Abstract
In current research, there are excessive assumptions and simplifications in the mathematical models developed for thermoelectric generators. In this study, a comprehensive mathematical model was developed based on a plate-type thermoelectric generator divided into multiple thermoelectric units. The model takes into account temperature-dependent thermoelectric material parameters and fluid flow. The model was validated, and a maximum error of 6.4% was determined. Moreover, the model was compared and analyzed with a numerical model, with a maximum discrepancy of 7.2%. The model revealed the factors and their degree of influence on the performance of the thermoelectric generator unit. In addition, differences in temperature distribution, output power, and conversion efficiency between multiple thermoelectric units were clearly studied. This study can guide modeling and some optimization measures to improve the overall performance of thermoelectric generators.
1. Introduction
The thermoelectric generator (TEG) system has captured broad attention during the past few decades, especially for fluid waste heat recovery, due to its many excellent merits such as smooth operation, free heat sources, and high reliability. According to the Seebeck effect of thermoelectric (TE) material, the TEG system can convert waste heat energy directly into usable electric power []. Therefore, many applications and studies on the TEG system have been conducted to promote its development. However, there are some restrictions to the wide application and performance promotion of the TEG system. For example, the power generation of the TEG should be boosted by exploring advanced materials with a higher figure of merit (ZT), which is an important index for evaluating material performance. Currently, the commercial thermoelectric materials applied in TEGs are mainly BiTe [,], PbTe [], SiGe [], and CoSb3 [], but the ZT values of these materials are between 1 and 1.6. With the development of modern synthesis and characterization techniques, Potirniche et al. [] have studied the behaviors of the TEG system with nanostructured materials by developing a finite element model. Compared with traditional bulk materials, they announced that the performance of TEGs using nanostructured alloys would be substantially enhanced at optimal working parameters. However, most of the new TE materials are developed at the experimental level; therefore, much more work needs to be carried out to achieve commercial application.
On the other hand, some studies [,,,] have focused on structure-based optimizations to further improve the power generation capacity of the TEG system. Luo et al. [] first adopted the heat exchanger with an inclined angle to enhance the operating temperature difference in TE modules and the uniformity of the temperature distribution of the heat exchanger surface. Through theoretical analysis, it was found that the net power of 5.96% can be increased by utilizing the converging design compared to the conventional plate-type TEG. Lu et al. [] reported a non-uniform heat exchanger configured with winglet vortex plates, which can produce larger net power than the uniform heat exchanger. Moreover, Lv et al. [] assessed the power generation ability of the TEG system with three different types of heat sink cooling, including the air, water, and heat pipe methods. The results indicated that the cooling method using a heat pipe can provide greater output power as a result of the substantial expansion in the heat dissipation area. Moreover, previous studies have also proposed some novel TE module structures, including asymmetric modules [,], segmented modules [], and two-stage modules []. The results indicated that these novel TE module structures all exhibit better behaviors than conventional ones to some extent.
Generally, the effects of the above structure optimizations on the power generation capacity of the thermoelectric equipment need to be evaluated by using theoretical models, mainly the thermal resistance model and the finite element model. In this aspect, finite element models mainly concentrate on modeling the single TE couple and TE module. Zhu et al. [] and Meng et al. [] researched the influences of the geometry size and the thermal and electric parameters on the output behaviors of the TE couple by developing the corresponding finite element model considering thermal–electric coupling effects, respectively. Further, Liao et al. [] built a 3D finite element model of a single TE module and obtained the exact voltage and temperature distributions by using the commercial software ANSYS 18.0. However, numerical methods are often limited because of the considerably complex partial differential equations and the requirements for the numerical software. On the contrary, not only can the thermal resistance model save computing time, but it can also obtain the outputs of the TEG directly based on the energy balance. Mostafavi et al. [] obtained the power generation of the fabricated TEG prototype by developing a general thermal resistance model, and they pointed out that the highest error of the model used was 4.6% in comparison with the test results. To further improve the calculation accuracy, Wang et al. [] proposed a thermal resistance model from a single TE couple to the entire TE module, where the TE module was divided into several units with the same scale by columns. The inlet temperatures of the next unit were considered equal to the outlet temperatures of the former unit; thus, the overall power generation of the TE module can be obtained via the sum of all units. However, there are many hypotheses and simplifications in these studies. The temperature dependence of material parameters and the contact resistance are ignored in the thermal resistance models developed in these studies, which may lead to the overestimation of the power generation ability of thermoelectric devices.
As mentioned above, the methods of theoretical modeling are commonly used to predict the electricity generation capacity of TEGs. In this study, according to the positions of the TE modules arranged, the whole TEG system is divided into multiple TE units at an interval of one module in the direction of airflow. Then, considering the temperature dependence of material parameters, the fluid flow, and the contact resistance, a comprehensive mathematical model is developed based on a plate-type air-to-water TEG system. Firstly, the model is compared and analyzed with a numerical model. Then, taking the single TE unit as the research object, the influences of the external load resistance and some significant parameters of hot and cold ends on TEG outputs are studied. Further, comparisons of performance differences among the multiple TE units are performed under different inlet temperatures and mass airflow rates. This study can guide TEG modeling and some optimization measures such as multi-segment heat exchangers to enhance the overall performance of thermoelectric generators.
2. Tail Gas Temperature Difference Power Generation System Structure and Parameters
In this work, a TEG system is designed as a symmetrical structure, as shown in Figure 1a. The TEG system is mainly composed of three parts, including the thermoelectric (TE) modules for generating electricity, the heat exchanger for absorbing the waste heat, and the heat sink for dissipating the heat transferred. Moreover, 10 rectangular fins are evenly deployed on the inner wall of the heat exchanger base to enhance the convective heat transfer, as shown in Figure 1b, with a spacing of 4 mm between two adjacent fins. The length, width, and height of the single fin are 200 mm, 2 mm, and 20 mm, respectively. In addition, two heat sinks cooled by water, with an internal channel of 5.5 mm in diameter, are installed on each cold end of the TEG system to provide a relatively lower cooling temperature. The external dimensions of the single heat sink are 200 mm × 40 mm × 10 mm (length × width × height) to cater to the dimensions of both the heat exchanger and TE modules. Meanwhile, an aluminum alloy with high thermal conductivity is selected to construct the heat exchanger and heat sinks. Additionally, either side of the TEG system is equipped with eight TE modules made of the Bi2Te3-based alloy, thereby generating electricity power under the action of the temperature difference formed by the heat sink and exchanger. The single TE module is composed of 128 pairs of TE couples, 256 copper electrodes, and two ceramic plates, as shown in Figure 1c. The relevant material properties and the detailed dimensions and specifications are tabulated in Table 1. Moreover, the diameter of the circular pipes at both ends of the heat exchanger is 50 mm to match the other components. The thermophysical parameters of air and water are tabulated in Table 2.

Figure 1.
A diagram of the designed thermoelectric generator. (a) The overall structure. (b) The arrangement of the rectangular fins. (c) The internal structure of the TE module.

Table 1.
Material properties and detailed dimensions of the TE module [].

Table 2.
Thermophysical parameters of air and water.
3. Model Development
In this study, the whole TEG system is divided into multiple TE units along the airflow direction according to the positions of the TE modules arranged. Furthermore, considering the temperature-dependent TE material properties and fluid flow, a comprehensive mathematical model is established to accurately illustrate the output differences among multiple TE units by adopting a separate calculation method. That is, the inlet temperatures of the next TE unit are considered equal to the outlet temperatures for the former TE unit, and thus the computation can be conducted continually.
In the subsequent modeling, the following assumptions are made:
- (1)
- Steady state in heat transfer;
- (2)
- Thomson heat is omitted;
- (3)
- Heat loss from the TEG system to the surrounding environment is ignored;
- (4)
- Completely symmetrical heat transfer is assumed; thus, only a quarter of the TEG system is investigated to simplify the calculation.
Here, the quarter TEG system is divided into four TE units, as shown in Figure 2. Along the airflow direction, the first to fourth TE units are ranked in turn for the subsequent calculation. First, we conduct our research from the single TE unit, i.e., the jth (j = 1, 2, 3, 4) unit, in which only one TE module is included.

Figure 2.
A schematic of the division in the quarter TEG system.
3.1. Mathematical Model
3.1.1. Main Equations of the Mathematical Model
In the unit, the TE module operates between the heat producer (hot air) and the cold producer (cooling water). Figure 3a illustrates the energy transfer process in the unit from the air to the cooling water and the relationship between two adjacent TE units. As shown in Figure 3b, in this process, a certain proportion of heat energy is converted into electricity when the TE module is connected to the load resistance. Moreover, the energy transfer network in the unit is presented in Figure 3c, which is based on the thermal resistance model. For the hot side of the jth unit, the energy conservation equation can be written as follows:
where is the heat transfer rate of the hot side of the unit. and are the inlet and outlet temperatures of the air in the jth unit, respectively. is the hot end mean temperature of the TE module in the unit; Rhce and Rhex are the thermal resistance values of the hot side ceramic plate and heat exchanger, respectively; and Rcons is the constricted contact resistance.

Figure 3.
(a) The general energy transfer process in the jth unit and the relationship between two adjacent TE units. (b) A model of the TE module in the jth unit. (c) The energy transfer network in the jth unit. (d) A schematic of the mathematical model in the jth (j = 1, 2, 3, 4) unit.
Similarly, the energy conservation equation of the cold side of the unit can be written as follows:
where is the heat transfer rate of the cold side; and are the inlet and outlet temperatures of the cooling water, respectively; is the cold end mean temperature of the TE module; and Rcce and Rhs are the thermal resistance values of the cold end ceramic plate and heat sink, respectively.
The thermal resistance of the heat sink (Rhs) and heat exchanger (Rhex) can be calculated as follows:
where ha is the heat transfer coefficient between the hot air and the heat exchanger. Aa is the heat transfer area between the hot air and the heat exchanger; hw and Aw are corresponding values between the cooling water and the heat sink; Rhexb and Rhsb are the conduction resistance values of the exchanger base and heat sink base, respectively; Ahexb is the cross-sectional area of the heat exchanger base; is the heat efficiency of the fins; and Afin is the heat transfer area between the air and the fins. The conduction resistance of the structure, including the bases of the heat exchanger and sink and the ceramic plates of the hot and cold side, can be expressed by the following equation:
where A, , and H are the cross-sectional area, thermal conductivity, and thickness of the corresponding structure, respectively.
3.1.2. Model Validation
In this study, the accuracy of the proposed mathematical model can be validated by only the single TE unit of the quarter TEG system. Besides, it should be noted that the parameters of the TE materials and the input conditions of the TE unit are reset to the same as those in the literature for proper comparison. The model results and experimental data in the literature are plotted in Figure 4, with abscissa as load resistance and ordinate as output power. It is clear that the power outputs calculated by the mathematical model are nearly consistent with that obtained by experiment, where the maximum deviation is about 6.4%, indicating the proposed mathematical model is reliable and accurate to predict the performance of thermoelectric devices.

Figure 4.
Comparison between model results and experiment data.
3.2. Numerical Model
3.2.1. Controlling the Equations of the Numerical Model
This study presents a mathematical model of the thermoelectric generator (TEG) system and its various regions’ governing equations using the ANSYS 18.0 software platform. The fluid regions within the model, such as the flow of hot air and fluid water through the heat exchangers and radiators, conform to the principles of mass, momentum, and energy conservation, which can be expressed as follows:
where v represents the fluid velocity, measured in m/s; p indicates the fluid pressure, measured in Pa.; c denotes the specific heat capacity of the fluid, measured in KJ/(Kg∙K); represents the dynamic viscosity of the fluid, measured in Pa∙s; and represents the density of the fluid, measured in kg/m3. The flow of hot air and cooling water adopts the D turbulence model, with the transport equations given by Equations (12) and (13) below. For detailed parameter information, please refer to the cited literature.
Energy conservation is observed in the solid region of the model:
The TEG model includes convective heat transfer with the surrounding air:
where represents the convective heat transfer coefficient of the environment, with the unit of W/(m2∙K); represents the convective heat transfer coefficient of the environment, in K. The conservation of energy equation needs to be obeyed by each component within a thermoelectric module. The fundamental governing equations for the p-type semiconductor, n-type semiconductor, copper conductor, and ceramic plate are as follows:
The current density and electric field intensity in thermoelectric modules can be calculated using the following equation:
3.2.2. Boundary Conditions
Numerical models are used for modeling and simulation in CFD 18.0 software. The boundary conditions mainly include fluid boundary conditions, temperature boundary conditions, and voltage boundary conditions. Among them, the fluid boundary conditions are the mass flow rate and pressure outlets of the hot fluid and the cooling water, with the pressure set to standard atmospheric pressure. The temperature boundary conditions are used to analyze the temperature distribution of the thermoelectric field. One side of the thermoelectric module is connected to a load resistor, and the other side is connected to the ground as the voltage boundary condition. The specific parameters are shown in Table 1. By solving the aforementioned numerical model, the output parameters of the thermoelectric system can be obtained, and simulation calculations can be performed in ANSYS 18.0 software.
3.2.3. Grid Independence Analysis
For finite element models, smaller mesh sizes result in higher computational accuracy and better precision but also require longer computation time and higher computer performance. Therefore, it is essential to choose an appropriate mesh size for finite element simulation; moreover, mesh refinement analysis should be performed to ensure mesh independence.
In this study, four mesh sizes were adopted: 0.2 mm, 0.4 mm, 0.6 mm, and 0.8 mm, which are denoted as Grid 1, Grid 2, Grid 3, and Grid 4, respectively. The simulation was conducted with a thermal fluid temperature of 550 K and a mass flow rate of 20 g/s, while the cooling water temperature was set at 300 K, and the mass flow rate was 40 g/s. The evaluation criteria for the optimal mesh size were the average temperature of the thermoelectric module’s hot side and the simulation time. The simulation results, as shown in Table 3, indicate that the average temperature of the 0.4 mm and 0.2 mm mesh sizes were similar; however, the simulation time of the 0.4 mm mesh was relatively shorter. Thus, the optimal mesh size was selected to be 0.4 mm.

Table 3.
Simulation results under different grid sizes.
4. Results and Discussion
This study initially compared the output power of the mathematical model and numerical model under various input conditions. Subsequently, a single TE element was used to evaluate the effects of four factors: external load resistance, inlet temperature, and the mass flow rates of air and water. Finally, the performance differences among multiple TE elements partitioned from the inlet to the outlet of the TEG system were investigated.
4.1. Comparison between the Mathematical Model and the Numerical Model
4.1.1. The Simulation Results of the Numerical Model
As shown above, this study employed the coupling simulation of the ANSYS Fluent module and ANSYS Thermal–Electric 18.0 software. The simulation was performed under the initial conditions of an inlet temperature of the hot fluid, Tai = 500 K, and a mass flow rate of 30 g/s. The cooling water inlet temperature was Twi = 300 K, and the mass flow rate was 30 g/s. Based on these initial conditions, the temperature distribution of the thermoelectric module was obtained, as shown in Figure 5a. The temperature exhibited a gradient distribution, which was mainly concentrated in the legs of the thermoelectric module, while the temperature on the cold side remained around 318 K. The temperature distribution obtained from the simulation results was used as the temperature boundary condition to simulate and analyze the voltage and current output of the thermoelectric module. By connecting the thermoelectric module to a load resistor, the voltage distribution and current density distribution were obtained, as shown in Figure 5b and 5c, respectively.

Figure 5.
The simulation results of the thermoelectric module. (a)Temperature distribution. (b)Voltage distribution. (c) Current density distribution.
4.1.2. Comparison Results of Two Models
This study presents a comparative analysis of two mathematical models and a numerical model under different operating conditions. The mass flow rate of the hot fluid was maintained at 30 g/s, while the inlet temperatures were set at 400 K, 450 K, 500 K, and 550 K for the first set of experiments. In the second set, the inlet temperature was kept constant at 500 K, while the mass flow rates were varied at 10 g/s, 20 g/s, and 40 g/s. The results are shown in Figure 6. From the graph, it can be observed that as the inlet temperature and mass flow rate of the hot fluid increase, the output power of both models also increases. Moreover, the influence of the inlet temperature on the output power was found to be more significant than that of the mass flow rate for both models. Additionally, when comparing the mathematical and numerical models, it is evident that both output higher power levels, regardless of changes in the inlet temperature or mass flow rate. This is attributed to the fact that previous mathematical models made numerous assumptions and simplifications. In this study, the mathematical model not only divided the thermoelectric generator into multiple thermoelectric units but also considered temperature-dependent thermoelectric material properties and fluid flow.

Figure 6.
Comparison of output results between two models. (a) Comparison of output power with different air inlet temperatures. (b) Comparison of output power with different air mass flow rates.
4.2. Single TE Unit
4.2.1. Effect of External Load Resistance
The performance of a single TE unit was analyzed with different load resistances when Tai = 550 K, Twi = 300 K, = 20 g/s, and = 40 g/s, and the results are presented in Figure 7. The power and efficiency have a parabolic relationship with the load resistance, as shown in Figure 7a, indicating that the maximum power or efficiency can be gained by changing the load resistance to an optimal value. To further define the magnitude of the optimal load resistance, the ratio of the load to the internal resistance of the TE module (RL/Rin) is specifically used to evaluate the results. It can be observed in Figure 7b that the maximum power occurs when the ratio (RL/Rin) is about 1.31, while the maximum efficiency occurs at about 1.54. For the maximum power, apparently, this is something diverse from the common circuit in which the load is equivalent to internal resistance. This is primarily because the temperature difference in both sides of the TE module can be influenced by the load resistance. This situation can be illustrated by the following description.

Figure 7.
The effect of the external load resistance. (a) Variation in power and efficiency. (b) Variation in power and efficiency with the ratio (RL/Rin). (c) Variation in generated heat. (d) Variation in the temperatures of the TE module.
Figure 7c reveals the variation in the generated heat of the hot and cold sides with the load resistance, in which Fourier’s heat increases gradually, and the Joule heat decreases only slightly with the rise in load resistance. Moreover, the hot side Peltier heat decreases rapidly when the load rises from a small value. The decrement in the hot side Peltier heat is small with the further rise in load resistance. The variation in the cold side Peltier heat follows the same trend as that of the hot side Peltier heat. It can be concluded that both heat transfer rates Qh and Qc decrease with the rise in load; thus, the hot side temperature of the TE module increases, whereas the cold side temperature decreases continuously, as shown in Figure 7d. In other words, the temperature difference in both sides of the TE module rises constantly with the augment of load resistance. Consequently, according to the Seebeck effect, the reason the ratio (RL/Rin) is 1.31 at the maximum power may be because the voltage at both ends of the load resistance continues to increase due to the increase in temperature difference when the ratio (RL/Rin) exceeds 1, which causes the output power to continue to improve until the effect of the increment in voltage is lower than that of the increment in load resistance.
4.2.2. Effect of Air Inlet Temperature
Subsequently, the influence of air inlet temperature on the outcome of the single TE unit was investigated by using the proposed mathematical model under the conditions of Twi = 300 K, = 20 g/s, and = 40 g/s, and the results are shown in Figure 8. In this work, the range of air temperature is from 400 K to 600 K at an interval of 10 K. As shown in Figure 8a, the output power is improved gradually, and the increment in power is larger at the same temperature increment when the air inlet temperature is higher. In addition, the conversion efficiency is proportional to the air inlet temperature. That is, more transferred heat energy is converted into electricity when the air inlet temperature rises gradually. This can be explained by the temperature profiles presented in Figure 8b. As can be observed in the figure, the temperature of the cold and hot sides increases linearly as the air inlet temperature rises. The increment in hot side temperature is relatively large at the same temperature increment, while the cold side temperature is merely slightly increased. That is, the temperature difference across the TE module increases gradually with the air inlet temperature. Thus, we can also conclude that the TE module is more efficient under large temperature differences.

Figure 8.
Effect of air inlet temperature. (a) Variation in power and efficiency. (b) Variation in temperatures of hot and cold sides of TE module.
Herein, it is noted that the threshold temperature of TE materials needs to be considered. A study by Shen et al. [] shows that the threshold temperature of BiTe materials is usually lower than 500 K; thereby, the output power and efficiency may decrease dramatically according to the curve trend from Figure 8b, if the air inlet temperature continues to increase over 600 K.
4.2.3. Effect of Air Mass Flow Rate
Apart from the air temperature, the function of the TE unit is also affected by the air mass flow rate to a large extent, as shown in Figure 9. The results were obtained under the conditions of Tai = 550 K, Twi = 300 K, and = 40 g/s. With the rise in air mass flow, the output power has roughly the same variation tendency as the conversion efficiency, as shown in Figure 9a. Moreover, in the case of low air mass flow, both power and efficiency are increased rapidly from a small value with the rise in mass flow. However, the increments in power and efficiency are both quite small when the air mass flow is sufficiently large. For example, the power and efficiency increase by 3.83 W and 1.13%, respectively, when the mass airflow rises from 20 g/s to 50 g/s while only increasing by 1.7 W and 0.42%, respectively, from 50 g/s to 80 g/s. The reason for this can be attributed to the acceleration in air velocity with the augment of mass airflow, which may prevent the heat exchanger from conducting adequate heat transfer from hot air. Generally, increasing the air mass flow gradually reduces the temperature drop between the inlet and outlet of the TE unit.

Figure 9.
Effect of air mass flow rate. (a) Variation in output power and efficiency. (b) Variation in temperatures of hot and cold sides of TE module.
Furthermore, Figure 9b displays the change in temperatures at both sides of the TE module with the air mass flow. Similarly, after a simple calculation, the temperature difference increases from 132 K to 165 K when the mass airflow rises from 20 g/s to 50 g/s while only increasing by 13 K as mass airflow varies from 50 g/s to 80 g/s. Consequently, the power follows the same trends as the temperature difference according to the Seebeck effect. Moreover, the influence of mass airflow on the temperature of the hot side is apparently larger compared with that of the cold side. In detail, the temperature of the hot side rises from 360 K to 494 K within the variation range of air mass flow, while it only increases from 305 K to 316 K for the temperature of the cold side. Combined with the results of Figure 6, it can be determined that, whether the efficiency is improved by raising the air temperature or mass flow, the hot side temperature always has a similar variation tendency with the conversion efficiency because the temperature of the cold end has little change in this process. Consequently, the hot side temperature can serve as a key parameter to balance the selection of TE materials with the maximum operating temperature and the design of the highly efficient TEG system.
4.2.4. Effect of Water Mass Flow Rate
Furthermore, the influence of water mass flow on the outcome of a single TE unit was analyzed at Tai = 550 K, Twi = 300 K, and = 20 g/s. The variation in power and efficiency resulting from the augment of water mass flow was the same, as shown in Figure 10a, and both values only increased considerably in the case of the small water mass flow. In continuation, the power and efficiency gradually become constant once the water mass flow exceeds 40 g/s. This phenomenon can be illustrated via the temperature variation presented in Figure 10b. As can be observed, the cold side temperature suffers a rapid decrease at first and, subsequently, becomes nearly fixed with the water mass flow. Nevertheless, the variation in water mass flow has no significant influence on the temperature of the hot side. Consequently, the power and efficiency have a direct ratio with the temperature difference at both sides of the TE module under the effect of water mass flow. Moreover, it is worth noting that there is a mutation in the power from 3.31 W to 5.76 W when the water mass flow rises from 5 g/s to 10 g/s. The same results were found for the efficiency and the temperatures values on both sides. The reason for this outcome may be that the proposed mathematical model is not suitable below a water mass flow rate of 10 g/s.

Figure 10.
Effect of water mass flow rate. (a) Variation in output power and efficiency. (b) Variation in temperatures of cold and hot sides of TE module.
Therefore, we can conclude that increasing water mass flow is always conducive to the enhancement of power and efficiency, but the improvements are considerably small, and more additional power needs to be consumed in the case of sufficiently large water mass flow. Moreover, the water mass flow has less influence on the outcome of the TE unit compared with the temperature and mass flow of air. Therefore, the optimal value of water mass flow should be chosen to achieve efficient cooling and reduce power consumption in practical applications.
4.3. Comparison of Multiple TE Units
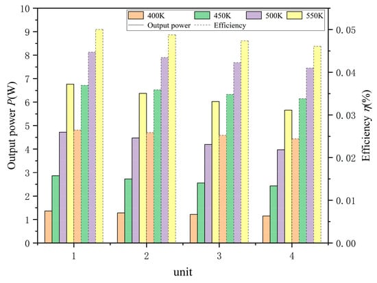
As is known, the air temperature decreases gradually along the flow direction from the inlet to the outlet of the TEG system, because part of the heat energy contained in the hot air is converted into electricity via the thermoelectric effect. Consequently, the hot side temperature distribution is not uniform along the airflow direction, causing differences among the multiple TE units. After completing a study of the single TE unit, the differences among the multiple TE units were further analyzed by using the proposed mathematical model in terms of power and efficiency. In this work, the whole TEG system is divided into the four TE units shown in Figure 2, and it is assumed that each TE unit independently generates power via the corresponding TE module with a unified load resistance of 2 Ω. First, the differences among the four TE units were investigated under the four air inlet temperatures set as 400 K, 450 K, 500 K, and 550 K, respectively, when Twi = 300 K, = 20 g/s, and = 40 g/s. The power and efficiency of the latter TE unit always decreased compared with that of the former unit at the same air temperature, as shown in Figure 11. For example, the power and efficiency of unit4 decreased by 1.1 W and 0.4%, respectively, compared with that of unit1 at Tai = 550 K. Furthermore, as can be observed, the differences in power and efficiency between two adjacent TE units increased gradually as the air inlet temperature increased. For example, the differences in power and efficiency between unit1 and unit2 are 0.16 W and 0.1%, respectively, at Tai = 450 K, while the differences are 0.39 W and 0.13% at Tai = 550 K. Therefore, the uniformity of the hot side temperature distribution deteriorates if the air inlet temperature is too high.

Figure 11.
Output powers and conversion efficiencies of multiple TE units with different air inlet temperatures.
This can be better illustrated via the temperature curves in Figure 12, which show the respective air outlet temperature of the multiple TE units and the corresponding temperature difference across the TE module. As expected, the temperature difference decreased gradually from unit1 to unit4 at the same air inlet temperature. For example, the temperature differences from unit1 to unit4 are 131.8 K, 128 K, 124.2 K, and 120.6 K, respectively, at Tai = 550 K, thus causing the power differences among the multiple TE units since there is an immediate relation between generation power and temperature difference according to the Seebeck effect. Moreover, the air outlet temperature follows the same trend as the temperature difference, but the temperature drops between the inlet and outlet are almost the same for all TE units at the same air inlet temperature after a simple calculation. For example, all temperature drops are about 6 K at Tai = 550 K. Consequently, it can be concluded that the heat transfer rate is almost the same for each TE unit at the same air inlet temperature; however, the efficiency also decreased by degrees from unit1 to unit4 due to the decrease in power that resulted from the reduction in temperature difference.

Figure 12.
Air outlet temperatures and temperature differences in multiple TE units with different air inlet temperatures.
Subsequently, the influence of air mass flow on the performance differences among four TE units was further studied under the conditions of Tai = 550 K, Twi = 300 K, and = 40 g/s, where the four air mass flow rates were set as 20 g/s, 40 g/s, 60 g/s, and 80 g/s, respectively. As shown in Figure 13, both power and efficiency also decreased gradually from unit1 to unit4 at the same mass airflow. For example, the power and efficiency of unit4 decreased by 0.9 W and 0.24%, respectively, compared with that of unit1 at = 80 g/s. Moreover, the differences in power and efficiency between the two adjacent units were smaller when the air mass flow rate was larger. For example, the differences in power and efficiency between unit1 and unit2 were 0.38 W and 0.11%, respectively, at = 40 g/s, while the differences were 0.32 W and 0.08% at = 80 g/s. This is different from the influence of air temperature on the differences among the multiple TE units. That is, the temperature distribution uniformity of the hot side of the TEG system can be improved by raising the air mass flow appropriately. This is illustrated via the results presented in Figure 14, where the temperature difference decreased gradually from unit1 to unit4 under the identical air mass flow, but the variation in temperature difference between the two adjacent TE units also decreased by degrees with the rise in air mass flow. For example, the variation in temperature difference between unit1 and unit2 is about 3.1 K at = 40 g/s, while the variation is about 2.3 K at = 80 g/s, which maintains the same trend in subsequent units. Consequently, increasing the air mass flow is conducive to decreasing the difference among multiple TE units.

Figure 13.
Output powers and conversion efficiencies of multiple TE units with different air mass flow rates.

Figure 14.
Temperature differences in multiple TE units with different air mass flow rates.
Accordingly, we can conclude that some optimization measures to enhance the overall output performances of the TEG system via redesigning the heat exchanger and TE module can be carried out based on the above comparison results among the multiple TE units, which will be solved by employing the proposed mathematical model in subsequent studies.
5. Experimental Platform
In this study, the tail gas temperature difference power generation system bench was constructed as shown in Figure 15 to verify the response characteristics of the temperature difference power generation system under transient operating conditions. In this experiment, an industrial hot air blower was used as a heat source to simulate tail gas emission, and the hot air temperature and mass flow rate were adjusted by adjusting the hot air blower. The cooling section of the temperature difference power generation system was connected to the tap water through rubber hoses with a temperature and mass flow rate of 283 K and 21.2 g/s, respectively, and two water-cooled pipelines were connected in series, as shown in the figure. The upper and lower sides of the temperature difference power generation system were arranged with K-type temperature sensors to collect the surface temperature in real time and transmit it to the temperature data recorder for reading and recording the temperature data; the sampling time was 1 s. The 16 pieces of the upper and lower sides of the temperature difference power generation system were connected in series and connected with the electronic load to form a circuit. As the electronic load can only display the real-time voltage data, it was, therefore, connected with the voltage data recorder to record the voltage data, which displays the real-time curve of voltage change; the sampling time was set to 1 s. A hot-wire anemometer was installed at the end of the whole test stand to obtain the transient hot airflow rate value. However, because the working temperature of the hot-wire anemometer cannot exceed 773 K, and in order to ensure the safety of the test, an air-cooling device was installed between the temperature difference power generation system and the hot-wire anemometer, which was powered by a DC power supply. The sampling time of the hot-wire anemometer was set to 1 s.

Figure 15.
Test bench for exhaust gas temperature difference power generation system.
The temperature of the cold end was set to a fixed value in the transient condition of temperature difference power generation, and the temperature of the hot end was varied by changing the temperature of the hot air. The output power of the temperature difference power generation system when the temperature at the hot end varied from 300 to 450 K, as shown in Figure 16 below. The power change was slightly delayed compared with the temperature change; this delay is due to the fact that there is a distance between the hot air from the hot air blower to the temperature difference power generation system, thus causing a delay.

Figure 16.
Transient operating condition response characteristics.
6. Conclusions
In this work, the theoretical analysis of a plate-type air-to-water TEG system divided into multiple TE units for waste heat recovery was performed. Firstly, taking the temperature-dependent TE material parameters and fluid flow into account, a comprehensive mathematical model and a numerical model were established according to the simplified quarter TEG system. Then, the output power values of the mathematical model and the numerical model under various input conditions were compared. The single TE unit was adopted to investigate the effects of the external load resistance and some significant parameters on the performance of the models, including air inlet temperature, air mass flow, and water mass flow. Finally, comparisons of the performance differences among the multiple TE units were discussed under different inlet temperatures and mass flow rates of air. The main conclusions of this study can be summarized as follows:
- (1)
- The mathematical model and numerical model established in this study exhibit higher output power compared with each other, which is attributed to the consideration of the temperature dependence of the TE material parameters and fluid flow in this study.
- (2)
- The internal resistance of the thermoelectric module is lower than the load resistance while reaching the maximum power or efficiency, and the load at maximum power is relatively larger. Moreover, the heat transfer rates at both sides of the TE module decrease with the augment of load resistance, causing the temperature difference across the TE module to increase gradually as the load resistance increases.
- (3)
- The gain in output power at the same temperature increment is larger when the air inlet temperature is higher. The conversion efficiency is proportional to the air temperature. When the air mass flow is low, the power and efficiency of the TEG system increase rapidly from small values with the augment of mass flow. However, the gains in power and efficiency may be small in the case of a sufficiently large air mass flow. Furthermore, the power and efficiency of the TE unit are insensitive to the high mass flow of water; therefore, an appropriate mass flow rate should be chosen to achieve efficient cooling and reduce the additional power consumption.
- (4)
- For the multiple TE units divided from the quarter TEG system, the power and efficiency of the latter TE unit decrease compared with that of the former TE unit at the same air inlet temperature. Furthermore, the differences in power and efficiency between two adjacent TE units increase gradually as the air inlet temperature rises. That is, the temperature distribution uniformity of the hot side of the TEG system may deteriorate if the air inlet temperature is too high.
- (5)
- The power and efficiency both decrease gradually from unit1 to unit4 at the same air mass flow. Moreover, the difference in power and efficiency among the multiple TE units are smaller when the air mass flow is larger. That is, the temperature distribution uniformity of the hot side of the TEG system can be improved by raising the air mass flow appropriately.
Author Contributions
Conceptualization, R.W.; Methodology, Y.J. and J.C.; Software, Y.J.; Validation, Y.J.; Resources, R.W.; Writing—original draft, Y.J.; Writing—review & editing, Y.J.; Supervision, R.W.; Project administration, J.C. All authors have read and agreed to the published version of the manuscript.
Funding
This research was funded by the National Natural Science Foundation of China (51977100), and the Nantong City’s “unveiling and commanding” campaign plan (JB2022003).
Data Availability Statement
The original contributions presented in the study are included in the article, further inquiries can be directed to the corresponding author.
Conflicts of Interest
The authors declare no conflicts of interest.
References
- Twaha, S.; Zhu, J.; Yan, Y.; Li, B. A comprehensive review of thermoelectric technology: Materials, applications, modelling and performance improvement. Renew. Sustain. Energy Rev. 2016, 65, 698–726. [Google Scholar] [CrossRef]
- Choi, H.; Jeong, K.; Chae, J.; Park, H.; Baeck, J.; Kim, T.H.; Song, J.Y.; Park, J.; Jeong, K.-H.; Cho, M.-H. Enhancement in thermoelectric properties of Te-embedded Bi2Te3 by preferential phonon scattering in heterostructure interface. Nano Energy 2018, 47, 374–384. [Google Scholar] [CrossRef]
- Luo, D.; Wang, R.; Yu, W.; Zhou, W. Performance evaluation of a novel thermoelectric module with BiSbTeSe-based material. Appl. Energy 2019, 238, 1299–1311. [Google Scholar] [CrossRef]
- Komisarchik, G.; Gelbstein, Y.; Fuks, D. Solubility of Ti in thermoelectric PbTe compound. Intermetallics 2017, 89, 16–21. [Google Scholar] [CrossRef]
- Big-Alabo, A. Performance evaluation of Ge/SiGe-based thermoelectric generator. Phys. E Low-Dimens. Syst. Nanostruct. 2019, 108, 202–205. [Google Scholar] [CrossRef]
- Zheng, Z.-H.; Li, F.; Luo, J.-T.; Liang, G.-X.; Ma, H.-L.; Zhang, X.-H.; Fan, P. Thermoelectric properties and micro-structure characteristics of nano-sized CoSb3 thin films prefabricating by co-sputtering. J. Alloys Compd. 2017, 732, 958–962. [Google Scholar] [CrossRef]
- Potirniche, G.P.; Barannyk, L.L. A nonlinear finite element model for the performance of thermoelectric bulk and nanostructured materials. Energy 2019, 185, 262–273. [Google Scholar] [CrossRef]
- Luo, D.; Wang, R.; Yu, W.; Zhou, W. Performance optimization of a converging thermoelectric generator system via multiphysics simulations. Energy 2020, 204, 117974. [Google Scholar] [CrossRef]
- Lv, H.; Wang, X.-D.; Meng, J.-H.; Wang, T.-H.; Yan, W.-M. Enhancement of maximum temperature drop across thermoelectric cooler through two-stage design and transient supercooling effect. Appl. Energy 2016, 175, 285–292. [Google Scholar] [CrossRef]
- Niu, Z.; Yu, S.; Diao, H.; Li, Q.; Jiao, K.; Du, Q.; Tian, H.; Shu, G. Elucidating modeling aspects of thermoelectric generator. Int. J. Heat Mass Transf. 2015, 85, 12–32. [Google Scholar] [CrossRef]
- Liang, X.; Sun, X.; Tian, H.; Shu, G.; Wang, Y.; Wang, X. Comparison and parameter optimization of a two-stage thermoelectric generator using high temperature exhaust of internal combustion engine. Appl. Energy 2014, 130, 190–199. [Google Scholar] [CrossRef]
- Luo, D.; Wang, R.; Yu, W.; Sun, Z.; Meng, X. Modelling and simulation study of a converging thermoelectric generator for engine waste heat recovery. Appl. Therm. Eng. 2019, 153, 837–847. [Google Scholar] [CrossRef]
- Lu, X.; Yu, X.; Qu, Z.; Wang, Q.; Ma, T. Experimental investigation on thermoelectric generator with non-uniform hot-side heat exchanger for waste heat recovery. Energy Convers. Manag. 2017, 150, 403–414. [Google Scholar] [CrossRef]
- Lv, S.; He, W.; Jiang, Q.; Hu, Z.; Liu, X.; Chen, H.; Liu, M. Study of different heat exchange technologies influence on the performance of thermoelectric generators. Energy Convers. Manag. 2018, 156, 167–177. [Google Scholar] [CrossRef]
- Luo, D.; Wang, R.; Yu, W.; Zhou, W. A novel optimization method for thermoelectric module used in waste heat recovery. Energy Convers. Manag. 2020, 209, 112645. [Google Scholar] [CrossRef]
- Luo, D.; Wang, R.; Yu, W.; Zhou, W. Parametric study of asymmetric thermoelectric devices for power generation. Int. J. Energy Res. 2020, 44, 6950–6963. [Google Scholar] [CrossRef]
- Shittu, S.; Li, G.; Zhao, X.; Ma, X.; Akhlaghi, Y.G.; Ayodele, E. Optimized high performance thermoelectric generator with combined segmented and asymmetrical legs under pulsed heat input power. J. Power Sources 2019, 428, 53–66. [Google Scholar] [CrossRef]
- Sun, H.; Ge, Y.; Liu, W.; Liu, Z. Geometric optimization of two-stage thermoelectric generator using genetic algorithms and thermodynamic analysis. Energy 2019, 171, 37–48. [Google Scholar] [CrossRef]
- Zhu, W.; Deng, Y.; Wang, Y.; Wang, A. Finite element analysis of miniature thermoelectric coolers with high cooling performance and short response time. Microelectron. J. 2013, 44, 860–868. [Google Scholar] [CrossRef]
- Meng, J.-H.; Zhang, X.-X.; Wang, X.-D. Dynamic response characteristics of thermoelectric generator predicted by a three-dimensional heat-electricity coupled model. J. Power Sources 2014, 245, 262–269. [Google Scholar] [CrossRef]
- Liao, M.; He, Z.; Jiang, C.; Fan, X.; Li, Y.; Qi, F. A three-dimensional model for thermoelectric generator and the influence of Peltier effect on the performance and heat transfer. Appl. Therm. Eng. 2018, 133, 493–500. [Google Scholar] [CrossRef]
- Mostafavi, S.A.; Mahmoudi, M. Modeling and fabricating a prototype of a thermoelectric generator system of heat energy recovery from hot exhaust gases and evaluating the effects of important system parameters. Appl. Therm. Eng. 2018, 132, 624–636. [Google Scholar] [CrossRef]
- Wang, Y.; Dai, C.; Wang, S. Theoretical analysis of a thermoelectric generator using exhaust gas of vehicles as heat source. Appl. Energy 2013, 112, 1171–1180. [Google Scholar] [CrossRef]
- Luo, D.; Wang, R.; Yu, W. Comparison and parametric study of two theoretical modeling approaches based on an air-to-water thermoelectric generator system. J. Power Sources 2019, 439, 227069. [Google Scholar] [CrossRef]
- Shen, Z.-G.; Tian, L.-L.; Liu, X. Automotive exhaust thermoelectric generators: Current status, challenges and future prospects. Energy Convers. Manag. 2019, 195, 1138–1173. [Google Scholar] [CrossRef]
Disclaimer/Publisher’s Note: The statements, opinions and data contained in all publications are solely those of the individual author(s) and contributor(s) and not of MDPI and/or the editor(s). MDPI and/or the editor(s) disclaim responsibility for any injury to people or property resulting from any ideas, methods, instructions or products referred to in the content. |
© 2024 by the authors. Licensee MDPI, Basel, Switzerland. This article is an open access article distributed under the terms and conditions of the Creative Commons Attribution (CC BY) license (https://creativecommons.org/licenses/by/4.0/).