Abstract
With the government’s strong promotion of the transformation of new and old driving forces, the electrification of buses has developed rapidly. In order to improve resource utilization, many cities have decided to open bus charging stations (CSs) to private vehicles, thus leading to the problems of high electricity costs, long waiting times, and increased grid load during peak hours. To address these issues, a dual-layer optimization model was constructed and solved using the Golden Sine Algorithm, balancing the construction cost of CSs and user costs. In addition, the problem was alleviated by combining energy storage scheduling and the M/M/c queue model to reduce grid pressure and shorten waiting times. The study shows that energy storage scheduling effectively reduces grid load, and the electricity cost is reduced by 6.0007%. The average waiting time is reduced to 2.1 min through the queue model, reducing the electric vehicles user’s time cost. The bi-level programming model and energy storage scheduling strategy have positive implications for the operation and development of bus CSs.
1. Introduction
In recent years, with the government’s active promotion of electric vehicles (EVs), the ownership of EVs has continued to increase. Additionally, bus companies have also responded to the national call by actively pushing for the electrification of buses. This has led to issues such as the low utilization rates of charging infrastructure and the improper planning of charging station (CS) locations [1]. Therefore, improving the utilization rates of CSs and the rational planning of their locations and capacities have become the focus of many scholars’ research.
To optimize the layout and utilization of EV CSs in urban areas, numerous scholars have proposed various research schemes. Reference [2] introduced an efficient deployment method for EV charging infrastructure, focusing on planning the layout of CSs and chargers under multiple constraints, such as charging demand and driving range. Reference [3] proposed a method to optimize the existing layout by increasing the minimum number of CSs, aiming to enhance the level of shared charging. Reference [4] used genetic algorithms and cost models to optimize the location of CSs, addressing constraints such as the depreciation cycle of the stations, per-distance power consumption, and the probability of vehicle charging to minimize operational costs.
Additionally, many scholars have conducted data-driven site selection for CSs; for instance, Reference [5] utilized large-scale mobile phone data, analyzing location and activity records of over one million mobile users over four months in the Boston area to optimize the spatial layout of CSs. Reference [6] developed a multi-agent system that integrates various data sources to predict the optimal locations for EV CSs.
The establishment of two-level optimization models has also been widely studied. Reference [7] introduced a new descent algorithm to handle such models, showing that this method effectively meets EV charging needs and significantly alleviates traffic congestion. Reference [8] discussed a two-level planning model for CS site selection and capacity setting, considering user autonomy and the cost of charging behavior. Reference [9] focused on the capacity planning and pricing design of EV CSs, proposing a two-level robust optimization model that considers the uncertainty of user behavior. Reference [10] explores how to deploy EV CSs in a rational way based on existing gas stations to ensure the energy autonomy of EVs during driving by using a dual-layer optimization model.
Regarding the capacity issues of CSs, Reference [11] used fluid dynamic traffic models and M/M/s queueing theory to predict the arrival rates and charging demands of EVs at specific stations. Reference [12] proposed a proactive capacity estimation and power management model for EV CSs based on queueing theory, predicting the power capacity of stations by modeling the arrivals and departures of EVs. Reference [13] used the Monte Carlo method to establish probabilistic distribution models for the driving patterns and charging characteristics of various types of EVs, predicting the load demand when EVs are connected to the grid. Reference [14] enhanced the accuracy and practicality of forecasts by using an extended Logit model to process detailed traffic flows and delays at transportation nodes and intersections, combined with EV trip chains and charging models.
To improve the economic efficiency of CSs and reduce grid pressure, Reference [15] explored the economic potential of using stationary energy storage to support rapid charging at bus terminal stations in urban settings. Reference [16] discussed the more effective use of solar and wind energy by integrating energy storage batteries (ESBs) into appropriate locations within the distribution network, utilizing smart charging and discharging strategies of the battery storage systems to reduce energy waste and optimize system performance. The study of fast charging scheduling for electric buses in [17] focuses on optimizing the cost and grid pressure during the charging process by introducing a storage system. Reference [18] assessed the benefits of using fixed energy storage systems at rapid EV CSs, particularly considering the waiting times for users.
Currently, there is relatively limited research on the incorporation of energy storage into the two-level optimization models for EV CSs. Therefore, in constructing the two-level optimization model, this study modeled energy storage within the upper-level model. Public bus CSs that are accessible to the public can reduce operating costs by utilizing an energy storage battery solution to recharge during non-peak times and release power during peak hours. This scheduling of energy storage not only enhances the economic efficiency of the CSs but also improves the operational efficiency of the entire charging infrastructure by smoothing the load on the electric grid.
The main contributions of this study include the following:
- A two-tier optimization model for public EV CSs has been established. In the upper tier, a storage model was integrated, while in the lower tier, a queuing model was incorporated.
- To solve this bi-level programming model, the Golden Sine Algorithm is used for the solution.
- Using a traffic flow simulation algorithm, the flow of buses at the CS was simulated, providing data on the arrival rate of vehicles for the two-tier optimization model.
The rest of this paper is structured as follows.
Section 2 introduces the overall framework of this paper, Section 3 covers the charging probability model and traffic flow simulation algorithm, Section 4 establishes a bi-level optimization model and introduces the Golden Sine Algorithm. Section 5 conducts a simulation analysis taking a bus route in Jinan, Shandong Province as an example. Section 6 concludes the paper.
2. Charging Station Optimization Framework
This study proposes an optimization framework for open electric bus CSs, as shown in Figure 1. The framework initially applies the Monte Carlo simulation method to analyze and predict the charging characteristics of different types of EVs, aiming to accurately determine the specific charging needs of each type of EV. Subsequently, the required capacity of the energy storage battery (ESB) is calculated using a traffic flow simulation algorithm. Moreover, this framework constructs a two-tier optimization model: the upper-tier model aims to minimize the construction costs of the CS, including the costs of land, charging piles and their supporting facilities, site electricity, and ESB; the lower-tier model strives to minimize the queuing time cost for users during peak periods, thereby enhancing user satisfaction. Ultimately, the Golden Sine Algorithm (GSA) is employed to solve this two-tier optimization problem, optimize the configuration number of charging piles, and conduct a detailed analysis of the load conditions of the power grid and the energy consumption of the CS.
Figure 1.
Open charging station optimization framework.
3. Charging Load Probability Model
The uncertainty of EV charging demand is one of the issues studied in this paper. To address this, we use the Monte Carlo simulation method to predict and simulate the charging load at open electric bus CSs. Monte Carlo simulation, a method based on random sampling techniques, involves generating random parameters that follow a specific probability distribution and inserting these parameters into the model to compute various possible outputs of the model. This method greatly enhances the precision of the analysis, significantly facilitating the optimization of CS design and operational strategies. Moreover, Monte Carlo simulation supports decision-makers in better understanding risks and potential outcomes when facing complex and uncertain charging demands, thereby enabling more rational decision-making.
3.1. Analysis of EV Charging Characteristics
Electric private cars are primarily used for daily commuting and traveling to and from work, showing a high regularity in driving times and distances. Consequently, their daily driving distances typically conform to a log-normal distribution. In contrast, electric taxis have more varied and extensive driving routes. Their driving times are influenced by multiple factors such as traffic conditions and passenger demand, introducing a certain level of uncertainty. Nevertheless, the daily driving distances of electric taxis still follow a normal distribution. The probability density function for this is provided in the text as Equation (1), which details its statistical characteristics [19].
In the equation, represents the driving distance of the EV; is the expected value of ; is the standard deviation of .
The starting time of travel for EVs is often influenced by a variety of factors including personal work schedules, traffic conditions, and weather changes. These starting times tend to align with people’s daily travel patterns, especially showing a marked concentration during peak commuting hours. The specific probability density function is presented in the text as Equation (2) [20].
In the equation, represents the travel time, while , , , and , respectively, represent the means and standard deviations of the first and second peaks.
The initial state of charge plays a decisive role in the charging time choices and demands of EV users and is also crucial in determining the required capacity of ESBs. To accurately understand and predict the charging needs and behavior patterns of EVs, the probability density function can be used to describe the distribution of the initial state of charge of different types of EV batteries. This method provides a quantitative perspective, allowing battery management systems to plan and optimize charging strategies. The probability density function for the initial state of charge of the batteries is specifically presented in the text as Equation (3) [13].
In the formula, represents the initial state of charge, while and are the mean and standard deviation of the initial state of charge, respectively.
3.2. Traffic Flow Simulation Analysis at Charging Stations
This study analyzes the charging characteristics of different types of EVs and uses an algorithm to simulate traffic flow at CSs [21]. This algorithm tailors the random range of variables according to different charging peaks, allowing for a more precise simulation of the actual traffic flow at CSs. This provides a scientific basis for determining the capacity of ESBs. The specific algorithm process is shown in Figure 2, with the detailed steps as follows:
Figure 2.
Flow simulation algorithm flow chart.
Step 1: The initial step of the algorithm involves evaluating whether the present time frame qualifies as the peak consumption hours. If it does, it selects a random range adapted to the peak period; if not, it chooses a range suited for off-peak times.
Step 2: Based on the initial state of charge (a random variable) of the EVs, the algorithm calculates the expected electricity demand for each EV during that period.
Using this method, the algorithm can accurately reflect the actual traffic flow at the CS, providing crucial decision support for the design and operation of the CS.
4. Bi-Level Planning Model and Solution Algorithm for Charging Stations
In order to achieve a maximized balance between the investment cost of CSs and the cost to EV users, this study has constructed a bi-level optimization model. In this model, the upper level focuses on optimizing the construction of CSs with the lowest construction costs, while the lower level aims to minimize the usage costs for EV users. This bi-level structure allows the model to not only effectively reduce the total operational costs of the CSs but also to decrease user costs, achieving a win-win situation for both CS operators and EV users. The objective function of the model is ultimately solved using the Golden Sine Algorithm, ensuring efficiency and accuracy in the solution process.
4.1. Upper-Level Optimization Model
In the construction of CSs, it is necessary to comprehensively consider various fixed costs, which mainly include the cost of land acquisition, the installation costs of charging piles and their related facilities. Additionally, since this paper introduces ESBs into the CSs, the corresponding costs for these storage facilities must also be included. Finally, the daily operational costs of the CSs are a significant component of the overall costs. In order to precisely calculate the total construction costs of the CSs, an objective function has been established, as shown in Equation (4).
In the equation, denotes the immutable costs of the CS; denotes the operational costs of the CS; denotes the costs of the ESB. These storage facilities support all the charging piles at the CS, are integrated behind the distribution network transformer, and connect to the DC bus via a DC/DC converter [15], as shown in Figure 3.
Figure 3.
Schematic diagram of the composition of energy storage batteries.
In fixed cost Equation (5), represents the cost of land; denotes the number of chargers; denotes the unit price of each CS; denotes the coefficient for the supporting infrastructure of charging stations. In order to depreciate the investment cost and the cost of an ESB annually based on the capital recovery factor , it is specified as shown in Equation (6), where denotes the discount rate, and denotes the depreciation life.
In operational cost Equation (7), where is set at 0.2, representing 20% of the constant cost of the CS allocated as other expenses [21,22]; represents the electricity costs of the CS, which are described by Equation (8). In this equation, indicates the number of days in the current month, represents the peak electricity usage period, denotes the electricity demand of EVs for the current period, denotes the electricity price for the current period, and represents the operational lifespan of the CS.
This paper examines the cost benefits of energy storage batteries for CSs and therefore focuses only on the cost components impacted by their installation, as shown in Equation (9). Here, denotes the cost an ESB, denotes the cost of transformer rectifier units, denotes the additional cost of DC/DC converters, and denotes the electricity cost associated with the ESB. In Equation (10), denotes the capacity of the ESB, denotes the total power of the transformer rectifier units, and , , and represent the unit prices of the respective equipment.
Lithium iron phosphate batteries are primarily used as ESBs; thus, it is necessary to consider the issue of the battery lifespan. This paper has established a battery aging model, as specifically shown in Equations (12) and (13). Here, represents the number of times a complete equivalent cycle occurs in a day; represents the maximum usable lifespan of the ESB, where and , respectively, represent the maximum cycle lifespan and the maximum shelf life of the ESB. To ensure the lifespan of the ESB is within the operational years of the CS, constraint (14) is added.
4.2. Lower-Level Optimization Model
To balance the construction costs of the CSs with the costs to EV users, the lower-level optimization model optimizes the queueing time at the CSs using the M/M/c queueing model. The objective function for user costs is given in Equation (15).
In this equation, stands for the average income in the region, stands for the average hours worked in the area, denotes the maximum distance users are willing to travel to a CS, denotes the travel speed to the CS, denotes the average queueing time at the CS, and denotes the number of EVs on that day.
In the M/M/s queueing model, the previous signifies that customer arrival times follow an exponential distribution with parameter , indicating a Poisson process. The second denotes that service times at the CS also follow an exponential distribution, with parameter . The variable represents the number of chargers at the CS. Service is provided based on the FCFS (First-Come, First-Served) rule. The service intensity of EV charging can be calculated as the ratio between the arrival rate and the service rate of the CS, as demonstrated in Equation (16).
Equations (19) and (20) denote the average queue distance and the average queueing time, respectively. In order to minimize the turnover rate of EV users at the CS and guarantee that the average queueing time remains within the maximum allowable limit, constraint (21) has been incorporated, where represents the maximum queueing time.
4.3. Golden Sine Algorithm
The Golden Sine Algorithm is a novel intelligent optimization algorithm introduced by Erkan Tanyildizi and others in 2017 [23]. The inspiration for this algorithm comes from the sine function in mathematics, utilizing the sine function combined with the golden ratio for iterative optimization. The Golden Sine Algorithm is characterized by its robustness, fast global convergence, and high optimization precision.
4.3.1. Calculation of the Golden Ratio Coefficients
In the position updating process of the Golden Sine Algorithm, the golden ratio coefficients and are introduced, achieving a good balance between ‘global exploration’ and ‘local exploitation’. These coefficients reduce the search space, guiding individuals towards the optimal values. and are, respectively, shown in Equations (22) and (23).
In this context, and represent the initial values for the search in the golden ratio, while , , and typically represent the golden ratio coefficients.
4.3.2. Position Update
As the number of iterations increases, the Golden Sine Algorithm updates the position according to Equation (24).
In this, represents the position of the individual at iteration ; represents the position of the individual at iteration ; represents the best position of the individual at iteration ; is a random number within the interval [0, 2π]; is a random number within the interval [0, π].
4.3.3. Golden Ratio Coefficient Update
After position updates, the golden ratio coefficients are updated based on the quality of the updated positions and the differences between and . If the updated solution is better than the current best solution, Equations (25)–(27) are used to update the golden ratio coefficients.
Conversely, if the updated solution is not better than the current best solution, Equations (28)–(30) are used to update the golden ratio coefficients.
After the updates are completed, it is necessary to check if and are equal. If and are equal, and need to be randomly reset, as specifically shown in Equations (27) and (30)–(32).
4.3.4. Golden Sine Algorithm Process
The flowchart of the Golden Sine Algorithm is shown in Figure 4.
Figure 4.
Flowchart of the Golden Sine Algorithm.
Steps of the Golden Sine Algorithm are as follows:
Step 1: Set the relevant parameters of the Golden Sine Algorithm and initialize the population positions.
Step 2: Calculate the initial golden ratio coefficients.
Step 3: Calculate fitness values based on the objective function and record the optimal position.
Step 4: Update the positions using Equation (2).
Step 5: Update the golden ratio coefficients.
Step 6: Check if the stopping conditions of the algorithm are met (that is, the model’s constraint conditions). If they are, output the optimal solution; if not, repeat steps 3–6.
5. Case Study Analysis
5.1. Simulation Case Study and Parameter Settings
This paper presents a simulation case study of the bus K1 route in Jinan, Shandong Province, to thoroughly investigate the operation of bus routes. The route has a total length of 15.6 km and sees 128 bus departures daily. In this example, we establish the following settings:
- Each bus commences the day with a full 100% battery charge and ceases operation when the charge level decreases to 20%, without any recharging during operation;
- To maintain uniformity in charging times, all buses use the same model, specifically the BYD B10, with detailed parameters outlined in Table 1;
Table 1. Parameters related to the BYD B10 electric bus. - The hypothesized average speed of EVs to the CS is 46 km per hour, with a maximum acceptable distance of 5 km.
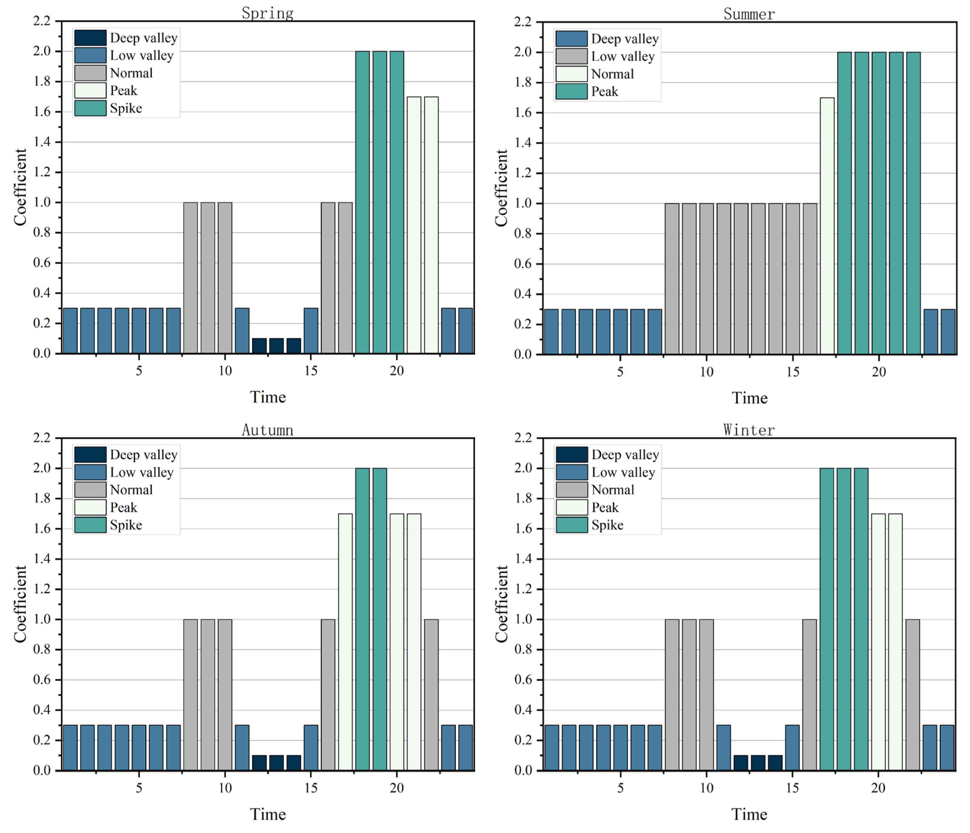
According to the time-of-use electricity pricing released by State Grid Shandong Electric Power, this pricing system undergoes adjustments based on varying seasons. CSs enjoy off-peak prices from 23:00 to 7:00, while electricity prices during other periods are consistent with commercial and industrial electricity prices. To visually demonstrate the changes in electricity prices across different seasons, this paper categorizes the electricity prices into five levels: deep valley, low valley, normal, peak, and spike, with corresponding price coefficients set at 0.1, 0.3, 1, 1.7, and 2 respectively. Figure 5 details these specific electricity prices: the deep valley price is 0.222 CNY, the low valley price is 0.385 CNY, the normal price is 0.555 CNY, the peak price is 0.585 CNY, and the spike price is 0.888 CNY.
Figure 5.
Electricity price fluctuation chart for different time periods.
The cost components for ESBs include an ESB priced at 799.11 CNY/kWh, a transformer rectifier unit at 85.13 CNY/kW, and a DC/DC converter at 533.71 CNY/kW. For EV users, the maximum acceptable waiting time in the queue is 5 min. Taking into account the cost of time, the median annual income is CNY 59,459, the average number of hours worked per year is 2112. Other key parameters are detailed in Table 2.
Table 2.
Parameter settings for the case study model.
5.2. Simulation Results Analysis
This study predicted the EV charging load within a 5 km radius of the K1 route bus CS using the Monte Carlo simulation method, with results shown in Figure 6. Specifically for electric private cars, the charging peak periods are mainly concentrated in the morning from 7:00 to 9:00 and in the evening from 18:00 to 20:00, which are the typical commuting times for private car owners. In contrast, taxi cabs are an important part of the urban transportation system [24,25], the charging peaks for electric taxis occur more frequently around the noon period. The reason for this is that many taxi drivers utilize this time for meals or rest, charging their EVs to ensure smooth operation in the afternoon.
Figure 6.
EV charging load.
Taking bus K1 as an example, the study conducted a simulation analysis across all scenarios, encompassing the minimum to the maximum number of chargers, and presented the results for various configurations in Table 3. After detailed analysis, the optimal number of chargers was determined to be 22. With this configuration, the average queueing time is only 2.113 min, which meets the set maximum tolerable queueing time standard. At the same time, the total construction cost of the CS under this configuration is CNY 4,787,138, balancing efficiency and cost-effectiveness.
Table 3.
Data table comparing different numbers of chargers.
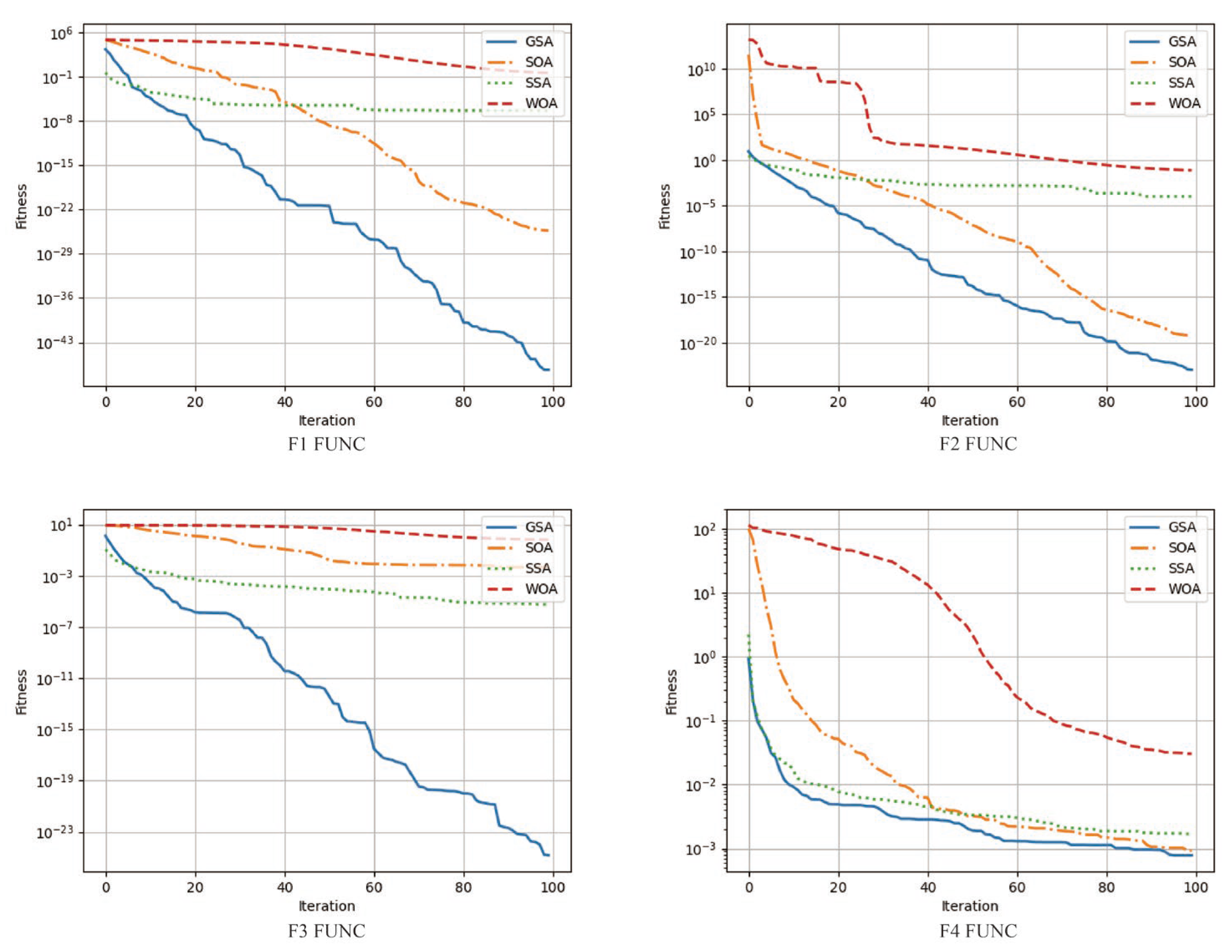
To test the performance of the Golden Sine algorithm, we selected four test functions for performance testing, as shown in Table 4. We compared the performance with the algorithms of the Whale Optimization Algorithm, the Sparrow Search Algorithm, and the Seagull Optimization Algorithm. After the test, as shown in Figure 7, the Golden Sine algorithm achieved good performance.
Table 4.
Test functions.
Figure 7.
A performance comparison chart of algorithms.
As shown in Figure 8, with the increase in the number of chargers, the attrition rate of the CS steadily decreases, while the average queuing time and the average queue distance gradually approach zero.
Figure 8.
Trend chart of queueing times and attrition rates.
Throughout the operating hours of the bus CS, the daily traffic flow to evaluate the charge capacity of EVs during peak times and determine the necessary capacity of the ESB can be found through analog simulation. Notably, we accounted for the degradation of the ESB in this analysis. As shown in Figure 9, simulations were conducted for the peak electricity demand in one selected month of each season throughout the year, and the results showed that in all seasons, the capacity of the ESB did not fall below zero. This demonstrates that the CS can depend on its ESB to provide electricity during peak periods, effectively reducing the load on the power grid during times of high electricity demand.
Figure 9.
Chart of ESB capacity changes across different time periods.
Furthermore, we compared the total electricity costs over five years for CSs with and without ESBs, as shown in Table 5. The results indicate that CSs using ESBs can save 6.0007% on electricity costs over five years. Additionally, we calculated that after five years of use, the performance degradation of the ESB is only 5.73%, indicating that these batteries can maintain a high efficiency over their expected operational lifespan. These data clearly indicate that using ESBs reduces the power grid pressure during peak hours and lowers long-term electricity costs for CSs.
Table 5.
Comparison of electricity costs at charging stations and the degradation of ESBs.
6. Conclusions
This paper focuses on energy storage scheduling and develops a bi-level optimization model to determine the optimal number of charging piles for public bus CSs with the aim of reducing user queue times during peak periods. ESBs are integrated into bus CSs to alleviate the load on the power grid during peak electricity usage, resulting in reduced electricity consumption from the grid. Additionally, an operational mode has been developed for open-type bus CSs. This mode determines the required capacity of ESBs and the electricity consumption of EVs during peak periods in various seasons by simulating both traffic flow at the CS and the charging load of different types of EVs. Numerical case analyses and verifications were conducted on actual electric bus routes. The findings of this investigation can be summarized as follows:
- As the sharing strategy becomes more prevalent among electric bus CSs, ensuring EV user satisfaction has become increasingly important. By employing the M/M/s queuing theory, efforts are made to keep the average queue time for users within 5 min, thereby reducing the attrition rate at CSs.
- A bi-level optimization model is developed, with the upper level focusing on minimizing the construction cost of the CS, and the lower level aiming to minimize costs for users while achieving a balance between economic feasibility and user satisfaction.
- Electric bus CSs, during public vehicle operating hours, must also account for the power grid pressure during peak electricity usage times. By introducing ESBs and formulating an energy storage strategy of charging during off-peak times and discharging during peak times, the load on the power grid during peak electricity usage periods is effectively alleviated. Furthermore, a comparison of electricity costs with and without ESBs shows that CSs utilizing these facilities can significantly reduce their electricity expenses, leading to lower annual operating costs. This indicates that ESBs not only ease the load on the power grid but also offer considerable cost savings, supporting the sustainable operation of CSs.
Author Contributions
Conceptualization, W.W. and Y.L.; methodology, W.W. and X.F.; software, Y.L.; validation, W.W., X.F. and Z.Z.; formal analysis, W.W.; investigation, Y.L.; resources, Z.Z.; data curation, W.W.; writing—original draft preparation, W.W.; writing—review and editing, X.F.; visualization, Y.L.; supervision, X.F.; project administration, Z.Z.; funding acquisition, Z.Z. All authors have read and agreed to the published version of the manuscript.
Funding
This research was funded by the Shandong Province Education Teaching Research Topic, grant number 2023JXY150, and the Shandong Province Vocational Education Teaching Reform Research Project, grant number 2023262.
Data Availability Statement
The original contributions presented in the study are included in the article, further inquiries can be directed to the corresponding author.
Conflicts of Interest
The authors declare no conflicts of interest.
References
- Huber, G.; Bogenberger, K.; van Lint, H. Optimization of charging strategies for battery electric vehicles under uncertainty. IEEE Trans. Intell. Transp. 2022, 23, 760–776. [Google Scholar] [CrossRef]
- Zhang, Y.; Wang, Y.; Li, F.; Wu, B.; Chiang, Y.; Zhang, X. Efficient deployment of electric vehicle charging infrastructure: Simultaneous optimization of charging station placement and charging pile assignment. IEEE Trans. Intell. Transp. 2021, 22, 6654–6659. [Google Scholar] [CrossRef]
- Gong, D.; Tang, M.; Buchmeister, B.; Zhang, H. Solving location problem for electric vehicle charging stations—A sharing charging model. IEEE Access 2019, 7, 138391–138402. [Google Scholar] [CrossRef]
- Zhou, G.; Zhu, Z.; Luo, S. Location optimization of electric vehicle charging stations: Based on cost model and genetic algorithm. Energy 2022, 247, 123437. [Google Scholar] [CrossRef]
- Vazifeh, M.M.; Zhang, H.; Santi, P.; Ratti, C. Optimizing the deployment of electric vehicle charging stations using pervasive mobility data. Transport. Res. A-Pol. 2019, 121, 75–91. [Google Scholar] [CrossRef]
- Jordán, J.; Palanca, J.; Val, E.; Julian, V.; Botti, V. Localization of charging stations for electric vehicles using genetic algorithms. Neurocomputing 2021, 452, 416–423. [Google Scholar] [CrossRef]
- Zhou, G.; Dong, Q.; Zhao, Y.; Wang, H.; Jian, L.; Jia, Y. Bilevel optimization approach to fast charging station planning in electrified transportation networks. Appl. Energy 2023, 350, 121718. [Google Scholar] [CrossRef]
- Li, J.; Liu, C.; Wang, Y.; Chen, R.; Xu, X. Bi-level programming model approach for electric vehicle charging stations considering user charging costs. Electr. Power Syst. Res. 2023, 214, 108889. [Google Scholar] [CrossRef]
- Dong, H.; Wang, L.; Wei, X.; Xu, Y.; Li, W.; Zhang, X.; Zeng, M. Capacity planning and pricing design of charging station considering the uncertainty of user behavior. Int. J. Electr. Power. 2021, 125, 106521. [Google Scholar] [CrossRef]
- Piedra-de-la-Cuadra, R.; Ortega, F.A. Bilevel optimization for the deployment of refuelling stations for electric vehicles on road networks. Comput. Oper. Res. 2024, 162, 106460. [Google Scholar] [CrossRef]
- Bae, S.; Kwasinski, A. Spatial and temporal model of electric vehicle charging demand. IEEE Trans. Smart Grid 2012, 3, 394–403. [Google Scholar] [CrossRef]
- Varshosaz, F.; Moazzami, M.; Fani, B.; Siano, P. Day-ahead capacity estimation and power management of a charging station based on queuing theory. IEEE Trans. Ind. Inform. 2019, 15, 5561–5574. [Google Scholar] [CrossRef]
- Xing, Y.; Li, F.; Sun, K.; Wang, D.; Chen, T.; Zhang, Z. Multi-type electric vehicle load prediction based on Monte Carlo simulation. Energy Rep. 2022, 8, 966–972. [Google Scholar] [CrossRef]
- Liu, K.; Liu, Y. Stochastic user equilibrium based spatial-temporal distribution prediction of electric vehicle charging load. Appl. Energy 2023, 339, 120943. [Google Scholar] [CrossRef]
- Trocker, F.; Teichert, O.; Gallet, M.; Ongel, A.; Lienkamp, M. City-scale assessment of stationary energy storage supporting end-station fast charging for different bus-fleet electrification levels. J. Energy Storage 2020, 32, 101794. [Google Scholar] [CrossRef]
- Eid, A.; Mohammed, O.; El-Kishky, H. Efficient operation of battery energy storage systems, electric-vehicle charging stations and renewable energy sources linked to distribution systems. J. Energy Storage 2022, 55, 105644. [Google Scholar] [CrossRef]
- Zheng, F.; Cao, R.; Liu, M. Stochastic fast charging scheduling of battery electric buses with energy storage systems design. Comput. Ind. Eng. 2024, 191, 110177. [Google Scholar] [CrossRef]
- Bryden, T.S.; Hilton, G.; Dimitrov, B.; Ponce de León, C.; Cruden, A. Rating a stationary energy storage system within a fast electric vehicle charging station considering user waiting times. IEEE. Trans. Transp. Electrif. 2019, 5, 879–889. [Google Scholar] [CrossRef]
- Cheng, S.; Wei, Z.; Shang, D.; Zhao, Z.; Chen, H. Charging load prediction and distribution network reliability evaluation considering electric vehicles’ spatial-temporal transfer randomness. IEEE Access 2020, 8, 124084–124096. [Google Scholar] [CrossRef]
- Guo, C.; Liu, D.; Geng, W.; Zhu, C.; Wang, X.; Cao, X. Modeling and Analysis of Electric Vehicle Charging Load in Residential Area; ICPRE: Chengdu, China, 2019; pp. 394–402. [Google Scholar]
- Meng, F.; Pei, W.; Zhang, Q.; Zhang, Y.; Ma, B.; Li, L. Research on the capacity of charging stations based on queuing theory and energy storage scheduling optimization sharing strategy. J. Energy Storage 2024, 96, 112673. [Google Scholar] [CrossRef]
- Sang, X.; Yu, X.; Chang, C.; Liu, X. Electric bus charging station site selection based on the combined DEMATEL and PROMETHEE-PT framework. Comput. Ind. Eng. 2022, 168, 108116. [Google Scholar] [CrossRef]
- Tanyildizi, E.; Demir, G. Golden Sine Algorithm: A Novel Math-Inspired Algorithm. Adv. Electr. Comput. Eng. 2017, 17, 71–78. [Google Scholar] [CrossRef]
- Cai, H.; Zhan, X.; Zhu, J.; Jia, X.; Chiu, A.S.F.; Xu, M. Understanding taxi travel patterns. Phys. A 2016, 457, 590–597. [Google Scholar] [CrossRef]
- Feng, X.; Sun, H.; Gross, B.; Wu, J.; Li, D.; Yang, X.; Lv, Y.; Zhou, D.; Gao, Z.; Havlin, S. Scaling of spatio-temporal variations of taxi travel routes. New J. Phys. 2022, 24, 043020. [Google Scholar] [CrossRef]
Disclaimer/Publisher’s Note: The statements, opinions and data contained in all publications are solely those of the individual author(s) and contributor(s) and not of MDPI and/or the editor(s). MDPI and/or the editor(s) disclaim responsibility for any injury to people or property resulting from any ideas, methods, instructions or products referred to in the content. |
© 2024 by the authors. Licensee MDPI, Basel, Switzerland. This article is an open access article distributed under the terms and conditions of the Creative Commons Attribution (CC BY) license (https://creativecommons.org/licenses/by/4.0/).








