A Driver Behavior Detection Model for Human-Machine Co-Driving Systems Based on an Improved Swin Transformer
Abstract
1. Introduction
2. Methodology
2.1. The Swin Transformer Model Integrated with Channel Attention Mechanism
2.2. Swin Transformer Model
2.3. ECA Attention Mechanism
3. Result and Discussion
3.1. Test Environment
3.2. Dataset
3.3. Evaluation Indicators
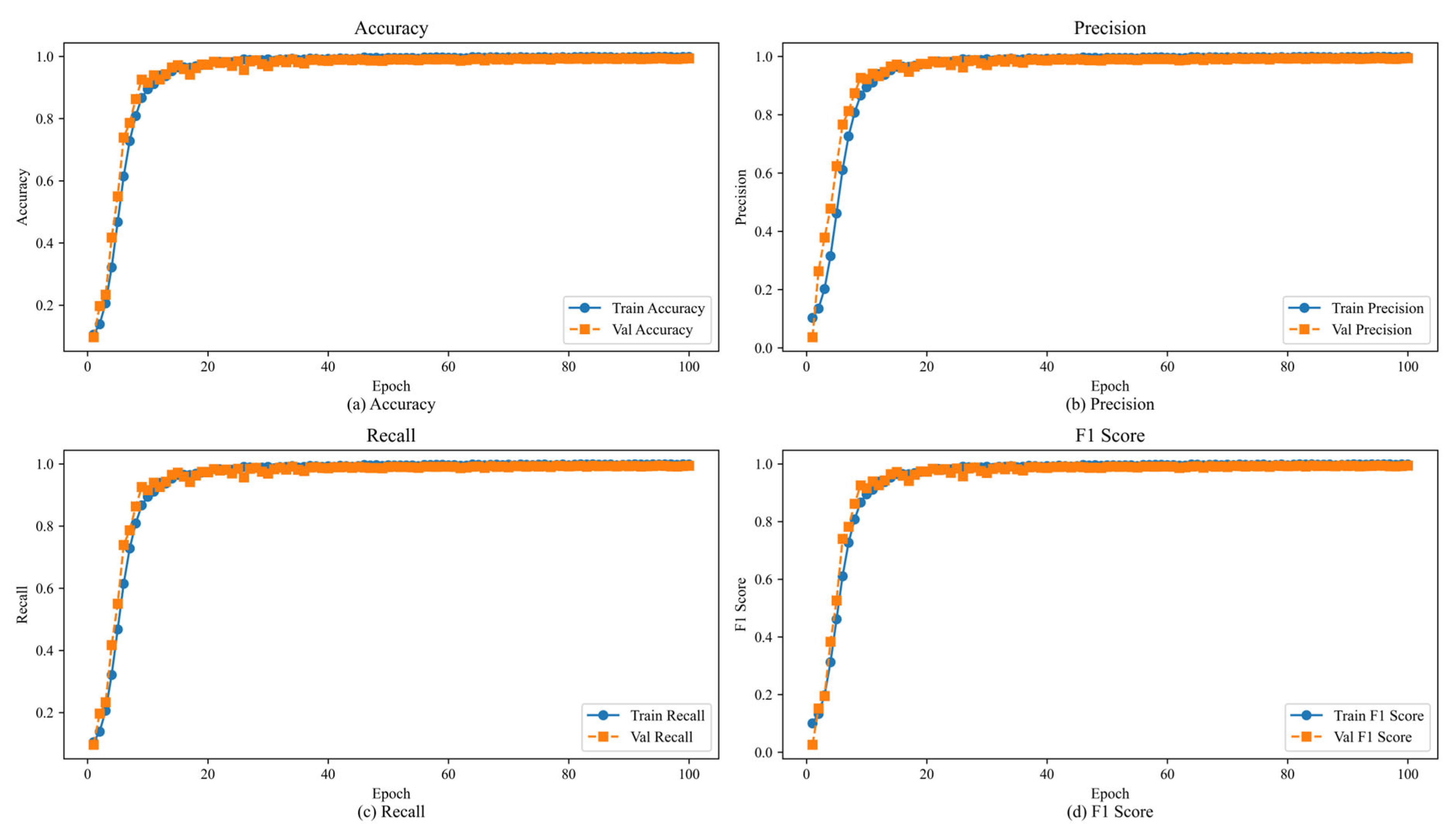
3.4. Test Results and Analysis
3.5. Ablation Experiment
3.6. Comparison Experiment
4. Conclusions
Author Contributions
Funding
Data Availability Statement
Conflicts of Interest
References
- Zhao, L.; Yang, F.; Bu, L.G.; Han, S.; Zhang, G.X.; Luo, Y. Driver behavior detection via adaptive spatial attention mechanism. Adv. Eng. Inform. 2021, 48, 101280. [Google Scholar] [CrossRef]
- Bu, L.G.; Chen, C.H.; Zhang, G.; Liu, B.F.; Dong, G.J.; Yuan, X. A hybrid intelligence approach for sustainable service innovation of smart and connected product: A case study. Adv. Eng. Inform. 2020, 46, 101163. [Google Scholar] [CrossRef]
- Su, C.R.; Yang, H.H.; Li, J.; Wu, X.D. Steering authority allocation strategy for human-machine shared control based on driver take-over feasibility. Comput. Electr. Eng. 2024, 120, 109753. [Google Scholar] [CrossRef]
- Ge, G. Analysis of Dynamic Characteristics of Man-Machine Co-Driving Vehicle during Driving Right Switching. Autom. Control Comput. Sci. 2022, 56, 166–179. [Google Scholar]
- Yi, B.L.; Cao, H.T.; Song, X.L.; Zhao, S.; Guo, W.F.; Li, M.J. How to identify the take-over criticality in conditionally automated driving? An examination using drivers’ physiological parameters and situational factors. Transp. Res. Part F Traffic Psychol. Behav. 2022, 85, 161–178. [Google Scholar] [CrossRef]
- Lioi, A.; Bassani, M. The impact of auditory advanced driver distraction warning devices on the behaviour of middle-aged drivers along urban roads. Transp. Eng. 2024, 17, 100263. [Google Scholar] [CrossRef]
- Jo, Y.; Jung, A.; Oh, C.; Park, J. Characterizing the driving behavior of manual vehicles following autonomous vehicles and its impact on mixed traffic performance. Transp. Res. Part F Traffic Psychol. Behav. 2024, 107, 69–83. [Google Scholar] [CrossRef]
- Hollósi, J.; Ballagi, Á.; Kovács, G.; Fischer, S.; Nagy, V. Detection of Bus Driver Mobile Phone Usage Using Kolmogorov-Arnold Networks. Computers 2024, 13, 218. [Google Scholar] [CrossRef]
- Li, C.J.; Xu, C.C.; Chen, Y.S.; Li, Z.B. Development and experiment of an intelligent connected cooperative vehicle infrastructure system based on multiple V2I modes and BWM-IGR method. Phys. A Stat. Mech. Its Appl. 2024, 635, 129498. [Google Scholar] [CrossRef]
- Huang, T.; Fu, R.; Chen, Y.X. Deep driver behavior detection model based on human brain consolidated learning for shared autonomy systems. Measurement 2021, 179, 109463. [Google Scholar] [CrossRef]
- He, Y.H.; Huang, J.Y.; Pan, Y.M. A novel low-resource consumption and high-speed hardware implementation of HOG feature extraction on FPGA for human detection. Integration 2024, 97, 102208. [Google Scholar] [CrossRef]
- Lahiani, H.; Neji, M. Hand gesture recognition method based on HOG-LBP features for mobile devices. Procedia Comput. Sci. 2018, 126, 254–263. [Google Scholar] [CrossRef]
- Yang, D.W.; Wang, Y.; Wei, R.; Guan, J.P.; Huang, X.H.; Cai, W.; Jiang, Z. An efficient multi-task learning CNN for driver attention monitoring. J. Syst. Archit. 2024, 148, 103085. [Google Scholar] [CrossRef]
- Li, R.L.; Gao, R.B.; Suganthan, P.N. A decomposition-based hybrid ensemble CNN framework for driver fatigue recognition. Inf. Sci. 2023, 624, 833–848. [Google Scholar] [CrossRef]
- Tang, X.X.; Chen, Y.; Ma, Y.F.; Yang, W.X.; Zhou, H.P.; Huang, J.Z. A lightweight model combining convolutional neural network and Transformer for driver distraction recognition. Eng. Appl. Artif. Intell. 2024, 132, 107910. [Google Scholar] [CrossRef]
- Shahverdy, M.; Fathy, M.; Berangi, R.; Sabokrou, M. Driver behavior detection and classification using deep convolutional neural networks. Expert Syst. Appl. 2020, 149, 113240. [Google Scholar] [CrossRef]
- Xing, Y.; Lv, C.; Wang, H.; Cao, D.; Velenis, E.; Wang, F.-Y. Driver Activity Recognition for Intelligent Vehicles: A Deep Learning Approach. IEEE Trans. Veh. Technol. 2019, 68, 5379–5390. [Google Scholar] [CrossRef]
- Wang, Y.W.; Qiu, Y.Y.; Cheng, P.T.; Zhang, J.Y. Transformer-based descriptors with fine-grained region supervisions for visual place recognition. Knowl.-Based Syst. 2023, 280, 110993. [Google Scholar] [CrossRef]
- Wu, S.; Zhang, G.J.; Liu, X.F. SwinSOD: Salient object detection using swin-transformer. Image Vis. Comput. 2024, 146, 105039. [Google Scholar] [CrossRef]
- Sharma, O.; Sahoo, N.C.; Puhan, N.B. Kernelized convolutional transformer network based driver behavior estimation for conflict resolution at unsignalized roundabout. ISA Trans. 2023, 133, 13–28. [Google Scholar] [CrossRef]
- Geng, M.S.; Chen, Y.; Xia, Y.J.; Chen, X.Q. Dynamic-learning spatial-temporal Transformer network for vehicular trajectory prediction at urban intersections. Transp. Res. Part C Emerg. Technol. 2023, 156, 104330. [Google Scholar] [CrossRef]
- Yang, H.H.; Liu, H.C.; Hu, Z.X.; Nguyen, A.-T.; Guerra, T.-M.; Lv, C. Quantitative Identification of driver distraction: A weakly supervised contrastive learning approach. IEEE Trans. Intell. Transp. Syst. 2024, 25, 2034–2045. [Google Scholar] [CrossRef]
- Xing, Y.; Lv, C.; Cao, D.P.; Hang, P. Toward human-vehicle collaboration: Review and perspectives on human-centered collaborative automated driving. Transp. Res. Part C Emerg. Technol. 2021, 128, 103199. [Google Scholar] [CrossRef]
- Lotz, A.; Russwinkel, N.; Wohlfarth, E. Response times and gaze behavior of truck drivers in time critical conditional automated driving take-overs. Transp. Res. Part F Traffic Psychol. Behav. 2019, 64, 532–551. [Google Scholar] [CrossRef]
- Zhou, X.; Yang, W.; HaiLaTi, K.; Liao, Y. The Detection of Fraudulent Smart Contracts Based on ECA-EfficientNet and Data Enhancement. Comput. Mater. Contin. 2023, 77, 4073–4087. [Google Scholar] [CrossRef]
- Zhang, Y.; Zhan, Q.; Ma, Z. EfficientNet-ECA: A lightweight network based on efficient channel attention for class-imbalanced welding defects classification. Adv. Eng. Inform. 2024, 62, 102737. [Google Scholar] [CrossRef]
- Vaswani, A.; Shazeer, N.; Parmar, N.; Uszkoreit, J.; Jones, L.; Gomez, A.N.; Kaiser, L.; Polosukhin, I. Attention is all you need. arXiv 2017, arXiv:1706.03762. [Google Scholar]
- Li, J.R.; Yu, C.; Shi, J.Y.; Zhang, C.L.; Ke, T. Vehicle Re-identification method based on Swin-Transformer network. Array 2022, 16, 100255. [Google Scholar] [CrossRef]
- Song, C.; Song, Q.; Cao, F. Driver Distraction Detection Based on Improved Swin Transforme. In Proceedings of the 2024 43rd Chinese Control Conference (CCC), Kunming, China, 28–31 July 2024; pp. 2032–8037. [Google Scholar]
- Liu, Z.; Lin, Y.; Cao, Y.; Hu, H.; Wei, Y.; Zhang, Z.; Lin, S.; Guo, B. Swin transformer: Hierarchical vision transformer using shifted windows. In Proceedings of the IEEE/CVF International Conference on Computer Vision, Montreal, QC, Canada, 10–17 October 2021. [Google Scholar]
- Montoya, A.; Holman, D.; SF_data_science; Smith, T.; Kan, W. State Farm Distracted Driver Detection; Kaggle: San Francisco, CA, USA, 2016; Available online: https://www.kaggle.com/c/state-farm-distracted-driver-detection (accessed on 12 October 2024).









| Parameters | Configure |
|---|---|
| Operating System | Windows 10, 64-bit |
| Development Environment | PyCharm 2020.1 × 64 |
| GPU | NVIDIA GTX 4070 Ti 24GB |
| CUDA | 11.3 |
| Programming Languages | Python 3.6 |
| Deep Learning Framework | Pytorch 1.8 |
| Category | Description | Training Set | Testing Set |
|---|---|---|---|
| c0 | Safe driving | 1742 | 747 |
| c1 | Texting with your right hand | 1586 | 681 |
| c2 | Calling with the right hand | 1621 | 696 |
| c3 | Texting with your left hand | 1642 | 704 |
| c4 | Making a phone call with your left hand | 1628 | 698 |
| c5 | Manipulating the radio | 1618 | 694 |
| c6 | Drinking water | 1627 | 698 |
| c7 | Looking backward | 1401 | 601 |
| c8 | Holding glasses | 1337 | 574 |
| c9 | Talking to others | 1490 | 639 |
| 15,692 | 6732 |
| Loss | Precision | Recall | F1Score | Accuracy | |
|---|---|---|---|---|---|
| Val | 0.022 | 0.994 | 0.994 | 0.994 | 0.994 |
| Model | c0 | c1 | c2 | c3 | c4 | c5 | c6 | c7 | c8 | c9 | Average Accuracy |
|---|---|---|---|---|---|---|---|---|---|---|---|
| The model | 99.06 | 100.00 | 99.57 | 99.57 | 99.57 | 99.14 | 99.71 | 99.50 | 99.13 | 98.90 | 99.415 |
| Accuracy | Precision | Recall | F1 Score | |
|---|---|---|---|---|
| Swin transformer-ECA | 0.9942 | 0.9942 | 0.9942 | 0.9942 |
| Swin transformer | 0.9541 | 0.9552 | 0.9541 | 0.9539 |
| Model | Accuracy |
|---|---|
| Visual Geometry Group 16 (Vgg16) | 0.9562 |
| MobileNet Version 2 (MobileNetV2) | 0.9774 |
| My model | 0.9942 |
Disclaimer/Publisher’s Note: The statements, opinions and data contained in all publications are solely those of the individual author(s) and contributor(s) and not of MDPI and/or the editor(s). MDPI and/or the editor(s) disclaim responsibility for any injury to people or property resulting from any ideas, methods, instructions or products referred to in the content. |
© 2024 by the authors. Published by MDPI on behalf of the World Electric Vehicle Association. Licensee MDPI, Basel, Switzerland. This article is an open access article distributed under the terms and conditions of the Creative Commons Attribution (CC BY) license (https://creativecommons.org/licenses/by/4.0/).
Share and Cite
Cui, J.; Chen, Y.; Wu, Z.; Wu, H.; Wu, W. A Driver Behavior Detection Model for Human-Machine Co-Driving Systems Based on an Improved Swin Transformer. World Electr. Veh. J. 2025, 16, 7. https://doi.org/10.3390/wevj16010007
Cui J, Chen Y, Wu Z, Wu H, Wu W. A Driver Behavior Detection Model for Human-Machine Co-Driving Systems Based on an Improved Swin Transformer. World Electric Vehicle Journal. 2025; 16(1):7. https://doi.org/10.3390/wevj16010007
Chicago/Turabian StyleCui, Junhua, Yunxing Chen, Zhao Wu, Huawei Wu, and Wanghao Wu. 2025. "A Driver Behavior Detection Model for Human-Machine Co-Driving Systems Based on an Improved Swin Transformer" World Electric Vehicle Journal 16, no. 1: 7. https://doi.org/10.3390/wevj16010007
APA StyleCui, J., Chen, Y., Wu, Z., Wu, H., & Wu, W. (2025). A Driver Behavior Detection Model for Human-Machine Co-Driving Systems Based on an Improved Swin Transformer. World Electric Vehicle Journal, 16(1), 7. https://doi.org/10.3390/wevj16010007

