| Province Fixed Effects | Yes | Yes | Yes | Yes |
| Year Fixed Effects | Yes | Yes | Yes | Yes |
| (1) Contemporaneous | (2) Lag 1 | (3) Lag 2 | (4) Lag 3 | |
|---|---|---|---|---|
| Variables | Coef. (Std. Err.) | Coef. (Std. Err.) | Coef. (Std. Err.) | Coef. (Std. Err.) |
| L2.PC1_sum_Sales-Side | … | … | 0.011* (0.006) | … |
| PC2_sum_Sales-Side | −0.011 * (0.006) | … | … | … |
| L1_PC2_sum_Infrastructure-Side | … | 0.008 * (0.004) | … | … |
| L2_PC3_sum_Sales-Side | … | … | 0.015 * (0.008) | … |
| L3_PC3_sum_Sales-Side | … | … | … | 0.014 * (0.008) |
| Control Variables | Yes | Yes | Yes | Yes |
| Observations | 217 | 217 | 217 | 217 |
| R-squared | 0.277 | 0.305 | 0.293 | 0.281 |
| Province Fixed Effects | Yes | Yes | Yes | Yes |
| Year Fixed Effects | Yes | Yes | Yes | Yes |
| Baseline Finding (Independent → Dependent Variable) | (0) Baseline Model | (1) Replace with Mean Aggregation | (2) Equal-Weighted PSI | (3) Hierarchical-Weighted PSI | (4) Replace with Policy Count | (5) PSI + Policy Count |
|---|---|---|---|---|---|---|
| Panel A: Impact on NEV Sales | ||||||
| PC1 → Sales (Lag 1) | 0.015 * | 0.029 | 0.021 | 0.021 | −0.014 | 0.011 * |
| PC1 → Sales (Lag 2) | 0.010 *** | 0.044 | 0.043 ** | 0.045 ** | −0.009 | 0.010 *** |
| Panel B: Impact on NEV Production | ||||||
| PC3 → Production (Lag 2) | 0.039 ** | 0.044 | −0.041 | −0.030 | 0.015 | 0.051 *** |
| Panel C: Impact on Charging Infrastructure | ||||||
| PC2 → Chargers (Contemporaneous) | −0.013 ** | 0.007 | 0.007 | 0.001 | −0.002 | −0.014 ** |
| PC3 → Chargers (Lag 2) | −0.013 * | −0.067 * | −0.040 ** | −0.039 ** | −0.004 | −0.011 |
| PC3 → Chargers (Lag 3) | −0.013 ** | −0.076* | −0.021 | −0.018 | 0.001 | −0.015 ** |
| Panel D: Impact on NEV Stock | ||||||
| PC1 → Stock (Lag 2) | 0.011 * | — | — | — | — | — |
| PC2 → Stock (Contemp., Sales-Side) | −0.011 * | 0.003 | −0.014 | −0.017 | −0.007 | −0.010 * |
| PC2 → Stock (Lag 1, Infra-Side) | 0.008 * | 0.019 | 0.017 | 0.018 | 0.002 | 0.006 |
| PC3 → Stock (Lag 2, Sales-Side) | 0.015 * | 0.002 | 0.022 | 0.022 | −0.016 ** | 0.007 |
| PC3 → Stock (Lag 3, Sales-Side) | 0.014 * | 0.017 | 0.025 *** | 0.026 *** | −0.003 | 0.008 |
| Dependent Variable | Model Specification | Core Explanatory Variable | Coefficient | p-Value | Conclusion |
|---|---|---|---|---|---|
| Panel A: Impact on NEV Sales | Baseline Model (3 PCs) | Sales-Side Substantive-Driving Policy (PC1) | 0.010 | (<0.01) | Baseline Finding |
| Robustness Check (2 PCs) | Sales-Side Substantive-Driving Policy (PC from 2-PC Model) | 0.014 | (<0.01) | Robust | |
| Robustness Check (4 PCs) | Sales-Side Substantive-Driving Policy (PC from 4-PC Model) | 0.013 | (<0.01) | Robust | |
| Panel B: Impact on NEV Production | Baseline Model (3 PCs) | Production-Side Coordinative-Programmatic Policy (PC3) | 0.039 | (<0.05) | Baseline Finding |
| Robustness Check (2 PCs) | Production-Side Substantive-Driving Policy (PC from 2-PC Model) | −0.004 | (0.874) | Effect attenuated | |
| Robustness Check (4 PCs) | Production-Side Coordinative-Programmatic Policy (PC from 4-PC Model) | 0.041 | (<0.01) | Robust |
| Model Description | R2 (within) (Policy Count Only) | R2 (within) (PSI + Policy Count) | Incremental R2 (2)−(1) | Relative Increase in Explanatory Power (3)/(1) |
|---|---|---|---|---|
| Model for Sales | 0.0369 | 0.0676 | +0.0307 | +83.2% |
| Model for Production | 0.0122 | 0.0579 | +0.0457 | +374.6% |
| Dependent Variable | Model Specification | Core Explanatory Variable | Coefficient | p-Value | Conclusion |
|---|---|---|---|---|---|
| Panel A: Impact on NEV Sales | (1) Baseline Model | Sales-Side Substantive-Driving Policy (PC1)—Lag 2 | 0.010 | (<0.01) | Baseline Finding |
| (2) + Province-Specific Trends | Sales-Side Substantive-Driving Policy (PC1)—Lag 2 | 0.0079 | 0.246 | No longer significant | |
| Panel B: Impact on NEV Production | (1) Baseline Model | Production-Side Coordinative-Programmatic Policy (PC3)—Lag 2 | 0.039 | (<0.05) | Baseline Finding |
| (2) + Province-Specific Trends | Production-Side Coordinative-Programmatic Policy (PC3)—Lag 2 | 0.0171 | 0.200 | No longer significant |
| IV Strategy | No. of Tests | Mean F-Statistic | Max F-Statistic | No. of Tests with F > 10 | No. of Tests with F > 5 |
|---|---|---|---|---|---|
| Neighboring Provinces’ Policy Average (NeighborAvg) | 11 | 3.07 | 9.16 | 0 | 2 |
| Neighboring Provinces’ Policy Sum (NeighborSum) | 11 | 2.76 | 6.70 | 0 | 3 |
| Pilot Province Trend (Pilot_Trend) | 11 | 1.02 | 4.39 | 0 | 0 |
| Best Neighbor’s Policy (BestNeighbor) | 11 | 0.54 | 2.18 | 0 | 0 |
| Lagged Neighboring Policy (NeighborLag) | 11 | 1.02 | 2.12 | 0 | 0 |
| Bartik Instrument (Bartik) | 11 | 1.13 | 4.61 | 0 | 0 |
| Provincial Capital’s Policy (Capital_PC1/2/3) | 33 | 1.32 | 3.00 | 0 | 0 |
| National Policy Count (National_Count) | 11 | 0.24 | 0.83 | 0 | 0 |
| Total | 110 | 1.51 | 9.16 | 0 | 5 |
| Dependent Variable | Log (Public Charging Pole Stock) | Log (Public Charging Pole Stock) | Log (NEV Stock) | Log (NEV Stock) | Log (NEV Stock) |
|---|---|---|---|---|---|
| Endogenous Variable (Policy Type) | Coordinative-Programmatic (PC3)—Lag 3 | Coordinative-Programmatic (PC3)—Lag 3 | High-Level Authoritative (PC2)—Contemporaneous | Coordinative-Programmatic (PC3)—Lag 2 | Coordinative-Programmatic (PC3)—Lag 2 |
| Instrumental Variable | Neighboring Provinces’ Policy Average | Neighboring Provinces’ Policy Sum | Neighboring Provinces’ Policy Sum | Neighboring Provinces’ Policy Average | Neighboring Provinces’ Policy Sum |
| First-Stage F-statistic | 9.16 | 5.73 | 5.32 | 9.07 | 6.70 |
| 2SLS Coefficient (p-value) | 0.058 (0.080) | 0.059 (0.227) | −0.073 (0.065) | 0.058 (0.011) | 0.062 (0.062) |
| LIML Coefficient (p-value) | −0.626 (0.177) | −0.726 (0.177) | −0.161 (0.270) | −0.329 (0.285) | −0.621 (0.285) |
| Dependent Variable | Policy Variable (Lag) | Grouping Type | Group | Coefficient | Std. Err. | N |
|---|---|---|---|---|---|---|
| Panel A: NEV Sales (log_Sales) | PC1_Sales-Side (Lag 1) | Economic Level | Middle-Income | 0.019 * | (0.011) | 88 |
| PC1_Sales-Side (Lag 2) | Geographic Region | Western | 0.012 * | (0.007) | 96 | |
| Economic Level | High-Income | 0.008 ** | (0.004) | 80 | ||
| High-Income | Strong Auto Industry | 0.018 ** | (0.007) | 80 | ||
| Panel B: NEV Production (log_Production) | PC3_Production-Side (Lag 2) | Geographic Region | Western | 0.075 * | (0.042) | 72 |
| Panel C: Charging Poles (log_Chargers) | PC2_Infrastructure-Side (Current) | Geographic Region | Central | −0.024 *** | (0.007) | 48 |
| Industrial Foundation | Medium Auto Industry | −0.015 * | (0.009) | 80 | ||
| PC3_Infrastructure-Side (Lag 2) | Geographic Region | Central | −0.015 ** | (0.007) | 48 | |
| Economic Level | Middle-Income | −0.031 * | (0.018) | 88 | ||
| PC3_Infrastructure-Side (Lag 3) | Geographic Region | Eastern | −0.012 ** | (0.006) | 80 | |
| Economic Level | High-Income | −0.013 * | (0.007) | 80 | ||
| Panel D: NEV Stock (log_NEV_Stock) | PC2_Sales-Side (Current) | Economic Level | Low-Income | −0.020 *** | (0.006) | 70 |
| PC2_Infrastructure-Side (Lag 1) | Industrial Foundation | Weak Auto Industry | 0.011 * | (0.006) | 77 | |
| PC1_Sales-Side (Lag 2) | Geographic Region | Eastern | 0.005 * | (0.003) | 70 | |
| Economic Level | High-Income | 0.005 * | (0.003) | 70 | ||
| Industrial Foundation | Strong Auto Industry | 0.009 *** | (0.002) | 70 | ||
| PC3_Sales-Side (Lag 3) | Economic Level | Low-Income | −0.019 ** | (0.008) | 70 | |
| Economic Level | High-Income | 0.014 * | (0.008) | 70 | ||
| Industrial Foundation | Weak Auto Industry | −0.018 * | (0.010) | 77 |
| Model (Dependent Var.~Policy Var.) | Moderating Variable | Interaction Term (Policy × Moderator) | Interaction Coefficient | p-Value |
|---|---|---|---|---|
| Panel A: Moderating Role of Fiscal Space | ||||
| (1) log (Chargers)~PC2 (Contemp.) | Log (Fiscal Expenditure) | PC2 × log (Fiscal Expenditure) | 0.009 ** | 0.048 |
| (2) log (Chargers)~PC3 (Lag 3) | Log (Fiscal Expenditure) | PC3 × log (Fiscal Expenditure) | 0.008 ** | 0.030 |
| (3) log (Stock)~PC3 (Lag 2) | Log (Fiscal Expenditure) | PC3 × log (Fiscal Expenditure) | 0.005 * | 0.083 |
| Panel B: Moderating Role of Economic and Industrial Foundation | ||||
| (4) log (Stock)~PC1 (Lag 2) | Log (Per Capita GDP) | PC1 × log (Per Capita GDP) | 0.018 * | 0.056 |
| (5) log (Sales)~PC1 (Lag 1) | Secondary Industry Share | PC1 × Secondary Industry Share | −0.117 * | 0.066 |
| (6) log (Stock)~PC2 (Contemp.) | Secondary Industry Share | PC2 × Secondary Industry Share | 0.163 ** | 0.018 |
Disclaimer/Publisher’s Note: The statements, opinions and data contained in all publications are solely those of the individual author(s) and contributor(s) and not of MDPI and/or the editor(s). MDPI and/or the editor(s) disclaim responsibility for any injury to people or property resulting from any ideas, methods, instructions or products referred to in the content. |
© 2025 by the authors. Published by MDPI on behalf of the World Electric Vehicle Association. Licensee MDPI, Basel, Switzerland. This article is an open access article distributed under the terms and conditions of the Creative Commons Attribution (CC BY) license (https://creativecommons.org/licenses/by/4.0/).
Share and Cite
Wang, C.; Xie, Y.; Yin, Y.; Cai, J.; Hu, H. An Empirical Analysis of the Effectiveness of Local Industrial Policies for China’s New Energy Vehicle Sector. World Electr. Veh. J. 2025, 16, 519. https://doi.org/10.3390/wevj16090519
Wang C, Xie Y, Yin Y, Cai J, Hu H. An Empirical Analysis of the Effectiveness of Local Industrial Policies for China’s New Energy Vehicle Sector. World Electric Vehicle Journal. 2025; 16(9):519. https://doi.org/10.3390/wevj16090519
Chicago/Turabian StyleWang, Chunning, Yingchong Xie, Yifen Yin, Jingwen Cai, and Haoqian Hu. 2025. "An Empirical Analysis of the Effectiveness of Local Industrial Policies for China’s New Energy Vehicle Sector" World Electric Vehicle Journal 16, no. 9: 519. https://doi.org/10.3390/wevj16090519
APA StyleWang, C., Xie, Y., Yin, Y., Cai, J., & Hu, H. (2025). An Empirical Analysis of the Effectiveness of Local Industrial Policies for China’s New Energy Vehicle Sector. World Electric Vehicle Journal, 16(9), 519. https://doi.org/10.3390/wevj16090519

