Research on the Recycling Strategy of End-of-Life Power Battery for Electric Vehicles Based on Evolutionary Game
Abstract
1. Introduction
2. Literature Review
2.1. International EOL Power Battery Recycling
2.2. Government Incentive and Penalty Mechanisms in Battery Recycling Research
2.3. Evolutionary Game Theory in Battery Recycling Research
3. Materials and Methods
3.1. Model Assumptions and Parameter Settings
3.2. Modelling and Solution
4. Results
4.1. Evolutionary Stability Analysis of Government Strategies
4.2. Evolutionary Stability Analysis of Recycling Enterprises’ Strategies
4.3. Evolutionary Stability Analysis of the EV Owner’s Strategy
4.4. Evolutionary Stability Analysis of the System
4.5. Analysis of Evolutionary Game Instability Points
5. Discussion
5.1. Data Sources and Model Parameter Settings
5.2. Evolutionary Path Analysis of Stabilisation Strategies
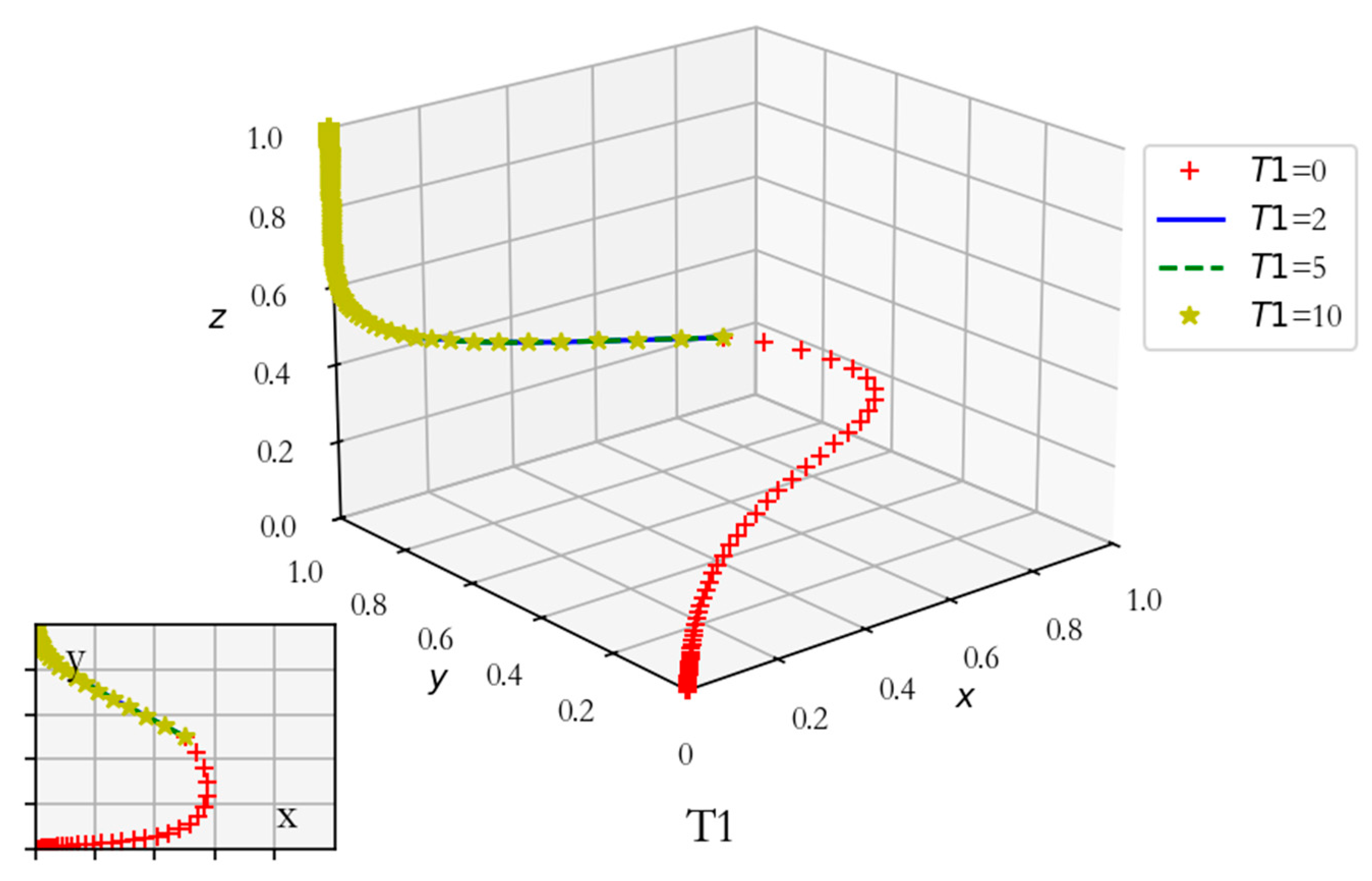
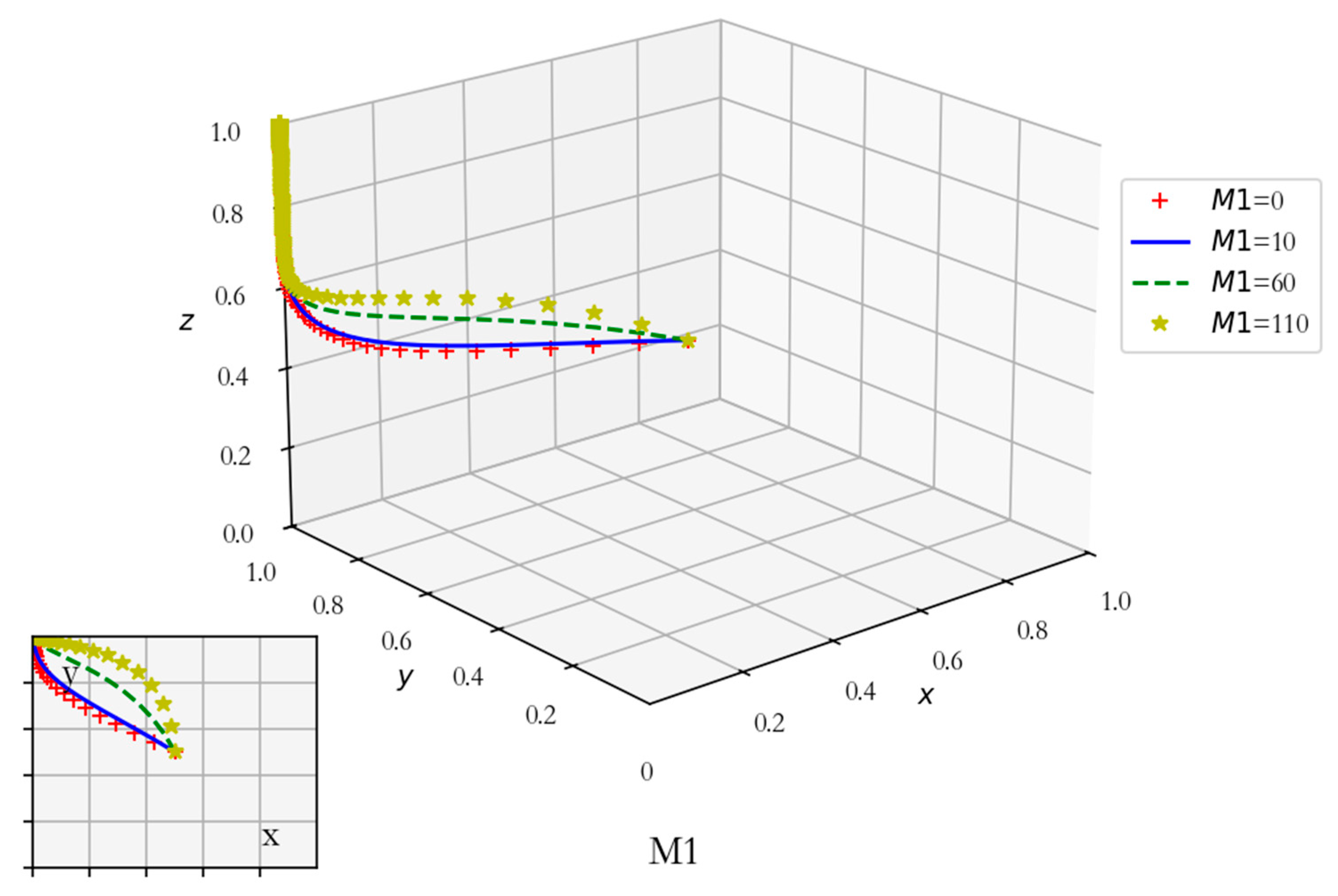
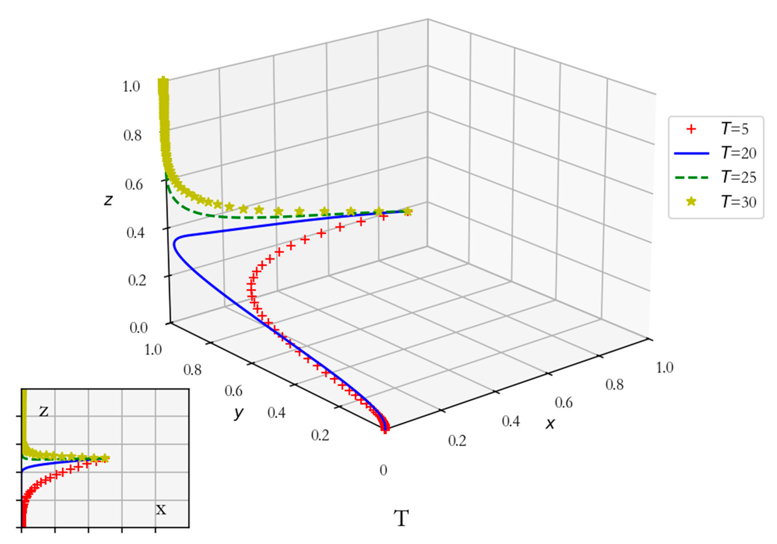
5.3. Parameter Sensitivity Analysis
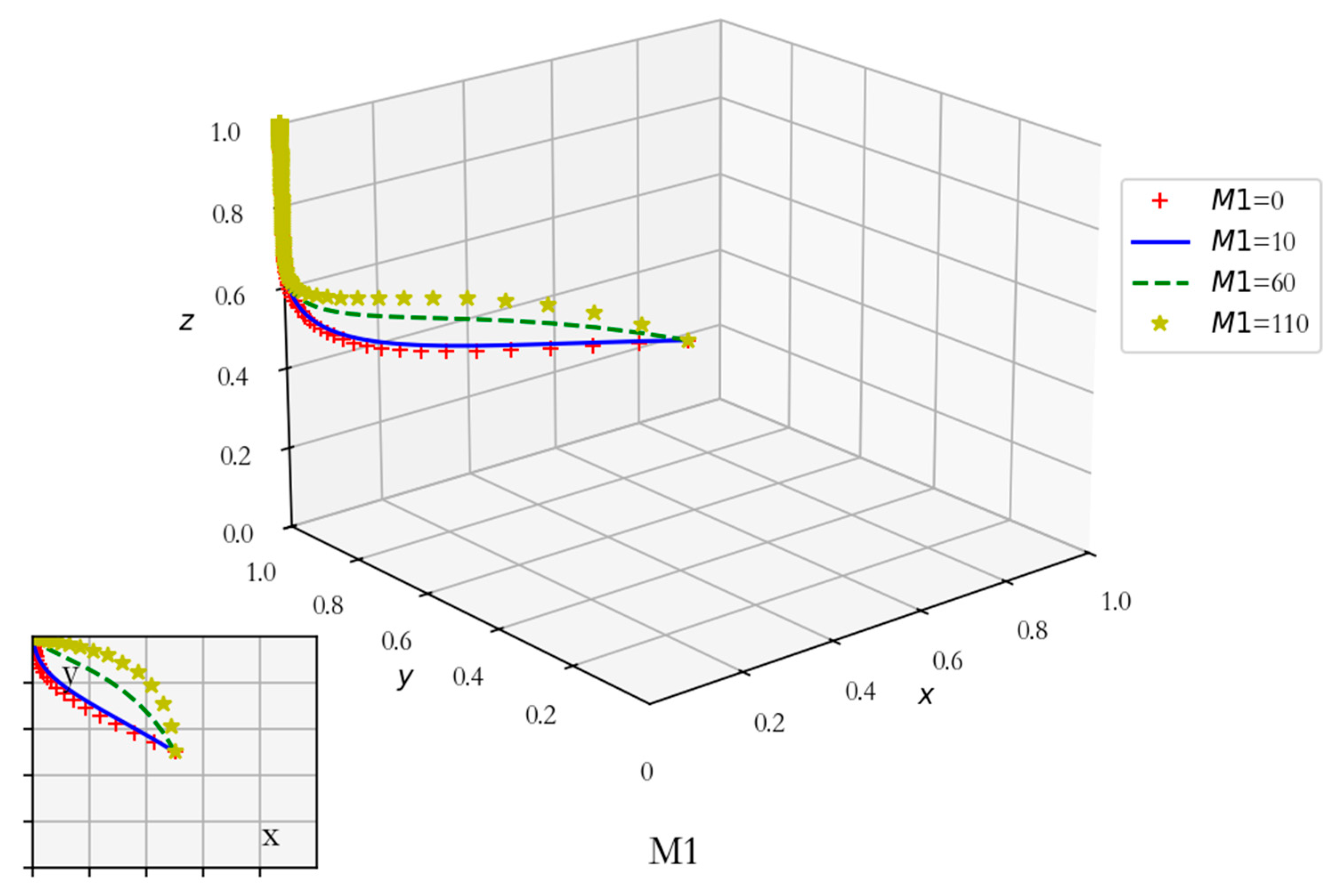
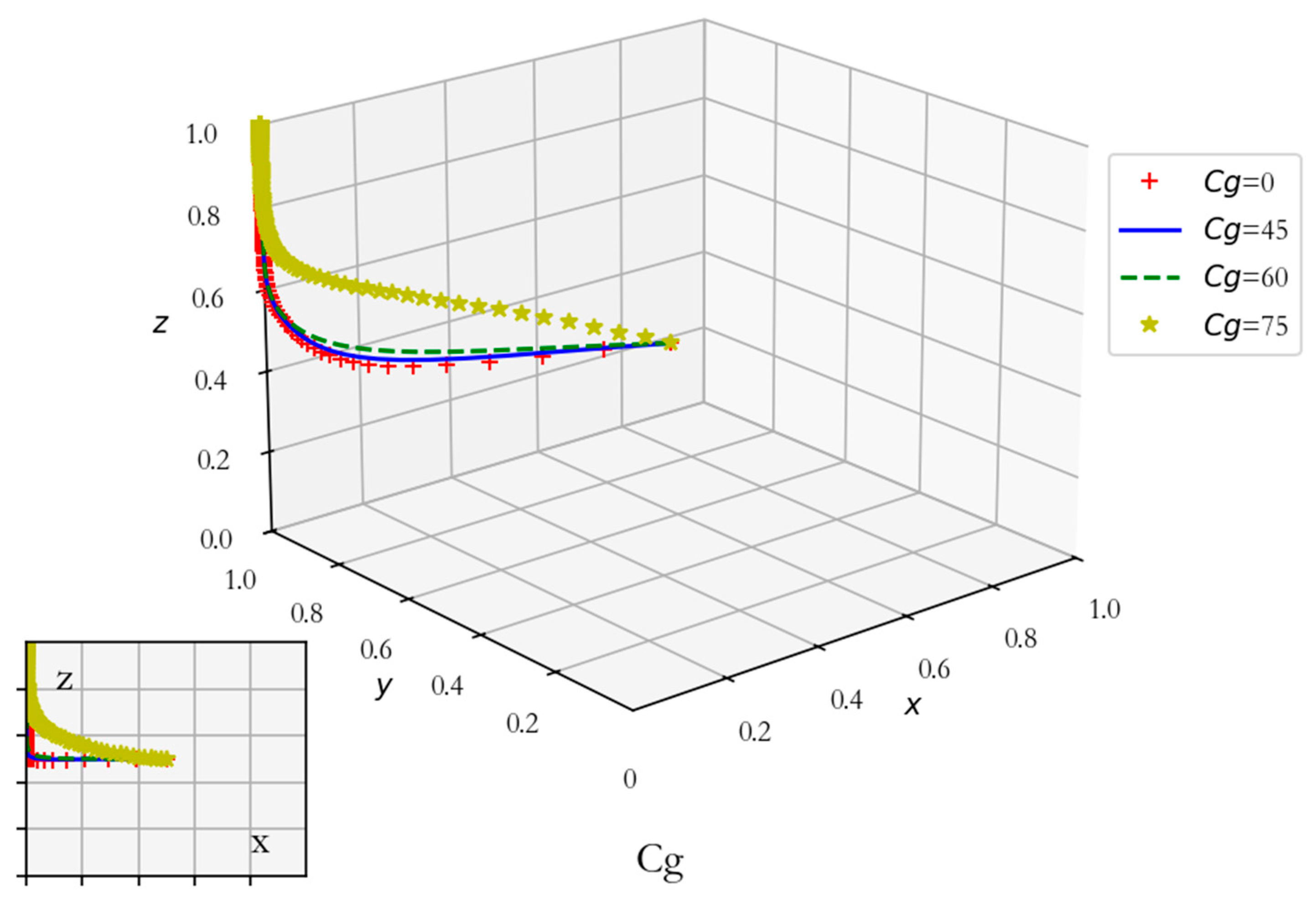
5.3.1. Influence of Government-Related Parameters on the Subject Strategy Evolution
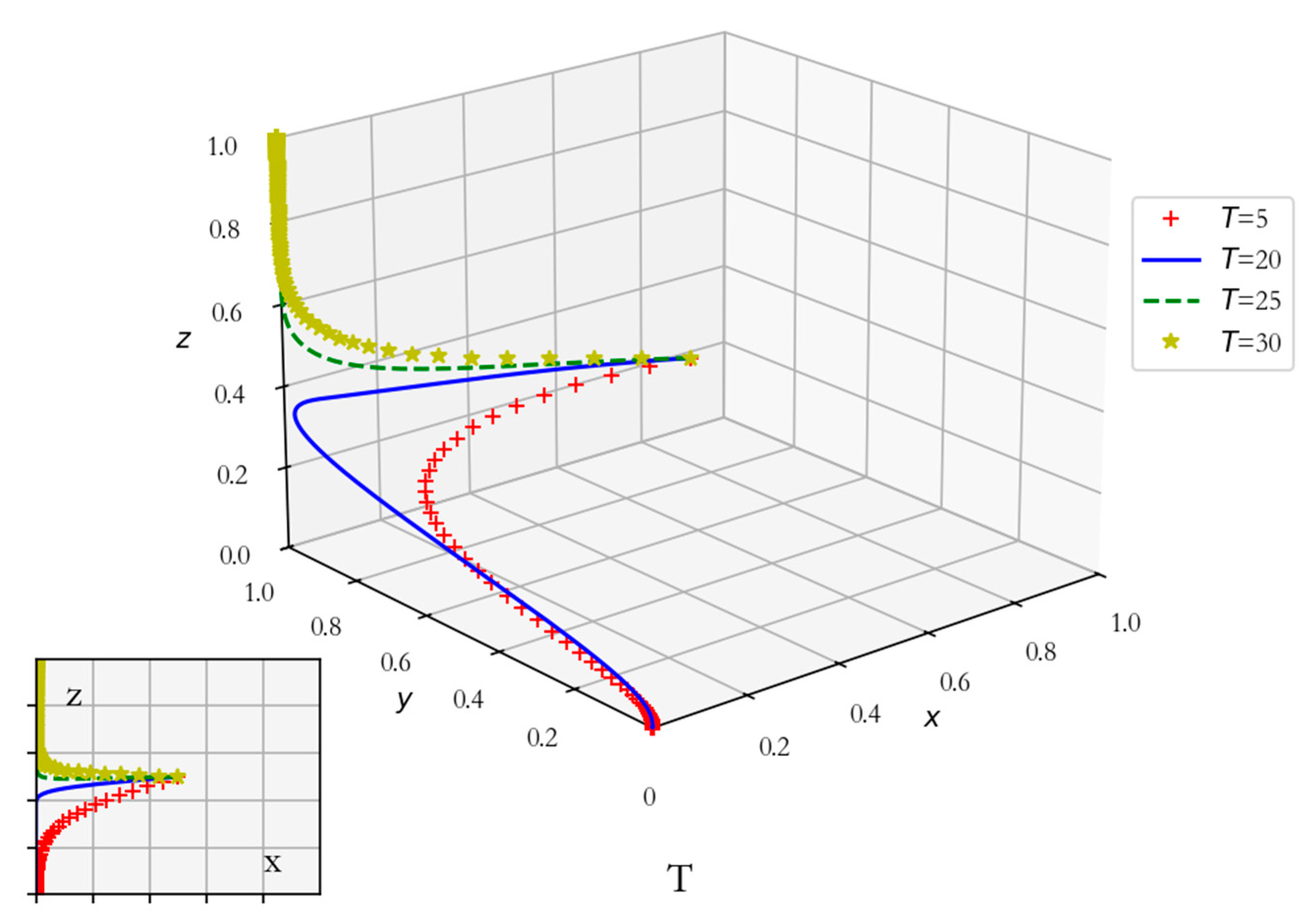
5.3.2. Influence of Recycling Enterprise-Related Parameters on the Evolution of Subject Strategies
5.3.3. Influence of EV Owner-Related Parameters on the Evolution of Subject Strategies
6. Conclusions
6.1. Conclusions
- (1)
- The evolutionary game analysis in this study indicates that the ESS for the EOL power battery recycling system is characterised by government non-regulation, recycling enterprises adopting formal recycling practices, and EV owners participating in formal recycling. This strategy combination is regarded as an ideal state in practice, as it minimises government intervention costs while achieving synergistic recycling efficiency and environmental protection through endogenous market dynamics.
- (2)
- The strategic choices of recycling enterprises and EV owners depend on their benefits and costs in the recycling process. Government subsidies to EV owners positively encourage both EV owners and recycling enterprises to adopt formal recycling practices, with recycling companies shifting to formal recycling strategies before EV owners.
- (3)
- Strengthening penalties against recycling enterprises will accelerate their transition towards formal recycling strategies, whilst increasing incentive levels can significantly enhance the steady-state probability of firms opting for formal recycling.
6.2. Policy Recommendations
- (1)
- The government should establish a flexible reward and punishment mechanism, increase the tax burden for enterprises that choose informal recycling and force them to pay environmental protection fees; give financial subsidies to recycling enterprises that choose formal recycling on their own initiative, improve supporting facilities and policies, and enhance their market competitiveness. Government subsidies may be structured as a tiered subsidy policy based on the formal recycling scale of recycling enterprises, thereby encouraging their active participation in formal recycling. A cap should be set on government regulatory costs to prevent unnecessary financial wastage.
- (2)
- Recycling enterprises should strengthen their own management, actively introduce advanced recycling and processing technology and equipment, and increase the investment in technology research and development to enhance the level of formalised recycling of EOL power batteries for EVs. Establish a whistleblower reward scheme for reporting informal recycling operations. Where reports of informal recycling enterprises are verified, a portion of the fines collected may be allocated to reward the informants.
- (3)
- EV owners should strengthen their own environmental and legal awareness, recognise the importance of formal recycling, avoid choosing informal recycling channels due to short-term interests, and also increase the supervision and reporting of the recycling market. Establish a traceable digital identity system for power batteries and implement a deposit incentive scheme when EV owners purchase new EVs.
Author Contributions
Funding
Institutional Review Board Statement
Informed Consent Statement
Data Availability Statement
Conflicts of Interest
References
- LaMonaca, S.; Ryan, L. The state of play in electric vehicle charging services—A review of infrastructure provision, players, and policies. Renew. Sustain. Energy Rev. 2022, 154, 111733. [Google Scholar] [CrossRef]
- International Energy Agency (IEA). Global EV Outlook 2024. Outlook for Electric Mobility. 2024. Available online: https://www.iea.org/reports/global-ev-outlook-2024/outlook-for-electric-mobility (accessed on 22 March 2025).
- Qiao, D.; Wang, G.; Gao, T.; Wen, B.; Dai, T. Potential impact of the end-of-life batteries recycling of electric vehicles on lithium demand in China: 2010–2050. Sci. Total Environ. 2021, 764, 142835. [Google Scholar] [CrossRef] [PubMed]
- Skeete, J.-P.; Wells, P.; Dong, X.; Heidrich, O.; Harper, G. Beyond the EVent horizon: Battery waste, recycling, and sustainability in the United Kingdom electric vehicle transition. Energy Res. Soc. Sci. 2020, 69, 101581. [Google Scholar] [CrossRef]
- Neumann, J.; Petranikova, M.; Meeus, M.; Gamarra, J.D.; Younesi, R.; Winter, M.; Nowak, S. Recycling of Lithium—Ion Batteries—Current State of the Art, Circular Economy, and Next Generation Recycling. Adv. Energy Mater. 2022, 12, 2102917. [Google Scholar] [CrossRef]
- Tao, F.; Kishita, Y.; Scheller, C.; Blömeke, S.; Umeda, Y. Designing a Sustainable Circulation System of Second-life Traction Batteries: A Scenario-based Simulation Approach. Procedia CIRP 2022, 105, 733–738. [Google Scholar] [CrossRef]
- Wu, Y.; Yang, L.; Tian, X.; Li, Y.; Zuo, T. Temporal and spatial analysis for end-of-life power batteries from electric vehicles in China. Resour. Conserv. Recycl. 2020, 155, 104651. [Google Scholar] [CrossRef]
- Sun, Q.; Chen, H.; Long, R.; Li, Q.; Huang, H. Comparative evaluation for recycling waste power batteries with different collection modes based on Stackelberg game. J. Environ. Manag. 2022, 312, 114892. [Google Scholar] [CrossRef]
- Gratz, E.; Sa, Q.; Apelian, D.; Wang, Y. A closed loop process for recycling spent lithium ion batteries. J. Power Sources 2014, 262, 255–262. [Google Scholar] [CrossRef]
- Sun, S.; Jin, C.; He, W.; Li, G.; Zhu, H.; Huang, J. Management status of waste lithium-ion batteries in China and a complete closed-circuit recycling process. Sci. Total Environ. 2021, 776, 145913. [Google Scholar] [CrossRef]
- Li, P.; Xia, X.; Guo, J. A review of the life cycle carbon footprint of electric vehicle batteries. Sep. Purif. Technol. 2022, 296, 121389. [Google Scholar] [CrossRef]
- Manzetti, S.; Mariasiu, F. Electric vehicle battery technologies: From present state to future systems. Renew. Sustain. Energy Rev. 2015, 51, 1004–1012. [Google Scholar] [CrossRef]
- Martins, L.S.; Guimarães, L.F.; Junior, A.B.B.; Tenório, J.A.S.; Espinosa, D.C.R. Electric car battery: An overview on global demand, recycling and future approaches towards sustainability. J. Environ. Manag. 2021, 295, 113091. [Google Scholar] [CrossRef]
- Yan, Y.; Cao, J.; Zhou, Y.; Zhou, G.; Chen, J. Decisions for power battery closed-loop supply chain: Cascade utilization and extended producer responsibility. Ann. Oper. Res. 2024, 1–41. [Google Scholar] [CrossRef]
- Li, Z.; Zhong, X.; Xu, X. The mechanism of retired power batteries recycling through blockchain token incentives. J. Clean. Prod. 2023, 415, 137560. [Google Scholar] [CrossRef]
- Liu, Z.; Li, K.W.; Tang, J.; Gong, B.; Huang, J. Optimal operations of a closed-loop supply chain under a dual regulation. Int. J. Prod. Econ. 2021, 233, 107991. [Google Scholar] [CrossRef]
- Xie, J.; Le, W.; Guo, B. Pareto equilibrium of new energy vehicle power battery recycling based on extended producer responsibility. J. Manag. Sci. China 2022, 30, 309–320. [Google Scholar] [CrossRef]
- Xiao, M.; Xu, C.; Xie, F. Research on the impact of information sharing and government subsidy on competitive power battery recycling. J. Clean. Prod. 2024, 467, 142989. [Google Scholar] [CrossRef]
- Winslow, K.M.; Laux, S.J.; Townsend, T.G. A review on the growing concern and potential management strategies of waste lithium-ion batteries. Resour. Conserv. Recycl. 2018, 129, 263–277. [Google Scholar] [CrossRef]
- Huang, X.; Lei, S.; Liu, F.; Li, Y.; Zhou, F.; Lim, M.K. Consumer preference and willingness-to-pay for formal recycling of electric vehicle batteries: A discrete choice experiment in China. J. Environ. Manag. 2024, 370, 122180. [Google Scholar] [CrossRef]
- Antony Jose, S.; Cook, C.A.D.; Palacios, J.; Seo, H.; Torres Ramirez, C.E.; Wu, J.; Menezes, P.L. Recent Advancements in Artificial Intelligence in Battery Recycling. Batteries 2024, 10, 440. [Google Scholar] [CrossRef]
- Giosuè, C.; Marchese, D.; Cavalletti, M.; Isidori, R.; Conti, M.; Orcioni, S.; Ruello, M.L.; Stipa, P. An exploratory study of the policies and legislative perspectives on the end-of-life of lithium-ion batteries from the perspective of producer obligation. Sustainability 2021, 13, 11154. [Google Scholar] [CrossRef]
- Shqairat, A.; Liarte, S.; Marange, P.; Nuur, C.; Chagnes, A. Implications of European Union regulation on the circular economy and stakeholder strategies in the electric vehicle lithium-ion battery sector. Manag. Environ. Qual. Int. J. 2024, 36, 155–182. [Google Scholar] [CrossRef]
- Noudeng, V.; Van Quan, N.; Xuan, T.D. A future perspective on waste management of lithium-ion batteries for electric vehicles in Lao PDR: Current status and challenges. Int. J. Environ. Res. Public Health 2022, 19, 16169. [Google Scholar] [CrossRef] [PubMed]
- Shen, Y.; Song, Z.; Gao, T.; Ma, J. Research on Closed-Loop Supply Chain Decision Making of Power Battery Considering Subsidy Transfer under EPR System. Sustainability 2022, 14, 12488. [Google Scholar] [CrossRef]
- Li, Y.; Zhang, J. Evolutionary Game Analysis of Low-Carbon Incentive Behaviour of Power Battery Recycling Based on Prospect Theory. Sustainability 2024, 16, 2793. [Google Scholar] [CrossRef]
- Wang, W.; Zhang, Y.; Zhang, K.; Bai, T.; Shang, J. Reward–penalty mechanism for closed-loop supply chains under responsibility-sharing and different power structures. Int. J. Prod. Econ. 2015, 170, 178–190. [Google Scholar] [CrossRef]
- Wang, Z.; Li, X.; Xue, X.; Liu, Y. More government subsidies, more green innovation? The evidence from Chinese new energy vehicle enterprises. Renew. Energy 2022, 197, 11–21. [Google Scholar] [CrossRef]
- Li, G.; Lu, M.; Lai, S.; Li, Y. Research on Power Battery Recycling in the Green Closed-Loop Supply Chain: An Evolutionary Game-Theoretic Analysis. Sustainability 2023, 15, 10425. [Google Scholar] [CrossRef]
- Sun, H.-X.; Yan, M.; Cui, L.; Cheng, T.C.E. Evolutionary Game Analysis for Power Battery Recycling of New Energy Vehicle in China. J. Oper. Res. Soc. China 2025, 1–40. [Google Scholar] [CrossRef]
- Lyu, X.; Xu, Y.; Sun, D. An Evolutionary Game Research on Cooperation Mode of the NEV Power Battery Recycling and Gradient Utilization Alliance in the Context of China’s NEV Power Battery Retired Tide. Sustainability 2021, 13, 4165. [Google Scholar] [CrossRef]
- Du, B.; Hou, H.; Xu, H.; Zhang, M. How to solve the problem of irregular recycling of spent lead-acid batteries in China?—An analysis based on evolutionary game theory. J. Clean. Prod. 2023, 421, 138514. [Google Scholar] [CrossRef]
- Li, J.; Wang, Z.; Li, H.; Jiao, J. Which policy can effectively promote the formal recycling of power batteries in China? Energy 2024, 299, 131445. [Google Scholar] [CrossRef]
- Li, J.; Xu, Y.; Jiao, J.; Yang, R.; Zha, J. Do recycling channels affect young consumers’ choices for formal power battery recycling? J. Clean. Prod. 2023, 425, 138766. [Google Scholar] [CrossRef]
- Zhou, X.; Li, J.; Li, F.; Deng, D. Recycling supply chain mode of new energy vehicle power battery based on Blockchain technology. Comput. Integr. Manuf. Syst. 2023, 29, 1386–1398. [Google Scholar] [CrossRef]
- Cao, J.; Lu, B.; Chen, Y.; Zhang, X.; Zhai, G.; Zhou, G.; Jiang, B.; Schnoor, J.L. Extended producer responsibility system in China improves e-waste recycling: Government policies, enterprise, and public awareness. Renew. Sustain. Energy Rev. 2016, 62, 882–894. [Google Scholar] [CrossRef]
- Li, W.; Bai, H.; Yin, J.; Xu, H. Life cycle assessment of end-of-life vehicle recycling processes in China—Take Corolla taxis for example. J. Clean. Prod. 2016, 117, 176–187. [Google Scholar] [CrossRef]
- He, L.; Sun, B. Exploring the EPR system for power battery recycling from a supply-side perspective: An evolutionary game analysis. Waste Manag. 2022, 140, 204–212. [Google Scholar] [CrossRef] [PubMed]
- Li, X. Collection mode choice of spent electric vehicle batteries: Considering collection competition and third-party economies of scale. Sci. Rep. 2022, 12, 6691. [Google Scholar] [CrossRef] [PubMed]
- Tang, Y.; Zhang, Q.; Li, Y.; Wang, G.; Li, Y. Recycling mechanisms and policy suggestions for spent electric vehicles’ power battery—A case of Beijing. J. Clean. Prod. 2018, 186, 388–406. [Google Scholar] [CrossRef]
- Zhang, H.; Zhu, K.; Hang, Z.; Zhou, D.; Zhou, Y.; Xu, Z. Waste battery-to-reutilization decisions under government subsidies: An evolutionary game approach. Energy 2022, 259, 124835. [Google Scholar] [CrossRef]
- Adepetu, A.; Keshav, S. The relative importance of price and driving range on electric vehicle adoption: Los Angeles case study. Transportation 2017, 44, 353–373. [Google Scholar] [CrossRef]
- Yu, Z.; Tianshan, M.; Rehman, S.A.; Sharif, A.; Janjua, L. Evolutionary game of end-of-life vehicle recycling groups under government regulation. Clean Technol. Environ. Policy 2023, 25, 1473–1484. [Google Scholar] [CrossRef]
- Zhu, X.; Li, W. The Pricing Strategy of Dual Recycling Channels for Power Batteries of New Energy Vehicles under Government Subsidies. Complexity 2020, 2020, 3691493. [Google Scholar] [CrossRef]
- Friedman, D. Evolutionary Games in Economics. Econometrica 1991, 59, 637. [Google Scholar] [CrossRef]
- Yang, Y.; Yang, W.; Chen, H.; Li, Y. China’s energy whistleblowing and energy supervision policy: An evolutionary game perspective. Energy 2020, 213, 118774. [Google Scholar] [CrossRef]
- Zhang, M.; Kong, Z. A tripartite evolutionary game model of emergency supplies joint reserve among the government, enterprise and society. Comput. Ind. Eng. 2022, 169, 108132. [Google Scholar] [CrossRef]









| Argument | Implication |
|---|---|
| Regulatory cost of government involvement in promoting EOL power battery recycling | |
| Government incentive subsidy for formal recycling enterprises | |
| Administrative fines imposed by the government on informal recycling enterprises | |
| Government incentives for EV owners who participate in formal recycling | |
| Social benefits to the government from the formal recycling of EOL power batteries by recycling enterprises | |
| Costs to the government of regulating the recycling industry and promoting environmentally friendly behaviour | |
| Economic benefits for EV owners participating in the formal recycling of EOL power batteries | |
| Economic benefits to EV owners who participate in the informal recycling of EOL power batteries | |
| Costs incurred by recycling enterprises choosing formal recycling of EOL power batteries | |
| Costs incurred by recycling enterprises in choosing the informal recycling of EOL power batteries | |
| Benefits of recycling enterprises for choosing formal recycling of EOL power batteries | |
| Benefits to recycling enterprises of choosing informal recycling of EOL power batteries | |
| Reputational benefits for recycling enterprises choosing formal recycling |
| Recycling Enterprise | EV Owner | Government | |
|---|---|---|---|
| Participate in Regulation | No Regulation | ||
| Regular Recycling | Participation | ; | ; ; |
| Non-Participation | ; | ; ; | |
| Informal Recycling | Participation | ; ; + T | 0; ; |
| Non-Participation | ; | ; | |
| Equilibrium Point | Eigenvalues | ||
|---|---|---|---|
| Equilibrium Point | Stability Condition | Stability |
|---|---|---|
| , | Scenario 1 | |
| , , | Scenario 2 | |
| , | Scenario 3 | |
| Scenario 4 |
| Conditions | D | T | |||||||||
|---|---|---|---|---|---|---|---|---|---|---|---|
| Scenario 1 | 40 | 1 | 5 | 10 | 10 | 80 | 70 | 30 | 50 | 85 | 90 |
| Scenario 2 | 40 | 1 | 5 | 5 | 50 | 80 | 70 | 30 | 50 | 85 | 90 |
| Scenario 3 | 40 | 1 | 5 | 10 | 10 | 45 | 35 | 30 | 50 | 85 | 90 |
| Scenario 4 | 40 | 1 | 30 | 10 | 10 | 60 | 50 | 49 | 50 | 85 | 90 |
Disclaimer/Publisher’s Note: The statements, opinions and data contained in all publications are solely those of the individual author(s) and contributor(s) and not of MDPI and/or the editor(s). MDPI and/or the editor(s) disclaim responsibility for any injury to people or property resulting from any ideas, methods, instructions or products referred to in the content. |
© 2025 by the authors. Published by MDPI on behalf of the World Electric Vehicle Association. Licensee MDPI, Basel, Switzerland. This article is an open access article distributed under the terms and conditions of the Creative Commons Attribution (CC BY) license (https://creativecommons.org/licenses/by/4.0/).
Share and Cite
Zhao, F.; Geng, Y.; Shi, W.; Ren, Y. Research on the Recycling Strategy of End-of-Life Power Battery for Electric Vehicles Based on Evolutionary Game. World Electr. Veh. J. 2025, 16, 625. https://doi.org/10.3390/wevj16110625
Zhao F, Geng Y, Shi W, Ren Y. Research on the Recycling Strategy of End-of-Life Power Battery for Electric Vehicles Based on Evolutionary Game. World Electric Vehicle Journal. 2025; 16(11):625. https://doi.org/10.3390/wevj16110625
Chicago/Turabian StyleZhao, Fangfang, Yiqi Geng, Wenhui Shi, and Yingxue Ren. 2025. "Research on the Recycling Strategy of End-of-Life Power Battery for Electric Vehicles Based on Evolutionary Game" World Electric Vehicle Journal 16, no. 11: 625. https://doi.org/10.3390/wevj16110625
APA StyleZhao, F., Geng, Y., Shi, W., & Ren, Y. (2025). Research on the Recycling Strategy of End-of-Life Power Battery for Electric Vehicles Based on Evolutionary Game. World Electric Vehicle Journal, 16(11), 625. https://doi.org/10.3390/wevj16110625

