Next Article in Journal
Consumer Segmentation and Market Analysis for Sustainable Marketing Strategy of Electric Vehicles in the Philippines
Previous Article in Journal
Ultra-Fast Nonlinear Model Predictive Control for Motion Control of Autonomous Light Motor Vehicles
 
 
Font Type:
Arial Georgia Verdana
Font Size:
Aa Aa Aa
Line Spacing:
Column Width:
Background:
Article

An Obstacle Avoidance Trajectory Planning Methodology Based on Energy Minimization (OTPEM) for the Tilt-Wing eVTOL in the Takeoff Phase

1
College of Automobile and Traffic Engineering, Nanjing Forestry University, Nanjing 210037, China
2
College of Design and Engineering, National University of Singapore, Singapore 117575, Singapore
3
College of Civil Aviation, Nanjing University of Aeronautics and Astronautics, Nanjing 210016, China
*
Author to whom correspondence should be addressed.
World Electr. Veh. J. 2024, 15(7), 300; https://doi.org/10.3390/wevj15070300
Submission received: 17 April 2024 / Revised: 16 June 2024 / Accepted: 3 July 2024 / Published: 6 July 2024

Abstract

Electric tilt-wing flying cars are an efficient, economical, and environmentally friendly solution to urban traffic congestion and travel efficiency issues. This article addresses the high energy consumption and obstacle interference during the takeoff phase of the tilt-wing eVTOL (electric Vertical Takeoff and Landing), proposing a trajectory planning method based on energy minimization and obstacle avoidance. Firstly, based on the dynamics analysis, the relationship between energy consumption, spatial trajectory, and obstacles is sorted out and the decision variables for the trajectory planning problem with obstacle avoidance are determined. Secondly, based on the power discretization during the takeoff phase, the energy minimization objective function is established and the constraints of performance limitations and spatial obstacles are derived. Thirdly, by integrating the optimization model with the SLSQP (Sequential Least Squares Quadratic Programming algorithm), the second-order sequential quadratic programming model and decision variable update equations are derived, establishing the solution process for the trajectory planning problem of the tilt-wing eVTOL takeoff with obstacle avoidance. Finally, the Airbus Vahana A3 is taken as an example to verify and validate the effectiveness, stability, and robustness of the model and optimization algorithm proposed. The validation results show that the OTPEM (obstacle avoidance trajectory planning methodology based on energy minimization) can effectively handle changes in the takeoff end state and exhibits good stability and robustness in different obstacle environments. It can provide a certain reference for the three-dimensional obstacle avoidance trajectory planning of Airbus Vahana A3 and other tilt-wing eVTOL trajectory planning problems.

1. Introduction

With the intensification of urbanization, the growth rates of urban populations and vehicle transport volumes have been increasing annually. However, urban ground transportation is becoming saturated, leading to increased congestion and impediments to mobility. Future cities require clean and sustainable transportation solutions, with green and sustainable development being the trend and goal of future transportation development. One proposed concept is Urban Air Mobility (UAM), which primarily refers to manned/unmanned aerial transportation systems that safely and efficiently conduct passenger and cargo transport within cities or between urban areas.
With the introduction of the concept of Urban Air Mobility [1], eVTOL (electric Vertical Takeoff and Landing, also known as flying cars), as a kind of carrier that combines the advantages of aircraft and automobile performance, has attracted great attention from many scholars for its advantages of high transportation efficiency, convenient and economical use, point-to-point transportation, energy sustainability, and environmental protection [2]. In May 2023, the Federal Aviation Administration (FAA) of the United States released “Urban Air Mobility (UAM) Operations Concept 2.0” [3]. In the same year in July, the FAA formally published “Advanced Air Mobility (AAM) Implementation Plan V1.0”, with plans to achieve the large-scale operation of eVTOL by 2028. According to the form of power system, eVTOL can be divided into the pure electric rotor type (such as China Yihang’s EHang216), the electric tilt-wing type (such as Airbus’s A3 Vahana), and the electric rotor and propulsion rotor hybrid type (such as Boeing’s PAV) [4]. Compared with other flying cars, tilt-wing eVTOLs combine the dual performance advantages of fixed-wing and rotary-wing vehicles with the advantages of long range, relatively low energy consumption, flexible takeoff and landing, and faster transport speed [5].
Restricted by the status quo of urban infrastructure [6] and the requirements of point-to-point transportation [7], the takeoff trajectories of electric rotor and tilt-wing eVTOL currently face the challenges of many obstacles and complications [8,9,10], which further increase the energy consumption during the takeoff phase. It also introduces safety hazards into the already high-risk takeoff and landing process, while affecting the range and economic operation of eVTOL. Therefore, in order to further improve the safety and practical performance of eVTOL, it is necessary to conduct a comprehensive study on the optimization of energy consumption, obstacle avoidance, and trajectory planning in the takeoff phase of eVTOL.
There are many trajectory planning algorithms currently used to solve the problem of juggling energy optimization and obstacle avoidance, and heuristic algorithms are one of them. Heuristic algorithms are a class of algorithms related to optimization methods that require large computing power. They have flourished alongside the development of computer technology, including the A* algorithm, particle swarm algorithm, genetic algorithm, and ant colony algorithm. Some of the heuristic algorithms have a certain degree of randomness, and their solution process tends to fall into a local optimum. Duan H et al. proposed a 3D path planning algorithm for unmanned combat aircraft based on a hybrid heuristic ant colony algorithm and differential evolutionary algorithm for unmanned combat aircraft for the 3D path planning problem of unmanned combat aircraft. In using the evolutionary algorithm to optimize the pheromone paths of the improved ant colony optimization model, the unmanned aircraft can then find a safe path by connecting selected nodes in a 3D grid while avoiding threat areas and consuming the least amount of fuel [11]. This method retains the robustness of the basic ant colony algorithm but is uncertain and difficult to analyze when applied to urban air traffic, and its convergence speed is difficult to guarantee. Gutierrez-Martinez M A et al. proposed an algorithm capable of generating navigational waypoints, achieving short flight distances and avoiding collisions with obstacles. A genetic algorithm is used to obtain waypoints using multi-objective functions that include the path length, the distance from the waypoint to the obstacle, and the probability that the final trajectory will cross the obstacle [12]. The method is sensitive to the choice of initial values and tends to fall into local optimal solutions. Karahan M et al. focused on the use of artificial intelligence to optimize UAVs for path planning and collision avoidance. Simulations of path planning and collision avoidance were performed using MATLAB R2020a under ideal and noisy conditions [13]. The results show that UAVs are able to find the shortest path on the map to avoid collision with obstacles, but when dealing with large environments and complex scenarios, it usually requires a lot of computational resources and time for path planning and collision avoidance.
The trajectory planning problem is a special case of optimal control problems and generally exhibits nonlinearity. This problem aims to minimize a performance metric while satisfying boundary conditions and system dynamics. The direct method is a commonly used trajectory planning approach that involves discretizing the trajectory planning problem and transforming it into a numerical optimization problem. Numerical analysis and optimization methods are then used to compute the optimal solution. Again, the direct method is sensitive to the selection of the initial parameters, and the selection of the appropriate parameter values requires a certain amount of experience and debugging. When dealing with high-dimensional problems, a significant amount of computation is needed to search for the optimal solution, leading to lower computational efficiency. Priyank Pradeep et al. investigated the effect of wind on the optimal trajectory during flight [14]. The study solved the optimal control problem numerically using the direct method of nonlinear programming. By comparing the energy consumption and flight time of the optimal flight trajectory under the influence of wind between origin and destination in an urban area with those of a positive arc trajectory between the same origin and destination pairs, the optimal flight trajectory under the influence of wind is determined for a short range. Wang Z and colleagues proposed a trajectory optimization method for an electric Vertical Takeoff and Landing flying car, focusing on the optimal control problem of multirotor eVTOL with a fixed flight time. They convexified the problem to better achieve real-time trajectory optimization within the required arrival time and conducted simulations using the E-Hang 184 eVTOL vehicle to validate the effectiveness of the method [15]. Xufei Yan and colleagues used the XV-15 tilt-rotor aircraft as an example to establish an augmented flight dynamics model suitable for trajectory optimization after single-engine failure in tiltrotor aircraft. The research conducted computational analysis and employed a direct transcription method to convert the optimal control strategies and trajectory optimization problem during landing into a nonlinear programming problem. They solved the problem using a sequential quadratic programming algorithm, providing a basis for the safe landing implementation by the pilot in the event of single-engine failure [16]. Pradeep P et al. studied the landing trajectory planning of a multirotor flying car with a given arrival time, transformed the trajectory planning problem into an optimal control problem, and solved it numerically to obtain the most energy-efficient landing trajectory [17]. Shamsheer S. Chauhan and Joaquim R. R. A. Martins et al. studied the cruise trajectory of a tilt-rotor electric Vertical Takeoff and Landing flying car [18]. The study used a simplified two-degree-of-freedom model of the Airbus Vahana A3 tilt-wing eVTOL, for which takeoff trajectories with and without stall and acceleration constraints were investigated. However, the study did not consider the influence of the environment on the takeoff trajectory. The flying car will ultimately be integrated into urban traffic. When travelling within the city, the starting point of the journey may be in the city square, and the surrounding buildings will inevitably have an impact on the takeoff. Therefore, obstacle avoidance is crucial in Urban Air Mobility.
In summary, this paper integrates the three problems of the energy optimization, obstacle avoidance, and trajectory planning of a tilt-wing eVTOL in the takeoff phase. Considering constraints such as the performance of eVTOL and the surrounding environment, the paper will study the modelling method and solution algorithm of the comprehensive optimization problem. The specific contents are as follows: In the second part, considering the effects of downwash and wake, as well as the coupling effects of thrust and induced velocity, a parameterized energy calculation model and dynamic model will be established. Based on this, decision variables, objective functions, and constraints for obstacle avoidance trajectory planning will be defined and quantified to complete the construction of the optimization model. In the third part, the paper will integrate the optimization model with the SLSQP algorithm’s gradient descent search and state iteration process to design a solution algorithm for the tilt-wing eVTOL takeoff obstacle avoidance trajectory planning problem. In the fourth part, the model and the solution method of this paper are validated for feasibility, effectiveness, and robustness in two cases, with and without obstacles. In the case of obstacles, this article sets the takeoff environment around Purple Mountain. It selects two different terrains and obtains their longitudinal profile data to use as constraints for obstacles. Finally, the conclusions and reference value of this paper will be elaborated upon in the last section.

2. Optimization Model

First, the two-degree-of-freedom dynamics and kinematics equations (horizontal and vertical displacements in the longitudinal plane) of the tilt-wing eVTOL are established.
v ˙ = F A + F P + F G m r ˙ = v
v ˙ is the acceleration. F A = [ F A x , F A y ] T is the aerodynamic force, including wing lift, wing drag, and fuselage drag, where F A x is the horizontal component of the aerodynamic force and F A y is the vertical component of the aerodynamic force. F P = [ F P x , F P y ] T is the propulsion force generated by the propeller, where F P x is the horizontal component of the propulsion force and F P y is the vertical component of the propulsion force. F G = [ 0 , m g ] T is the force of gravity. m is the mass of the eVTOL. g is the acceleration of the gravitational force. r = [ x , y ] T is the position vector, x is the displacement in the horizontal direction, and y is the displacement in the vertical direction. v = [ v x , v y ] T is the velocity vector, v x is the velocity in the horizontal direction, and v y is the velocity in the vertical direction.
The lift of the wing L is calculated as follows:
L = 1 2 ρ v 2 S C L
ρ is the air density, S is the wing area, and C L and is the lift coefficient of the wing.
The drag of the wing D 1 is calculated as follows:
D 1 = 1 2 ρ v 2 S C D
C D is the drag coefficient of the wing.
According to [18], when a tilt-wing eVTOL is in flight, the wake created by the rotation of the propeller acts on the wing and creates an induced velocity, which is calculated as follows:
v i = V 2 + V 2 4 + F P 2 ρ S P
V is the component of the free-stream velocity over the propeller disc and S P is the area of the propeller disc. Momentum theory is used to multiply v i by a factor and then add it to v to calculate both the lift and drag of the wing under the influence of the wake produced by the rotor.
The drag of the fuselage is calculated as follows:
D 2 = 1 2 ρ v 2 S f C D f
S f is the reference area of the fuselage and C D f is the drag coefficient of the fuselage.
The propulsive force generated by the propeller is related to the propeller power according to [18]. The propeller power can be calculated using the following formula:
P P = F P V + κ F P V 2 + V 2 4 + F P 2 ρ S P
κ is a correction factor used to account for induced power losses associated with non-uniform inflow, end effects, and other simplifications made in momentum theory. S P is the area of the propeller disc.
The aim of this paper is to minimize the energy consumption of the tilt-wing eVTOL to reach a given state point, and then perform trajectory planning. The energy consumption is mainly determined by the battery power P and flight time t . Due to the characteristics of the tilt-wing eVTOL, the wing is tilted to change during the takeoff. The wing angle to vertical θ is introduced here. θ and free-stream angle of attack affect the aerodynamic forces on the wing. The propulsive force F P generated by the propeller can be calculated based on the battery power that minimizes energy consumption. By combining aerodynamics and the weight of the eVTOL, acceleration can be calculated using the dynamics equation. Taking into account obstacles and relevant dynamic constraints, the planned trajectory can be obtained based on the kinematic equation. The relationship between overall energy consumption, trajectory, and obstacles is shown in Figure 1 below.

2.1. Decision Variables

The optimization model for the takeoff trajectory in this article is based on minimizing energy consumption. In order to facilitate the solution of the motion state, objective function, and constraints within a limited time, the involved motion equations are discretized, thereby transforming the trajectory planning problem into a discrete optimization problem. The takeoff phase trajectory is divided into n 1 flight segments, i.e., n state points. Assuming the total flight time is t , the time step for each segment is t = t / ( n 1 ) . For the i-th state point, the discrete relationship between adjacent points can be represented as follows:
  v i + 1 = v i + a i t r i + 1 = r i + v i t a i = F A i + F P i + F G m
The instantaneous power provided by the battery at takeoff can be expressed as follows:
P i = P P η
where η is the transmission efficiency and P P is the power at the propeller disc. The instantaneous energy E consumption is given by
E ( i ) = P i t
The energy consumption during the entire takeoff process accumulates as the transient energy consumption of the eVTOL increases with time. Therefore, this paper introduces the discrete dynamics model into the energy consumption optimization model, approximating the continuous takeoff process as n 1 uniform acceleration sub-processes. The decision variables of the optimization problem are determined as the wing angle to the vertical ( θ ) , the battery power ( P ) , and the flight time ( t ) . It is assumed that the wings are all at equal angles to the vertical and the battery supplies the same amount of power to each propeller. Since the wing angle to the vertical and the battery power are continuous functions of time, the two curves are parameterized using a fourth-order B-spline. Each curve is fitted with j uniformly spaced control points. The variables to be directly optimized are θ = [ θ 1 , θ 2 , θ 3 , , θ j ] T , P = [ P 1 , P 2 , P 3 , , P j ] T and t , for a total of ( 2 × j + 1 ) variables. In the initial design, feasible analytical initial values are assigned to these variables. Other node initial values are obtained through B-spline curves, and a subsequent iterative optimization is conducted based on this foundation to obtain the state parameters under the minimum energy consumption. The minimum energy consumption trajectory is then obtained by combining the dynamic and kinematic equations.

2.2. Objective Function

Calculate the state variables of the flying car at each state point, including the power provided by the battery, velocity, acceleration, and force situation. Based on the battery power, calculate the energy consumption for each time interval, and finally accumulate to obtain the total energy consumption during the takeoff process. Through the calculations, obtain the state variables at each state point for the minimum energy consumption scenario. Combine dynamic and kinematic equations to calculate the trajectory. This leads to the objective function of minimizing energy consumption:
m i n f x = m i n i = 1 n E ( i ) = m i n i = 1 n P i · t / ( n 1 ) .
n is the number of state points and P i is the power supplied by the battery at the i-th state point.

2.3. Constraint

During the optimization process, constraints must also be imposed to ensure that the system dynamics are met and obstacles are avoided.
(1) Initial state and final state: the starting point and the final point of the eVTOL must satisfy the given constraints. This paper focuses on trajectory optimization during takeoff. The initial state is set as the stationary state r 0 = [ x 0 , y 0 ] T , with initial velocity v 0 = [ v x 0 , v y 0 ] T . The final state is set as reaching the specified position r f i n a l = [ x f i n a l , y f i n a l ] T and velocity v f i n a l = [ v x f i n a l , v y f i n a l ] T . The constraints in the terminated state are as follows:
y n y f i n a l v x n = v f i n a l
v x n is the final velocity of the eVTOL in the horizontal direction during takeoff, v f i n a l is the final velocity it needs to reach, y n is the altitude of the eVTOL from the ground at the final state point, and y f i n a l is the required final height.
(2) Dynamic constraints: The speed and acceleration of the eVTOL must satisfy the constraints of the dynamic model. The acceleration must also take into account the comfort of the passengers, as an overall acceleration of more than 1 g can cause discomfort or dizziness. It is generally accepted that accelerations in the range of 0.1 g to 0.5 g are more comfortable for passengers and a value of 0.3 g is often used. Consideration must also be given to avoiding stall conditions during flight, as stalls can have adverse effects. The power of the eVTOL battery is also limited and should not exceed the maximum power it can provide. There are also limitations on the wing angle to the vertical, which should not exceed a certain range during flight. The dynamic limitations are as follows:
a i a m a x α s α i α s P i P m a x θ m i n θ i θ m a x
a i is the combined acceleration at the i-th point, a m a x is the maximum acceleration considering passenger comfort, α i is the wing angle of attack at the i-th point, α s is the stall angle of attack, P m a x is the maximum power supplied by the battery, θ i is the magnitude of the wing angle to vertical at the i-th state point, and θ m i n and θ m a x are the minimum and maximum wing angle to vertical, respectively.
(3) Obstacle constraints: The flight path of a flying car must avoid obstacles. According to the Civil Aviation Administration of China, rotorcraft must maintain a safety distance of 1.5 times the length or width of the aircraft—whichever is greater—when taking off. As there are no specific laws and regulations for flying cars, this restriction is currently applied. In this paper, we will define the position of the obstacle as well as the height information by obtaining the profile height data of the obstacle, with the data type being DEM-30. The constraints on the obstacles are as follows:
D i D m a x
D i is the distance between eVTOL and the nearest point of the obstacle at the i-th point and D i = ( x i x o i ) 2 + ( y i y o i ) 2 . D m a x is the maximum spacing, x i , y i is the position of the eVTOL at the i-th point, and x o i ,     y o i is the position of the nearest obstacle to the i-th point.
In summary, the constraints of the optimization problem can be obtained as follows:
y n y f i n a l v n = v f i n a l a i a m a x α s α i α s D i D m a x P i P m a x θ m i n θ i θ m a x

3. Methodological Options

From the optimization model in the previous section, the trajectory optimization problem in this paper becomes a nonlinear optimization problem with equation constraints, inequality constraints, and boundary constraints; therefore, the SLSQP (Sequential Least Squares Quadratic Programming) algorithm is adopted in this paper. The advantage of the SLSQP algorithm is that it can efficiently deal with the optimization problem with nonlinear constraints, and usually finds the optimal solution within a small number of iterations.
SLSQP is an optimization algorithm for nonlinear constrained optimization problems. It is a sequential quadratic programming method that solves the nonlinear constrained problem by transforming it into a series of quadratic programming subproblems. The key feature of the SLSQP algorithm is its ability to handle optimization problems with nonlinear constraints, using an approximate quadratic model for optimization at each iteration step. The SLSQP algorithm determines the quadratic model by calculating the first and second derivatives of the objective function and the gradients of the constraint functions. This derivative and gradient information are utilized in each iteration to expedite the search for the optimal solution. The algorithm is primarily divided into two main phases: the search phase and the correction phase. In the search phase, feasible points are found by constructing a sequential quadratic programming model. In the correction phase, a local search is performed at each iteration to obtain a better approximation and update the current estimated points [19]. The optimization flowchart is shown in Figure 2.
In the search phase, the original nonlinear constrained optimization problem is transformed into an unconstrained least squares problem:
L x , λ , μ = f P , t + λ T h P , θ , t μ 1 T g 1 P , θ , t μ 2 T g 2 P , θ μ 3 T g 3 θ μ 4 T g 4 θ μ 5 T g 5 P , θ , t μ 6 T g 6 P μ 7 T g 7 P μ 8 T g 8 θ μ 9 T g 9 θ
λ and μ are the Lagrange multipliers for the equality and inequality constraints, respectively. h ( x ) represents the equality constraint and g ( x ) represents the inequality constraint. g 1 P ,     θ ,     t is the altitude constraint, g 2 P , θ is the acceleration constraint, g 3 θ and g 4 θ are the angle of approach constraints, g 5 P ,     θ ,     t is the obstacle constraint, g 6   P and g 7   P are the battery power constraints, g 8 θ and g 9 θ are the wing tilt angle to vertical constraints, and h P ,     θ ,     t is the final horizontal direction velocity constraint.
The update direction is obtained by solving the following least squares subproblem:
  m i n 1 2 R k d u k 2 s . t . h x k T · d + h x k = 0 g x k T · d + g x k 0
where h x k is the gradient vector of the equality constraints after k iterations, g x k is the gradient vector of the inequality constraints, R k is an upper triangular matrix, and u k is a vector whose relation satisfies the following equation translation:
R k T R k = B k
R k T u k = f x k
B k is an approximate Hessian matrix of L x , λ , μ .
During the correction phase, the update variable needs to calculate the learning rate δ = m i n ( 1 , r ) , where r is calculated as follows:
r = max β s , r q β s = f x T ( d / s ) r q = f x T ( d / q )
s and q are correction factors, d is the update direction obtained by solving the least squares subproblem, and finally the decision variables can be updated as follows, x k + 1 = x k + δ d , where k is the current iteration number.

4. Example and Analysis of Results

In order to verify the feasibility and effectiveness of the proposed method, this paper takes the Airbus Vahana A3 tilt-wing eVTOL as an example (Figure 3) and carries out the longitudinal obstacle avoidance trajectory planning in two cases: obstacle-free and obstacle-present. In the case of obstacles, different terrains around Zijin Mountain in Nanjing were selected as obstacle constraints, and the terrain data were taken from the National Geospatial Data Cloud website. Table 1 provides the basic parameter information of Vahana A3.
The optimization needs to take into account the performance of the Vahana A3, including parameters such as battery power, speed, acceleration, and angle of approach. Its acceleration is calculated as follows:
a x = T s i n θ D 1 sin θ + α D 2 sin θ + α E F F L cos θ + α E F F N c o s θ m a y = T c o s θ D 1 cos θ + α D 2 cos θ + α E F F + L sin θ + α E F F + N c o s θ m g m
α is the wing angle of attack, α E F F is the effective free-stream angle of attack, m is the aircraft mass, T is the total thrust, D 1 is the fuselage drag, D 2 is the total drag on both wings, L is the total lift on both wings, N is the total normal force on the propeller, and g is the acceleration due to gravity.
For the end state, this paper also adopts Uber’s published mission requirements, which specify reaching a height of 305 m and a cruising speed of 67 m/s. The stall angle of attack for the Vahana A3 is 15°. The safety distance should be greater than 1.5 times the length of the fuselage, which in this case is taken as 8 m. The maximum power output of the batteries used is 311 kW and the tilt angle of the wings is between 0° and 135°.
Combined with the above, the specific constraints for the whole optimization problem can be obtained as follows:
y n 305   m v x n = 67   m / s a x i 2 + a y i 2 0.3   g 15 ° α i 15 ° D i 8   m P i 311,000   W 0 ° θ i 135 °
During the operation of tilt-wing type eVTOL, the induced velocity caused by the propellers generates an induced speed that affects the wings to a certain extent. According to reference [18], the results show that the effect is not significant for the Vahana A3 configuration. In this paper, we use the ideal case with coefficients close to 100%.

4.1. Trajectory Planning without Obstacles

In this part, the methodology of this paper is verified through specific simulation examples. The SLSQP algorithm is used to solve the trajectory optimization problem based on minimizing energy consumption. The optimization is terminated when the change in the objective function value is less than 10−6 and the maximum number of iterations is set to 400. The simulation results are compared with the related studies for a validity analysis. The parameters of the initial and final states of the simulation are shown in Table 2.
The number of control points for the decision variables j is taken as 20 and the initial solution setup is shown in Table 3:
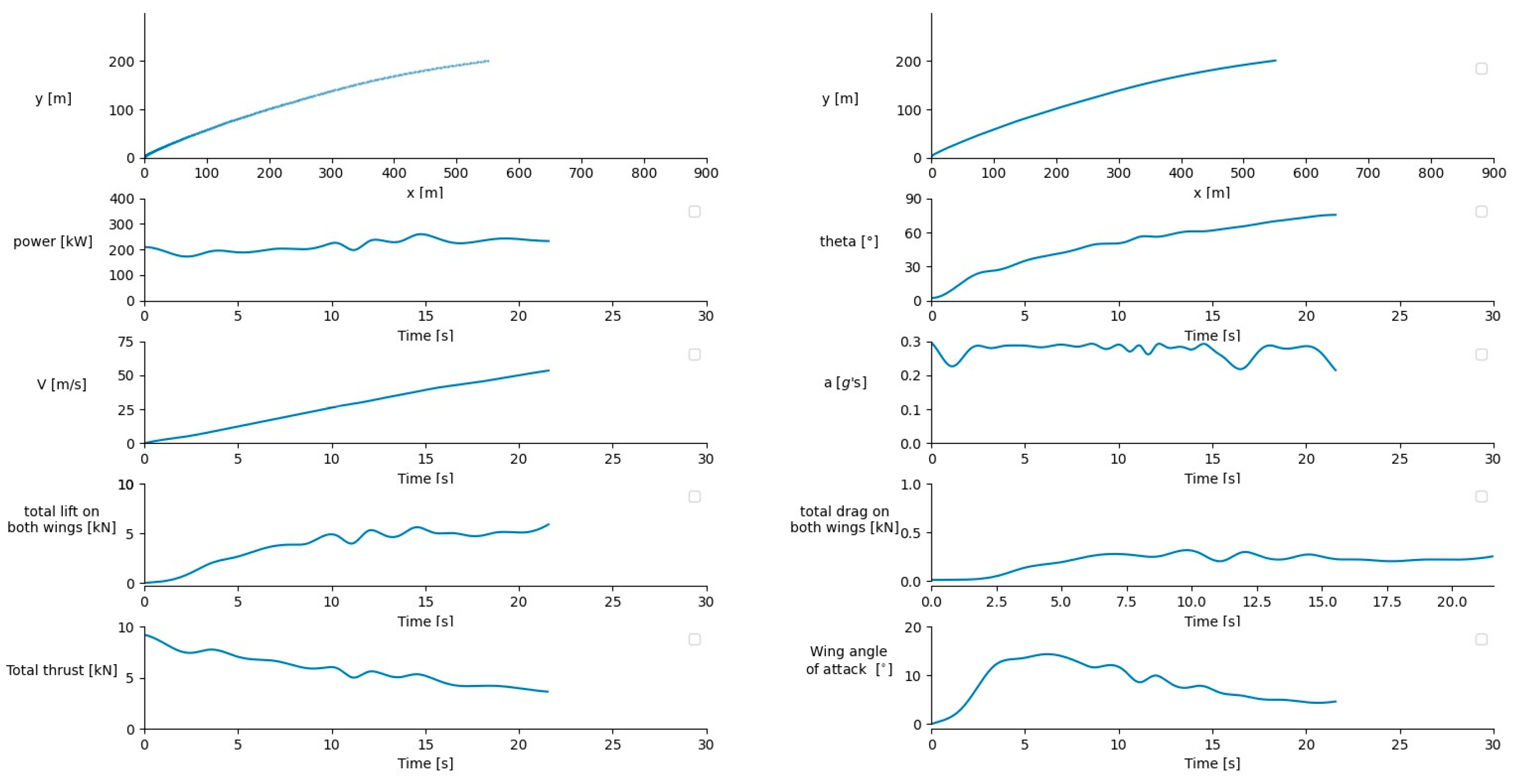
Figure 4 shows the takeoff trajectory with no obstacles and state variables during the process. The entire process lasts around 26 s with an energy consumption of 1861.2 W·h. The takeoff trajectory was smooth with no significant fluctuations. In the first 6 s, the wing angle to the vertical increased from 11 degrees near vertical to 40°at a relatively fast rate, with the power stabilizing at around 190 kW. In the next 8 s, the wings started to slow down its tilt rate, gradually increasing to 54°, during which the battery power increased to 290 kW. At this point, the eVTOL climbed to around 200m and started to slow down its ascent rate. In the remaining 12 s, the wing angle to vertical was gradually increased to 80° while the battery power increased to the maximum power it could provide—311 kW. Finally, the eVTOL accelerated to the required cruise speed and reached the required altitude. Throughout the whole process, there were no stall situations and acceleration remained below 0.3 g.
From Figure 4, it can be observed that the optimized trajectory, wing angle to the vertical, flight speed, angle of attack, battery power, acceleration, wing lift and drag, and total thrust received by the eVTOL exhibit a trend of change over time that is almost identical to the research conducted by Shamsheer S. Chauhan et al [18]. In the given operating condition, Shamsheer S. Chauhan et al. optimized for a runtime of 27 s with a minimum energy consumption of 1863.1 W·h, while this paper achieved a minimum energy consumption of 1861.2 W·h, showing a very small difference. To test the robustness of this method, different termination state parameters are set while keeping the initial state unchanged. The new simulation parameters are shown in Table 4.
Given a final cruise speed of 52.7 m/s (the official cruise speed of the Vahana A3) and a final altitude of more than 200 m, the optimization of the takeoff trajectory with minimum energy consumption in this state is investigated, and the results are shown in Figure 5.
The whole process lasted 21.57 s, with an energy consumption of 1293.52 W·h. The generated takeoff trajectory was smooth, with a relatively gentle change in the wing angle to vertical, which guaranteed safety. The speed was similar to the previous condition, steadily increasing to the specified speed, with the angle of attack below 15° and no stall phenomenon. The acceleration also remained below 0.3 g. Due to the reduced final height and speed requirements, the time and horizontal displacement to reach the endpoint were decreased. The battery power decreased to around 200 kW, resulting in reduced energy consumption.
It can be seen that the performance of this paper’s method in obstacle-free trajectory planning is comparable to that of the existing research results, and it can be adapted to takeoff trajectory planning in different situations. Therefore, it can be used for takeoff obstacle avoidance trajectory planning on this basis.

4.2. Trajectory Planning with Obstacles

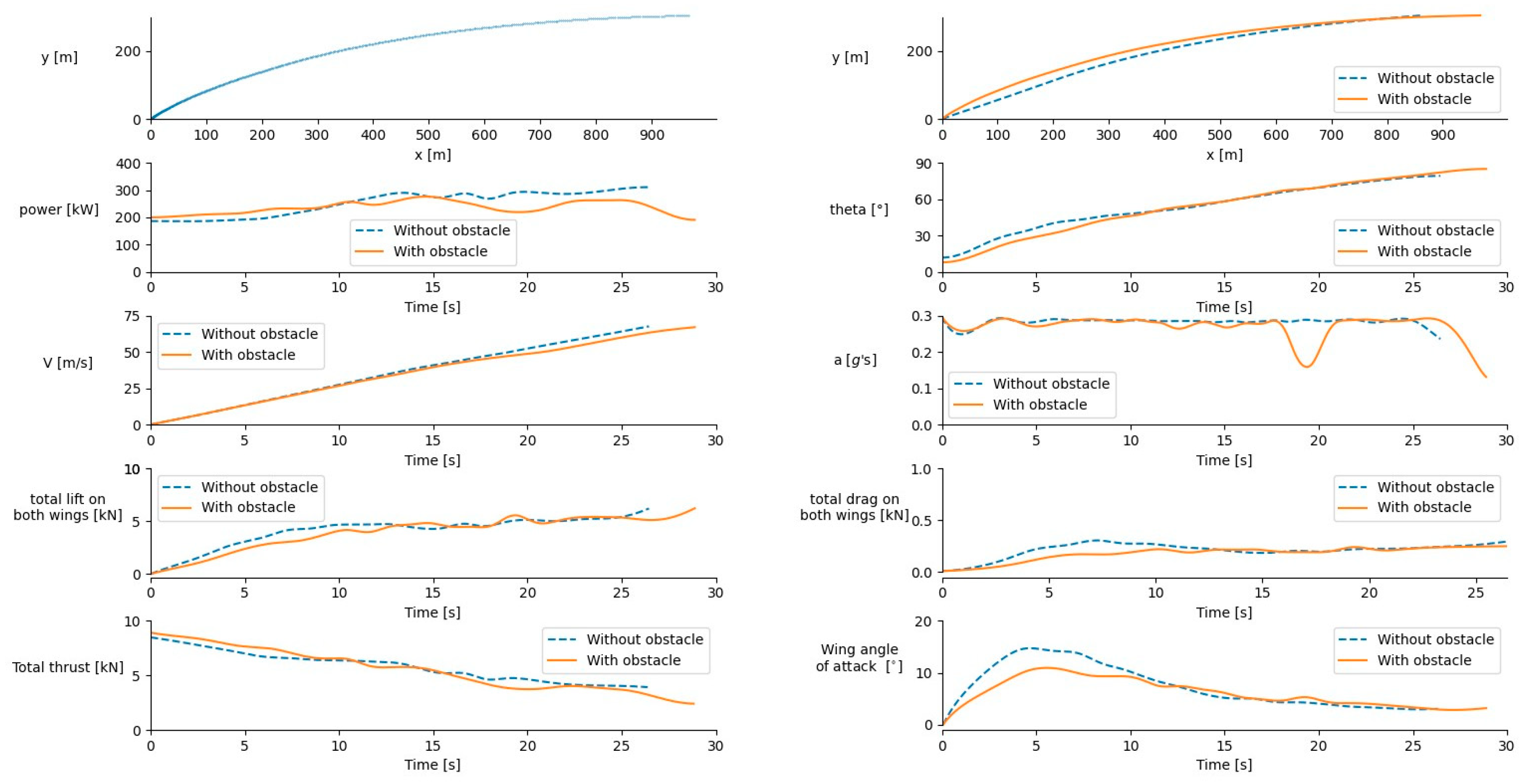
When planning the obstacle avoidance trajectory, the initial and final states are set up in the same way as when there is no obstacle, with the difference being that the profile data of the obstacles are added to the optimization model as a new constraint. The trajectory of the flying car is ensured to cross the obstacle by setting a new inequality constraint, i.e., the distance between the position of the flying car and the obstacle is greater than the set safety distance. Then, the SLSQP algorithm is used to optimize the trajectory to make the eVTOL avoid the obstacle as much as possible. Figure 6 illustrates the results of the optimization of the takeoff trajectory under the influence of obstacle 1, selecting different terrains around Purple Mountain in Nanjing City as obstacle constraints with terrain data sourced from the National Geographic Spatial Data Cloud website “www.gscloud.cn (accessed on 23 February 2024)”.
A comparison of the trajectories with and without obstacles is shown in Figure 7.
With the obstacle constraint, the whole process took 27.67 s and the energy consumption was 1874.6 W·h. It is evident that the trajectory without obstacles collided with the mountain at 400 m, and the trajectory after adding the obstacle constraints is smooth, successfully crossing the obstacles and maintaining a safe distance. The changes in speed, wing angle to the vertical, angle of attack, lift, drag, and total thrust on the wing are not very different. In comparing the accelerations, it can be seen that the scenario without obstacles was relatively more stable. In the presence of obstacles, the battery power was higher than the scenario without obstacles before 13 s but lower after 13 s.
To ensure the robustness of the method in the obstacle avoidance situation, different terrain obstacles are changed to verify the obstacle avoidance performance. The simulation parameters are the same as in Table 2, the initial state is the stationary state, and the final state is to reach the height of 305 m and the speed reaches 67 m/s. The results of the simulation are shown in Figure 8 and Figure 9.
Under the influence of this obstacle, the whole takeoff process takes 28.88 s and the energy consumption is 1902.55 W·h. As the obstacle is closer to the takeoff point in this case and has a greater influence on the trajectory at the beginning of the takeoff, the wing angle to the vertical at the beginning of the takeoff is slightly smaller than in the case without obstacles, i.e., it is closer to the vertical takeoff case. As a result, the power at the beginning of takeoff is slightly higher compared to the scenario without obstacles. No stalling occurred and the acceleration remained below 0.3 g. Figure 8 shows the comparison between the initial trajectory and the obstacle avoidance trajectory, clearly demonstrating that the new optimized trajectory also successfully avoids collisions with obstacles. This further confirms that the method has good robustness in obstacle avoidance scenarios.

5. Conclusions

The aim of this article is to address the high energy consumption and obstacle interference problems faced by eVTOL during the takeoff phase. Specifically, the high energy consumption and the presence of obstacles during the takeoff phase make flight path planning complex and difficult. This study not only provides a new approach for eVTOL takeoff obstacle avoidance in complex urban environments but also provides substantial technical references and solution ideas for future path planning problems similar to those of flying cars.
By considering energy optimization, obstacle avoidance, and trajectory planning comprehensively, the inherent connections between them are explored to establish an optimization model for the takeoff trajectory with obstacle avoidance. Based on the optimization principles of the SLSQP algorithm, the search model and state iteration formula are derived. The effectiveness, stability, and robustness of the model and algorithm were verified through the design of various operating conditions, leading to the following conclusions:
(1)
When modelling the trajectory planning problem for tilt-wing eVTOL with obstacle avoidance, common issues such as downwash and wake effects of airflow, as well as the coupling effect between thrust and induced velocity, were considered. A parameterized energy calculation model and dynamic model were established to give the model in this paper generality and good versatility.
(2)
The continuous process of energy accumulation and dynamic state change is discretized.
(3)
The optimization model and the gradient descent search and state iteration processes of the SLSQP algorithm were integrated to design a general solution algorithm for the trajectory planning problem of tilt-wing eVTOL with obstacle avoidance.
(4)
An example of trajectory planning for takeoff and obstacle avoidance of the Airbus Vahana A3 demonstrates that the model and optimization algorithm developed in this paper exhibit good stability and robustness. They can provide a certain reference for the three-dimensional obstacle avoidance trajectory planning of Airbus Vahana A3 and other tilt-wing eVTOL trajectory planning problems.
Autonomous takeoff and landing functionality, as a crucial feature of eVTOL autonomous flight control systems, is essential for enabling other complex flight capabilities. The landing phase faces similar challenges as the takeoff phase. Due to the characteristics of low-density obstacles and multiple co-linear aircraft in the Urban Air Mobility environment, dynamic collision avoidance with moving objects such as other eVTOL, birds, and balloons needs to be considered. Therefore, future research needs to break through in the following two aspects:
(1)
Landing is one of the most challenging parts of the eVTOL flight process, especially under adverse weather or complex terrain conditions. Precisely planning the landing trajectory ensures that the eVTOL safely reaches its destination, avoiding potential collision risks. Takeoff and landing are prerequisites for enabling the autonomous flight of eVTOLs. The proper planning of takeoff and landing trajectories can fully leverage the significant advantage of eVTOLs in flexible takeoff and landing operations in the UAM environment.
(2)
Dynamic collision avoidance involves responding to unplanned flight conflicts swiftly. Algorithms for this type of collision avoidance generally provide rapid responses to unexpected flight conflicts. Compared to static collision avoidance algorithms, dynamic collision avoidance algorithms offer higher flexibility and responsiveness. In the more flexible and complex UAM environment, the probability of airspace emergencies will increase significantly, necessitating more flexible and rapid collision avoidance measures.
During the optimization process of takeoff trajectories, it was found that SLSQP is sensitive to initial values. The selection of initial values significantly affects the optimization time and results. Therefore, further improvements can be made to the algorithm to enhance its performance.

Author Contributions

Conceptualization, P.L.; methodology, G.Z. writing—original draft preparation, G.Z.; writing—review and editing, P.L.; writing—review and editing, D.W.; supervision, P.L. All authors have read and agreed to the published version of the manuscript.

Funding

This research was funded by the China Scholarship Council, grant number 202308320187.

Data Availability Statement

The original contributions presented in this study are included in the article; further inquiries can be directed to the corresponding author.

Conflicts of Interest

The authors declare no conflicts of interest.

Nomenclature

Roman Symbols
F A the aerodynamic force
F P the propulsion force
F G the force of gravity
m the mass of the eVTOL
v ˙ the derivative of velocity
v the velocity vector
r ˙ the derivative of a displacement
r the position vector
x the displacement in the horizontal direction
y the displacement in the vertical direction
T total thrust
L the lift of the wing
D 1 the drag of the wing
D 2 the drag of the fuselage
S the wing area
C L the lift coefficient of the wing
C D the drag coefficient of the wing
v i the induced velocity
V the component of the free-stream velocity
S P the area of the propeller
S f the reference area of the fuselage
C D f the drag coefficient of the fuselage
P the battery power
P P the propeller power
t flight time
a acceleration
E energy
α the wing angle of attack
α E F F the effective free-stream angle of attack
N p number of propellers
R propeller radius
N b number of propeller blades
L b fuselage length
W b fuselage width
M takeoff weight
c propeller blade chord length
s correction factors
q correction factors
k iterations
Greek Symbols
ρ the air density
θ the wing angle to the vertical
λ Lagrange multipliers for the equality constraints
μ Lagrange multipliers for the inequality constraints
δ learning rate

References

  1. National Academies of Sciences; Division on Engineering; Physical Sciences, Aeronautics; Space Engineering Board; Committee on Enhancing Air Mobilityâ. Advancing Aerial Mobility: A National Blueprint; National Academies Press: Washington, DC, USA, 2020. [Google Scholar]
  2. Eker, U.; Fountas, G.; Anastasopoulos, P.C.; Still, S.E. An exploratory investigation of public perceptions towards key benefits and concerns from the future use of flying cars. Travel Behav. Soc. 2020, 19, 54–66. [Google Scholar] [CrossRef]
  3. Urban Air Mobility (UAM) Concept of Operations v2.0; Federal Aviation Admin.: Washington, DC, USA, 2023.
  4. Zhang, J.; Liu, Y.; Zheng, Y. Overall eVTOL aircraft design for urban air mobility. Green Energy Intell. Transp. 2024, 3, 100150. [Google Scholar] [CrossRef]
  5. Misra, A.; Jayachandran, S.; Kenche, S.; Katoch, A.; Suresh, A.; Gundabattini, E.; Legesse, A.A. A Review on Vertical Take-Off and Landing (VTOL) Tilt-Rotor and Tilt Wing Unmanned Aerial Vehicles (UAVs). J. Eng. 2022, 2022, 1803638. [Google Scholar] [CrossRef]
  6. Al-Rubaye, S.; Tsourdos, A.; Namuduri, K. Advanced air mobility operation and infrastructure for sustainable connected evtol vehicle. Drones 2023, 7, 319. [Google Scholar] [CrossRef]
  7. Zaid, A.A.; Belmekki, B.E.Y.; Alouini, M.S. eVTOL communications and networking in UAM: Requirements, key enablers, and challenges. IEEE Commun. Mag. 2023, 61, 154–160. [Google Scholar]
  8. Zhou, Y.; Zhao, H.; Liu, Y. An evaluative review of the VTOL technologies for unmanned and manned aerial vehicles. Comput. Commun. 2020, 149, 356–369. [Google Scholar] [CrossRef]
  9. Ugwueze, O.; Statheros, T.; Bromfield, M.A.; Horri, N. Trends in eVTOL aircraft development: The concepts, enablers and challenges. In Proceedings of the AIAA Scitech 2023 Forum, National Harbor, MD, USA, 23–27 January 2023; p. 2096. [Google Scholar]
  10. Vieira, D.R.; Silva, D.; Bravo, A. Electric VTOL aircraft: The future of urban air mobility (background, advantages and challenges). Int. J. Sustain. Aviat. 2019, 5, 101–118. [Google Scholar] [CrossRef]
  11. Duan, H.; Yu, Y.; Zhang, X. Three-dimension path planning for UCAV using hybrid meta-heuristic ACO-DE algorithm. Simul. Model. Pract. Theory 2010, 18, 1104–1115. [Google Scholar] [CrossRef]
  12. Gutierrez-Martinez, M.A.; Rojo-Rodriguez, E.G.; Cabriales-Ramirez, L.E.; Reyes-Osorio, L.A.; Castillo, P.; Garcia-Salazar, O. Collision-free path planning based on a genetic algorithm for quadrotor UAVs. In Proceedings of the 2020 International Conference on Unmanned Aircraft Systems (ICUAS), Athens, Greece, 1–4 September 2020; pp. 948–957. [Google Scholar]
  13. Karahan, M.; Kasnakoglu, C. Path planning and collision avoidance with artificial intelligence for a quadrotor UAV. In Proceedings of the 2021 International Conference Automatics and Informatics (ICAI), Varna, Bulgaria, 30 September–2 October 2021; pp. 163–166. [Google Scholar]
  14. Pradeep, P.; Lauderdale, T.A.; Chatterji, G.B.; Sheth, K.; Lai, C.F.; Sridhar, B.; Erzberger, H. Wind-optimal trajectories for multirotor eVTOL aircraft on UAM missions. In Proceedings of the Aiaa Aviation 2020 Forum, Virtual Event, 15–19 June 2020; p. 3271. [Google Scholar]
  15. Wang, Z.; Wei, P.; Sun, L. Optimal cruise, descent, and landing of eVTOL vehicles for urban air mobility using convex optimization. In Proceedings of the AIAA Scitech 2021 Forum, Virtual Event, 1–21 January 2021; p. 577. [Google Scholar]
  16. Yan, X.F.; Chen, R.L. Trajectory optimization for short takeoff and single-engine failure landing of tiltrotor aircraft. J. Harbin Inst. Technol. 2017, 49, 38–44. [Google Scholar]
  17. Pradeep, P.; Wei, P. Energy efficient arrival with RTA constraint for urban eVTOL operations. In Proceedings of the 2018 AIAA Aerospace Sciences Meeting, Kissimmee, FL, USA, 8–12 January 2018; p. 2008. [Google Scholar]
  18. Chauhan, S.S.; Martins, J.R.R.A. Tilt-wing eVTOL takeoff trajectory optimization. J. Aircr. 2020, 57, 93–112. [Google Scholar] [CrossRef]
  19. Ma, Y.; Gao, X.; Liu, C.; Li, J. Improved SQP and SLSQP Algorithms for Feasible Path-based Process Optimization. arXiv 2024, arXiv:2402.10396. [Google Scholar]
Figure 1. Map of the relationship between energy consumption, obstacle, and trajectory.
Figure 1. Map of the relationship between energy consumption, obstacle, and trajectory.
Wevj 15 00300 g001
Figure 2. SLSQP Optimization Process.
Figure 2. SLSQP Optimization Process.
Wevj 15 00300 g002
Figure 3. Vahana A3.
Figure 3. Vahana A3.
Wevj 15 00300 g003
Figure 4. State parameters when the termination state was [ x , 305] and [67, v y ] without obstacles, where the dashed line is the results of literature [18] and the solid line is the findings of this paper.
Figure 4. State parameters when the termination state was [ x , 305] and [67, v y ] without obstacles, where the dashed line is the results of literature [18] and the solid line is the findings of this paper.
Wevj 15 00300 g004
Figure 5. State parameters when the termination state is [ x , 200] and [52.7, v y ] without obstacles.
Figure 5. State parameters when the termination state is [ x , 200] and [52.7, v y ] without obstacles.
Wevj 15 00300 g005
Figure 6. State parameters affected by obstacle 1.
Figure 6. State parameters affected by obstacle 1.
Wevj 15 00300 g006
Figure 7. Takeoff trajectory affected by obstacle 1.
Figure 7. Takeoff trajectory affected by obstacle 1.
Wevj 15 00300 g007
Figure 8. State parameters affected by obstacle 2.
Figure 8. State parameters affected by obstacle 2.
Wevj 15 00300 g008
Figure 9. Takeoff trajectory affected by obstacle 2.
Figure 9. Takeoff trajectory affected by obstacle 2.
Wevj 15 00300 g009
Table 1. Vahana A3 Performance Parameters.
Table 1. Vahana A3 Performance Parameters.
ParametersValueUnit
Number   of   propellers   N p 8
Propeller   radius   R 0.75 m
Number   of   propeller   blades   N b 3
Fuselage   length   L b 5.324 m
Fuselage   width   W b 4.972 m
Maximum   electric   power   P m a x 311,000 W
Takeoff   weight   M 725 kg
Propeller   blade   chord   length   c 0.1 m
wing   area   S 9m2
Table 2. Simulation parameters1.
Table 2. Simulation parameters1.
CategoriesParametersValueUnit
Initial stateDisplacement[0, 0]m
Velocity[0, 0]m/s
Termination stateDisplacement [ x , 305]m
Velocity [ 67 ,   v y ]m/s
Table 3. Initial solution.
Table 3. Initial solution.
ValueUnitQuantity
Flight   time   t 25s1
Wing   angle   to   vertical   θ [36, 36, 36, …, 36]°20
Battery   power   P [300,000, 300,000, 300,000, …, 300,000]W20
Table 4. Simulation parameters2.
Table 4. Simulation parameters2.
CategoriesParametersValueUnit
Initial stateDisplacement[0, 0]m
Velocity[0, 0]m/s
Termination stateDisplacement [ x , 200]m
Velocity [ 52.7 , v y ]m/s
Disclaimer/Publisher’s Note: The statements, opinions and data contained in all publications are solely those of the individual author(s) and contributor(s) and not of MDPI and/or the editor(s). MDPI and/or the editor(s) disclaim responsibility for any injury to people or property resulting from any ideas, methods, instructions or products referred to in the content.

Share and Cite

MDPI and ACS Style

Zheng, G.; Li, P.; Wu, D. An Obstacle Avoidance Trajectory Planning Methodology Based on Energy Minimization (OTPEM) for the Tilt-Wing eVTOL in the Takeoff Phase. World Electr. Veh. J. 2024, 15, 300. https://doi.org/10.3390/wevj15070300

AMA Style

Zheng G, Li P, Wu D. An Obstacle Avoidance Trajectory Planning Methodology Based on Energy Minimization (OTPEM) for the Tilt-Wing eVTOL in the Takeoff Phase. World Electric Vehicle Journal. 2024; 15(7):300. https://doi.org/10.3390/wevj15070300

Chicago/Turabian Style

Zheng, Guangyu, Peng Li, and Dongsu Wu. 2024. "An Obstacle Avoidance Trajectory Planning Methodology Based on Energy Minimization (OTPEM) for the Tilt-Wing eVTOL in the Takeoff Phase" World Electric Vehicle Journal 15, no. 7: 300. https://doi.org/10.3390/wevj15070300

APA Style

Zheng, G., Li, P., & Wu, D. (2024). An Obstacle Avoidance Trajectory Planning Methodology Based on Energy Minimization (OTPEM) for the Tilt-Wing eVTOL in the Takeoff Phase. World Electric Vehicle Journal, 15(7), 300. https://doi.org/10.3390/wevj15070300

Article Metrics

Back to TopTop