Next Article in Journal
A Flexible Assembly and Gripping Process of Hairpin Baskets
Previous Article in Journal
Evaluating Key Spatial Indicators for Shared Autonomous Vehicle Integration in Old Town Spaces
Previous Article in Special Issue
Designing EV Charging Energy Hubs to Meet Flexibility Requirements in Smart Grids
 
 
Font Type:
Arial Georgia Verdana
Font Size:
Aa Aa Aa
Line Spacing:
Column Width:
Background:
Article

Prediction of Electric Vehicle Charging Load Considering User Travel Characteristics and Charging Behavior

School of Electric Power Engineering, Nanjing Institute of Technology, Nanjing 211167, China
*
Author to whom correspondence should be addressed.
World Electr. Veh. J. 2025, 16(9), 502; https://doi.org/10.3390/wevj16090502
Submission received: 16 July 2025 / Revised: 2 September 2025 / Accepted: 4 September 2025 / Published: 6 September 2025
(This article belongs to the Special Issue Sustainable EV Rapid Charging, Challenges, and Development)

Abstract

Accurate forecasting of the electric vehicle (EV) charging load is a prerequisite for developing coordinated charging and discharging strategies. This study proposes a method for predicting the EV charging load by incorporating user travel characteristics and charging behavior. First, a transportation network–distribution network coupling framework is established based on a road network model with multi-source information fusion. Second, considering the multiple-intersection features of urban road networks, a time-flow model is developed. A time-optimal path selection method is designed based on the topological structure of the road network. Then, an EV driving energy consumption model is developed, accounting for both the mileage energy consumption and air conditioning energy consumption. Next, the user travel characteristics are finely modeled under two scenarios: working days and rest days. A user charging decision model is established using a fuzzy logic inference system, taking into account the state of charge (SOC), average electricity price, and parking duration. Finally, the Monte Carlo method is applied to simulate user travel and charging behavior. A simulation of the spatiotemporal distribution of the EV charging load was conducted in a specific area of Jiangning District, Nanjing. The simulation results show that there is a significant difference in the time distribution of EV charging loads between working days and rest days, with peak-to-valley differences of 3100.8 kW and 3233.5 kW, respectively.

1. Introduction

With the growing severity of global climate change and the energy crisis, promoting low-carbon and green travel has become a major policy priority for governments worldwide [1]. As a green mode of transportation, electric vehicles (EVs) have gained considerable interest for their efficiency, cleanliness, and environmental benefits, driving substantial growth in the electric vehicle (EV) industry. However, large-scale uncoordinated access of EVs to the power grid may increase the peak-to-valley load difference, cause operational constraints to exceed their limits, and reduce the power quality. These issues can compromise the stability and cost-effectiveness of the power system [2]. Therefore, forecasting the EV charging load is of great significance for assessing the effect of uncoordinated charging on distribution networks, planning charging infrastructure, and formulating optimized strategies for coordinated charging and discharging [3].
To date, scholars both domestically and internationally have conducted extensive research on electric vehicle charging load prediction. Many researchers have extensively investigated user travel and charging behavior and have developed corresponding EV charging load prediction models. Reference [4] proposes a method for EV charging behavior analysis and charging load forecasting using charging station order data, considering both physical and economic influences. It constructs probability distribution models for the initial charging time, initial state of charge (SOC), charging power, and charging duration to simulate user charging behavior. In addition, a charging load forecasting model influenced by electricity price regulation is developed using the logistic function and typical data. Reference [5] employs a first-order gray model to estimate EV ownership and develops probability distribution models for user travel characteristics and charging patterns. However, the modeling of user travel characteristics in this paper is overly simplistic. Reference [6] proposes a charging load forecasting model incorporating user behavior characteristics. However, it does not consider the differences in the road traffic flow and user travel characteristics between working days and rest days. Reference [7] analyzes EV travel characteristics based on user travel statistics, combining travel chains and the Markov process. However, regarding user charging decisions, the model relies solely on an SOC threshold to determine whether to charge the EV, which has certain limitations. It ignores the impact of factors like the charging cost and parking duration, and the SOC threshold is set subjectively. Reference [8] classifies EVs into four types and establishes corresponding probability density functions based on their charging modes, initial SOC, charging demand, and initial charging time. The Monte Carlo method is then applied to forecast daily charging load curves for each EV type. However, it does not consider the impact of the road network structure as well as traffic congestion on user travel paths.
In recent years, artificial intelligence technologies have been widely applied to EV charging load prediction. Reference [9] presents a method for EV charging station load forecasting using multi-feature data fusion. This method combines multi-feature data fusion with Long Short-Term Memory (LSTM) models, enhancing the robustness and accuracy of the predictions. Reference [10] presents a reinforcement learning-based EV charging station load forecasting method, employing the Q-learning algorithm to model three charging scenarios: smart, uncoordinated, and coordinated. The proposed method outperforms traditional Recurrent Neural Networks (RNNs) and Artificial Neural Networks (ANNs) in terms of its prediction accuracy. Reference [11] constructs an EV charging demand prediction model using historical traffic data and weather information from South Korea and big data analysis techniques. Artificial intelligence algorithms can indeed accurately predict EV charging loads, but they require large amounts of data to train a model.
With the introduction of transportation network modeling and graph theory, an increasing number of researchers have studied the spatiotemporal distribution of the EV charging load. Reference [12] introduced a framework for spatiotemporal analysis of the charging load, incorporating a transportation network model along with user travel and charging models. Reference [13] proposed a method for predicting the spatiotemporal distribution of charging loads based on user travel trajectory simulation. This method is employed within a comprehensive framework that integrates urban transportation networks and functional areas. Reference [14] proposed a charging load forecasting framework that incorporates real-time interaction of multi-source information and user regret psychology. The Bureau of Public Roads (BPR) model was used to simulate real-time changes in the EV driving speed. However, the BPR model mainly applies to highway networks and does not account for impedance delays at intersections in urban road networks. Reference [15] modeled the road network of the target area and used the Floyd algorithm to plan user travel paths for predicting the EV charging demand. However, the path planning method used was overly idealized and failed to consider the impact of traffic congestion on user route choices. Reference [16] considered the travel demand and routing strategies of private cars and taxis and suggested an EV charging load forecasting method accounting for the influence of multiple factors. However, the EV energy consumption model used only accounted for the mileage energy consumption, ignoring the air conditioning energy consumption. Reference [17] investigated the impact of seasonal factors on the vehicle battery, energy consumption per mileage, and air conditioning usage. Based on the spatiotemporal distribution patterns, a short-term intraday EV charging load forecasting model was developed. However, the condition for activating in-vehicle air conditioning merely took into account the ambient temperature, neglecting the effects of the SOC and user range anxiety.
Although numerous studies have been conducted on EV charging load forecasting, several limitations still remain. For example, user travel behavior models are still relatively simple and fail to fully consider the differences between working days and rest days. With regard to user charging decision modeling, some studies ignore key factors such as the charging cost and parking duration, making it difficult for the models to accurately reflect users’ actual charging behavior. In addition, the adopted path planning methods are overly idealized and fail to capture the impact of traffic congestion on users’ actual route choices. Meanwhile, some EV driving energy consumption models consider only the mileage-related energy consumption and neglect consideration of the energy consumed by onboard air conditioning systems. These issues affect the accuracy of EV charging load forecasting to a certain extent. In response to the shortcomings of the above studies, this paper proposes an EV charging load prediction method that considers user travel characteristics and charging behavior. The main contributions are as follows:
(1)
Considering the characteristics of urban road networks, a time-flow model is proposed that incorporates both the road segment impedance and node impedance. By introducing actual traffic flow and road attribute data, a time-optimal path selection method based on the road network topology is developed.
(2)
Considering the driving speed, ambient temperature, SOC, and user range anxiety, an EV driving energy consumption model is developed which accounts for both the mileage energy consumption and energy consumption generated by air conditioning. Thereby, the model’s accuracy is enhanced.
(3)
This study investigates the spatiotemporal characteristics of user travel behavior in two different scenarios—working days and rest days—and develops a refined model for user travel behavior.
(4)
A user charging decision model is constructed using a fuzzy logic inference system, incorporating the SOC, average electricity price, and parking duration. The model can accurately simulate users’ flexible charging behavior.

2. Factors Influencing Electric Vehicle Charging Load

The spatiotemporal distribution of the EV charging load is influenced by various factors. These factors can be broadly analyzed from three perspectives: the transportation network, user behavior, and vehicle characteristics. Accurately analyzing these factors is fundamental to EV charging load prediction. This paper comprehensively considers the above-mentioned influencing factors and integrates multi-source information to develop an EV charging load prediction, as shown in Figure 1.

3. Transportation Network–Distribution Network Coupling Framework

3.1. Road Network Model for Multi-Source Information Fusion

The structure of the urban road network affects the driving distance of EVs, which in turn influences their SOC and charging duration [18]. Meanwhile, the maximum road capacity and actual traffic flow impact the vehicle speed, thereby affecting the energy consumption per unit mileage. Therefore, in this study, a graph theory-based method is used to extract information such as the road length, actual traffic flow, road category, maximum capacity, and free-flow speed from the road network. These features are integrated to construct a road network model built on multi-source information fusion, as demonstrated by the equation below:
G t = ( N , R , W , L , V , C , T , Q t ) N = { n i |   i = 1 , 2 , , n } R = { n i j |   n i N , n j N , i j } W = { w i j |   n i N , n j N , i j } L = { l i j |   n i N , n j N , i j } V = { v i j |   n i N , n j N , i j } C = { c i j |   n i N , n j N , i j } T = { t   |   t = 1 , 2 , , m } Q t = { q i j t |   n i N , n j N , i j }
where G t represents the topological structure of the road network during time period t . N is the set of nodes in the road network. R is the set of road segments. W denotes the set of road lengths. L is the set of road categories, where l i j values of 1, 2, and 3 correspond to urban arterial roads, urban sub-arterial roads, and urban local roads, respectively. V represents the set of free-flow speeds. v i j is the maximum driving speed when the traffic density on road n i j approaches zero. C is the set of the maximum road capacities. T is the set of divided time intervals, in which a day is divided into m time periods. Q t is the set of actual traffic flows on each road segment during time period t .
This study takes the road network of a specific area in Jiangning District, Nanjing, as a case study. Based on the attributes of the urban area and its functional positioning, the region is divided into eight functional areas: residential areas, office areas, industrial areas, hospitals, stations, schools, scenic areas, and commercial areas. The topological structure of the road network and the functional area division results are presented in Figure 2.
The urban roads in this area can be classified into three main categories: urban arterial roads, urban sub-arterial roads, and urban local roads. Among them, there are 85 urban arterial roads with a free-flow speed of 60 km/h, 76 urban sub-arterial roads with a free-flow speed of 40 km/h, and 46 urban local roads with a free-flow speed of 30 km/h. Statistical data were collected on the road length, road category, maximum capacity, free-flow speed, and actual traffic flow during each time period.

3.2. Distribution Network Model

The distribution network is a critical component of urban power systems. Its structure is typically constructed based on the spatial layout of the urban road network, thereby forming a zoned power supply model. In studies on EV charging load prediction, proper modeling of the distribution network helps to analyze the effect of the charging loads on grid operation. In terms of the characteristics of the interaction between the EV charging energy and grid energy, a suitable distribution network model must be developed according to the road network model to match its scale. In this paper, the IEEE 33-bus standard distribution network serves as the modeling basis. The distribution network system consists of one power plant, 32 branches, and 5 interconnection switch branches, with node 1 at the source end being the power supply. The topology of the IEEE 33-bus distribution network is shown in Figure 3.
The distribution network is modeled using graph theory methods, as follows:
D = ( N D , B D ) N D = { n i D | i = 1 , 2 , , m } B D = { n i j D | n i D N D , n j D N D , i j }
where D denotes the topology information of the distribution network. N D is the set of nodes in the distribution network, and B D is the set of branches in the distribution network.

3.3. Modeling of Network Coupling Relationships

By combining the topological structures of the distribution network and road network models, along with the power load demand of each functional area, efficient coupling between the distribution network and road network models is achieved. A topological diagram of the coupling relationship between the road network and the distribution network is shown in Figure 4. The geographical coupling between the distribution network nodes and functional areas is provided in Table 1. At time t , the charging load P i D ( t ) of distribution network node n i D is defined as the total charging power of all the EVs within the corresponding subregion v . Similarly, the total charging load P A L L ( t ) of the entire area at time t is the sum of the charging loads of all the distribution network nodes at time t .
P i D ( t ) = j = 1 n v p j t , v
P A L L ( t ) = i = 1 m P i D ( t )
where p j t , v is the charging power of the jth EV within subregion v at time t . n v is the total number of EVs in subregion v . m is the total number of distribution network nodes.

3.4. Path Selection

The road network model employed in this study is primarily designed for urban traffic roads. In urban road networks, intersections are often regulated by traffic signals [19]. In the existing studies, the BPR function is commonly used as the road impedance function. The BPR function was formulated by the U.S. Highway Administration to describe the relationship between the road traffic flow and travel time. However, the BPR function was designed for highway networks and does not fully account for the impact of intersections and traffic signals on the travel time in urban road networks. In urban road networks, the road impedance encountered by vehicles includes the road segment impedance caused by the traffic flow and road attributes, as well as the node impedance resulting from traffic signal control. Considering the time-varying nature of urban traffic conditions and the presence of multiple intersections, this study proposes a time-flow model, as detailed below:
  • Road segment impedance:
R i j t = l i j v i j 1 + φ 1 S i j t φ 2
S i j t = q i j t c i j
where l i j is the length of road n i j . v i j denotes the free-flow speed on road n i j . S i j t is the saturation level. q i j t refers to the actual traffic flow on road n i j during time period t . c i j indicates the maximum capacity of road n i j . φ 1 and φ 2 are impedance adjustment parameters, with values of 0.15 and 4, respectively.
2.
Node impedance:
N i j t = 9 10 α ( 1 λ ) 2 2 ( 1 λ S i j t ) + S i j t 2 2 β ( 1 S i j t )
where α represents the signal cycle. β denotes the vehicle arrival rate for the road segment, and λ stands for the green ratio. The values of α , β , and λ are 30, 0.8, and 0.7, respectively.
3.
Road impedance:
T i j t = R i j t + N i j t
In practice, especially during peak traffic periods, drivers typically choose travel routes based on which provide the shortest travel time. To accurately reflect the real-world driving behavior of EV users, this study incorporates actual traffic flow and road attribute data to develop a time-optimal path selection method based on the road network topology. According to Expression (8), a travel time matrix for each road segment during time period t can be calculated. On this basis, an improved Floyd algorithm is adopted to efficiently obtain the time-optimal routing matrix between all the nodes in the road network during time period t . The iterative logic is as follows:
T i j t , k = min T i j t , k 1 , T i k t , k 1 + T k j t , k 1
where T i j t , k represents the shortest travel time from node n i to node n j after k iterations. The sum of T i k t , k 1 and T k j t , k 1 represents the shortest travel time from node n i to node n j when node n k is used as an intermediate node.

3.5. Electric Vehicle Driving Energy Consumption Model

In urban traffic, speed fluctuations caused by vehicle congestion have a direct effect on the driving energy consumption of EVs. In addition, the ambient temperature also influences the energy used by in-vehicle air conditioning systems. Therefore, this study develops an EV driving energy consumption model that comprehensively considers both the driving speed and ambient temperature.
E = E 1 + E 2
where E is the total driving energy consumption of the EV. E 1 denotes the mileage energy consumption, and E 2 refers to the air conditioning energy consumption:
  • Mileage energy consumption:
The mileage energy consumption depends on the driving distance as well as the energy consumption per unit mile, as detailed below:
E 1 = i = 1 n r l i e k i
e k i = 0.179 + 0.004 v i + 5.492 / v i k = 1 0.21 0.001 v i + 1.531 / v i k = 2 0.208 0.002 v i + 1.553 / v i k = 3
where n r represents the total number of road segments included in the trip. l i is the length of road segment i , and e k i is the energy consumption per unit mile on road segment i . k takes the values 1, 2, and 3, representing urban arterial roads, urban sub-arterial roads, and urban local roads, respectively. v i denotes the vehicle’s driving speed on road segment i .
2.
Air conditioning energy consumption
According to reference [20], the probability that users will turn on the in-vehicle air conditioning under different ambient temperatures follows a normal distribution. If the air conditioning system is activated in heating mode, it follows the normal distribution N ( 10.82 , 2.14 2 ) . If it is activated in cooling mode, it follows the normal distribution N ( 29.4 , 1.75 2 ) .
f ( x ) = 1 2 π σ exp ( x μ ) 2 2 σ 2
Taking summer as an example, the temperature threshold for users to turn on the in-vehicle air conditioning is sampled based on the probability distribution function. If the current ambient temperature exceeds this threshold, the user will activate the cooling mode of the air conditioning system. Using the Monte Carlo method, 10,000 simulations were conducted to obtain the probability, P T , of users turning on the air conditioning under different ambient temperatures. The curve showing the probability of users turning on the air conditioning for cooling under different ambient temperatures was obtained through fitting and is shown in Figure 5.
In reality, when the battery level is low, users often experience anxiety about using the air conditioning. Therefore, whether the in-vehicle air conditioning is turned on depends not only on the ambient temperature, but also on the SOC of the EV and the user’s range anxiety. This study introduces the Weber–Fechner law to construct a user range anxiety perception model [21]. The core idea of this law is that a person’s subjective perception of a stimulus is proportional to the logarithm of the stimulus’s intensity [22].
A ( S O C ) = 1 S O C < S O C L δ lg ( S O C H / S O C ) S O C L S O C S O C H 0 S O C > S O C H
where S O C represents the current state of charge of the EV. A ( S O C ) is the user’s perception of their range anxiety at the current SOC. S O C H and S O C L are the upper and lower limits of the SOC anxiety perception threshold, which are set to 0.6 and 0.1, respectively. δ is the perceived sensitivity, set to 1.28.
An anxiety adjustment factor, ξ , is introduced to describe the influence of users’ perceived range anxiety on their probability of activating the in-vehicle air conditioning. In this study, ξ is set to 0.4. Considering the ambient temperature, SOC, and users’ range anxiety, the probability P O N of turning on the in-vehicle air conditioning is defined as follows:
P O N = P T ( 1 ξ A ( S O C ) )
To verify the impact of users’ range anxiety on the probability of turning on the vehicle air conditioning, three different SOC levels were chosen in this paper. The curves showing the probability of air conditioning activation with a varying ambient temperature at these three SOC levels appear in Figure 6. As seen in the figure, as the SOC decreases, the probability curve shifts downward. This indicates that as the SOC decreases, users’ range anxiety increases, which in turn leads to a lower probability of them activating the vehicle air conditioning.
Once the user turns on the in-vehicle air conditioning, the power P a c of the air conditioning system is closely related to the ambient temperature T o u t [23]. The specific relationship is as follows:
P a c = 33.47 ( 22 T out ) 1.324 T out < 22 0 T out = 22 36.69 ( T out 22 ) 1.084 T out > 22
Finally, the specific formula for the air conditioning energy consumption E 2 is as follows:
E 2 = P a c T a l l 1000 P O N r a n d 0 P O N < r a n d
where T a l l is the total driving duration of the trip. r a n d is a random number in the range [ 0 , 1 ] .

4. EV Charging Load Prediction Considering User Travel Characteristics and Charging Behavior

4.1. Travel Chain Theory

4.1.1. Travel Chain Structure

The travel behavior of EV users is centered on their travel purposes. Therefore, this study proposes a multi-dimensional coupled travel chain model driven by travel purposes. The model establishes a three-layer representation framework, including the travel purpose layer, the time chain layer, and the space chain layer. The time chain includes temporal features such as the departure time, driving duration, arrival time, parking duration, and leaving time. The space chain includes spatial features such as the departure location, destination, and travel distance [24]. This study simulates the daily travel process of EV users through travel chains. The structure of the travel chain is shown in Figure 7.

4.1.2. Travel Purpose

In this study, users’ travel purposes are categorized into the following eight types: family activities (FAs), work (W), shopping (S), dining (D), entertainment (E), educational activities (EAs), medical care (MC), and pick-ups (PUs). The correspondence between these travel purposes and the urban functional areas is shown in Table 2.

4.2. Modeling Travel Characteristics of EV Users

The travel characteristics of EV users primarily include the transition probability, initial travel location, initial travel time, initial SOC, and parking duration. This study was supported by the NHTS2022 dataset [25], from which the travel data of private vehicles were extracted. After statistical analysis, transition probability matrices for different time periods and probability distributions for the initial travel locations on working days and rest days were obtained. Additionally, various fitting methods were applied to fit the probability density of the initial travel time, initial SOC, and parking duration.

4.2.1. Transition Probability Matrix

A Markov chain is a mathematical model used to describe the process of a transition between different states. Its core feature is that the future state relies solely on the current state and is independent of past states, which reflects its “memoryless” property [26]. In this study, a Markov state transition matrix is used to describe the probabilities of EV users transitioning between different travel states. It is important to note that in this paper the travel status refers to the user’s travel purpose. To obtain the travel state transition probability matrix for different time periods, the raw data from the NHTS2022 dataset was first preprocessed by removing irrelevant and incomplete data. Next, the different travel purposes in the dataset were categorized and mapped to the eight defined categories mentioned above. To more accurately describe the transition probabilities between different travel states, the data was classified into working days and rest days and further divided into six time periods for analysis. For each time period, the transition probability p i j , t from travel state i to travel state j was calculated, with the specific formula as follows:
p i j , t = a i j , t j = 1 8 a i j , t
where a i j , t represents the number of EVs transitioning from travel state i to travel state j during time period t .
Based on the defined travel purposes, the travel state transition probability matrix P t for time period t can be expressed as
P t = p 11 , t    p 12 , t    p 13 , t    p 14 , t    p 15 , t    p 16 , t    p 17 , t    p 18 , t p 21 , t    p 22 , t    p 23 , t    p 24 , t    p 25 , t    p 26 , t    p 27 , t    p 28 , t p 31 , t    p 32 , t    p 33 , t    p 34 , t    p 35 , t    p 36 , t    p 37 , t    p 38 , t p 41 , t    p 42 , t    p 43 , t    p 44 , t    p 45 , t    p 46 , t    p 47 , t    p 48 , t p 51 , t    p 52 , t    p 53 , t    p 54 , t    p 55 , t    p 56 , t    p 57 , t    p 58 , t p 61 , t    p 62 , t    p 63 , t    p 64 , t    p 65 , t    p 66 , t    p 67 , t    p 68 , t p 71 , t    p 72 , t    p 73 , t    p 74 , t    p 75 , t    p 76 , t    p 77 , t    p 78 , t p 81 , t    p 82 , t    p 83 , t    p 84 , t    p 85 , t    p 86 , t    p 87 , t    p 88 , t
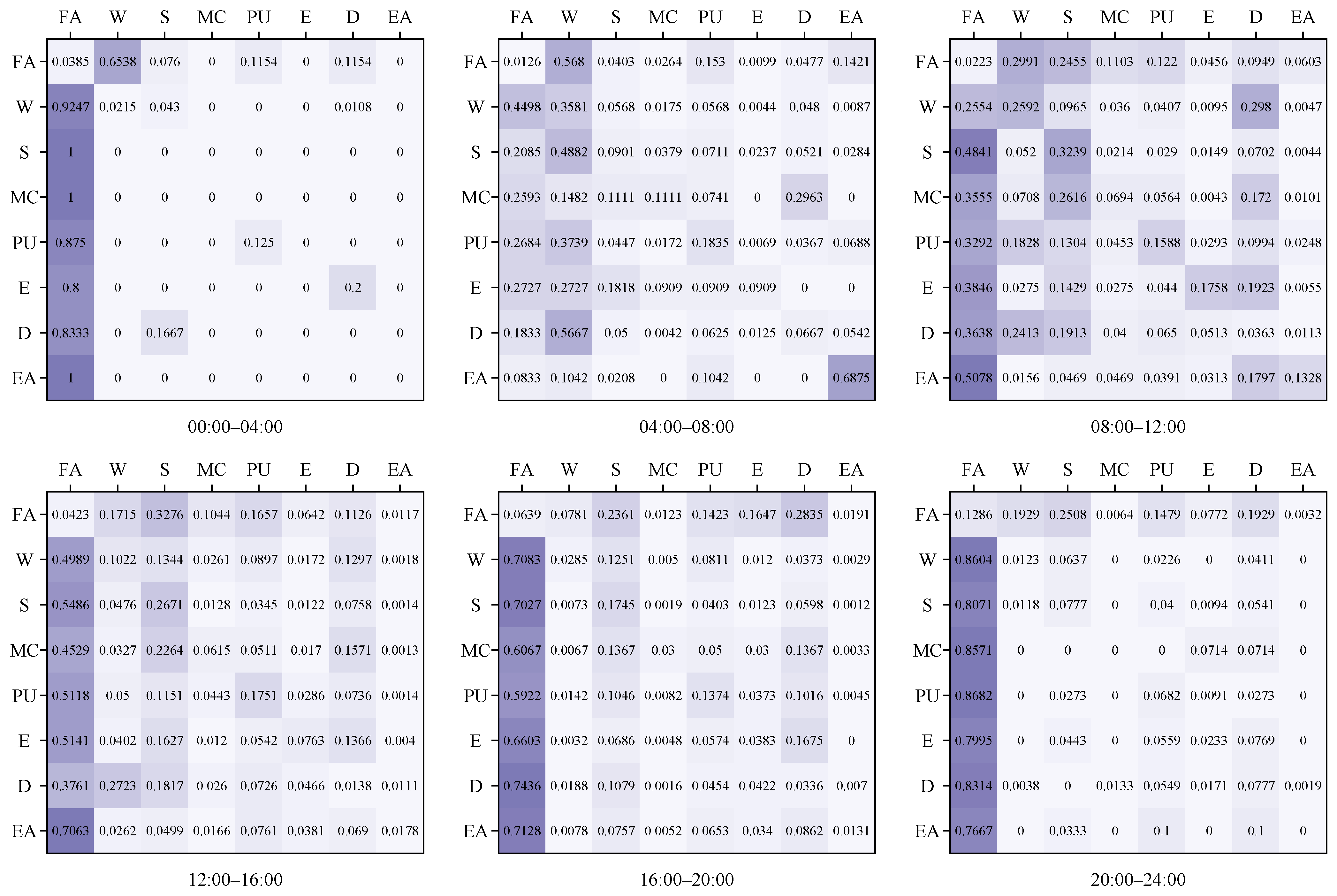
By performing statistical analysis on the dataset, travel state transition probability matrices for urban vehicles on working days and rest days were obtained [27], as shown in Figure 8 and Figure 9.

4.2.2. Probability Distribution of Initial Travel Locations

Based on the NHTS2022 dataset, this study separately analyzed the probability distributions of users’ initial travel locations across various functional areas under working day and rest day scenarios. The results are shown in Table 3.

4.2.3. Probability Distribution of Initial Travel Time

To accurately describe the initial travel time of EV users, this study fit the initial travel time data for working days and rest days separately using different probability distribution functions. Taking the Gaussian mixture distribution as an example, its probability density function was defined as follows:
f k ( x | θ k ) = 1 2 π σ k 2 exp ( x μ k ) 2 2 σ k 2 p ( x | Θ ) = k = 1 N G ω k f k ( x | θ k )
where f k ( x | θ k ) is the probability density function of the kth Gaussian distribution. Θ = ( ω 1 , ω 2 , , ω N G , θ 1 , θ 2 , , θ N G ) indicates that the Gaussian mixture distribution consists of N G individual Gaussian distributions. θ k = ( μ k , σ k ) represents the mean and the standard deviation of the kth Gaussian distribution. p ( x | Θ ) is the probability density function of the Gaussian mixture distribution. ω k is the weight of the kth Gaussian component, which satisfies
k = 1 N G ω k = 1
To facilitate observation of the characteristics of the fitting results, the Gaussian mixture distribution can be simplified as
y = i = 1 N G a i exp x b i c i 2
where a i , b i , and c i represent the peak value, peak position, and half-width information of the Gaussian curve, respectively.
Meanwhile, the coefficient of determination R s q u a r e was introduced to evaluate the goodness of fit, as defined below:
R s q u a r e = E SSR / E SST E SSR = i = 1 N S ( y ¯ i y ^ i ) 2 E SST = i = 1 N S ( y i y ¯ i ) 2
where N S is the total number of data points. E S S R is the sum of the squared differences between the original data’s mean and the data in the fitted regression model. E S S T is the sum of the squared differences between the original data and the mean of the original data. R s q u a r e represents the coefficient of determination, and its value falls within the range [ 0 , 1 ] . The closer the value is to 1, the better the goodness of fit.
By comparing the coefficients of determination, R s q u a r e , obtained from fitting with different probability distribution functions, it was found that the best results were obtained using a Gaussian mixture distribution to fit the initial travel time on working days and rest days. The fitting results appear in Figure 10.

4.2.4. Probability Distribution of Initial SOC

The initial SOC refers to the battery’s charge level when an EV is used for the first time each day. The initial SOC of an EV followed a normal distribution, N ( 0.8372 , 0.109 2 ) , and the fitting results appear in Figure 11.

4.2.5. Probability Distribution of Parking Duration

The parking duration directly affects the timing of a user’s next trip. Therefore, accurate fitting of the parking duration is essential. Various distribution functions were employed to fit the data on the parking duration. By selecting the optimal fitting model, the user parking behavior could be more precisely described, thereby improving the accuracy of EV charging load forecasts.
The parking durations for activities such as family activities, work, entertainment, pick-ups, educational activities, and medical care follow a Gaussian mixture distribution. In contrast, the parking durations for shopping and dining follow a logistic distribution, whose four-parameter probability density function can be expressed as
f ( x ) = d log i c + a log i c d log i c 1 + x c log i c b log i c
where a log i c represents the upper asymptote parameter. b log i c denotes the shape parameter. c log i c is the scale parameter, and d log i c corresponds to the lower asymptote parameter.
The fitting results for the parking duration for different travel purposes are shown in Figure 12.

4.3. User Charging Decision Model Based on Fuzzy Logic Inference System

The charging modes of EV users can be categorized into a rigid charging mode and flexible charging mode. In the rigid charging mode, users are compelled to recharge their EV when the SOC of the vehicle drops below 20%. In the flexible charging mode, users’ charging decisions are influenced by various factors. Traditional charging decision models typically rely on fixed rules to determine whether the user should charge the vehicle. For example, when the SOC of the EV drops beneath a preset threshold, charging is forced. This approach solely considers the effect of the battery charge on the user’s charging decision and does not fully account for other factors that may influence their decision. Additionally, the setting of the threshold is highly subjective, which makes this model unable to accurately reflect users’ charging behavior.
In practice, the charging behavior of EV users is also affected by factors such as the charging prices and parking duration. Users tend to choose to recharge vehicles during off-peak periods when the electricity price is lower. Therefore, this paper presents a user charging decision model using a fuzzy logic inference system, which takes into account the SOC of the EV upon arrival at the destination, the parking duration, and the average electricity price while parked. The user’s flexible charging probability is obtained through fuzzy logic inference and defuzzification. This model can more comprehensively simulate a user’s charging decision under different scenarios.
The average electricity price, SOC of the EV, and parking duration are used as input variables for the fuzzy inference system, while the output variable is the user’s flexible charging probability. Corresponding membership functions are set for each input and output variable. The selection of the number of membership functions relies on the precision requirements of the variables. Increasing the number of membership functions allows for a more detailed representation of the variables, thereby improving the model’s accuracy. However, with each additional membership function, the number of inference rules increases rapidly, leading to higher computational complexity. Therefore, to balance the model accuracy and computational efficiency, this paper has made reasonable adjustments to the membership functions of both the input and output variables.

4.3.1. Average Electricity Price

Four fuzzy sets, namely low, medium, high, and higher prices, are defined in the fuzzy logic inference system to represent the user’s perceptual attitude toward the average electricity price, as shown in Figure 13. The specific formula for calculating the average electricity price is as follows:
c a v r = t = t o , i + 1 t o , i + t p , i c t / t p , i
where c a v r represents the average electricity price. t o , i is the time when vehicle i arrives at the destination. t p , i represents the parking duration of vehicle i . c t is the charging price at time t .

4.3.2. SOC

In this paper, four fuzzy sets of low, medium, high, and higher SOCs are used to describe the SOC of the battery, as shown in Figure 14.

4.3.3. Parking Duration

In this paper, three fuzzy sets, short, medium, and long parking durations, are used to describe the parking duration, as shown in Figure 15.

4.3.4. Charging Probability

To represent the probability of a user engaging in charging behavior, the charging probability is divided into five fuzzy sets: lower, low, medium, high, and higher probabilities, as shown in Figure 16.
The number of fuzzy logic inference rules is influenced by the quantity of membership functions of the input variables. The fuzzy logic inference system used in this study includes three input variables: the average electricity price, state of charge, and parking duration. The quantity of the inference rules is the product of the number of membership functions for these three input variables. Therefore, this paper establishes 48 fuzzy logic inference rules, as shown in Table 4. It should be noted that the logical relationship between the input variables is “AND.”
Commonly used defuzzification methods include the centroid method, the maximum membership degree method, and the weighted average method. Although the maximum membership degree method can quickly identify the most representative output, it often overlooks other input variables with relatively high membership degrees, resulting in biased decision-making. The weighted average method ignores the overall shape of the fuzzy set, which may lead to defuzzification results that are not sufficiently precise. In contrast, the centroid method can comprehensively consider all the input variables and their membership degrees within the fuzzy set, effectively avoiding information loss that may result from relying too heavily on a single membership degree extremum. Hence, this paper employs the centroid defuzzification method to convert the fuzzy results into specific control outputs, namely the user’s flexible charging probability. To better analyze the effect of the SOC, average electricity price, and parking duration on the flexible charging probability, this paper considers two parking duration scenarios: short-term and long-term. The fuzzy surfaces of the EV user’s flexible charging probability under these two scenarios are shown in Figure 17.
The figure shows the variation in the user’s flexible charging probability with the SOC and the average electricity price under two scenarios: short-term parking and long-term parking. Overall, the SOC, average electricity price, and parking duration are important factors that influence a user’s flexible charging behavior. When the SOC and average electricity price are high, the user’s flexible charging probability is lower. By comparison, it can be observed that the user’s willingness to charge their EV is significantly weaker in the short-parking-duration scenario compared to the long-parking-duration scenario.
The choice of the charging power is also an important part of the user’s charging decision. Given the significant impact of fast charging on battery life, users tend to prioritize slow charging. Users always have an ideal SOC for each charging session. If slow charging can charge the battery to the ideal SOC while the vehicle is parked, users will choose slow charging. If not, the user will choose fast charging. The calculation formula for the charging duration needed with slow charging to achieve the ideal SOC is as follows:
t t h = 60 ( S e s t , i S o , i ) C b , i η c p c , s
where t t h is the charging duration required to reach the ideal SOC with slow charging. p c , s is the slow charging power. S e s t , i is the ideal SOC, where the ideal SOC is set to 1 when the user is in a residential area and follows a uniform distribution of U ( 0.7 , 1 ) in other functional areas. S o , i is the SOC of vehicle i when it reaches the destination. C b , i is the battery capacity of vehicle i . η c is the charging efficiency, which is set to 0.9 in this study.

4.4. Process of Simulating Disordered Charging Load of EVs Based on Monte Carlo Method

The Monte Carlo method is a numerical computation approach based on probability and statistics. This study uses the Monte Carlo method to simulate the travel and charging behaviors of EV users. This enables the determination of charging periods and charging loads, thereby achieving disordered charging load forecasting for EVs. The process of simulating the disordered charging load of EVs based on the Monte Carlo method is shown in Figure 18, and the specific steps are as follows:
  • Step 1:
Import vehicle, road network, and distribution network data. Set the total number of Monte Carlo iterations, N m c , and the total number of EVs in the region, N E V . Assign home and work addresses for all the EV users. Initialize the Monte Carlo iteration count n m c and the EV serial number n E V .
2.
Step 2:
Initialize the simulation duration T c . Sample the initial travel time, initial travel location, and initial SOC of the EV.
3.
Step 3:
Determine the travel purpose by sampling from the transition probability matrix. Based on the time-flow model and actual traffic flow on each road segment, calculate the travel time matrix. Use the improved Floyd algorithm to obtain the time-optimal routing matrix and select the driving path accordingly. Finally, calculate the driving duration and update the simulation duration T c .
4.
Step 4:
Check whether the simulation duration T c exceeds the upper limit. If not, proceed to step 5. Otherwise, end the current iteration.
5.
Step 5:
Calculate the mileage energy consumption E 1 based on the driving distance and energy consumption per unit mileage. Based on the ambient temperature and SOC, calculate the probability P O N of turning on the air conditioning and update the air conditioning energy consumption E 2 . Then, calculate the total driving energy consumption E and update the state of charge S O C .
6.
Step 6:
Sample the parking duration from the probability density function corresponding to the travel purpose. Determine the user’s charging mode. If the charging mode is rigid, charging is enforced. If the charging mode is flexible, the user’s charging probability P c is calculated using the fuzzy logic inference system based on the SOC, average electricity price, and parking duration. Then, determine whether the user will charge their EV. If the user chooses to charge their vehicle, calculate the time t t h required to reach the ideal SOC with slow charging and compare it with the parking duration t p , i to decide whether the user will choose fast charging or slow charging. Finally, update the charging load, state of charge S O C , and simulation duration T c .
7.
Step 7:
Repeat Steps 3 to 6 until the simulation duration T c exceeds the upper limit. Then, increase the EV serial number n E V by 1.
8.
Step 8:
Repeat Steps 2 to 7 until the EV serial number n E V exceeds the total number of EVs, N E V . Then, increase the Monte Carlo iteration count n m c by 1 and reinitialize the EV serial number n E V .
9.
Step 9:
Repeat Steps 2 to 8 until the Monte Carlo iteration count n m c exceeds the total number of Monte Carlo iterations, N m c . Finally, output the charging load for each functional area and the total regional charging load.

5. Case Analysis

5.1. Simulation Parameter Settings

Taking a day with typical summer weather as an example, this study forecast the EV charging load in a specific area of Jiangning District, Nanjing. The temperature variation curve of a typical summer day in this area is shown in Figure 19, and the time-of-use electricity pricing is provided in Table 5. The total number of EVs was set to 5000, with each vehicle having a battery capacity of 60 kWh. The slow charging power was 7 kW, and the fast charging power was 60 kW. The number of Monte Carlo simulation iterations was set to 2000.

5.2. Analysis of Simulation Results

5.2.1. Simulation Results for Temporal Distribution of EV Charging Load

This study simulated the temporal distribution of the EV charging load under working day and rest day scenarios. The simulation results appear in Figure 20. As can be observed in the figure, the charging load in both scenarios started to decline continuously from midnight, reaching the lowest point at approximately 5:15 for working days and 6:15 for rest days. The minimum charging load was 541.1 kW on working days and 298.5 kW on rest days. During the daytime period, the EV charging load on working days showed a gradual increase. In contrast, the charging load on rest days increased more rapidly, reaching a small peak at around 14:00. At night, the charging load in both scenarios began to rise at around 20:00 and peaked at approximately 22:30, reaching 3641.8 kW on working days and 3532 kW on rest days. This indicates that EV users tend to charge their vehicles in the evening after completing their daily travel.

5.2.2. Simulation Results for Spatial and Temporal Distribution of EV Charging Load

The spatiotemporal distribution of the EV charging loads across the functional areas on working days and rest days is shown in Figure 21. It can be observed that the distribution was highly uneven across both time and space. Spatially, the charging loads were primarily concentrated in residential areas, followed by commercial areas, industrial areas, office areas, and schools, while other functional areas exhibited a relatively low charging demand. Temporally, residential areas showed a significantly higher charging demand during the nighttime period compared to the daytime. This is because users tend to spend less time in residential areas during the day and prefer to charge their vehicles after returning home in the evening. For commercial areas, the charging load remained at a low level from midnight to 8:00 a.m. As participation in daytime leisure and entertainment activities increased, the charging load gradually rose. On working days, the charging load in industrial areas, office areas, and schools was mainly concentrated during the morning peak period. The charging loads in hospitals, scenic areas, and stations were concentrated during their daytime operating hours, while their overall charging load remained relatively low. In comparison, the charging load in commercial areas and scenic areas was higher on rest days than on working days, whereas industrial areas, office areas, and schools showed significantly higher charging loads on working days.
The spatiotemporal distribution of the charging loads across the distribution network nodes in the study area appears in Figure 22. As illustrated in the figure, the EV charging loads were primarily concentrated during late-night hours. Additionally, node 27 in the distribution network showed a relatively high charging load during the afternoon period. According to the table of the correspondences between the distribution network nodes and functional areas, node 27 supplied power to functional areas 20, 21, 24, and 36. Among these, functional area 36 was an ultra-large commercial area. Therefore, the charging load curve of node 27 in the afternoon was similar to the charging load curve of the commercial area. Nodes 15, 20, 22, and 29 exhibited high charging loads during the late-night period. These nodes mainly supplied power to residential areas. Comparing working days and rest days, the morning peak charging load was higher on working days, while the afternoon charging load was significantly higher on rest days.

5.2.3. Sensitivity Analysis of Key Parameters

This paper conducted a sensitivity analysis of two key parameters in the model—the EV battery capacity and the number of EVs in the study area—to evaluate their impact on the charging load prediction results.
  • Sensitivity analysis of battery capacity
In this study, three battery capacities—50 kWh, 60 kWh, and 70 kWh—were selected, and the EV charging load on working days was predicted for each capacity. The simulation results appear in Figure 23. The figure indicates that as the battery capacity increases, the overall charging load curve rises slightly. However, the shapes of the three load curves are nearly identical. This indicates that changes in the battery capacity primarily affect the magnitude of the charging load rather than altering the basic shape of the load curve.
2.
Sensitivity analysis of the number of EVs
In this study, four different numbers of EVs were set, and the EV charging load on working days was predicted for each case. The results are shown in Figure 24. It is clear that as the number of EVs grows, the overall charging load level rises significantly. This effect is especially significant during the peak charging load periods. However, during the early-morning load valley, a rise in the number of EVs has a smaller effect on the load.
This study conducted a sensitivity analysis of two key parameters: the battery capacity and the number of EVs. The results indicate that an increase in the battery capacity slightly raises the EV charging load values but has no significant impact on the shape of the load curve. In addition, an increase in the number of EVs significantly raises the overall charging load level, especially during peak charging load periods, when the growth in the load is more pronounced. Therefore, when predicting the EV charging load, both the battery capacity and the number of EVs are important parameters to consider. In particular, the number of EVs has a considerable effect on the prediction of the charging load during peak periods. This sensitivity analysis provides a reference for future model optimization and improvements in the charging load prediction accuracy.

5.3. Model Adaptability and Parameter Adjustment

To enable the proposed model to adapt to different regions and environments, this section will discuss in detail the key parameters required by the model. By adjusting these parameters, the model is capable of predicting the EV charging load in different cities, climates, and policy contexts. The specific parameters that need to be adjusted are as follows:
  • Road network parameters:
The road network varies greatly across different cities, so adjustments to the road network settings according to the specific conditions are necessary. Specifically, the road network parameters that need to be adjusted include the road network topology, road length, actual traffic flow, road classification, maximum traffic capacity, and free-flow speed.
2.
Distribution network parameters:
Similarly to the road network parameters, the distribution network parameters also need to be adjusted according to the real conditions, especially the topology of the distribution network.
3.
Functional area distribution:
Areas need to be classified into functional areas based on their attributes and functional orientation. The zones are divided into eight types: residential areas, office areas, industrial areas, hospitals, stations, schools, scenic areas, and commercial areas.
4.
Vehicle parameters:
Vehicle ownership is an important factor affecting the charging load. Adjustments should be made according to the local number of EVs to accurately reflect the charging demand.
5.
Policy parameters:
Electricity pricing policies are key factors affecting EV users’ charging patterns. Therefore, the time-of-use pricing periods and electricity prices for each period should be adjusted according to the local electricity pricing policy.
6.
Temperature parameters:
The temperature has a remarkable influence on the air conditioning energy consumption of EVs, so the typical daily temperature curves need to be adjusted based on the local climate conditions.
By adjusting the above key parameters, the model introduced in this paper can be adapted to different cities, thereby realizing accurate prediction of electric vehicle charging loads.

5.4. Limitations and Future Work

This paper proposes a forecasting method for the EV charging load that considers user travel characteristics and charging behavior. A systematic study was conducted at both the model construction and theoretical levels. The effectiveness of the proposed model was verified by forecasting the EV charging load in a case study area. However, due to the difficulty in obtaining actual charging load data, the forecast results have not yet been validated against real operational data. This limitation weakens the persuasiveness of the research findings to some extent.
To address this issue, future research will focus on cooperating with charging station operators and power management departments to obtain real charging load data. In different regional scenarios, the model’s predicted results will be compared with the actual charging loads to validate the model’s effectiveness and adaptability. In addition, we plan to introduce artificial intelligence algorithms to further improve the accuracy and adaptability of the forecasting model. This will support the planning of charging infrastructure and lay a foundation for the optimized scheduling of orderly charging and discharging of EVs.

6. Conclusions

This paper predicts the EV charging load in the study area, verifies the effectiveness of the method, and draws the following conclusions:
(1)
The EV charging loads during the nighttime are generally consistent between working days and rest days. However, there are significant differences during the daytime, mainly due to variations in the user travel characteristics and traffic conditions. In addition, the EV charging loads are primarily concentrated late at night. On both working days and rest days, at around 22:30, the charging load reaches its peak at 3641.8 kW and 3532 kW, respectively. This is due to the longer parking duration and lower charging prices during the night, which reflects the guiding effect of time-of-use pricing on user charging behavior.
(2)
The spatiotemporal distribution of the EV charging loads across various functional zones reveals a notable imbalance. Spatially, the charging load is predominantly concentrated in residential and commercial areas, with significantly less demand in other functional zones. Thus, when building charging stations, priority should be placed on installing charging units in residential and commercial areas. From a temporal distribution perspective, EV charging load fluctuations are more pronounced in residential areas than in other zones. The load factors for the charging loads in residential areas are 0.4336 on working days and 0.4325 on rest days.
(3)
An analysis of the spatiotemporal distribution of the EV charging loads at each distribution network node revealed that the charging demand at these nodes is strongly associated with the type of functional area they supply.
(4)
Accurate forecasting of EV charging loads is critical for the optimal planning of charging infrastructure’s layout and capacity. Furthermore, accurate forecasting provides a foundation for optimized scheduling of vehicle-to-grid operations. This contributes to peak load shaving and a reduction in the overall grid operating costs.
(5)
This research developed an EV charging load prediction model that incorporates users’ travel characteristics and charging behaviors. While the model provides accurate predictions of the charging loads in various functional zones, it still has some limitations. In particular, it does not fully address the influence of the charging infrastructure on users’ charging choices, and we could not validate the accuracy of the load predictions. Further research will be conducted on the availability of charging facilities in the future.

Author Contributions

Conceptualization, H.B. and Y.Z.; methodology, X.T., K.J. and Y.Z.; software, X.T. and Y.X.; validation, H.B., X.T. and Y.X.; formal analysis, X.T. and Y.Z.; investigation, X.T. and K.J.; resources, H.B. and X.T.; data curation, H.B. and X.T.; writing—original draft, H.B. and X.T.; writing—review and editing, H.B., X.T. and Y.Z.; visualization, K.J. and X.T.; supervision, H.B. and Y.X.; project administration, H.B. and X.T.; funding acquisition, H.B. and X.T. All authors have read and agreed to the published version of the manuscript.

Funding

This research is funded by the Graduate Student Scientific and Technological Innovation Fund Project of Nanjing Institute of Technology, with the project number TB202517020.

Data Availability Statement

The data and code supporting the findings of this study are available upon request from the corresponding author.

Conflicts of Interest

The authors declare no conflicts of interest.

Abbreviations

The following abbreviations are used in this manuscript:
EVElectric Vehicle
EVsElectric Vehicles
SOCState of Charge
LSTMLong Short-Term Memory
RNNsRecurrent Neural Networks
ANNsArtificial Neural Networks
BPRBureau of Public Roads
FAsFamily Activities
WWork
SShopping
DDining
EEntertainment
EAsEducational Activities
MCMedical Care
PUPick-Up
NHTSNational Household Travel Survey

References

  1. He, H.; Huang, Y.; Senjyu, T. Microgrid load forecasting and optimization for future remote island electric vehicle mass penetration: The case of Okinawa Island. Energy Rep. 2024, 11, 5532–5541. [Google Scholar] [CrossRef]
  2. Liu, Z.; Zhang, Q.; Zhu, Y.; Wu, J.; Huang, Y.; Li, C. Spatial-Temporal Distribution Prediction of Charging Loads for Electric Vehicles Considering Vehicle-Road-Station-Grid Integration. Autom. Electr. Power Syst. 2022, 46, 36–45. [Google Scholar]
  3. Gu, W.; Duan, J.; Zhang, D.; Hao, X.; Xue, H.; An, Y.; Duan, J. Prediction of Spatial and Temporal Distribution of Electric Vehicle Charging Loads Based on Joint Data and Modeling Drive. Comput. Sci. 2024, 51, 1032–1037. [Google Scholar]
  4. Wang, S.; Liu, B.; Li, Q.; Han, D.; Zhou, J.; Xiang, Y. EV charging behavior analysis and load prediction via order data of charging stations. Sustainability 2025, 17, 1807. [Google Scholar] [CrossRef]
  5. Xing, Y.; Li, F.; Sun, K.; Wang, D.; Chen, T.; Zhang, Z. Multi-type electric vehicle load prediction based on Monte Carlo simulation. Energy Rep. 2022, 8, 966–972. [Google Scholar] [CrossRef]
  6. Li, Y.; Jiang, T.; Shu, J.; Zheng, C.; Xie, P.; Luo, L.; Liu, H.; Hu, D.; Long, Y.; Xiong, S. Prediction of spatiotemporal distribution of electric vehicle charging load based on user behavior. In Proceedings of the 2024 International Conference on Artificial Intelligence and Power Systems (AIPS), Chengdu, China, 19–21 April 2024; pp. 368–371. [Google Scholar]
  7. Liang, C.; Li, W. Electric Vehicle Charging Load Forecasting Model Considering Users’ Travel Rules. In Proceedings of the 2023 3rd New Energy and Energy Storage System Control Summit Forum (NEESSC), Mianyang, China, 26–28 September 2023; pp. 353–357. [Google Scholar]
  8. Cheng, J.; Liu, N. Electric vehicles charging load prediction based on Monte Carlo method. In Proceedings of the 2022 2nd International Conference on Electrical Engineering and Control Science (IC2ECS), Nanjing, China, 16–18 December 2022; pp. 846–850. [Google Scholar]
  9. Aduama, P.; Zhang, Z.; Al-Sumaiti, A.S. Multi-feature data fusion-based load forecasting of electric vehicle charging stations using a deep learning model. Energies 2023, 16, 1309. [Google Scholar] [CrossRef]
  10. Dabbaghjamanesh, M.; Moeini, A.; Kavousi-Fard, A. Reinforcement learning-based load forecasting of electric vehicle charging station using Q-learning technique. IEEE Trans. Ind. Inform. 2020, 17, 4229–4237. [Google Scholar] [CrossRef]
  11. Arias, M.B.; Bae, S. Electric vehicle charging demand forecasting model based on big data technologies. Appl. Energy 2016, 183, 327–339. [Google Scholar] [CrossRef]
  12. Liu, Z.; Yin, W.; Feng, D.; Zhou, Y. A framework for analyzing the spatiotemporal distribution of urban electric vehicle charging load: A case study of Shanghai. Sustain. Cities Soc. 2025, 127, 106392. [Google Scholar] [CrossRef]
  13. Mahmoudi, E.; dos Santos Barros, T.A.; Ruppert Filho, E. Forecasting urban electric vehicle charging power demand based on travel trajectory simulation in the realistic urban street network. Energy Rep. 2024, 11, 4254–4276. [Google Scholar] [CrossRef]
  14. Zhang, M.; Sun, Q.; Yang, X. Electric vehicle charging load prediction considering multi-source information real-time interaction and user regret psychology. Power Syst. Technol. 2022, 46, 632–645. [Google Scholar]
  15. Shen, X.; Fang, X.; Tan, L.; Li, X.; Sun, J. Prediction of spatio-temporal distribution of electric vehicle load based on residential travel simulation. Electr. Power Eng. Technol. 2024, 43, 130–139. [Google Scholar]
  16. Ding, L.; Ke, S.; Zhang, F.; Lin, X.; Wu, M.; Zhang, J.; Yang, J. Forecasting of Electric-Vehicle Charging Load Considering Travel Demand and Guidance Strategy. Electr. Power Constr. 2024, 45, 10–26. [Google Scholar]
  17. Niu, M.; Liao, K.; Yang, J.; Xiang, Y. Multi-time-scale electric vehicle load forecasting model considering seasonal characteristics. Power Syst. Prot. Control 2022, 50, 74–85. [Google Scholar]
  18. Zhang, L.; Xu, C.; Wang, L.; Li, J.; Chen, X.; Yang, X.; Shi, Y. OD matrix based spatiotemporal distribution of EV charging load prediction. Power Syst. Prot. Control 2021, 49, 82–91. [Google Scholar]
  19. Li, X.; Li, L.; Liu, W.; Zhao, X.; Xie, Q. Spatial-temporal distribution prediction of charging load for electric vehicles based on dynamic traffic information. Power Syst. Prot. Control 2020, 48, 117–125. [Google Scholar]
  20. Wang, H.; Zhang, M.; Yang, X. Electric vehicle charging demand forecasting based on influence of weather and temperature. Electr. Meas. Instrum. 2017, 54, 123–128. [Google Scholar]
  21. Hou, H.; Wang, Y.; Wu, X.; Chen, Y.; Huang, L.; Zhang, R. Electric Vehicle Charging and Discharging Scheduling Strategy Considering Psychological Effect of Mileage Anxiety on a Long-time Scale. High Volt. Eng. 2023, 49, 85–93. [Google Scholar]
  22. Arslan, T. A psychometric approach to the VIKOR method for eliciting subjective public assessments. IEEE Access 2020, 8, 54100–54109. [Google Scholar] [CrossRef]
  23. Li, W. Modeling of PEV Air Conditioning System and Analysis of Energy Consumption Proportion. Master’s Thesis, Jilin University, Changchun, China, 2020. [Google Scholar]
  24. Li, J.; Yang, W. Spatial⁃temporal Forecast Method of Electric Vehicles Charging Load Considering Decision⁃making of Trip Path. Power Capacit. React. Power Compens. 2023, 44, 62–71. [Google Scholar]
  25. U.S. Department of Transportation, Federal Highway Administration. 2022 National Household Travel Survey. Available online: https://nhts.ornl.gov (accessed on 15 April 2024).
  26. Wang, Y.; Infield, D. Markov Chain Monte Carlo simulation of electric vehicle use for network integration studies. Int. J. Electr. Power Energy Syst. 2018, 99, 85–94. [Google Scholar] [CrossRef]
  27. Guo, Z.; Bian, H.; Zhou, C.; Ren, Q.; Gao, Y. An electric vehicle charging load prediction model for different functional areas based on multithreaded acceleration. J. Energy Storage 2023, 73, 108921. [Google Scholar] [CrossRef]
Figure 1. Factors influencing electric vehicle charging load.
Figure 1. Factors influencing electric vehicle charging load.
Wevj 16 00502 g001
Figure 2. The topological structure of the road network and the functional area division results.
Figure 2. The topological structure of the road network and the functional area division results.
Wevj 16 00502 g002
Figure 3. The topology of the IEEE 33-bus distribution network.
Figure 3. The topology of the IEEE 33-bus distribution network.
Wevj 16 00502 g003
Figure 4. Topological diagram of the coupling relationship between the road network and the distribution network.
Figure 4. Topological diagram of the coupling relationship between the road network and the distribution network.
Wevj 16 00502 g004
Figure 5. Curve showing probability of users turning on air conditioning for cooling under different ambient temperatures.
Figure 5. Curve showing probability of users turning on air conditioning for cooling under different ambient temperatures.
Wevj 16 00502 g005
Figure 6. Curves of air conditioning activation probability with varying ambient temperatures under different SOC levels.
Figure 6. Curves of air conditioning activation probability with varying ambient temperatures under different SOC levels.
Wevj 16 00502 g006
Figure 7. Schematic diagram of the travel chain structure.
Figure 7. Schematic diagram of the travel chain structure.
Wevj 16 00502 g007
Figure 8. Travel state transition probability matrix for different time periods on working days.
Figure 8. Travel state transition probability matrix for different time periods on working days.
Wevj 16 00502 g008
Figure 9. Travel state transition probability matrix for different time periods on rest days.
Figure 9. Travel state transition probability matrix for different time periods on rest days.
Wevj 16 00502 g009
Figure 10. Fitting results for the user’s initial travel time.
Figure 10. Fitting results for the user’s initial travel time.
Wevj 16 00502 g010
Figure 11. Fitting results for initial SOC of EVs.
Figure 11. Fitting results for initial SOC of EVs.
Wevj 16 00502 g011
Figure 12. Fitting results for parking duration for different travel purposes.
Figure 12. Fitting results for parking duration for different travel purposes.
Wevj 16 00502 g012
Figure 13. Membership function of the average electricity price.
Figure 13. Membership function of the average electricity price.
Wevj 16 00502 g013
Figure 14. Membership function of the SOC.
Figure 14. Membership function of the SOC.
Wevj 16 00502 g014
Figure 15. Membership function of the parking duration.
Figure 15. Membership function of the parking duration.
Wevj 16 00502 g015
Figure 16. Membership function of the charging probability.
Figure 16. Membership function of the charging probability.
Wevj 16 00502 g016
Figure 17. Fuzzy surface of the user’s flexible charging probability.
Figure 17. Fuzzy surface of the user’s flexible charging probability.
Wevj 16 00502 g017
Figure 18. Process of simulating disordered charging load of EVs based on Monte Carlo method.
Figure 18. Process of simulating disordered charging load of EVs based on Monte Carlo method.
Wevj 16 00502 g018
Figure 19. Temperature variation curve of a typical summer day in Nanjing.
Figure 19. Temperature variation curve of a typical summer day in Nanjing.
Wevj 16 00502 g019
Figure 20. Simulation results for temporal distribution of EV charging load.
Figure 20. Simulation results for temporal distribution of EV charging load.
Wevj 16 00502 g020
Figure 21. Spatiotemporal distribution of EV charging load across functional areas.
Figure 21. Spatiotemporal distribution of EV charging load across functional areas.
Wevj 16 00502 g021
Figure 22. Spatiotemporal distribution of EV charging load across distribution network nodes.
Figure 22. Spatiotemporal distribution of EV charging load across distribution network nodes.
Wevj 16 00502 g022
Figure 23. The EV charging load curve on working days for different battery capacities.
Figure 23. The EV charging load curve on working days for different battery capacities.
Wevj 16 00502 g023
Figure 24. The EV charging load curve on working days for different numbers of EVs.
Figure 24. The EV charging load curve on working days for different numbers of EVs.
Wevj 16 00502 g024
Table 1. Correspondence between distribution network nodes and functional area numbers.
Table 1. Correspondence between distribution network nodes and functional area numbers.
Distribution Network NodeFunctional Area NumbersDistribution Network NodeFunctional Area NumbersDistribution Network NodeFunctional Area Numbers
23, 4, 51369, 70, 71246, 14, 15
38, 18, 191461, 62, 63251, 2
422, 23, 331542, 44, 522646, 56
534, 35, 451630, 31, 322720, 21, 24, 36
653, 54, 551729, 412825, 37, 47
764, 721843, 512948, 49, 50
876, 79, 83199, 10, 113057, 58, 59
985, 882012, 133167, 68
1084, 87, 892126, 27, 283277, 80, 81
1160, 82, 862238, 39, 403365, 66, 73
1274, 75, 78237, 16, 17
Table 2. Correspondence between travel purposes and functional areas.
Table 2. Correspondence between travel purposes and functional areas.
Travel PurposesFunctional Areas
FAResidential area
WOffice area/industrial area
SCommercial area
DCommercial area
ECommercial area/scenic area
EASchool
MCHospital
PUStation/school
Table 3. Probability distribution of initial travel locations.
Table 3. Probability distribution of initial travel locations.
Type of Functional AreaWorking DaysRest Days
Residential area93.54%75.83%
Commercial area/scenic area4.89%13.84%
Office area/industrial area0.93%8.77%
School/station0.55%1.31%
Hospital0.09%0.25%
Table 4. Fuzzy logic inference rules.
Table 4. Fuzzy logic inference rules.
Serial NumberSOCAverage Electricity PriceParking DurationCharging Probability
1LowLowShortHigh
2LowLowMediumHigher
3LowLowLongHigher
4LowMediumShortMedium
5LowMediumMediumHigh
6LowMediumLongHigh
7LowHighShortLow
8LowHighMediumMedium
9LowHighLongMedium
10LowHigherShortLow
11LowHigherMediumLow
12LowHigherLongMedium
13MediumLowShortMedium
14MediumLowMediumHigh
15MediumLowLongHigh
16MediumMediumShortLow
17MediumMediumMediumMedium
18MediumMediumLongMedium
19MediumHighShortLow
20MediumHighMediumLow
21MediumHighLongLow
22MediumHigherShortLower
23MediumHigherMediumLow
24MediumHigherLongLow
25HighLowShortLow
26HighLowMediumMedium
27HighLowLongMedium
28HighMediumShortLower
29HighMediumMediumLow
30HighMediumLongLow
31HighHighShortLower
32HighHighMediumLower
33HighHighLongLow
34HighHigherShortLower
35HighHigherMediumLower
36HighHigherLongLower
37HigherLowShortLower
38HigherLowMediumLow
39HigherLowLongLow
40HigherMediumShortLower
41HigherMediumMediumLower
42HigherMediumLongLower
43HigherHighShortLower
44HigherHighMediumLower
45HigherHighLongLower
46HigherHigherShortLower
47HigherHigherMediumLower
48HigherHigherLongLower
Table 5. Time-of-use electricity pricing.
Table 5. Time-of-use electricity pricing.
Time-of-Use PeriodsTime PeriodsCharging Price (CNY/kWh)
Peak period08:30–12:30
17:30–21:00
1.1
Flat period04:30–08:30
12:30–17:30
21:00–22:15
0.65
Valley period00:00–04:30
22:15–24:00
0.28
Disclaimer/Publisher’s Note: The statements, opinions and data contained in all publications are solely those of the individual author(s) and contributor(s) and not of MDPI and/or the editor(s). MDPI and/or the editor(s) disclaim responsibility for any injury to people or property resulting from any ideas, methods, instructions or products referred to in the content.

Share and Cite

MDPI and ACS Style

Bian, H.; Tang, X.; Ji, K.; Zhang, Y.; Xie, Y. Prediction of Electric Vehicle Charging Load Considering User Travel Characteristics and Charging Behavior. World Electr. Veh. J. 2025, 16, 502. https://doi.org/10.3390/wevj16090502

AMA Style

Bian H, Tang X, Ji K, Zhang Y, Xie Y. Prediction of Electric Vehicle Charging Load Considering User Travel Characteristics and Charging Behavior. World Electric Vehicle Journal. 2025; 16(9):502. https://doi.org/10.3390/wevj16090502

Chicago/Turabian Style

Bian, Haihong, Xin Tang, Kai Ji, Yifan Zhang, and Yongqing Xie. 2025. "Prediction of Electric Vehicle Charging Load Considering User Travel Characteristics and Charging Behavior" World Electric Vehicle Journal 16, no. 9: 502. https://doi.org/10.3390/wevj16090502

APA Style

Bian, H., Tang, X., Ji, K., Zhang, Y., & Xie, Y. (2025). Prediction of Electric Vehicle Charging Load Considering User Travel Characteristics and Charging Behavior. World Electric Vehicle Journal, 16(9), 502. https://doi.org/10.3390/wevj16090502

Article Metrics

Back to TopTop