Vehicle-Mounted SRM DITC Strategy Based on Optimal Switching Angle TSF
Abstract
1. Introduction
2. SRM Mathematical Model
3. DITC Strategy
4. Improved TSF Strategy
4.1. Improved TSF
4.2. Angle Optimization
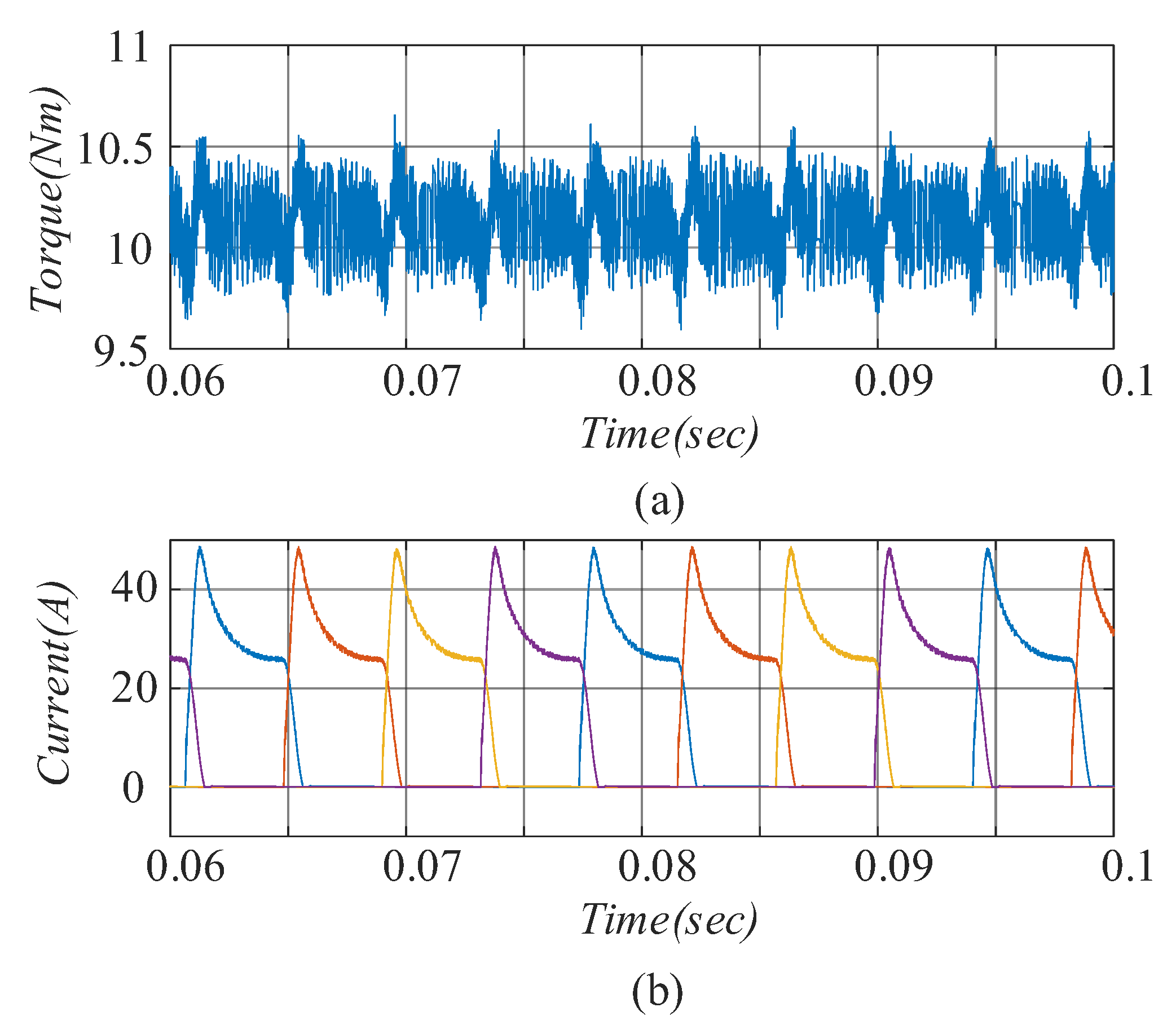
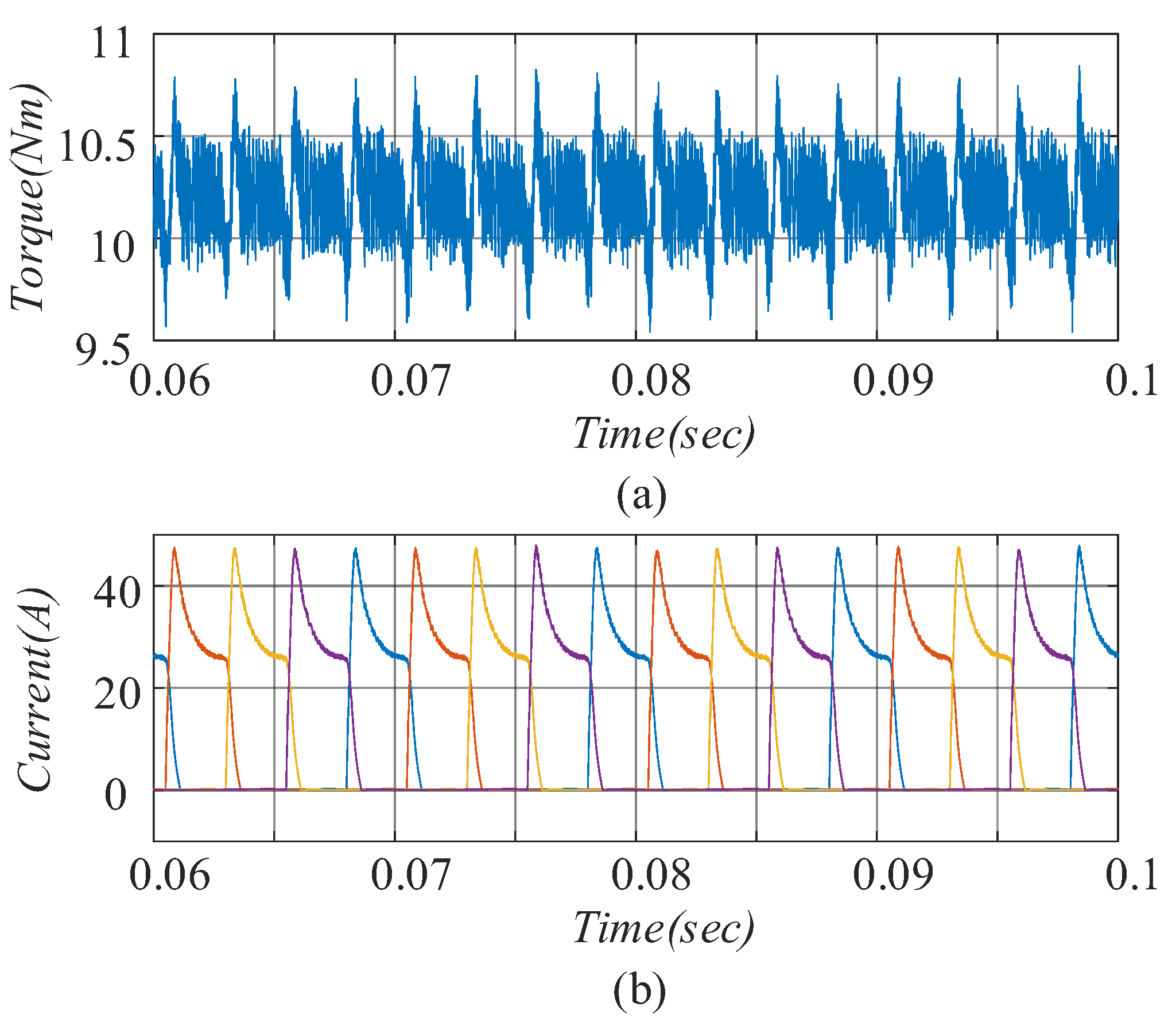
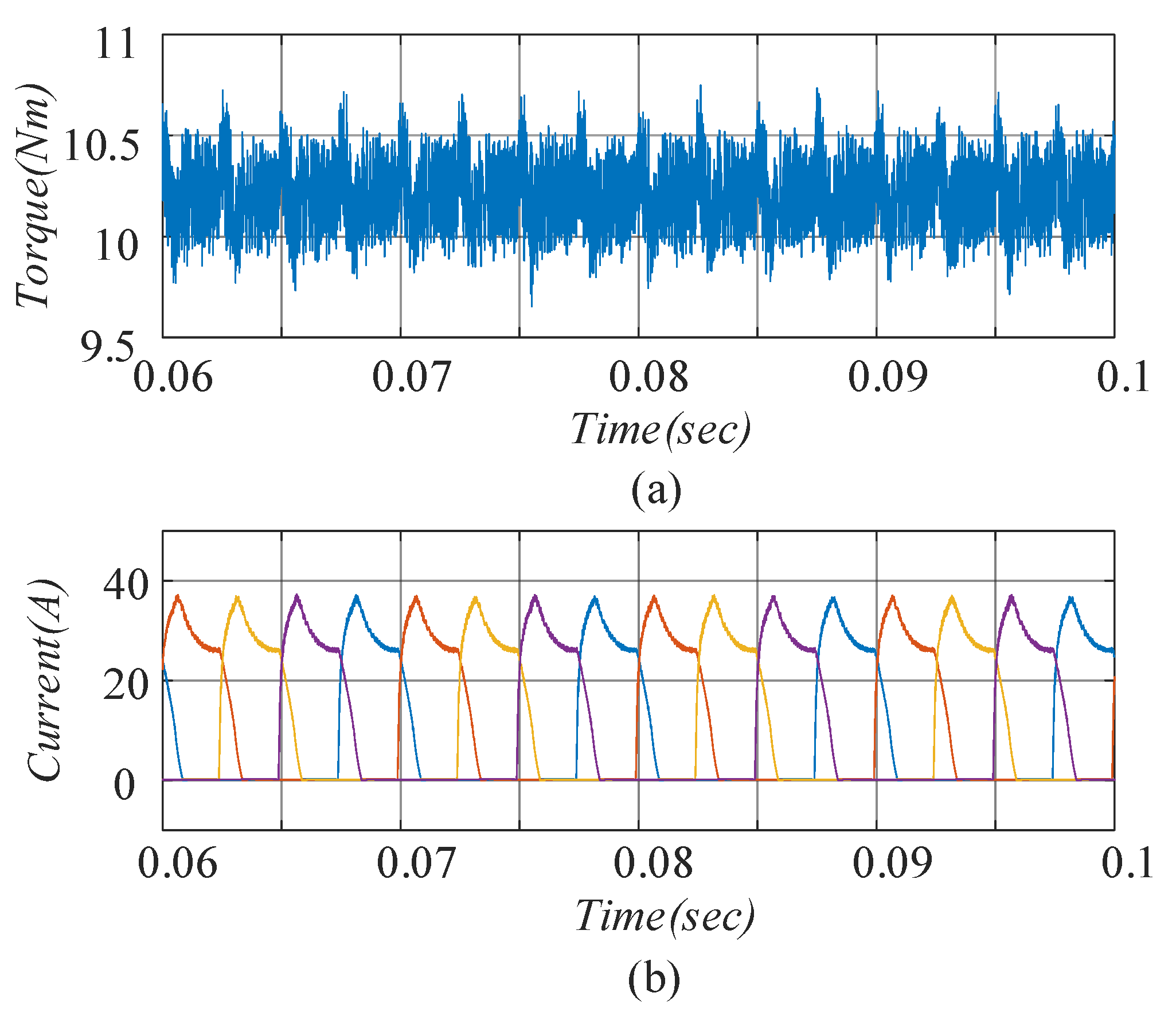
5. Results
6. Conclusions
Author Contributions
Funding
Data Availability Statement
Conflicts of Interest
References
- Ge, L.F.; Fan, Z.Z.; Du, N.; Huang, J.L.; Xiao, D.X.; Song, S.J. Model Predictive Torque and Force Control for Switched Reluctance Machines Based on Online Optimal Sharing Function. IEEE Trans. Power Electron. 2023, 38, 12359–12364. [Google Scholar] [CrossRef]
- Lan, Y.F.; Benomar, Y.; Deepak, K.; Aksoz, A.; El Baghdadi, M.; Bostanci, E.; Hegazy, O. Switched Reluctance Motors and Drive Systems for Electric Vehicle Powertrains: State of the Art Analysis and Future Trends. Energies 2021, 14, 2079. [Google Scholar] [CrossRef]
- Qiu, L.; He, L.; Dai, L.C.; Fang, C.; Chen, Z.H.; Pan, J.F.; Zhang, B.; Xu, Y.; Chen, C. Networked control strategy of dual linear switched reluctance motors based time delay tracking system. ISA Trans. 2022, 129, 605–615. [Google Scholar] [CrossRef] [PubMed]
- Wang, Z.K.; Ching, T.W.; Huang, S.J.; Wang, H.T.; Xu, T. Challenges Faced by Electric Vehicle Motors and Their Solutions. IEEE Access 2021, 9, 5228–5249. [Google Scholar] [CrossRef]
- Kusumi, T.; Hara, T.; Umetani, K.; Hiraki, E. Phase-current waveform for switched reluctance motors to eliminate input-current ripple and torque ripple in low-power propulsion below magnetic saturation. IET Power Electron. 2020, 13, 3351–3359. [Google Scholar] [CrossRef]
- Takeno, M.; Chiba, A.; Hoshi, N.; Ogasawara, S.; Takemoto, M.; IEEE. Power and Efficiency Measurements and Design Improvement of a 50kW witched Reluctance Motor for Hybrid Electric Vehicles. In Proceedings of the IEEE Energy Conversion Congress and Exposition (ECCE), Phoenix, AZ, USA, 17–22 September 2011; pp. 1495–1501. [Google Scholar]
- Tariq, I.; Muzzammel, R.; Alqasmi, U.; Raza, A. Artificial Neural Network-Based Control of Switched Reluctance Motor for Torque Ripple Reduction. Math. Probl. Eng. 2020, 2020, 9812715. [Google Scholar] [CrossRef]
- Wang, S.H.; Hu, Z.H.; Cui, X.P. Research on Novel Direct Instantaneous Torque Control Strategy for Switched Reluctance Motor. IEEE Access 2020, 8, 66910–66916. [Google Scholar] [CrossRef]
- Song, S.J.; Fang, G.L.; Hei, R.S.; Jiang, J.N.; Ma, R.Q.; Liu, W.G. Torque Ripple and Efficiency Online Optimization of Switched Reluctance Machine Based on Torque per Ampere Characteristics. IEEE Trans. Power Electron. 2020, 35, 9608–9616. [Google Scholar] [CrossRef]
- Zhang, X.; Yang, Q.Q.; Ma, M.Y.; Lin, Z.Y.; Yang, S.Y. A Switched Reluctance Motor Torque Ripple Reduction Strategy with Deadbeat Current Control and Active Thermal Management. IEEE Trans. Veh. Technol. 2020, 69, 317–327. [Google Scholar] [CrossRef]
- Ye, J.; Bilgin, B.; Emadi, A. An Offline Torque Sharing Function for Torque Ripple Reduction in Switched Reluctance Motor Drives. IEEE Trans. Energy Convers. 2015, 30, 726–735. [Google Scholar] [CrossRef]
- Jing, B.Q.; Dang, X.J.; Liu, Z.; Ji, J.B. Torque Ripple Suppression of Switched Reluctance Motor with Reference Torque Online Correction. Machines 2023, 11, 179. [Google Scholar] [CrossRef]
- Yang, F.; Chen, H.; Li, X.D.; Aguirre, M.P.; Saqib, M.A. An efficient torque distribution function for optimized control strategy in the commutation zone of switched reluctance motors. Trans. China Electrotech. Soc. 2024, 39, 1671–1683. [Google Scholar] [CrossRef]
- Sun, Q.G.; Wu, J.H. Torque ripple suppression strategy for switched reluctance motors based on online correction of the torque distribution function. Electr. Mach. Control 2017, 21, 1–8. [Google Scholar] [CrossRef]
- Sun, Q.G.; Wei, G.M.; Liu, X. Torque ripple suppression in switched reluctance motors using adaptive commutation and torque compensation. Electr. Mach. Control 2022, 26, 91–100+111. [Google Scholar] [CrossRef]
- Gengaraj, M.; Kalaivani, L.; Rajesh, R. Investigation on Torque Sharing Function for Torque Ripple Minimization of Switched Reluctance Motor: A Flower Pollination Algorithm Based Approach. IETE J. Res. 2023, 69, 3678–3692. [Google Scholar] [CrossRef]
- Huang, C.Z.; Cao, W.S.; Xu, J.X. An NUTSF at Sub-Region for Suppression of Torque Ripple in Switched Reluctance Motors. Appl. Sci. 2022, 12, 7604 . [Google Scholar] [CrossRef]
- Xiao, Z.Y.; Zhang, G.B.; Huang, Y.M.; IEEE. Research on Fuzzy Control of Switched Reluctance Motor. In Proceedings of the 32nd Chinese Control And Decision Conference (CCDC), Hefei, China, 22–24 August 2020; pp. 189–192. [Google Scholar]
- Gao, J.; Yuan, B.; Wang, H.Y.; Xu, M. Online Current Spikes Suppression Strategy Research of Switched Reluctance Motors Based on Hybrid Torque Sharing Function. IEEJ Trans. Electr. Electron. Eng. 2023, 18, 1939–1948. [Google Scholar] [CrossRef]
- Xue, X.D.; Cheng, K.W.E.; Ho, S.L. Optimization and Evaluation of Torque-Sharing Functions for Torque Ripple Minimization in Switched Reluctance Motor Drives. IEEE Trans. Power Electron. 2009, 24, 2076–2090. [Google Scholar] [CrossRef]
- Kjaer, P.C.; Gribble, J.J.; Miller, T.J.E. High-grade control of switched reluctance machines. IEEE Trans. Ind. Appl. 1997, 33, 1585–1593. [Google Scholar] [CrossRef]
- Kudiyarasan, S.; Sthalasayanam, N.; Karunakaran, V. Minimization of torque pulsations by using a novel fuzzy controller in SRM drives for EV applications. Heliyon 2023, 9, e14437. [Google Scholar] [CrossRef]
- Kannan, R.; Rajasekaran, S.; Stallon, S.D.; Anand, R. Improved indirect instantaneous torque control based torque sharing function approach of SRM drives in EVs using hybrid technique. ISA Trans. 2023, 139, 322–336. [Google Scholar] [CrossRef]
- Vecek, N.; Liu, S.H.; Crepinsek, M.; Mernik, M. On the Importance of the Artificial Bee Colony Control Parameter ‘Limit’. Inf. Technol. Control 2017, 46, 566–604. [Google Scholar] [CrossRef]
- Ferkova, Z.; Suchy, L.; Bober, P. Comparison of 6/4 and 12/8 switched reluctance motor models using direct torque control with torque lookup table. Electr. Eng. 2020, 102, 75–83. [Google Scholar] [CrossRef]


















| Function | Function Expression | Dimensionality | Search Range |
|---|---|---|---|
| Sphere | 10 | [−100, 100] | |
| Shubert | 10 | [−300, 300] | |
| Rastrigin | 10 | [−10, 10] | |
| Schwefel | 10 | [−500, 500] |
| Parameter | Value |
|---|---|
| Number of stator and rotor stages | 8/6 |
| Rated power | 4 kW |
| Rated speed | 1500 r/min |
| Frictional loss | 12 W |
| Stator external/internal diameter | 120/74.5 mm |
| Rotor external/internal diameter | 74/30 mm |
| Embrace factor | 0.5 |
| Stacking factor | 0.95 |
| Steel type | DW360_50 |
| Core length | 65 mm |
| Speed | Torque Ripple | Peak Current | ||
|---|---|---|---|---|
| DITC | Improved DITC | DITC | Improved DITC | |
| 300 r/min | 9.34% | 8.35% | 48.20 A | 38.24 A |
| 600 r/min | 10.92% | 8.71% | 48.83 A | 39.47 A |
| 1000 r/min | 12.89% | 10.35% | 47.78 A | 37.04 A |
Disclaimer/Publisher’s Note: The statements, opinions and data contained in all publications are solely those of the individual author(s) and contributor(s) and not of MDPI and/or the editor(s). MDPI and/or the editor(s) disclaim responsibility for any injury to people or property resulting from any ideas, methods, instructions or products referred to in the content. |
© 2025 by the authors. Published by MDPI on behalf of the World Electric Vehicle Association. Licensee MDPI, Basel, Switzerland. This article is an open access article distributed under the terms and conditions of the Creative Commons Attribution (CC BY) license (https://creativecommons.org/licenses/by/4.0/).
Share and Cite
Wang, H.; Wu, J.; Xie, C.; Guo, Z. Vehicle-Mounted SRM DITC Strategy Based on Optimal Switching Angle TSF. World Electr. Veh. J. 2025, 16, 26. https://doi.org/10.3390/wevj16010026
Wang H, Wu J, Xie C, Guo Z. Vehicle-Mounted SRM DITC Strategy Based on Optimal Switching Angle TSF. World Electric Vehicle Journal. 2025; 16(1):26. https://doi.org/10.3390/wevj16010026
Chicago/Turabian StyleWang, Hongyao, Jingbo Wu, Chengwei Xie, and Zhijun Guo. 2025. "Vehicle-Mounted SRM DITC Strategy Based on Optimal Switching Angle TSF" World Electric Vehicle Journal 16, no. 1: 26. https://doi.org/10.3390/wevj16010026
APA StyleWang, H., Wu, J., Xie, C., & Guo, Z. (2025). Vehicle-Mounted SRM DITC Strategy Based on Optimal Switching Angle TSF. World Electric Vehicle Journal, 16(1), 26. https://doi.org/10.3390/wevj16010026
