Next Article in Journal
Sustainable Vehicles for Decarbonizing the Transport Sector: A Comparison of Biofuel, Electric, Fuel Cell and Solar-Powered Vehicles
Previous Article in Journal
Carbon Footprint Enhancement of an Agricultural Telehandler through the Application of a Fuel Cell Powertrain
 
 
Font Type:
Arial Georgia Verdana
Font Size:
Aa Aa Aa
Line Spacing:
Column Width:
Background:
Article

A Fuzzy Logic Control-Based Approach for Real-Time Energy Management of the Fuel Cell Electrical Bus Considering the Durability of the Fuel Cell System

1
School of Mechanical & Automotive Engineering, Liaocheng University, Liaocheng 252059, China
2
Beijing Foton Daimler Automotive Co., Ltd., Huairou District, Beijing 101400, China
*
Author to whom correspondence should be addressed.
World Electr. Veh. J. 2024, 15(3), 92; https://doi.org/10.3390/wevj15030092
Submission received: 10 February 2024 / Revised: 17 February 2024 / Accepted: 20 February 2024 / Published: 1 March 2024

Abstract

The present study proposes a fuzzy logical control-based real-time energy management strategy (EMS) for a fuel cell electrical bus (FCEB), taking into account the durability of the fuel cell system (FCS), in order to enhance both the vehicle’s economic performance and the FCS’s service life. At first, the model of the FCEB is established whilst the power-following strategy is also formulated as a benchmark for the evaluation of the proposed strategy. Subsequently, a fuzzy logical controller is designed to improve the work efficiency of the FCS, in which the battery state-of-charge (SOC) and the vehicle’s desired power are considered the inputs, whilst the power of the FCS is the output. Then, a limitation method is integrated into the fuzzy logical controller to restrict the change rate of the FCS’s power to strengthen the FCS’s service life. At last, the evaluation is accessed based on the China city bus driving cycle (CCBC). The results indicate that the proposed fuzzy logical strategy can satisfy the dynamic performance of the FCEB well. Importantly, it also has a remarkable effectiveness in terms of promoting the FCEB’s economy. Despite a slight reduction in contrast to the fuzzy logical control, the improvements of the strategy in which the FCS’s durability is considered are still acceptable. The change rate of the FCS’s power can be confined to ±10 kW. Meanwhile, the promotion of economic performance can reach up to 8.43%, 7.69%, and 6.53% in the proposed durability consideration strategy in contrast to the power-following strategy under different battery SOCs. This will significantly benefit both the energy saving and the FCS’s durability.

1. Introduction

The utilization of vehicles powered by fossil fuels has led to a myriad of issues, including the escalation of global climate temperatures, emissions released into the atmosphere, and the depletion of conventional fuel reserves [1]. Fuel cell electrical vehicles (FCEVs), renowned for their remarkable operational efficiency and absence of emissions, are widely recognized as highly promising alternatives among new energy vehicles in terms of environmental sustainability [2,3]. They commonly combine energy storage systems, such as power batteries or supercapacitors, to enhance dynamic response and harness regenerative braking energy [4,5]. However, integrating high-capacity onboard batteries presents challenges in effectively managing power distribution among multiple energy sources while facilitating electric propulsion and cost-efficient utilization of charged electrical power. Consequently, formulating an appropriate energy management strategy (EMS) is crucial for FCEVs’ real-time implementation [6,7].
In the existing research, rule-based EMS has been accepted as one of the most practical methods in FCEV’s real-time application, owing to its multiple benefits, such as minimal computational demands, exceptional real-time capabilities, as well as the capacity to function without any particular understanding of driving styles [8]. These methods can be categorized into two primary types, deterministic-based and fuzzy logic-based, which can oversee the energy allocation between the FCS and the battery in the real-time application of the FCEV [9]. The former approach typically utilizes a decision rule table to adjust the power demands of one power source (e.g., FCS) based on another power source (e.g., battery) according to the pre-designed operating modes [10]. In contrast, the latter method requires integrating relevant membership and fuzzy rules to optimize the control system for energy usage, emission reduction, state-of-charge (SOC) replenishment, and driving performance improvements [11]. However, since these rules are often formulated based on experiments or engineering expertise, they may not consistently achieve optimality under changing driving conditions.
The optimization-based approaches, encompassing both offline and online methods, are dedicated to attaining the most efficient power allocation or component arrangement for the vehicle in order to minimize energy usage (optimization goal) [12,13]. The predominant offline optimization technique employed in FCEVs involves the utilization of dynamic programming (DP), which necessitates known driving information [14]. The optimization in the DP problem involves selecting multiple stages from a given set of decision variables at each time interval, guided by predefined optimization criteria [15]. Although the advantages of DP can be leveraged for both straightforward and intricate systems, it cannot be utilized in real time owing to its necessity of precognition for prior knowledge. Pontryagin’s minimum principle (PMP) is an alternative optimization approach employed to obtain a solution for the overall global problem [16]. This approach offers the advantage of transforming the overall optimization into an immediate optimization, potentially facilitating the development of real-time EMS. However, addressing the information requirements for future driving scenarios remains a challenge in its implementation. Moreover, alternative offline methodologies, like convex programming (CP) and linear programming (LP), achieve global optimality convergence only under certain conditions, such as ensuring convexity assumptions or guaranteeing the uniqueness of the optimization problem [17,18]. Hence, the application of these methods in the real-time energy management of FCEVs may require significant effort.
The potential of online optimization for real-time applications is significantly higher compared to offline methods, as it typically incorporates a cost function that relies on the existing system’s present state parameters [19]. The widely adopted methodology is referred to as the ECMS (i.e., equivalent consumption minimization strategy), aiming to minimize hydrogen consumption (HC) in FCEVs whilst achieving equalized HC across all constants [20,21]. However, in order to strengthen its energy-saving capabilities, it is still crucial to implement a reference battery SOC that is meticulously designed. On the other hand, the model predictive control (MPC) method has gained increasing popularity in the energy management of FCEVs due to its capability to anticipate forthcoming state parameters by leveraging present or past states [22,23]. The advantage of the MPC lies in its seamless integration with offline optimization methods, such as DP, PMP, or other global optimization techniques. This integration results in a significant enhancement of vehicle performance [24,25]. However, ensuring the accuracy of the forecasting method and optimizing computer efficiency are also crucial considerations for real-time applications.
Currently, the learning-based (LB) method has gained increasing acceptance due to the rapid development of artificial intelligence (AI) technology [26]. The essential advantage of the LB method lies in its capacity to learn and adapt autonomously, independent of specific models, thereby enhancing the flexibility of control strategies for FCEVs [27]. The most commonly utilized methods among LB EMSs are those based on neural networks (NN) and reinforcement learning (RL) [28]. The employment of NN-based energy management necessitates the choice of eigenvalues corresponding to various operational scenarios as input, whilst the model’s output is power allocation between its multiple power sources [29]. Typically, NN is commonly utilized for categorizing operating conditions and forecasting future vehicle speeds, thus requiring a substantial amount of data [30]. Conversely, RL-based energy management can attain optimal outcomes through control strategies even when limited data availability exists [31]. The RL-based method involves ongoing interactions between agents and their surroundings whilst the agent gradually formulates control rules that converge toward an optimal control strategy through the iterative process [32]. The most representative RL approach implemented in EMS is called the Q-learning method, where a Q-table should be well-trained based on sufficient previous data [33]. Consequently, the precision of the data model and the real-time efficiency are still crucial factors in this methodology, although it has been improved as the Deep Q-network method.
Generally speaking, a real-time EMS should be straightforward and have higher computational efficiency while ensuring the energy-saving potential is as excellent as possible. The rule-based strategy is acknowledged to be more suitable for real-time applications due to its high computing efficiency. The challenge lies in enhancing the adaptability and optimality of the strategy, which should be more robust to various driving conditions. Fortunately, the fuzzy logical control methodologies enable the regulation of continuous parameters by implementing a set of pre-established rules, which can be formulated based on the engineer’s comprehension. Moreover, this particular approach has extensive applicability in real-time energy management for FCEVs despite the fact that it may result in non-optimal control [34,35]. Considering that a fuel cell electrical bus (FCEB) has a more regular operating condition, it will be beneficial to acquire a precise control rule to enhance the optimality of the control strategy. Therefore, a fuzzy logical control-based EMS for FCEB is investigated in this study, whilst the durability of the FCS is also considered.
The primary innovation and contribution can be summarized as follows: (1) Developing a unique power-following EMS that tracks the power requirements of the FCEB, serving as a reference for evaluating the proposed strategy. (2) Formulating a fuzzy logical control-based approach that considers inputs such as the battery’s SOC and power demand while focusing on regulating the output power of the FCS. (3) Implementing a limitation based on the FCS’s power variation rate to ensure its durability is not compromised.
The following sections of the paper are organized as follows. Section 2 presents the investigated models for FCEB powertrain and vehicle dynamics. In Section 3, we establish the power-following and fuzzy logical control strategies while analyzing the performance of the FCEB based on the China city bus driving cycle. A durability consideration strategy is developed in Section 4, where we also explore the results by comparing them with the previous fuzzy logical control-based approach. Finally, the core conclusions are summarized in Section 5.

2. Modeling of the FCEB

2.1. Configuration of the FCEB

The hybrid system, powered by both fuel cells and power batteries, can effectively address the limitations of pure fuel cell electrical vehicles (FCEVs), making it widely embraced.
In this paper, the hybrid powertrain, as depicted in Figure 1, primarily comprises a fuel cell system (FCS), power battery, electric motor, and final driver. Following voltage regulation through a DC/DC converter, the FCS is connected to the motor controller; whereas the power battery is directly linked to the controller. The propulsive force of the fuel cell electrical bus (FCEB) is generated by the electric motor, while the required power can be supplied by both the power battery and FCS. Moreover, the power battery can also acquire electric energy from the grid through plug-in. The main parameters of the FCEB are listed in Table 1.

2.2. FCEB Models

2.2.1. Vehicle Dynamic Model

The modeling of multi-power source systems is highly intricate, and the focus of this study’s vehicle system design solely lies on energy efficiency, thereby disregarding lateral dynamic performance and vertical motion. In accordance with the principles of longitudinal dynamics, the power required by the vehicle can be expressed as:
P r e q = 1 η t m g f r cos θ u 3600 + C D A u 3 76,140 + δ m u 3600 · d u d t + m g sin θ u 3600 ,
where the required power of the vehicle is denoted as P r e q . The efficiency of the transmission system is represented by η t . The mass of the vehicle is m. Gravity acceleration is indicated by g. Rolling coefficient is referred to as f r . The speed of the vehicle is u. C D and A represent the coefficients for air resistance and windward area, respectively. δ represents the rotational mass coefficient, while θ denotes the road slope.

2.2.2. FCS Model

Compared to phosphate fuel cells, alkaline fuel cells, and molten carbonate fuel cells, the proton exchange membrane fuel cell (PEMFC) offers the advantages of high working current and low temperature start-up. Therefore, it was selected for integration into the FCEB. Considering that the PEMFC is a complex nonlinear system, energy management solely focuses on energy consumption. The modeling process exclusively considers static processes, and hydrogen consumption is usually calculated using the following formula, which is related to the output power of the fuel cell.
m H 2 = 0 t P f c s η f c s · ρ H 2 · d t ,
where m H 2 is the mass of hydrogen consumption. P f c s denotes the output power for FCS. ρ H 2 denotes the heating value of hydrogen. η f c s represents the efficiency of the FCS, which can be calculated by the following equation.
η f c s = P f c s P H 2 = P s t a c k P A U X P H 2 ,
where P s t a c k is the output power of the fuel cell stack. P A U X denotes consumes power for auxiliary devices. P H 2 represents the theoretical power related to the hydrogen flow consumption. Considering the complexity of the inner workings of an FCS, η f c s is usually simplified as the function of output power, expressed as follows.
η f c s = f ( P f c s ) ,
The efficiency curve of the studied FCS, which can be obtained from a bench test, is depicted in Figure 2. The efficiency of the FCS is initially enhanced as its output power increases but gradually diminishes as the output power of the FCS continues to increase. The optimal operating range for the FCS is between 20 kW and 100 kW, where its efficiency can exceed 50%. Therefore, significant effort is required to maintain the operational points of the FCS within a high-efficiency range.

2.2.3. Battery Model

The power battery of FCEB can not only enhance the overall vehicle’s dynamic response capability, but also enables independent vehicle propulsion and recuperation of braking energy. Currently, the commonly used lithium-ion battery-equivalent circuit models mainly include Rint, RC, Thevenin, and PNGV, whilst the Rint model is considered the most simplified one, broadly employed for energy management [36]. In this study, a 250 A·h lithium iron phosphate battery was selected for the power sources, whilst a Rint model method was utilized to model the battery as shown in Figure 3.
Hence, the terminal voltage of the battery is expressed as follows.
V b a t = V o c S O C , T R S O C , T × I b a t ,
where V b a t denotes the battery terminal voltage. I b a t is the battery current. V o c ( S O C , T ) and R ( S O C , T ) represent the equivalent open circuit voltage and the equivalent open circuit internal resistance, respectively. Both of them are impacted by the battery’s SOC, as well as the environment temperature, T. Then, the battery model can be expressed as the variation of the battery SOC.
S O C = Q n 0 t I b a t d t Q n ,
where Q n denotes the nominal capacity of the battery, whilst the battery SOC is governed by the following equation.
I b a t = 1 2 R V o c V o c 2 4 R P b a t t ,
where P b a t t denotes the output power of the battery. The terminal voltage V o c and internal resistance R can be expressed as a function of the battery SOC, disregarding any temperature variations. The charge and discharge characteristics of the battery are depicted in Figure 4.

2.2.4. Motor Model

The motor not only propels the vehicle during operation but also recovers braking energy and charges the battery. Therefore, the power of the motor is expressed as:
P m = T m · n m η m sgn ( T m ) / 9550 sgn ( T m ) = 1 if T m 0 Driving mode 1 if T m < 0 Braking mode ,
where P m denotes the motor power, and η m represents the motor’s efficiency, which can be governed by the motor’s rational speed and torque. sgn(·) is defined as a sign function. If the motor is operated in a driving mode, the value of the function is 1, while in a braking mode, the output is −1. In addition, the motor’s efficiency is one of the most critical factors in energy management, which is obtained by the efficiency MAP of the motor through the bench test. Figure 5 is the efficiency MAP of the studied motor.

3. Energy Management Strategy

3.1. Power-Following Strategy

The power-following strategy is implemented to effectively regulate the battery’s SOC, ensuring it remains at an optimal level. When the SOC drops below a predetermined expected value, it becomes necessary for the FCS to recharge the battery while also meeting the power demands of the vehicle. On the other hand, if the battery’s SOC exceeds the expected value, it can provide power to supplement the vehicle’s power requirement, thereby decreasing the output power of the FCS. The operational procedure of this strategy can be partitioned into four diverse working modes, including FCS-independent drive mode, battery-independent drive mode, hybrid drive mode, and regenerative braking mode.

3.1.1. FCS-Independent Drive Mode

In this mode, the battery SOC is lower than expected. FCS is operational and the battery is inactive, the FCS not only supplies the necessary power for the vehicle but also replenishes the battery, ensuring its SOC remains close to the expected value. In this scenario, the power balance relationship can be described as follows:
P m = P r e q η t η m P b a t t = β S O C S O C * P f c s = P m + P b a t t s . t .     P f c s _ min < P f c s < P f c s _ max ,
where β denotes the charge/discharge power coefficient. S O C * is the expected value of the battery SOC. P f c s _ min and P f c s _ max indicate the operating range of the FCS.

3.1.2. Battery-Independent Drive Mode

When the battery SOC is high enough, the battery-independent mode is enabled, where the FCS is currently non-operational. It is worth noting that the battery serves as the sole power source only when the battery SOC exceeds its designated maximum working value. The power balance relationship in this case can be described as follows:
P m = P r e q η t η m P b a t t = P m P f c s = 0 s . t .     S O C S O C max ,
where S O C max denotes the maximum working value of the battery SOC, which has been predefined as 0.8 to avoid overcharging and discharging the battery.

3.1.3. Hybrid Drive Mode

When the battery SOC falls below the expected value, the battery’s output power can only remain within a specific range that fails to meet the power demand of the FCEB. In such cases, additional power will be provided by the FCS, and the power balance relationship can be expressed as follows.
P m = P r e q η t η m P b a t t = β S O C S O C * P f c s = P m P b a t t s . t .   P f c s _ min < P f c s < P f c s _ max ,

3.1.4. Regenerative Braking Mode

During vehicle braking or deceleration, the motor switches to power generation mode. Under high braking intensity, the motor delivers maximum braking power while excess energy is absorbed by mechanical braking. Under low braking intensity, the motor provides appropriate braking power and simultaneously absorbs energy to charge the battery. In this scenario, the power balance relationship can be concluded as follows.
P m = φ P r e q η t η m P b a t t = P m P f c s = 0 s . t .     S O C < S O C max ,
where φ represents the proportion of vehicle-regenerative braking.

3.2. Fuzzy Logical Control-Based Strategy

3.2.1. Input and Output Variables

The input variables of the fuzzy controller are designed to incorporate both the battery SOC ( S O C ) and the power demand of the motor ( P m ), taking into account the presence of two power sources, namely the battery and the FCS. Simultaneously, the output power of the FCS ( P f c s ) is designated as the controller’s output variable. In accordance with physical requirements, we have defined the discourse domain for both the input and output variables as follows.
P m [ 0 , 180 ] S O C [ 0 , 1 ] P f c s [ 0 , 100 ] ,
In order to transform the input and output variables from a fuzzy domain to a range of [0, 1], we have also selected quantization factor k i = 1/180 and scale factor k u = 1/100 for P m and P f c s , respectively.

3.2.2. Fuzzy Subsets

The FCS needs to work only if the motor demand power is positive. Hence, the fuzzy subset of the P m is defined as zero, smaller, small, medium, large, and larger to represent the power demand of the motor. It has been expressed as ZO, SM, PS, MD, BI, PB. Meanwhile, the fuzzy subset corresponding to the battery SOC is defined as low, medium, and high, while it is expressed as L, M, H.
Moreover, the fuzzy subset of the output variable is portioned into seven parts including off, hold, average, medium hold, medium, maximum hold, and maximum, which are expressed as OFF, OAH, AVE, HHM, MED, MBH, MAX. Then, the trapezoidal membership function is utilized to describe the fuzzy controller’s input and output while the membership function of the P m , S O C , and P f c s are illustrated in Figure 6.

3.2.3. Fuzzy Rules

The control rules in this study were formulated using the Mamdani model. Two fuzzy input variables, namely motor power demand and battery SOC, were utilized, with the former consisting of six subsets and the latter having three. Consequently, a total of 18 fuzzy rules were devised to adjust the output power of the FCS. The underlying principle behind these fuzzy control rules is that when the battery SOC is high, there is a reduction in the FCS output power; conversely, when there is a high demand for vehicle power, an increase in the FCS output power occurs. Table 2 lists the detailed fuzzy control rules while the relationship of the input and output variables can be also seen in Figure 7.

3.3. Comparisons

The performance of the fuzzy logical control-based strategy is assessed in this section by comparing it with the power-following strategy using the China city bus driving cycle (CCBC). The details of CCBC are presented in Table 3.

3.3.1. Vehicle Performance

Figure 8 depicts the speed following results of the power following and fuzzy control strategies. The results demonstrate a complete consistency between the actual speed curve and the target speed curve. It can be concluded that both power following and fuzzy control energy management strategies align with the power performance requirements of CCBC.
The vehicle’s acceleration performance was also evaluated under full load conditions for the fuzzy logical strategy, with the battery SOC set at 0.7 and 0.3, respectively, representing higher and lower SOC scenarios. The test results are presented in Table 4. It is evident that when the battery SOC reaches 0.7, the FCEB achieves a peak speed of 69.4 km/h during operation, thereby satisfying the design requirement for a maximum speed of 69 km/h. Moreover, the acceleration time for 0∼50 km/h is a mere 15.3 s, which successfully aligns with the designated target of 20 s. On the other hand, the FCEB achieves a maximum speed of 69.5 km/h, as well as an acceleration time of 17.4 s during the driving process when the initial SOC value is 0.3, thereby satisfying both the design target and vehicle acceleration performance requirements. However, compared to scenarios where the initial SOC values are set at 0.7, there is an extended acceleration time observed. Despite the impact of battery SOC on the vehicle’s acceleration performance, it still meets the design requirements for a vehicle with the proposed fuzzy logical strategy.

3.3.2. Battery Performance

As shown in Figure 9, if the initial SOC is 0.9, the battery predominantly supplies power to propel the vehicle during operation in a high output power and a declining trend in SOC. The comparison in Table 5 reveals that, compared to the power-following strategy, fuzzy logical control exhibits a reduction of 0.015 in the terminal SOC, a decrease of 35.44 kW in peak drive power, and a decline of 38.47 kW in peak recovery power. Nevertheless, the average output power has a reduction of 3.09 kW. Moreover, throughout the entire vehicle driving period from 1255 s to 1314 s, more energy is recuperated with the power-following strategy, leading to a significant increase in SOC.
When the initial SOC is set at 0.7, during low vehicle power demand periods, the FCS assumes responsibility for battery charging. Conversely, as the vehicle’s power demand increases, the battery needs to assist the FCS in satisfying this demand, resulting in a decreased SOC for the battery. Referring to Figure 10 and Table 6, it can be observed that compared to the power-following strategy, the proposed approach leads to a reduction in peak drive power by 35.69 kW and a decrease in peak recovery power of 38.47 kW. In addition, there is also an improvement of 6.05 kW for the average power output.
As shown in Figure 11 and Table 7, when the initial SOC is 0.3, FCS must also charge the battery effectively to maintain SOC within a range of 0.4∼0.8, except for providing the necessary power to meet vehicle power requirements. It is evident that, in comparison to the power-following strategy, the fuzzy control strategy results in a reduction of 0.05 in the terminal SOC of the battery, a decrease of 33.92 kW in peak power for drive, a decline of 39.96 kW in peak power for recovery, and a decrease of 6.48 kW in average output power. The battery exhibits higher energy recovery throughout vehicle operation and experiences significant SOC elevation under the power-following control strategy.
In summary, compared with the power-following strategy, the battery’s SOC and actual output power fluctuate less to maintain a relatively long-term healthy charge and discharge state under the fuzzy control strategy. Because the battery’s average output power and peak power are reduced, it is in a shallow charge and discharge cycle, which is conducive to promoting its service life.

3.3.3. FCS Performance

It is known that if the initial SOC is 0.9, the vehicle’s propel force primarily relies on battery power, resulting in high battery output power and low FCS power throughout the driving process.
As depicted in Figure 12 and Table 8, implementing a fuzzy control strategy increases the peak power of the FCS by 4.47 kW; however, there is a reduction of 1.12 kW in average power during the entire cycle. Moreover, although there is a slight decrease in maximum efficiency from 56.2% to 56.0%, there is a remarkable increase of 11.8% in efficiency points exceeding 50% when comparing fuzzy logical control to power-following strategies.
Although the battery can still drive the vehicle with the battery SOC = 0.7, the FCS needs to recharge the battery during the low power demand of the vehicle, resulting in a higher output power of FCS in some conditions. Similar to SOC = 0.9, fuzzy control increases the peak power of the FCS output, but decreases the average power, as described in Figure 13 and Table 9. In terms of efficiency, the maximum efficiency point of the fuzzy control closely aligns with the power-following strategy. Simultaneously, there has been a notable enhancement of 15.1% in the proportion of work points surpassing 50% efficiency.
When the initial SOC is 0.3, the FCS not only fulfills the vehicle’s power requirements but also facilitates battery charging, exhibiting its highest output power. Figure 14 and Table 10 indicate that the FCS’s maximum output power is enhanced by 24.05 kW, while its average value experiences a reduction of 2.18 kW. Furthermore, there was a substantial increase of 23.9% in the proportion of FCS operating points, exhibiting an efficiency exceeding 50%.
Overall, the fuzzy control strategy can promote the FCS’s operating points to exhibit a higher concentration within the 50∼60% optimal efficiency range. Consequently, there is a reduction in low-efficiency operating points and a remarkable enhancement in FCS performance.

4. Durability Consideration of the FCS

4.1. Problem Formulation

There are various factors that influence the durability of a fuel cell, including idle periods of the FCS, high power scenarios, frequent start–stop cycles, and sudden power fluctuations [37]. Among these factors, it is worth noting that power mutations have the most significant impact on the lifespan of the FCS, as depicted in Figure 15.
The main reason is that the sudden fluctuations in FCS output power can lead to water management issues within the fuel cell. A decrease in FCS power impairs the hydrogen’s ability to carry water, resulting in excessive liquid accumulation and flooding. Conversely, an instantaneous increase in FCS power enhances hydrogen’s ability to transport water, causing a substantial removal of liquid water and membrane dehydration. This irreversible impact accelerates fuel cell deterioration and compromises its durability. Therefore, avoiding sudden variations in FCS output power is imperative for enhanced system longevity. The optimization of the fuzzy logical control can be illustrated by Figure 16. Based on the proposed fuzzy logical control strategy in Section 3.2, a power variation constraint will be introduced into the fuzzy control so as to confine the power mutations of the fuel cell system. In other words, the output power of the FCS for the next stage is decided not only by the fuzzy logical control but also by its current power as well as the increase or decrease in power (i.e., Δ P f c s ). After durability consideration of the FCS, the changing rate of the FCS will be restricted within a specific range between Δ P f c s a and Δ P f c s b . Consequently, the output power of the battery will also be regulated to satisfy the power demand of the FCEB.
In order to avoid the sudden fluctuation of the FCS power, a constraint is supplemented to modify the output power of the FCS. The constraints can be expressed as follows.
Δ P f c s a Δ P f c s Δ P f c s b ,
where Δ P f c s represents the changing rate of the FCS output power, where Δ P f c s a and Δ P f c s b denote its upper and lower limits, respectively. Then, the modification of P f c s can be governed by the following equation.
P f c s = P f c s + Δ P f c s a i f Δ P f c s < Δ P f c s a P f c s = P f c s + Δ P f c s b i f Δ P f c s > Δ P f c s b P f c s = P f c s e l s e ,
where P f c s denotes the actual power of the FCS; it should be known that the total of the battery and FCS power should also satisfy the following equation to guarantee that the power is enough to propel the FCEB.
P m = P b a t t + P f c s ,
The range of variation in the FCS output power is typically limited to within 10% of its maximum power. In this study, the designed maximum power of the FCS is 100 kW, resulting in Δ P f c s a = −10 kW whilst Δ P f c s b = 10 kW.

4.2. Results Analysis

4.2.1. FCS

The comparison of FCS output power and power change rate before and after optimization based on fuzzy control strategy is illustrated in Figure 17, Figure 18 and Figure 19 for SOC, respectively set at 0.9, 0.7, and 0.3. After optimization, it is evident that the increase in output power of the FCS has been significantly reduced, effectively controlling its rate of change within the range of ±10 kW. It is worth knowing that although the FCS’s output power may experience occasional reductions, the vehicle drive power can still be maintained due to the limitation of the additional Equation (16), with any insufficient power supplemented by the battery’s power. It will be of significant benefit to promote the durability of the FCS.
The comparison of the FCS’s output power change rate is presented in Table 11.
According to the findings, a low battery SOC may lead to a higher change rate for FCS due to its larger output power. When SOC = 0.3, the maximum positive and negative rates of change will reach 32.5 kW and −52.5 kW, respectively, which may significantly impact the health of the FCS. However, it is possible to control the output power change rate within the ±10 kW range by optimization, effectively enhancing operational conditions and promoting extended application lifespan for the FCS.

4.2.2. Battery

The battery SOC and output power are depicted in Figure 20, Figure 21 and Figure 22, taking into account the durability of FCS. It is evident that the battery’s operating frequency increases due to limitations imposed on the FCS’s power change rate. Simultaneously, this also results in a noticeable enhancement in the battery’s output power. Consequently, the battery’s energy recovery significantly increases, especially for a lower initial battery SOC.
The comparison of battery SOC power for different strategies is presented in Table 12. It is evident that the battery exhibits superior energy recovery capabilities, considering the durability of the FCS. It can be attributed to the limited rate of change in FCS’s power, which increases the demand for battery power and significantly enhances its involvement in FCEB’s driving or braking. On the other hand, the positive peak power is essentially equivalent for the two strategies. The power differential is insignificant compared to the power differential of the negative peak power, where the maximum power output is only 3 kW.

4.2.3. HC

The FCS’s HC is quantified under different battery SOCs, and the corresponding results are presented in Figure 23. As the battery SOC decreases, the FCS’s operating frequency will increase, leading to higher output power. Consequently, when the battery SOC reaches 0.3, there is an unexpected increase in HC. However, it should be noted that fuzzy logical control can significantly enhance energy-saving performance compared to the power-following strategy.
The performance of the proposed methods is further analyzed by comparing HC under the three strategies, as illustrated in Table 13.
The results indicate that compared to the power-following strategy, there are 9.73%, 9.90%, and 9.39% improvements in HC for fuzzy logical control. However, when restricting the power change rate, FCS may operate at lower efficiency levels, compromising its economy while considering durability. Nevertheless, despite an increase in HC compared to the fuzzy logical control, it also exhibits a notable improvement in contrast to the power-following strategy, with upgrades reaching 8.43%, 7.69%, and 6.53%. In other words, the proposed method has the capability to improve hydrogen consumption and yield substantial advantages in terms of its service life.

5. Conclusions

In this paper, a fuzzy logical control-based real-time energy management strategy is proposed to enhance the economy of the FCEB while considering the durability of the FCS. A fuzzy controller with dual inputs, namely battery SOC and power demand, and a single output representing FCS’s output power, is established to improve FCS’s efficiency. Simultaneously, limitations are imposed on the rate of change in FCS’s output power to promote operational conditions to strengthen the FCS’s durability.
The effectiveness of the proposed strategy is evaluated based on the China city bus driving cycle. The results indicate that the fuzzy logical strategy meets dynamic performance requirements and enhances the economic performance of the FCEB. Furthermore, the fuzzy logical control-based strategy demonstrates satisfactory performance while considering the durability of the FCS. Importantly, there is a significant improvement of 8.43%, 7.69%, and 6.53% in reducing HC from the FCS at different battery SOC levels. Additionally, the rate of change in output power for the FCS is limited to within ± 10 kW, which significantly benefits extending its service life.

Author Contributions

Conceptualization, J.D. and X.L.; methodology, J.D. and X.L.; software, J.D. and X.Z.; validation, G.L. and Y.X.; data curation, G.L. and Y.X.; writing—original draft preparation, J.D.; writing—review and editing, J.D. and X.L. All authors have read and agreed to the published version of the manuscript.

Funding

This research was supported by the Fundamental Research Funds for the Central Universities, CHD (grant number: 300102221503/K21LC0301); Doctoral Scientific Research Foundation of Liaocheng University (grant number: 318052058).

Data Availability Statement

The original contributions presented in the study are included in the article, further inquiries can be directed to the corresponding author.

Conflicts of Interest

Gang Liu and Yanfeng Xiong are employees of Beijing Foton Daimler Automotive Co., Ltd. The paper reflects the views of the scientists and not the company. The authors declare no conflicts of interest.

Abbreviations

The following abbreviations are used in this manuscript:
FCEBFuel cell electrical bus
EMSEnergy management strategy
FCSFuel cell system
SOCState-of-charge
CCBCChina city bus driving cycle
FCEVsFuel cell electrical vehicles
DPDynamic programming
PMPPontryagin’s minimum principle
HCHydrogen consumption
MPCModel predictive control
LBLearning-based
AIArtificial intelligence
NNNeural networks
RLReinforcement learning
PEMFCProton exchange membrane fuel cell

References

  1. KoteswaraRao, K.V.; Srinivasulu, G.N.; Rahul, J.R.; Velisala, V. Optimal component sizing and performance of Fuel Cell—Battery powered vehicle over world harmonized and new European driving cycles. Energy Convers. Manag. 2024, 300, 117992. [Google Scholar] [CrossRef]
  2. Nie, Z.G.; Zhu, L.X.; Jia, Y.; Lian, Y.F.; Yang, W. Hierarchical optimization control strategy for intelligent fuel cell hybrid electric vehicles platoon in complex operation conditions. Int. J. Hydrogen Energy 2024, 50, 1056–1068. [Google Scholar] [CrossRef]
  3. Deng, P.Y.; Wu, X.H.; Yang, J.L.; Yang, G.; Jiang, P.; Yang, J.; Bian, X. Optimal online energy management strategy of a fuel cell hybrid bus via reinforcement learning. Energy Convers. Manag. 2024, 300, 117921. [Google Scholar] [CrossRef]
  4. Zhang, G.; Zhou, S.; Xie, Z.C.; Fan, L.; Gao, J.H. Bi-level power management strategies optimization for multi-stack fuel cell system-battery hybrid power systems. J. Energy Storage 2023, 71, 108066. [Google Scholar] [CrossRef]
  5. Pugi, L.; Berzi, L.; Cirillo, F.; Vecchi, A.; Pagliazzi, V. A tool for rapid simulation and sizing of hybrid traction systems with fuel cells. Proc. Inst. Mech. Eng. Part F J. Rail Rapid Transit 2023, 237, 104–113. [Google Scholar] [CrossRef]
  6. Huang, R.C.; He, H.W. A novel data-driven energy management strategy for fuel cell hybrid electric bus based on improved twin delayed deep deterministic policy gradient algorithm. Int. J. Hydrogen Energy 2023, 52, 782–798. [Google Scholar] [CrossRef]
  7. Ren, X.X.; Ye, J.Z.; Xie, L.P.; Lin, X.Y. Battery longevity-conscious energy management predictive control strategy optimized by using deep reinforcement learning algorithm for a fuel cell hybrid electric vehicle. Energy 2024, 286, 129344. [Google Scholar] [CrossRef]
  8. Inci, M.; Büyük, M.; Demir, M.H.; Ilbey, G. A review and research on fuel cell electric vehicles: Topologies, power electronic converters, energy management methods, technical challenges, marketing and future aspects. Renew. Sustain. Energy Rev. 2021, 137, 110648. [Google Scholar] [CrossRef]
  9. Cagatay Bayindir, K.; Gozukucuk, M.A.; Teke, A. A comprehensive overview of hybrid electric vehicle: Powertrain configurations, powertrain control techniques and electronic control units. Energy Convers. Manag. 2011, 52, 1305–1313. [Google Scholar] [CrossRef]
  10. Anselma, P.G.; Spano, M.; Capello, M.; Misul, D.; Belingardi, G. Calibrating a Real-time Energy Management for a Heavy-Duty Fuel Cell Electrified Truck towards Improved Hydrogen Economy. SAE Int. J. Adv. Curr. Pract. Mobil. 2022, 5, 1012–1023. [Google Scholar] [CrossRef]
  11. Gao, D.W.; Jin, Z.H.; Lu, Q.C. Energy management strategy based on fuzzy logic for a fuel cell hybrid bus. J. Power Sources 2008, 185, 311–317. [Google Scholar] [CrossRef]
  12. Liu, X.; Guo, H.; Du, J.; Zhao, X. A modified model-free-adaptive-control-based real-time energy management strategy for plug-in hybrid electric vehicle. Energy Sci. Eng. 2022, 10, 4007–4024. [Google Scholar] [CrossRef]
  13. Wirasingha, S.G.; Emadi, A. Classification and review of control strategies for plug-in hybrid electric vehicles. IEEE Trans. Veh. Technol. 2011, 60, 111–122. [Google Scholar] [CrossRef]
  14. Li, T.Y.; Huang, L.T.; Liu, H.Y. Energy management and economic analysis for a fuel cell supercapacitor excavator. Energy 2019, 172, 840–851. [Google Scholar] [CrossRef]
  15. Kandidayeni, M.; Trovao, J.P.; Soleymani, M.; Boulon, L. Towards health-aware energy management strategies in fuel cell hybrid electric vehicles: A review. Int. J. Hydrogen Energy 2022, 47, 10021–10043. [Google Scholar] [CrossRef]
  16. Li, X.; Wang, Y.; Yang, D.; Chen, Z. Adaptive energy management strategy for fuel cell/battery hybrid vehicles using Pontryagin’s Minimal Principle. J. Power Sources 2019, 440, 227105. [Google Scholar] [CrossRef]
  17. Hu, X.; Johannesson, L.; Murgovski, N.; Egardt, B. Longevity-conscious dimensioning and power management of the hybrid energy storage system in a fuel cell hybrid electric bus. Appl. Energy 2015, 137, 913–924. [Google Scholar] [CrossRef]
  18. Fares, D.; Chedid, R.; Karaki, S.; Jabr, R.; Panik, F.; Gabele, H.; Huang, Y. Optimal power allocation for a FCHV based on linear programming and PID controller. Int. J. Hydrogen Energy 2014, 39, 21724–21738. [Google Scholar] [CrossRef]
  19. Han, J.; Park, Y.; Kum, D. Optimal adaptation of equivalent factor of equivalent consumption minimization strategy for fuel cell hybrid electric vehicles under active state inequality constraints. J. Power Sources 2014, 267, 491–502. [Google Scholar] [CrossRef]
  20. Hong, Z.; Li, Q.; Han, Y.; Shang, W.; Zhu, Y.; Chen, W. An energy management strategy based on dynamic power factor for fuel cell/battery hybrid locomotive. Int. J. Hydrogen Energy 2018, 43, 3261–3272. [Google Scholar] [CrossRef]
  21. Gao, H.; Wang, Z.; Yin, S.; Lu, J.; Guo, Z.; Ma, W. Adaptive real-time optimal energy management strategy based on equivalent factors optimization for hybrid fuel cell system. Int. J. Hydrogen Energy 2021, 46, 4329–4338. [Google Scholar] [CrossRef]
  22. Xie, S.; Hu, X.; Xin, Z.; Li, L. Time-efficient stochastic model predictive energy management for a plug-in hybrid electric bus with an adaptive reference state-of-charge advisory. IEEE Trans. Veh. Technol. 2018, 67, 5671–5682. [Google Scholar] [CrossRef]
  23. Geng, B.; Mills, J.K.; Sun, D. Two-stage energy management control of fuel cell plugin hybrid electric vehicles considering fuel cell longevity. IEEE Trans. Veh. Technol. 2012, 61, 498–508. [Google Scholar] [CrossRef]
  24. Zhang, S.; Xiong, R.; Sun, F.C. Model predictive control for power management in a plug-in hybrid electric vehicle with a hybrid energy storage system. Appl. Energy 2018, 185, 1654–1662. [Google Scholar] [CrossRef]
  25. Xie, S.B.; Hu, X.S.; Xin, Z.K.; Brighton, J. Pontryagin’s Minimum Principle based model predictive control of energy management for a plug-in hybrid electric bus. Appl. Energy 2019, 236, 893–905. [Google Scholar] [CrossRef]
  26. Tran, D.D.; Vafaeipour, M.; El Baghdadi, M.; Barrero, R.; Van Mierlo, J.; Hegazy, O. Thorough state-of-the-art analysis of electric and hybrid vehicle powertrains: Topologies and integrated energy management strategies. Renew. Sustain. Energy Rev. 2019, 119, 109596. [Google Scholar] [CrossRef]
  27. Min, D.; Song, Z.; Chen, H.; Wang, T.; Zhang, T. Genetic algorithm optimized neural network based fuel cell hybrid electric vehicle energy management strategy under start-stop condition. Appl. Energy 2022, 306, 118036. [Google Scholar] [CrossRef]
  28. Munoz, P.M.; Correa, G.; Gaudiano, M.E.; Fernandez, D. Energy management control design for fuel cell hybrid electric vehicles using neural networks. Int. J. Hydrogen Energy 2017, 42, 28932–28944. [Google Scholar] [CrossRef]
  29. Lin, X.; Wang, Z.; Wu, J. Energy management strategy based on velocity prediction using back propagation neural network for a plug-in fuel cell electric vehicle. Int. J. Energy Res. 2021, 42, 2629–2643. [Google Scholar] [CrossRef]
  30. Song, K.; Li, F.; Hu, X.; He, L.; Niu, W.; Lu, S.; Zhang, T. Multi-mode energy management strategy for fuel cell electric vehicles based on driving pattern identification using learning vector quantization neural network algorithm. J. Power Sources 2018, 389, 230–239. [Google Scholar] [CrossRef]
  31. Ganesh, A.H.; Xu, B. A review of reinforcement learning based energy management systems for electrified powertrains: Progress, challenge, and potential solution. Renew. Sustain. Energy Rev. 2022, 154, 111833. [Google Scholar] [CrossRef]
  32. Venkatasatish, R.; Dhanamjayulu, C. Reinforcement learning based energy management systems and hydrogen refuelling stations for fuel cell electric vehicles: An overview. Int. J. Hydrogen Energy 2022, 47, 27646–27670. [Google Scholar] [CrossRef]
  33. Li, J.; Wang, H.; He, H.; Wei, Z.; Yang, Q.; Igic, P. Battery optimal sizing under a synergistic framework with DQN-based power managements for the fuel cell hybrid powertrain. IEEE Trans. Transp. Electr. 2021, 8, 36–47. [Google Scholar] [CrossRef]
  34. Ahmadi, S.; Bathaee, S.M.; Hosseinpour, A.H. Improving fuel economy and performance of a fuel-cell hybrid electric vehicle (fuel-cell, battery, and ultra-capacitor) using optimized energy management strategy. Energy Convers. Manag. 2018, 160, 74–84. [Google Scholar] [CrossRef]
  35. Luca, R.; Whiteley, M.; Neville, T.; Shearing, P.R.; Brett, D.J.L. Comparative study of energy management systems for a hybrid fuel cell electric vehicle—A novel mutative fuzzy logic controller to prolong fuel cell lifetime. Int. J. Hydrogen Energy 2022, 47, 24042–24058. [Google Scholar] [CrossRef]
  36. He, H.W.; Xiong, R.; Fan, J.X. Evaluation of Lithium-Ion Battery Equivalent Circuit Models for State of Charge Estimation by an Experimental Approach. Energies 2011, 4, 582–598. [Google Scholar] [CrossRef]
  37. Ragab, A.; Marei, M.I.; Mokhtar, M. Comprehensive Study of Fuel Cell Hybrid Electric Vehicles: Classification, Topologies, and Control System Comparisons. Appl. Sci. 2023, 13, 13057. [Google Scholar] [CrossRef]
Figure 1. Configuration of the fuel cell electrical bus (FCEB).
Figure 1. Configuration of the fuel cell electrical bus (FCEB).
Wevj 15 00092 g001
Figure 2. Efficiency curve of fuel cell system (FCS).
Figure 2. Efficiency curve of fuel cell system (FCS).
Wevj 15 00092 g002
Figure 3. Rint model of battery.
Figure 3. Rint model of battery.
Wevj 15 00092 g003
Figure 4. Characteristics of the battery: (a) charging; (b) discharging.
Figure 4. Characteristics of the battery: (a) charging; (b) discharging.
Wevj 15 00092 g004
Figure 5. Efficiency MAP of the motor: (a) driving; (b) braking.
Figure 5. Efficiency MAP of the motor: (a) driving; (b) braking.
Wevj 15 00092 g005
Figure 6. Membership function. (a) Motor power; (b) battery state-of-charge (SOC); (c) fuel cell system (FCS) power.
Figure 6. Membership function. (a) Motor power; (b) battery state-of-charge (SOC); (c) fuel cell system (FCS) power.
Wevj 15 00092 g006
Figure 7. Relationship between input and output power.
Figure 7. Relationship between input and output power.
Wevj 15 00092 g007
Figure 8. Results of speed following.
Figure 8. Results of speed following.
Wevj 15 00092 g008
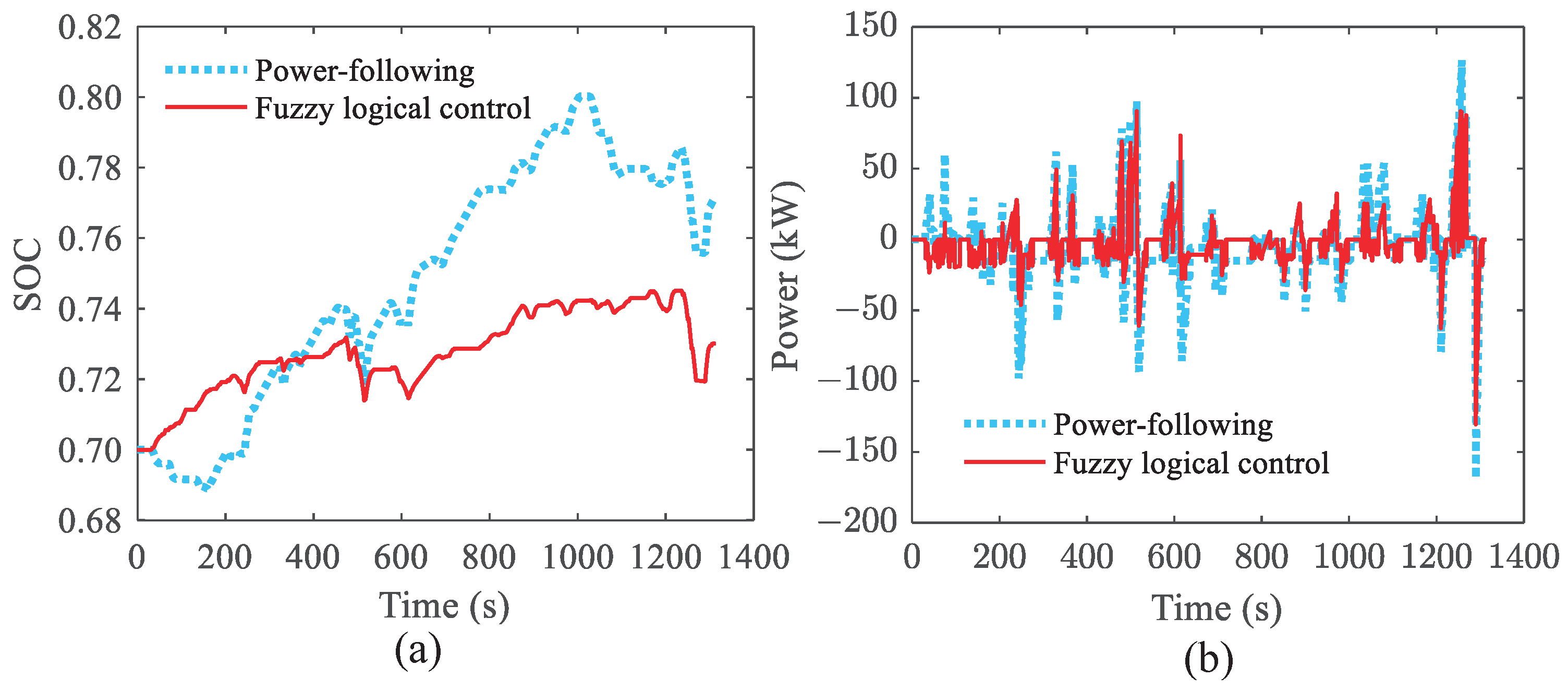
Figure 9. Battery state-of-charge (SOC) and power (SOC = 0.9). (a) SOC; (b) power.
Figure 9. Battery state-of-charge (SOC) and power (SOC = 0.9). (a) SOC; (b) power.
Wevj 15 00092 g009
Figure 10. Battery state-of-charge (SOC) and power (SOC = 0.7). (a) SOC; (b) power.
Figure 10. Battery state-of-charge (SOC) and power (SOC = 0.7). (a) SOC; (b) power.
Wevj 15 00092 g010
Figure 11. Battery state-of-charge (SOC) and power (SOC = 0.3). (a) SOC; (b) power.
Figure 11. Battery state-of-charge (SOC) and power (SOC = 0.3). (a) SOC; (b) power.
Wevj 15 00092 g011
Figure 12. Fuel cell system (FCS) power and efficiency (state-of-charge (SOC) = 0.9). (a) Power; (b) power-following’s efficiency; (c) fuzzy control’s efficiency.
Figure 12. Fuel cell system (FCS) power and efficiency (state-of-charge (SOC) = 0.9). (a) Power; (b) power-following’s efficiency; (c) fuzzy control’s efficiency.
Wevj 15 00092 g012
Figure 13. Fuel cell system (FCS) power and efficiency (state-of-charge (SOC) = 0.7). (a) Power; (b) power-following efficiency; (c) fuzzy control efficiency.
Figure 13. Fuel cell system (FCS) power and efficiency (state-of-charge (SOC) = 0.7). (a) Power; (b) power-following efficiency; (c) fuzzy control efficiency.
Wevj 15 00092 g013
Figure 14. Fuel cell system (FCS) power and efficiency (state-of-charge (SOC) = 0.3). (a) Power; (b) power-following efficiency; (c) fuzzy control efficiency.
Figure 14. Fuel cell system (FCS) power and efficiency (state-of-charge (SOC) = 0.3). (a) Power; (b) power-following efficiency; (c) fuzzy control efficiency.
Wevj 15 00092 g014
Figure 15. Influence factors of the fuel cell system (FCS) durability.
Figure 15. Influence factors of the fuel cell system (FCS) durability.
Wevj 15 00092 g015
Figure 16. The flowchart of the durability consideration strategy.
Figure 16. The flowchart of the durability consideration strategy.
Wevj 15 00092 g016
Figure 17. Power of the fuel cell system (FCS) (state-of-charge (SOC) = 0.9). (a) Output power; (b) change rate of the power.
Figure 17. Power of the fuel cell system (FCS) (state-of-charge (SOC) = 0.9). (a) Output power; (b) change rate of the power.
Wevj 15 00092 g017
Figure 18. Power of the fuel cell system (FCS) (state-of-charge (SOC) = 0.7). (a) Output power; (b) change rate of the power.
Figure 18. Power of the fuel cell system (FCS) (state-of-charge (SOC) = 0.7). (a) Output power; (b) change rate of the power.
Wevj 15 00092 g018
Figure 19. Power of the fuel cell system (FCS) (state-of-charge (SOC) = 0.3). (a) Output power; (b) change rate of the power.
Figure 19. Power of the fuel cell system (FCS) (state-of-charge (SOC) = 0.3). (a) Output power; (b) change rate of the power.
Wevj 15 00092 g019
Figure 20. Battery state-of-charge (SOC) and power (SOC = 0.9). (a) Battery SOC; (b) battery power.
Figure 20. Battery state-of-charge (SOC) and power (SOC = 0.9). (a) Battery SOC; (b) battery power.
Wevj 15 00092 g020
Figure 21. Battery state-of-charge (SOC) and power (SOC = 0.7). (a) Battery SOC; (b) battery power.
Figure 21. Battery state-of-charge (SOC) and power (SOC = 0.7). (a) Battery SOC; (b) battery power.
Wevj 15 00092 g021
Figure 22. Battery state-of-charge (SOC) and power (SOC = 0.3). (a) Battery SOC; (b) battery power.
Figure 22. Battery state-of-charge (SOC) and power (SOC = 0.3). (a) Battery SOC; (b) battery power.
Wevj 15 00092 g022
Figure 23. Hydrogen consumption.
Figure 23. Hydrogen consumption.
Wevj 15 00092 g023
Table 1. Main parameters of the fuel cell electrical bus (FCEB).
Table 1. Main parameters of the fuel cell electrical bus (FCEB).
ComponentsParametersValuesUnits
VehicleCurb mass9100kg
Gross mass13,500kg
Max. velocity69km/h
Acceleration time (0∼50 km/h)20s
MotorPeak power180kW
Peak speed2500r/min
Peak torque2000N·m
Power sourcePeak power of FCS100kW
Battery Capacity250A·h
Table 2. The detailed fuzzy control rules.
Table 2. The detailed fuzzy control rules.
P fcs P m
ZOSMPSMDBIPB
SOCLAVEAVEMEDMEDMEDMAX
MOFFAVEAVEHHMMEDMBH
HOFFOFFOFFAVEHHMMED
Table 3. The details of the China city bus driving cycle (CCBC).
Table 3. The details of the China city bus driving cycle (CCBC).
ParametersValuesParametersValues
During times (s)1314Max. acceleration (m/s2)0.91
Distance (km)5.8Mean acceleration (m/s2)0.32
Max. speed (km/h)60Max. deceleration (m/s2)−1.54
Mean speed (km/h)15.9Mean deceleration (m/s2)−0.47
Idle times (s)381Stop times14
Table 4. Acceleration performance.
Table 4. Acceleration performance.
SOC = 0.7ResultsSOC = 0.3Results
PerformancePerformance
Acc. time (s) @ 0∼50 km/h15.3Acc. time (s) @ 0∼50 km/h17.4
Acc. time (s) @ 50∼69 km/h9.8Acc. time (s) @ 50∼69 km/h20.7
Acc. time (s) @ 0∼69 km/h25.1Acc. time (s) @ 0∼69 km/h38.1
Max. speed (km/h)69.4Max. speed (km/h)69.5
Max. acceleration (m/s2)1.6Max. acceleration (m/s2)1.6
Table 5. Comparison of battery performance (state-of-charge (SOC) = 0.9).
Table 5. Comparison of battery performance (state-of-charge (SOC) = 0.9).
ItemsBattery SOCBattery Power (kW)
InitialTerminalPositive @ PeakNegative @ PeakMean
Power-following0.90.756144.31168.8917.75
Fuzzy control0.90.741108.87130.4214.66
Reduction00.01535.4438.473.09
Table 6. Comparison of battery performance (state-of-charge (SOC) = 0.7).
Table 6. Comparison of battery performance (state-of-charge (SOC) = 0.7).
ItemsBattery SOCBattery Power (kW)
InitialTerminalPositive @ PeakNegative @ PeakMean
Power-following0.70.772126.33168.8916.67
Fuzzy control0.70.730108.87130.4210.62
Reduction00.04235.4438.476.05
Table 7. Comparison of battery performance (state-of-charge (SOC) = 0.3).
Table 7. Comparison of battery performance (state-of-charge (SOC) = 0.3).
ItemsBattery SOCBattery Power (kW)
InitialTerminalPositive @ PeakNegative @ PeakMean
Power-following0.30.488125.21170.3817.82
Fuzzy control0.30.43891.29130.4211.34
Reduction00.0533.9239.966.48
Table 8. Power and efficiency of fuel cell system (FCS) (state-of-charge (SOC) = 0.9).
Table 8. Power and efficiency of fuel cell system (FCS) (state-of-charge (SOC) = 0.9).
ItemsFCS Power (kW)Distribution of Efficiency (%)
Peak PowerMean Power η fcs  @ Max. η fcs 50 %
Power-following67.877.7456.259.7
Fuzzy control72.346.6256.071.5
Increase4.47−1.12−0.211.8
Table 9. Power and efficiency of fuel cell system (FCS) (state-of-charge (SOC) = 0.7).
Table 9. Power and efficiency of fuel cell system (FCS) (state-of-charge (SOC) = 0.7).
ItemsFCS Power (kW)Distribution of Efficiency (%)
Peak PowerMean Power η fcs  @ Max. η fcs 50 %
Power-following68.3818.0659.583.5
Fuzzy control79.3715.8459.498.6
Increase11.09−2.22−0.115.1
Table 10. Power and efficiency of fuel cell system (FCS) (state-of-charge (SOC) = 0.3).
Table 10. Power and efficiency of fuel cell system (FCS) (state-of-charge (SOC) = 0.3).
ItemsFCS Power (kW)Distribution of Efficiency (%)
Peak PowerMean Power η fcs  @ Max. η fcs 50 %
Power-following69.8722.5259.576.1
Fuzzy control93.9220.3459.5100
Increase24.05−2.22023.9
Table 11. Comparison of the change rates for the fuel cell system’s (FCS’s) output power.
Table 11. Comparison of the change rates for the fuel cell system’s (FCS’s) output power.
ItemsChange Rate of the Power (kW)
SOC = 0.9SOC = 0.7SOC = 0.3
Max.Min.MeanMax.Min.MeanMax.Min.Mean
Fuzzy control21.98−52.491.1223.70−49.732.7532.5−52.53.60
Durability10−100.9610−102.2210−102.80
Reduction11.98−42.490.1613.7−39.730.5322.5−42.50.8
Table 12. Comparison of the battery state-of-charge (SOC) and output power.
Table 12. Comparison of the battery state-of-charge (SOC) and output power.
ItemsBattery SOCBattery Power (kW)
TerminalPositive @ PeakNegative @ Peak
SOC = 0.9SOC = 0.7SOC = 0.3SOC = 0.9SOC = 0.7SOC = 0.3SOC = 0.9SOC = 0.7SOC = 0.3
Fuzzy control0.7510.7300.430108.990.691.3−130.4−130.4−130.4
Durability0.7530.7330.443110.192.894.3−149.8−163.1−174.9
Increase0.0020.0030.0131.22.23.0−19.4−32.7−44.5
Table 13. Comparison of hydrogen consumption.
Table 13. Comparison of hydrogen consumption.
ItemsHydrogen Consumption (g)
SOC = 0.9SOC = 0.7SOC = 0.3
Power-following131.08292.90364.24
Fuzzy control118.32263.90330.02
Durability120.02270.38340.46
Improvements (%)Fuzzy control vs. Power-following9.739.909.39
Durability vs. Power-following8.437.696.53
Durability vs. Fuzzy control−1.44−2.46−3.16
Disclaimer/Publisher’s Note: The statements, opinions and data contained in all publications are solely those of the individual author(s) and contributor(s) and not of MDPI and/or the editor(s). MDPI and/or the editor(s) disclaim responsibility for any injury to people or property resulting from any ideas, methods, instructions or products referred to in the content.

Share and Cite

MDPI and ACS Style

Du, J.; Zhao, X.; Liu, X.; Liu, G.; Xiong, Y. A Fuzzy Logic Control-Based Approach for Real-Time Energy Management of the Fuel Cell Electrical Bus Considering the Durability of the Fuel Cell System. World Electr. Veh. J. 2024, 15, 92. https://doi.org/10.3390/wevj15030092

AMA Style

Du J, Zhao X, Liu X, Liu G, Xiong Y. A Fuzzy Logic Control-Based Approach for Real-Time Energy Management of the Fuel Cell Electrical Bus Considering the Durability of the Fuel Cell System. World Electric Vehicle Journal. 2024; 15(3):92. https://doi.org/10.3390/wevj15030092

Chicago/Turabian Style

Du, Juan, Xiaozhang Zhao, Xiaodong Liu, Gang Liu, and Yanfeng Xiong. 2024. "A Fuzzy Logic Control-Based Approach for Real-Time Energy Management of the Fuel Cell Electrical Bus Considering the Durability of the Fuel Cell System" World Electric Vehicle Journal 15, no. 3: 92. https://doi.org/10.3390/wevj15030092

APA Style

Du, J., Zhao, X., Liu, X., Liu, G., & Xiong, Y. (2024). A Fuzzy Logic Control-Based Approach for Real-Time Energy Management of the Fuel Cell Electrical Bus Considering the Durability of the Fuel Cell System. World Electric Vehicle Journal, 15(3), 92. https://doi.org/10.3390/wevj15030092

Article Metrics

Back to TopTop