An Effective Charging Torque Elimination Method for Dual-Channel Electric-Drive-Reconstructed Onboard Chargers
Abstract
1. Introduction
- The operational principles under both the balanced and unbalanced operation modes are analyzed in detail, which indicates that a charging torque is inevitable under the unbalanced charging voltage operation mode, and the following particular conclusion can be reached: balanced winding currents of dual channels are favorable for charging torque elimination.
- An effective charging torque elimination method based on dual-channel winding current balance is presented, which can ensure a dot-shaped current path in α–β subspace.
- The controller of the dual-channel EDROC, for both the balanced and unbalanced charging voltage operation modes, is designed. Meanwhile, a prototype of the dual-channel EDROC is built, to verify the effectiveness of the proposed method.
2. Dual-Channel Electric-Drive-Reconstructed Onboard Charger Based on Asymmetrical Six-Phase Permanent Magnet Synchronous Machine
2.1. Topology
2.2. Balanced Charging Voltage Operation Mode
2.3. Unbalanced Charging Voltage Operation Mode
3. Proposed Effective Charging Torque Elimination Method
4. Controller Design and Simulations
4.1. Controller Design
4.2. Simulations
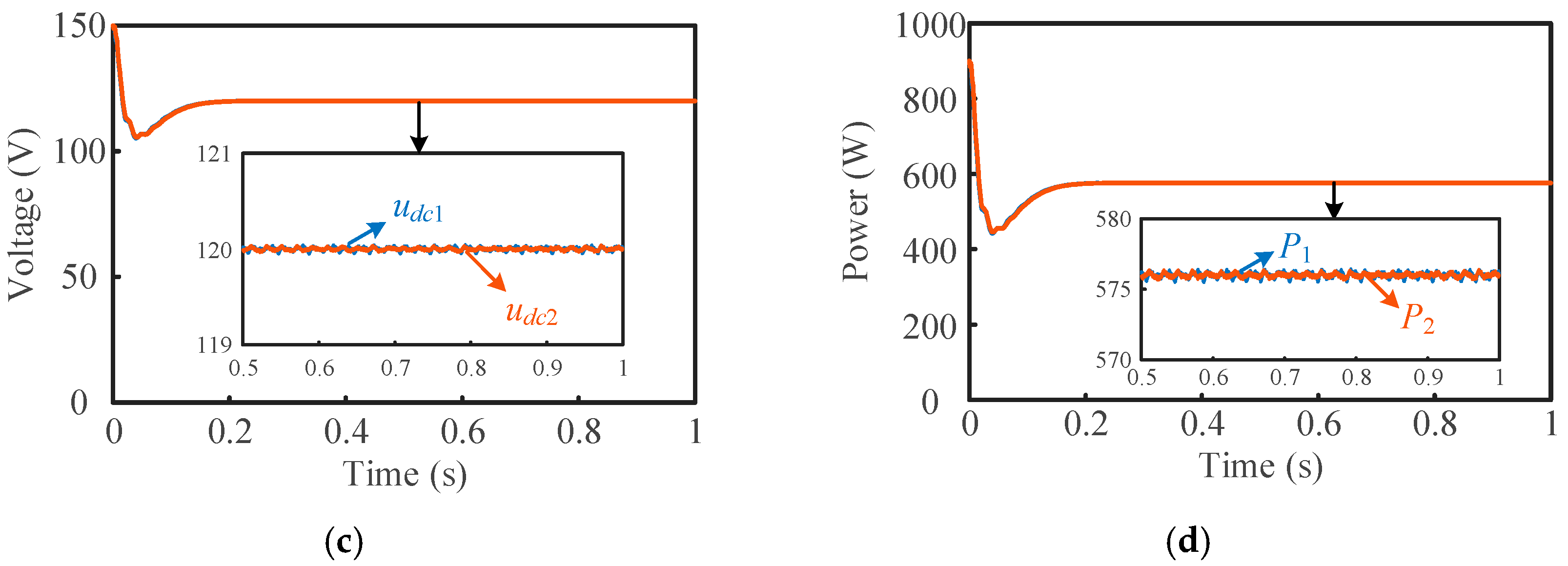
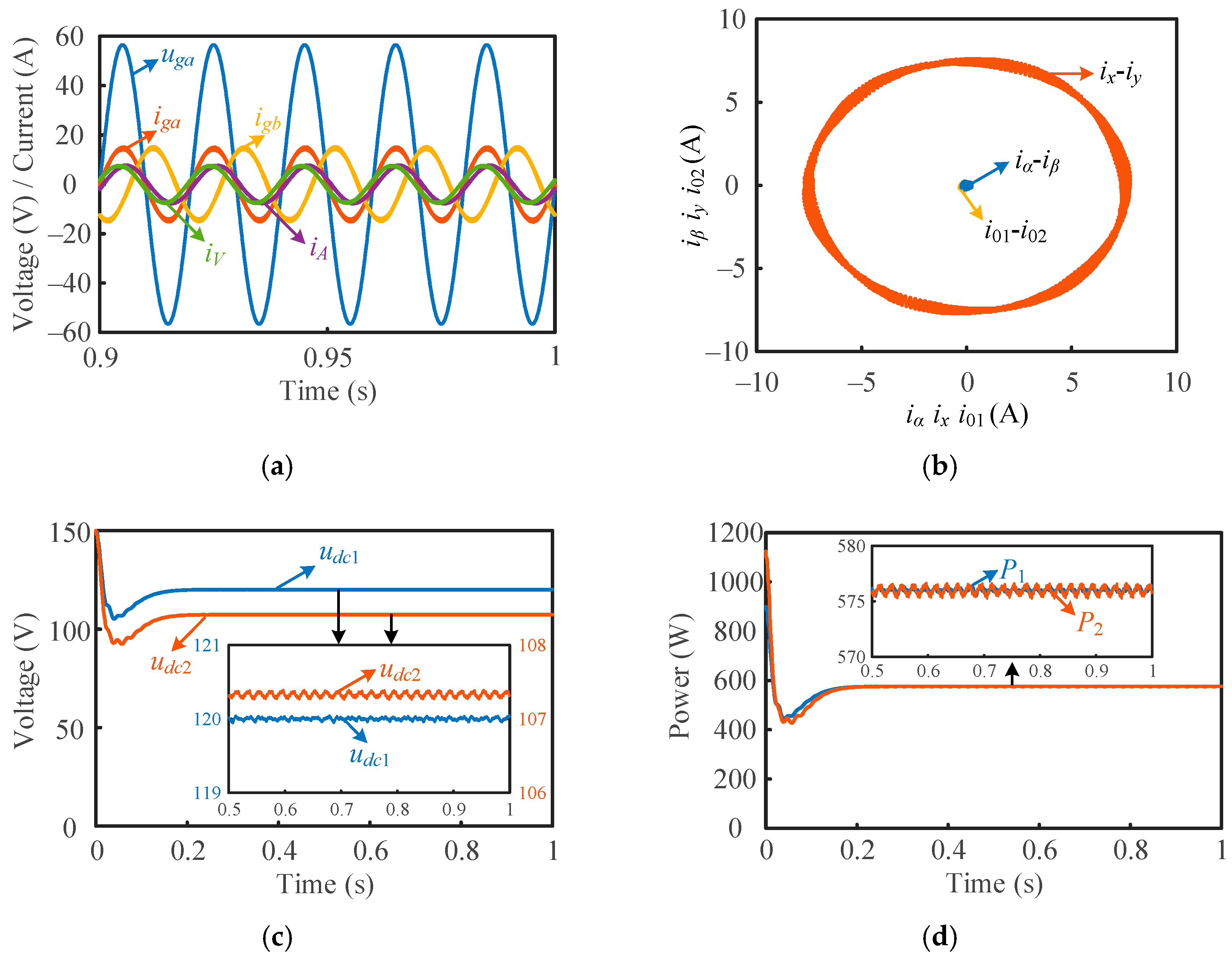
5. Experiments
6. Conclusions
Author Contributions
Funding
Data Availability Statement
Conflicts of Interest
References
- Yao, M.; Da, D.; Lu, X.; Wang, Y. A review of capacity allocation and control strategies for electric vehicle charging stations with integrated photovoltaic and energy storage systems. World Electr. Veh. J. 2024, 15, 101. [Google Scholar] [CrossRef]
- Bernal-Vargas, J.; Castro-Galeano, J.; Tibaduiza-Rincón, E.; López-Lezama, J.; Muñoz-Galeano, N. Prospective analysis of massive integration of electric vehicle chargers and their impact on power quality in distribution networks. World Electr. Veh. J. 2023, 14, 324. [Google Scholar] [CrossRef]
- Gopalasami, R.; Chokkalingam, B. A photovoltaic-powered modified multiport converter for an EV charger with bidirectional and grid connected capability assist PV2V, G2V, and V2G. World Electr. Veh. J. 2024, 15, 31. [Google Scholar] [CrossRef]
- Althurthi, S.; Rajashekara, K.; Debnath, T. Comparison of EV fast charging protocols and impact of sinusoidal half-wave fast charging methods on lithium-ion cells. World Electr. Veh. J. 2024, 15, 54. [Google Scholar] [CrossRef]
- Yu, F.; Zhu, Z.; Liu, X.; Zhang, Z. Electric-drive-reconstructed onboard charger for solar-powered electric vehicles incorporating six-phase machine. IEEE Trans. Power Electron. 2022, 37, 6544–6555. [Google Scholar] [CrossRef]
- Verkroost, L.; De Belie, F.; Sergeant, P.; Vansompel, H. Multiagent control in modular motor drives by means of deterministic consensus. IEEE Trans. Ind. Electron. 2023, 70, 1205–1215. [Google Scholar] [CrossRef]
- Munim, W.N.W.A.; Duran, M.J.; Che, H.S.; Bermúdez, M.; González-Prieto, I.; Rahim, N.A. A unified analysis of the fault tolerance capability in six-phase induction motor drives. IEEE Trans. Power Electron. 2017, 32, 7824–7836. [Google Scholar] [CrossRef]
- Sharma, S.; Aware, M.V.; Bhowate, A. Integrated battery charger for EV by using three-phase induction motor stator windings as filter. IEEE Trans. Transport. Electrif. 2020, 6, 83–94. [Google Scholar] [CrossRef]
- Liu, X.; Yu, F.; Mao, J.; Yang, H. Pre- and post-fault operations of six-phase electric-drive-reconstructed onboard charger for electric vehicles. IEEE Trans. Transport. Electrif. 2022, 8, 1981–1993. [Google Scholar] [CrossRef]
- Habib, A.; Shawier, A.; Abdel-Majeed, M.S.; Abdel-Khalik, A.S.; Hamad, M.S.; Hamdy, R.A.; Ahmed, S. Predictive current control of six-phase IM-based nonisolated integrated on-board battery charger under different winding configurations. IEEE Trans. Power Electron. 2022, 37, 8345–8358. [Google Scholar] [CrossRef]
- Subotic, I.; Bodo, N.; Levi, E. Integration of six-phase EV drivetrains into battery charging process with direct grid connection. IEEE Trans. Energy Convers. 2017, 32, 1012–1022. [Google Scholar] [CrossRef]
- Tong, M.; Cheng, M.; Wang, S.; Hua, W. An on-board two-stage integrated fast battery charger for EVs based on a five-phase hybrid-excitation flux-switching machine. IEEE Trans. Ind. Electron. 2021, 68, 1780–1790. [Google Scholar] [CrossRef]
- Subotic, I.; Dordevi, O.; Gomm, J.B.; Levi, E. Active and reactive power sharing between three-phase winding sets of a multiphase induction machine. IEEE Trans. Energy Convers. 2019, 34, 1401–1410. [Google Scholar] [CrossRef]
- Zoric, I.; Jones, M.; Levi, E. Arbitrary power sharing among three-phase winding sets of multiphase machines. IEEE Trans. Ind. Electron. 2018, 65, 1128–1139. [Google Scholar] [CrossRef]
- Yan, L.; Zhu, Z.Q.; Qi, J.; Ren, Y.; Gan, C.; Brockway, S.; Hilton, C. Suppression of major current harmonics for dual three-phase PMSMs by virtual multi three-phase systems. IEEE Trans. Ind. Electron. 2022, 69, 5478–5490. [Google Scholar] [CrossRef]
- Viana, C.; Pathmanathan, M.; Lehn, P.W. Dual-inverter-integrated three-phase EV charger based on split-phase machine. IEEE Trans. Power Electron. 2022, 37, 15175–15185. [Google Scholar] [CrossRef]
- Wang, Z.; Liu, B.; Guan, L.; Zhang, Y.; Cheng, M.; Zhang, B.; Xu, L. A dual-channel magnetically integrated EV chargers based on double-stator-winding permanent-magnet synchronous machines. IEEE Trans. Ind. Appl. 2019, 55, 1941–1953. [Google Scholar] [CrossRef]
- Yu, F.; Wang, Z.; Wang, Y.; Zhou, C. Decoupled and compensated space vector pulse width modulation algorithm for dual-channel PMSM with unbalanced power supplies. Int. J. Circ. Theor. Appl. 2024, 52, 1813–1829. [Google Scholar] [CrossRef]
- Liao, W.; Lyu, M.; Huang, S.; Wen, Y.; Li, M.; Huang, S. An enhanced SVPWM strategy based on vector space decomposition for dual three phase machines fed by two DC-source VSIs. IEEE Trans. Power Electron. 2021, 36, 9312–9321. [Google Scholar] [CrossRef]
- Raherimihaja, H.J.; Zhang, Q.; Na, T.; Shao, M.; Wang, J. A three-phase integrated battery charger for EVs based on six-phase open-end winding machine. IEEE Trans. Power Electron. 2020, 35, 12122–12132. [Google Scholar] [CrossRef]












| Parameters | Values |
|---|---|
| Rated power | 2 kW |
| Rated voltage | 220 V |
| Rated current | 12 A |
| Number of pole pairs | 5 |
| Direct axis inductance | 6.18 mH |
| Quadrature axis inductance | 6.13 mH |
| Stator resistance | 0.7 Ω |
| Stator leakage inductance | 1.82 mH |
Disclaimer/Publisher’s Note: The statements, opinions and data contained in all publications are solely those of the individual author(s) and contributor(s) and not of MDPI and/or the editor(s). MDPI and/or the editor(s) disclaim responsibility for any injury to people or property resulting from any ideas, methods, instructions or products referred to in the content. |
© 2024 by the authors. Licensee MDPI, Basel, Switzerland. This article is an open access article distributed under the terms and conditions of the Creative Commons Attribution (CC BY) license (https://creativecommons.org/licenses/by/4.0/).
Share and Cite
Cheng, X.; Yu, F.; Qiu, L. An Effective Charging Torque Elimination Method for Dual-Channel Electric-Drive-Reconstructed Onboard Chargers. World Electr. Veh. J. 2024, 15, 205. https://doi.org/10.3390/wevj15050205
Cheng X, Yu F, Qiu L. An Effective Charging Torque Elimination Method for Dual-Channel Electric-Drive-Reconstructed Onboard Chargers. World Electric Vehicle Journal. 2024; 15(5):205. https://doi.org/10.3390/wevj15050205
Chicago/Turabian StyleCheng, Xunhui, Feng Yu, and Linhao Qiu. 2024. "An Effective Charging Torque Elimination Method for Dual-Channel Electric-Drive-Reconstructed Onboard Chargers" World Electric Vehicle Journal 15, no. 5: 205. https://doi.org/10.3390/wevj15050205
APA StyleCheng, X., Yu, F., & Qiu, L. (2024). An Effective Charging Torque Elimination Method for Dual-Channel Electric-Drive-Reconstructed Onboard Chargers. World Electric Vehicle Journal, 15(5), 205. https://doi.org/10.3390/wevj15050205

