Design, Modeling, and Experimental Validation of a Hybrid Piezoelectric–Magnetoelectric Energy-Harvesting System for Vehicle Suspensions
Abstract
1. Introduction
2. Materials and Methods
2.1. Model-Based Systems Engineering (MBSE)
2.1.1. Holistic Approach for Complex System Design
2.1.2. MBSE Design of the Vibration Energy-Harvesting System for Automotive Suspensions
2.2. System Architecture of Subsystem Components
2.3. Material Used for Energy Harvesting and the Experimental Setup for Measurement
2.3.1. Material Used for Piezoelectric Energy Harvesting
2.3.2. Experimental Setup for Measurement
3. Results and Discussion
3.1. Theoretical Modeling of the Hybrid System
3.1.1. Theoretical Model of Power Harvested by the Piezoelectric System
- and are the equivalent resistance and capacitance of the piezoelectric element;
- is the transverse piezoelectric coefficient;
- represents applied stress;
- is the active surface area of the material;
- is the angular excitation frequency.
3.1.2. Theoretical Model of Power Harvested by the Magnetoelectric System
- is the magnetic induction;
- ω is the pulsation;
- S is the surface of a spire;
- l is the length of a spire.
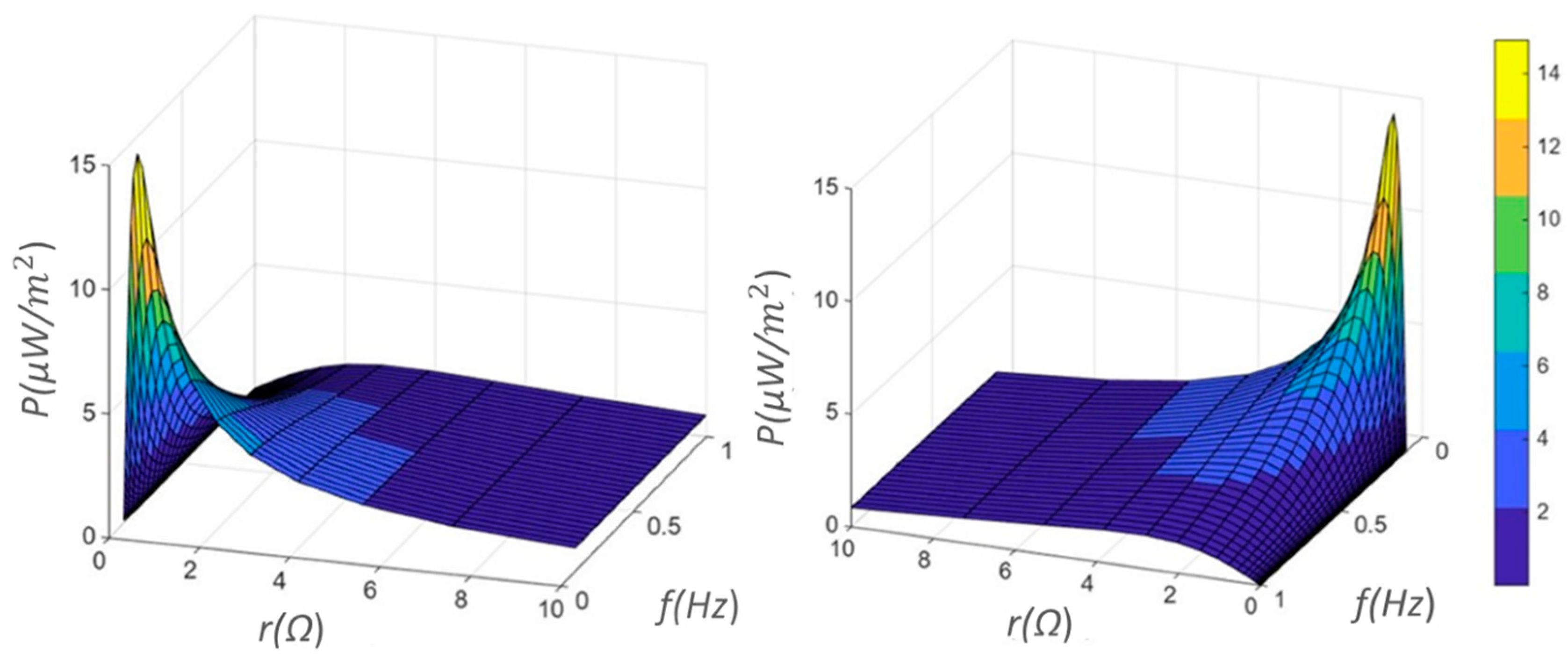
3.2. Piezoelectric Energy-Harvesting System Response
3.3. The Magnetoelectric Energy-Harvesting Response of the System
3.4. Comparative Analysis of Energy-Harvesting Systems
4. Conclusions
Author Contributions
Funding
Data Availability Statement
Conflicts of Interest
References
- Remaidi, M.; Derraz, M.; Ennawaoui, A.; El Hmamsy, Y.; Mastouri, H.; Ennawaoui, C.; Hajjaji, A. Innovative Au-tonomous Lead-Free Hybrid Piezo-Pyroelectric Sensor for Real-Time Wear Assessment of Disc Brake Pads. Results Eng. 2025, 26, 104617. [Google Scholar] [CrossRef]
- De Neef, A.; Samuel, C.; Stoclet, G.; Rguiti, M.; Courtois, C.; Dubois, P.; Soulestin, J.; Raquez, J.M. Processing of PVDF-based electroactive/ferroelectric films: Importance of PMMA and cooling rate from the melt state on the crystallization of PVDF beta-crystals. Soft Matter 2018, 14, 4591–4602. [Google Scholar] [CrossRef]
- Derraz, M.; Ennawaoui, C.; Achour, M.A.; Hajjaji, A.; Laadissi, E.M.; Chhiti, Y.; Azim, A.E.; Jama, C.; Arif, A.; Aboulouard, A.; et al. Morphological, piezoelectric and dielectric properties of piezoelectric lead-free ceramic Bi4Ti3O12 for energy harvesting applications: Milling process effects. Links 2023, 111, 5–6. [Google Scholar] [CrossRef]
- Wang, Z.L. Triboelectric nanogenerators as new energy technology for self-powered systems and as active mechanical and chemical sensors. ACS Nano 2013, 7, 9533–9557. [Google Scholar] [CrossRef]
- Niu, S.; Wang, S.; Lin, L.; Liu, Y.; Zhou, Y.S.; Hu, Y.; Wang, Z.L. Theoretical study of contact-mode triboelectric nanogenerators as an effective power source. Energy Environ. Sci. 2013, 6, 3576–3583. [Google Scholar] [CrossRef]
- Haroun, A.; Sharaf, A.M. A hybrid energy harvesting system for vehicular applications using piezoelectric-electromagnetic transducers. IEEE Access 2019, 7, 93372–93385. [Google Scholar]
- Yang, Z.; Zhou, S.; Zu, J.; Inman, D. High-performance piezoelectric energy harvesters and their applications. J. Intell. Mater. Syst. Struct. 2018, 29, 2083–2113. [Google Scholar] [CrossRef]
- Khernane, S.; Bouam, S.; Arar, C. Renewable Energy Harvesting for Wireless Sensor Networks in Precision Agri-culture. Int. J. Networked Distrib. Comput. 2024, 12, 8–16. [Google Scholar] [CrossRef]
- Hussain, M.N.; Halim, M.A.; Khan, M.Y.A.; Ibrahim, S.; Haque, A. A Comprehensive Review on Techniques and Challenges of Energy Harvesting from Distributed Renewable Energy Sources for Wireless Sensor Networks. Control Syst. Optim. Lett. 2024, 2, 15–22. [Google Scholar] [CrossRef]
- Cherifi, Y.; Chaouchi, A.; Lorgouilloux, Y.; Rguiti, M.; Kadri, A.; Courtois, C. Electrical, dielectric and photocatalytic properties of Fe-doped ZnO nanomaterials synthesized by sol gel method. Process. Appl. Ceram. 2016, 10, 125–135. [Google Scholar] [CrossRef]
- Rjafallah, A.; Younis, A.; Cotfas, D.T.; Cotfas, P.A. Effects of temperature uniformity and nonuniformity on thermoelectric generator performance across hot and cold sides. Case Stud. Therm. Eng. 2024, 59, 104596. [Google Scholar] [CrossRef]
- Derraz, M.; Ennawaoui, C.; Mastouri, H.; El Hmamssy, Y.; Abouricha, N.; Rjafallah, A.; Hajjaji, A. Mathematical modeling for predicting electrical energy harvested using piezoelectric composite materials for smart system applica-tions. Micro Nano Eng. 2024, 23, 100253. [Google Scholar] [CrossRef]
- Tabbai, Y.; Rjafallah, A.; Lifi, H.; Hajjaji, A.; El Moznine, R.; El Ballouti, A. Energy Harvesting Applications Using Lead Zirconate Titanate Ceramics (PZT) and Polyurethane/Lead Zirconate Titanate Composites (PU/PZT). In Advances in Energy Research; Nova Science Publishers: Hauppauge, NY, USA, 2024. [Google Scholar]
- Iqbal, M.; Nauman, M.M.; Khan, F.U.; Abas, P.E.; Cheok, Q.; Iqbal, A.; Aissa, B. Vibration-based piezoelectric, electromagnetic, and hybrid energy harvesters for microsystems applications: A contributed review. Int. J. Energy Res. 2021, 45, 65–102. [Google Scholar] [CrossRef]
- Poulin, G.; Sarraute, E.; Costa, F. Generation of electrical energy for portable devices: Comparative study of an electromagnetic and a piezoelectric system. Sens. Actuators A Phys. 2004, 116, 461–471. [Google Scholar] [CrossRef]
- Manivannan, R. Research on IoT-based hybrid electrical vehicles energy management systems using machine learning-based algorithm. Sustain. Comput. Inform. Syst. 2024, 41, 100943. [Google Scholar] [CrossRef]
- Kaššaj, M.; Peráček, T. Synergies and Potential of Industry 4.0 and Automated Vehicles in Smart City Infra-struc-ture. Appl. Sci. 2024, 14, 3575. [Google Scholar] [CrossRef]
- Hosseini, S.M.; Soleymani, M.; Kelouwani, S.; Amamou, A.A. Energy recovery and energy harvesting in electric and fuel cell vehicles, a review of recent advances. IEEE Access 2023, 11, 83107–83135. [Google Scholar] [CrossRef]
- Bulut, M.S.; Ordu, M.; Der, O.; Basar, G. Sustainable thermoplastic material selection for hybrid vehicle battery packs in the automotive industry: A comparative multi-criteria decision-making approach. Polymers 2024, 16, 2768. [Google Scholar] [CrossRef]
- Huang, C.Y.; Chung, P.H.; Shyu, J.Z.; Ho, Y.H.; Wu, C.H.; Lee, M.C.; Wu, M.J. Evaluation and selection of materials for particulate matter MEMS sensors by using hybrid MCDM methods. Sustainability 2018, 10, 3451. [Google Scholar] [CrossRef]
- Ennawaoui, A.; Rabhi, A.; Derraz, M.; Hadraoui, H.E.; Mousaid, I.; Daoud, M.A.; Mastouri, H.; Ennawaoui, C.; Chhiti, Y. Water treatment technologies: Development and implementation of an automated laboratory flotation cell for mineral processing and performance analysis. Results Eng. 2025, 25, 103785. [Google Scholar] [CrossRef]
- Ennawaoui, A.; El Hadraoui, H.; Chhiti, Y.; Mousaid, I.; Bensitel, M.; Chebak, A. Design of a Flocculation-Thickening Test Bench for Laboratory Operations Using Model-Based System Engineering. In Proceedings of the 2023 3rd International Conference on Electrical, Computer, Communications and Mechatronics Engineering (ICECCME), Online, 20–21 July 2023; pp. 1–6. [Google Scholar] [CrossRef]
- Ennawaoui, A.; Chhiti, Y.; Bensitel, M.; Mousaid, I.; Ennawaoui, C.; Chebak, A. Design of an Automated Flotation Cell for Laboratory Operations Using Model-Based System Engineering. In Proceedings of the IEEE EUROCON 2023-20th International Conference on Smart Technologies 2023, Torino, Italy, 6–8 July 2023; pp. 788–793. [Google Scholar] [CrossRef]
- Ennawaoui, A.; Rachidi, M.B.; Guennouni, N.; Mousaid, I.; Daoud, M.A.; Mastouri, H.; Ennawaoui, C.; Chhiti, Y.; Laayati, O. Water Treatment Technologies: Development of a Test Bench for Optimizing Flocculation-Thickening Processes in Laboratory Applications. Processes 2025, 13, 198. [Google Scholar] [CrossRef]
- Ryalat, M.; Franco, E.; Elmoaqet, H.; Almtireen, N.; Al-Refai, G. The integration of advanced mechatronic systems into industry 4.0 for smart manufacturing. Sustainability 2024, 16, 8504. [Google Scholar] [CrossRef]
- Liu, W.; Liu, Y.; Liu, L.; Peng, Q. A MBSE-based Approach for Architecting Concepts for Business Model Inno-va-tion of Smart Product Systems. Comput.-Aided Des. Appl. 2024, 21, 155–170. [Google Scholar]
- Salehi, V. Application of Munich Agile Concept for MBSE for a Holistic Approach To Collect Vehicle Data Based on Board Diagnostic System. In Proceedings of the International Design Engineering Technical Conferences and Computers and Infor-mation in Engineering Conference, Washington, DC, USA, 25–28 August 2024; American Society of Mechanical Engineers: New York, NY, USA, 2024; Volume 88353, p. V02BT02A014. [Google Scholar]
- Rjafallah, A.; Cotfas, D.T.; Cotfas, P.A. Investigation of temperature variations across the hot and cold sides of cascaded thermoelectric generator (CTEG) configurations in PV-CTEG hybrid systems. Case Stud. Therm. Eng. 2024, 61, 105070. [Google Scholar] [CrossRef]
- El Fatnani, F.Z.; Guyomar, D.; Mazroui, M.H.; Belhora, F.; Boughaleb, Y. Optimization and improvement of thermal energy harvesting by using pyroelectric materials. Opt. Mater. 2016, 56, 22–26. [Google Scholar] [CrossRef]
- Pan, X.; Wu, Y.; Wang, Y.; Zhou, G.; Cai, H. Mechanical energy harvesting based on the piezoelectric materials: Recent advances and future perspectives. Chem. Eng. J. 2024, 154249. [Google Scholar] [CrossRef]
- Parida, S.K.; Satpathy, A.; Dalai, A.; Mishra, S. Introduction of Polymers and Polymer Composites: Basic Fundamentals. In Polymer Composites: Fundamentals and Applications; Springer Nature: Singapore, 2024; pp. 1–37. [Google Scholar]
- Guo, Y.; Peng, B.; Lu, G.; Dong, G.; Yang, G.; Chen, B.; Qiu, R.; Liu, H.; Zhang, B.; Yao, Y.; et al. Remarkable flexibility in freestanding single-crystalline antiferroelectric PbZrO3 membranes. Nat. Commun. 2024, 15, 4414. [Google Scholar] [CrossRef]
- Solangi, N.H.; Karri, R.R.; Mubarak, N.M.; Mazari, S.A. Mechanism of polymer composite-based nanomaterial for biomedical applications. Adv. Ind. Eng. Polym. Res. 2024, 7, 1–19. [Google Scholar] [CrossRef]
- Derraz, M.; Radoine, H.; Boumegnane, A.; Achour, M.A.B.; Ennawaoui, C.; Hajjaji, A. Development of a novel Bi4Ti3O12/chitosan/rGO piezoelectric bio-composite for mechanical energy harvesting: Output energy optimization using response surface methodology modelling. Ceram. Int. 2025, 51, 2660–2673. [Google Scholar] [CrossRef]
- Yu, H.; Zhu, S.; Ma, H.; Wang, J. Interface crack analysis of piezoelectric laminates considering initial strain. Int. J. Mech. Sci. 2024, 271, 109104. [Google Scholar] [CrossRef]
- Ren, Q.; Zhang, Y.; Hu, L.; Yin, Q.; Tang, L. Achieving synchronous compression-shear loading on SHPB by utilizing mechanical metamaterial. Int. J. Impact Eng. 2024, 186, 104888. [Google Scholar] [CrossRef]
- You, Z.; Gan, J.; Yang, C.; Tuerhong, R.; Zhao, L.; Lu, Y. Piezoelectric MEMS microphones based on rib structures and single crystal PZT thin film. Microsyst. Nanoeng. 2024, 10, 167. [Google Scholar] [CrossRef]
- Qin, W.; Cheng, M.; Zhu, X.; Wang, Z.; Hua, W. Electromagnetic induction with time-varying magductance under constant magnetic field. AIP Adv. 2024, 14, 025115. [Google Scholar] [CrossRef]
- Wang, Q.; Zhang, H.; Hao, L.; Coombs, T. Review on high-temperature superconducting trapped field magnets. Supercond. Sci. Technol. 2024, 37, 123005. [Google Scholar] [CrossRef]
- Oslínger-Gutiérrez, J.L.; Tudela-Rangel, Ó.R.; Caranguay-Mainguez, J.I. Desing methodology of roebel stator bars for salient poles synchronous generators. Ing. Y Compet. 2024, 26. [Google Scholar]
- Liao, Y.; Qian, F.; Lo, Y.C.; Shu, Y.C. A study on the electrically induced damping in piezoelectric energy har-vesting for broadband, high-performance power generation. Energy Convers. Manag. 2024, 307, 118374. [Google Scholar] [CrossRef]
- Shu, Y.C.; Lien, I.C. Analysis of power output for piezoelectric energy harvesting systems. Smart Mater. Struct. 2006, 15, 1499. [Google Scholar] [CrossRef]
- Han, J.; Park, S.H.; Jung, Y.S.; Cho, Y.S. High-performance piezoelectric energy harvesting in amorphous perovskite thin films deposited directly on a plastic substrate. Nat. Commun. 2024, 15, 4129. [Google Scholar] [CrossRef]
- Kim, S.; Lee, J.; He, T.; Lee, S. Improved performance of stretchable piezoelectric energy harvester using stress redistribution in kirigami-structured PVDF film. Sci. Rep. 2022, 12, 19488. [Google Scholar]
- Su, X.S.; Yang, G.G.; Fang, F. A low-frequency vibration energy harvester employing self-biased magnetoelectric composite. J. Appl. Phys. 2023, 134, 184102. [Google Scholar] [CrossRef]
- Huang, T.; Becerra, L.; Gensbittel, A.; Zheng, Y.; Talleb, H.; Acevedo Salas, U.; Ren, Z.; Marangolo, M. Self-biased magnetoelectric Ni/LiNbO3/Ni for body-embedded electronic energy harvesters. arXiv 2023, arXiv:2308.15428. [Google Scholar]
- Zhao, B.; Thomsen, H.R.; De Ponti, J.M.; Riva, E.; Van Damme, B.; Bergamini, A.; Chatzi, E.; Colombi, A. A graded metamaterial for broadband and high-capability piezoelectric energy harvesting. Energy Convers. Manag. 2022, 269, 116056. [Google Scholar] [CrossRef]
- Pradhan, S.; Saha, S.; Choudhary RN, P. Solar energy harvesting in magnetoelectric coupled manganese ferrite nanoparticles incorporated nanocomposite polymer films. J. Appl. Phys. 2022, 131, 144502. [Google Scholar]
- Huang, Y.; Wang, Y.; Chen, L. Graded metamaterial with broadband active controllability for low-frequency vibration energy harvesting. J. Appl. Phys. 2024, 136, 043108. [Google Scholar]













| Properties | Values |
|---|---|
| d33 | 8 pC/N |
| d31 | 2 pC/N |
| Young’s modulus, Y | 20 MPa |
| Relative permittivity | 6.3 |
| Thickness, e | 260 µm |
| Area, A | 720 mm2 |
| Study | Material Used | Frequency Range | Power Output | Hybrid Approach |
|---|---|---|---|---|
| This work | EVA + magnetoelectric composite | 0.1–10 Hz | 16 µW/cm2 (PZT), 3.5 µW/cm2 (ME) | Yes |
| Zhao et al., 2022 [47] | Graded metamaterial with piezoelectric patches | <100 Hz | 5× increase over conventional harvesters | No |
| Pradhan et al., 2022 [48] | P(VDF-TrFE) with MnFe2O4 nanoparticles | Not specified | 5V open-circuit voltage | No |
| Huang et al., 2023 [49] | Ni/LiNbO3/Ni trilayers | Not specified | High magnetoelectric coefficient | No |
Disclaimer/Publisher’s Note: The statements, opinions and data contained in all publications are solely those of the individual author(s) and contributor(s) and not of MDPI and/or the editor(s). MDPI and/or the editor(s) disclaim responsibility for any injury to people or property resulting from any ideas, methods, instructions or products referred to in the content. |
© 2025 by the authors. Published by MDPI on behalf of the World Electric Vehicle Association. Licensee MDPI, Basel, Switzerland. This article is an open access article distributed under the terms and conditions of the Creative Commons Attribution (CC BY) license (https://creativecommons.org/licenses/by/4.0/).
Share and Cite
Mastouri, H.; Ennawaoui, A.; Remaidi, M.; Sabani, E.; Derraz, M.; El Hadraoui, H.; Ennawaoui, C. Design, Modeling, and Experimental Validation of a Hybrid Piezoelectric–Magnetoelectric Energy-Harvesting System for Vehicle Suspensions. World Electr. Veh. J. 2025, 16, 237. https://doi.org/10.3390/wevj16040237
Mastouri H, Ennawaoui A, Remaidi M, Sabani E, Derraz M, El Hadraoui H, Ennawaoui C. Design, Modeling, and Experimental Validation of a Hybrid Piezoelectric–Magnetoelectric Energy-Harvesting System for Vehicle Suspensions. World Electric Vehicle Journal. 2025; 16(4):237. https://doi.org/10.3390/wevj16040237
Chicago/Turabian StyleMastouri, Hicham, Amine Ennawaoui, Mohammed Remaidi, Erroumayssae Sabani, Meryiem Derraz, Hicham El Hadraoui, and Chouaib Ennawaoui. 2025. "Design, Modeling, and Experimental Validation of a Hybrid Piezoelectric–Magnetoelectric Energy-Harvesting System for Vehicle Suspensions" World Electric Vehicle Journal 16, no. 4: 237. https://doi.org/10.3390/wevj16040237
APA StyleMastouri, H., Ennawaoui, A., Remaidi, M., Sabani, E., Derraz, M., El Hadraoui, H., & Ennawaoui, C. (2025). Design, Modeling, and Experimental Validation of a Hybrid Piezoelectric–Magnetoelectric Energy-Harvesting System for Vehicle Suspensions. World Electric Vehicle Journal, 16(4), 237. https://doi.org/10.3390/wevj16040237

