Longitudinal Monitoring of Electric Vehicle Travel Trends Using Connected Vehicle Data
Abstract
1. Introduction
2. Literature Review
2.1. Existing Methods
2.2. Connected Vehicle Data Opportunities
3. Materials and Methods
3.1. Study Scope and Objective
3.2. Study Location
3.3. CV Data
3.4. CV Data Pre-Processing
4. Results
4.1. Statewide VMT Estimates
4.2. Interstate System VMT
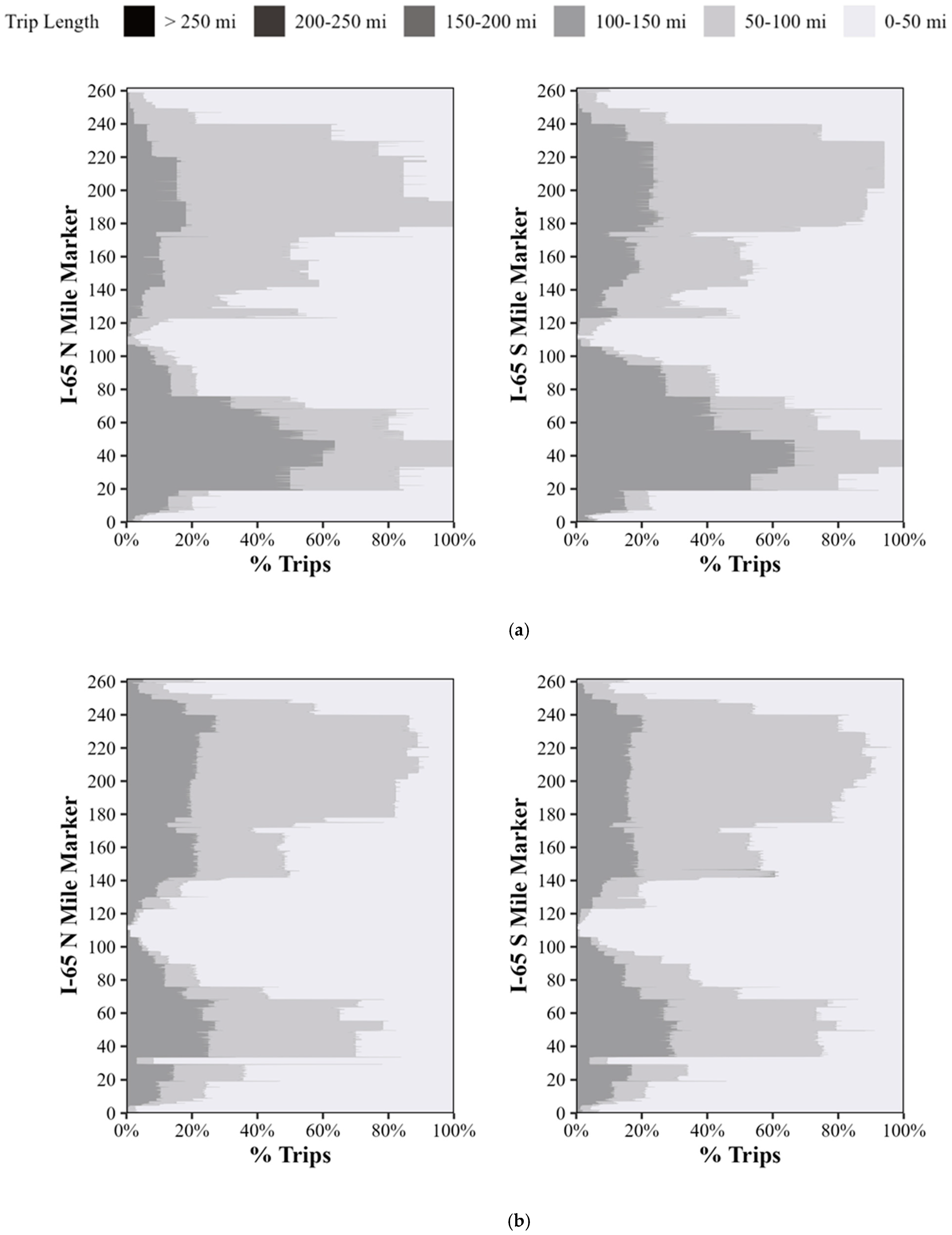
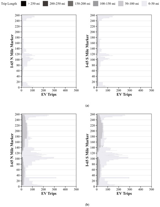
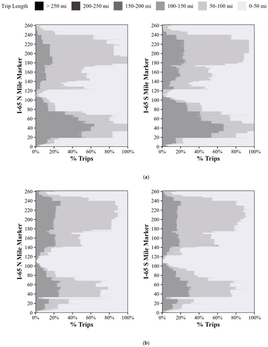
4.3. Interstate-System Trip Lengths
5. Conclusions
Author Contributions
Funding
Data Availability Statement
Acknowledgments
Conflicts of Interest
References
- Kumapley, R.K.; Fricker, J.D. Review of Methods for Estimating Vehicle Miles Traveled. Transp. Res. Rec. 1996, 1551, 59–66. [Google Scholar] [CrossRef]
- Alberini, A.; Teja Burra, L.; Cirillo, C.; Shen, C. Counting vehicle miles traveled: What can we learn from the NHTS? Transp. Res. Part D Transp. Environ. 2021, 98, 102984. [Google Scholar] [CrossRef]
- Williams, T.A.; Chigoy, B.; Borowiec, J.D.; Glover, B.; Texas A&M Transportation Institute. Methodologies Used to Estimate and Forecast Vehicle Miles Traveled (VMT): Final Report. PRC 15-40 F. July 2016. Available online: https://rosap.ntl.bts.gov/view/dot/32689 (accessed on 27 July 2024).
- Davis, L.W. How much are electric vehicles driven? Appl. Econ. Lett. 2019, 26, 1497–1502. [Google Scholar] [CrossRef]
- How Much Are Electric Vehicles Driven? Depends on the EV|MIT Climate Portal. Available online: https://climate.mit.edu/posts/how-much-are-electric-vehicles-driven-depends-ev (accessed on 11 September 2024).
- Rentziou, A.; Gkritza, K.; Souleyrette, R.R. VMT, energy consumption, and GHG emissions forecasting for passenger transportation. Transp. Res. Part A Policy Pract. 2012, 46, 487–500. [Google Scholar] [CrossRef]
- Puentes, R.; Tomer, A. The Road…Less Traveled: An Analysis of Vehicle Miles Traveled Trends in the U.S. December 2008. Available online: https://rosap.ntl.bts.gov/view/dot/18145 (accessed on 16 September 2024).
- Fricker, J.; Kumapley, R. Updating Procedures to Estimate and Forecast Vehicle-Miles Traveled; FHWA/IN/JTRP-2002/10; Purdue University: West Lafayette, IN, USA, 2002; p. 2468. [Google Scholar] [CrossRef]
- Liu, F.; Kaiser, R.G.; Zekkos, M.; Allison, C. Growth Forecasting of Vehicle Miles of Travel at County and Statewide Levels. Transp. Res. Rec. 2006, 1957, 56–65. [Google Scholar] [CrossRef]
- Szekeres, D.; Koppula, N.; Frazier, J. VMT Forecasting Alternatives for Air Quality Analysis. In Transportation Land Use, Planning, and Air Quality; American Society of Civil Engineers: Reston, VA, USA, 2012; pp. 110–117. [Google Scholar] [CrossRef]
- Bhat, C.R.; Nair, H.S. VMT-Mix Modeling for Mobile Source Emissions Forecasting: Formulation and Empirical Application. Transp. Res. Rec. 2000, 1738, 39–48. [Google Scholar] [CrossRef]
- Fan, J.; Fu, C.; Stewart, K.; Zhang, L. Using big GPS trajectory data analytics for vehicle miles traveled estimation. Transp. Res. Part C Emerg. Technol. 2019, 103, 298–307. [Google Scholar] [CrossRef]
- Desai, J.; Mathew, J.K.; Li, H.; Sakhare, R.S.; Horton, D.; Bullock, D.M. Analysis of Connected Vehicle Data to Quantify National Mobility Impacts of Winter Storms for Decision Makers and Media Reports. Future Transp. 2023, 3, 1292–1309. [Google Scholar] [CrossRef]
- Concas, S.; Kourtellis, A.; Kummetha, V.; Kamrani, M.; Rabbani, M.; Dokur, O. Longitudinal Study of the COVID-19 Pandemic Impact on Activity Travel Using Connected Vehicle Data. Transp. Res. Rec. 2022. [Google Scholar] [CrossRef]
- Wang, D.; Gao, J.; Li, P.; Wang, B.; Zhang, C.; Saxena, S. Modeling of plug-in electric vehicle travel patterns and charging load based on trip chain generation. J. Power Sources 2017, 359, 468–479. [Google Scholar] [CrossRef]
- Tamor, M.A.; Moraal, P.E.; Reprogle, B.; Milačić, M. Rapid estimation of electric vehicle acceptance using a general description of driving patterns. Transp. Res. Part C Emerg. Technol. 2015, 51, 136–148. [Google Scholar] [CrossRef]
- Jedwanna, K.; Boonsiripant, S. Evaluation of Bluetooth Detectors in Travel Time Estimation. Sustainability 2022, 14, 4591. [Google Scholar] [CrossRef]
- Saldivar-Carranza, E.D.; Li, H.; Mathew, J.K.; Desai, J.; Platte, T.; Gayen, S.; Sturdevant, J.; Taylor, M.; Fisher, C.; Bullock, D.M. Next Generation Traffic Signal Performance Measures: Leveraging Connected Vehicle Data; Purdue University Press: West Lafayette, IN, USA, 2023. [Google Scholar] [CrossRef]
- Mathew, J.K.; Desai, J.C.; Sakhare, R.S.; Kim, W.; Li, H.; Bullock, D.M. Big Data Applications for Managing Roadways. Inst. Transp. Eng. ITE J. 2021, 91, 28–35. [Google Scholar]
- Desai, J.; Mathew, J.K.; Li, H.; Bullock, D.M. Using Connected Vehicle Data for Assessing Electric Vehicle Charging Infrastructure Usage and Investment Opportunities. Inst. Transp. Eng. ITE J. 2022, 92, 22–31. [Google Scholar]
- Chu, Y.; Cui, H. Annual Update on the Global Transition to Electric Vehicles: 2022; International Council on Clean Transportation: San Francisco, CA, USA, 2023; Available online: https://theicct.org/publication/global-transition-electric-vehicles-update-jun23/ (accessed on 27 July 2024).
- Slowik, P.; Lutsey, N. The Continued Transition to Electric Vehicles in U.S. Cities; International Council on Clean Transportation: San Francisco, CA, USA, 2018; Available online: https://theicct.org/publication/the-continued-transition-to-electric-vehicles-in-u-s-cities/ (accessed on 18 September 2024).
- Brown, A.; Cappellucci, J.; Heinrich, A.; Cost, E. Electric Vehicle Charging Infrastructure Trends from the Alternative Fueling Station Locator: Fourth Quarter 2023; NREL/TP-5400-89108; National Renewable Energy Laboratory (NREL): Golden, CO, USA, 2024. [CrossRef]
- Borlaug, B.; Yang, F.; Pritchard, E.; Wood, E.; Gonder, J. Public electric vehicle charging station utilization in the United States. Transp. Res. Part D Transp. Environ. 2023, 114, 103564. [Google Scholar] [CrossRef]
- Gellrich, M.; Block, A.; Leikert-Böhm, N. Spatial and temporal patterns of electric vehicle charging station utilization: A nationwide case study of Switzerland. Environ. Res. Infrastruct. Sustain. 2022, 2, 021003. [Google Scholar] [CrossRef]
- Hecht, C.; Figgener, J.; Sauer, D.U. Analysis of electric vehicle charging station usage and profitability in Germany based on empirical data. iScience 2022, 25, 105634. [Google Scholar] [CrossRef]
- Desai, J.; Mathew, J.K.; Mahlberg, J.A.; Li, H.; Bullock, D.M. Using Connected Vehicle Data to Evaluate National Trip Trends. Appl. Sci. 2023, 13, 10228. [Google Scholar] [CrossRef]
- Desai, J.; Mathew, J.K.; Li, H.; Bullock, D.M. Leveraging Connected Vehicle Data to Assess Interstate Exit Utilization and Identify Charging Infrastructure Investment Allocation Opportunities. World Electr. Veh. J. 2022, 13, 167. [Google Scholar] [CrossRef]
- Trends in Electric Cars–Global EV Outlook 2024–Analysis. Available online: https://www.iea.org/reports/global-ev-outlook-2024/trends-in-electric-cars (accessed on 11 September 2024).
- Alanazi, F. Electric Vehicles: Benefits, Challenges, and Potential Solutions for Widespread Adaptation. Appl. Sci. 2023, 13, 6016. [Google Scholar] [CrossRef]
- Singh, P.P.; Wen, F.; Palu, I.; Sachan, S.; Deb, S. Electric Vehicles Charging Infrastructure Demand and Deployment: Challenges and Solutions. Energies 2023, 16, 7. [Google Scholar] [CrossRef]
- Holland, S.P.; Mansur, E.T.; Muller, N.Z.; Yates, A.J. Are There Environmental Benefits from Driving Electric Vehicles? The Importance of Local Factors. Am. Econ. Rev. 2016, 106, 3700–3729. [Google Scholar] [CrossRef]
- Li, C.; Cao, Y.; Zhang, M.; Wang, J.; Liu, J.; Shi, H.; Geng, Y. Hidden Benefits of Electric Vehicles for Addressing Climate Change. Sci. Rep. 2015, 5, 9213. [Google Scholar] [CrossRef] [PubMed]
- Buekers, J.; Van Holderbeke, M.; Bierkens, J.; Int Panis, L. Health and environmental benefits related to electric vehicle introduction in EU countries. Transp. Res. Part D Transp. Environ. 2014, 33, 26–38. [Google Scholar] [CrossRef]
- Bauer, G.; Hsu, C.W.; Lutsey, N. When Might Lower-Income Drivers Benefit from Electric Vehicles? Quantifying the Economic Equity Implications of Electric Vehicle Adoption; International Council on Clean Transportation: San Francisco, CA, USA, 2021; Available online: https://theicct.org/publication/when-might-lower-income-drivers-benefit-from-electric-vehicles-quantifying-the-economic-equity-implications-of-electric-vehicle-adoption/ (accessed on 18 September 2024).
- Patil, H.; Kalkhambkar, V.N. Grid Integration of Electric Vehicles for Economic Benefits: A Review. J. Mod. Power Syst. Clean Energy 2021, 9, 13–26. [Google Scholar] [CrossRef]
- Kene, R.; Olwal, T.; van Wyk, B.J. Sustainable Electric Vehicle Transportation. Sustainability 2021, 13, 12379. [Google Scholar] [CrossRef]
- Adnan, N.; Nordin, S.M.; Rahman, I.; Vasant, P.; Noor, M.A. An Overview of Electric Vehicle Technology: A Vision Towards Sustainable Transportation. In Intelligent Transportation and Planning: Breakthroughs in Research and Practice; IGI Global: Hershey, PA, USA, 2018; pp. 292–309. ISBN 978-1-5225-5210-9. [Google Scholar]
- Sakhare, R.S.; Hunter, M.; Mukai, J.; Li, H.; Bullock, D.M. Truck and Passenger Car Connected Vehicle Penetration on Indiana Roadways. J. Transp. Technol. 2022, 12, 578–599. [Google Scholar] [CrossRef]
- Hunter, M.; Mathew, J.K.; Li, H.; Bullock, D.M. Estimation of Connected Vehicle Penetration on US Roads in Indiana, Ohio, and Pennsylvania. JTTs 2021, 11, 597–610. [Google Scholar] [CrossRef]
- Desai, J.; Mathew, J.K.; Li, H.; Bullock, D.M. Analysis of Electric and Hybrid Vehicle Usage in Proximity to Charging Infrastructure in Indiana. J. Transp. Technol. 2021, 11, 577–596. [Google Scholar] [CrossRef]
- Changes on All Estimated Roads by Region and State-April 2023-Policy|Federal Highway Administration. Available online: https://www.fhwa.dot.gov/policyinformation/travel_monitoring/23aprtvt/page6.cfm (accessed on 27 July 2024).
- OED. Indiana Vehicle Fuel Dashboard. OED. Available online: https://www.in.gov/oed/resources-and-information-center/vehicle-fuel-dashboard/ (accessed on 26 March 2024).
- FOTW #1266: November 28, 2022: Light-Duty Plug-In Electric Vehicles in the United States Traveled 19 Billion Miles on Electricity in 2021. Available online: https://www.energy.gov/eere/vehicles/articles/fotw-1266-november-28-2022-light-duty-plug-electric-vehicles-united-states (accessed on 12 November 2024).
- Gohlke, D.; Zhou, Y.; Wu, X.; Courtney, C. Assessment of Light-Duty Plug-in Electric Vehicles in the United States, 2010–2021; ANL-22/71; Argonne National Lab. (ANL): Argonne, IL, USA, 2022. [CrossRef]
- FOTW #1285, 10 April 2023: Vehicle Miles Traveled in 2021 and 2022 Followed a Similar Monthly Pattern as the Years Preceding the Pandemic. Available online: https://www.energy.gov/eere/vehicles/articles/fotw-1285-april-10-2023-vehicle-miles-traveled-2021-and-2022-followed (accessed on 12 November 2024).
- Federal Highway Administration Office of Highway Policy Information. Available online: https://www.fhwa.dot.gov/policyinformation/pubs/hf/pl11028/chapter7.cfm (accessed on 30 July 2024).
- Alternative Fuels Data Center: Alternative Fueling Station Locator. Available online: https://afdc.energy.gov/stations/ (accessed on 26 March 2024).
- INDOT Electric Vehicle Charging Infrastructure Network. Available online: https://www.in.gov/indot/current-programs/innovative-programs/electric-vehicle-charging-infrastructure-network/ (accessed on 27 July 2024).
- FHWA Releases Updated NEVI Formula Program Guidance and Requests AFC Round 7 Nominations · Joint Office of Energy and Transportation. Available online: https://driveelectric.gov/news/corridors-nevi-news (accessed on 27 July 2024).







| County | EVMT 2022 | EVMT 2023 | % Change | ICEVMT 2022 | ICEVMT 2023 | % Change |
|---|---|---|---|---|---|---|
| Marion | 49,159 | 115,660 | +135 | 31,313,344 | 30,997,404 | −1 |
| Lake | 22,404 | 72,420 | +223 | 18,805,790 | 18,963,582 | +1 |
| Allen | 12,025 | 43,129 | +259 | 11,999,261 | 12,112,747 | +1 |
| Hamilton | 23,167 | 51,364 | +122 | 11,680,808 | 11,947,069 | +2 |
| Porter | 12,565 | 26,834 | +114 | 7,004,869 | 7,096,515 | +1 |
| Madison | 6,594 | 14,270 | +116 | 6,459,625 | 6,505,215 | +1 |
| Hendricks | 11,448 | 24,007 | +110 | 6,238,740 | 6,344,923 | +2 |
| Johnson | 4689 | 19,734 | +321 | 5,819,283 | 5,947,739 | +2 |
| St. Joseph | 14,229 | 23,758 | +67 | 5,367,974 | 5,544,017 | +3 |
| Tippecanoe | 10,170 | 23,550 | +132 | 5,199,964 | 5,363,598 | +3 |
| Route | April 2022 | April 2023 | ||
|---|---|---|---|---|
| EV Trips ≥ 50 Miles | Total EV Trips | EV Trips ≥ 50 Miles | Total EV Trips | |
| I-64 E | 0 (0.0%) | 168 | 7 (1.4%) | 510 |
| I-64 W | 0 (0.0%) | 185 | 12 (2.4%) | 505 |
| I-65 N | 34 (4.2%) | 809 | 88 (3.7%) | 2350 |
| I-65 S | 42 (4.9%) | 851 | 101 (4.1%) | 2445 |
| I-69 N | 14 (2.2%) | 627 | 58 (2.9%) | 2017 |
| I-69 S | 13 (2.1%) | 628 | 44 (2.1%) | 2071 |
| I-70 E | 38 (10.4%) | 365 | 72 (7.8%) | 925 |
| I-70 W | 47 (12.7%) | 371 | 64 (7.1%) | 905 |
| I-74 E | 7 (1.2%) | 562 | 25 (1.9%) | 1340 |
| I-74 W | 4 (0.9%) | 454 | 26 (2.1%) | 1230 |
| I-90 E | 16 (17.6%) | 91 | 24 (10.8%) | 223 |
| I-90 W | 14 (17.7%) | 79 | 21 (8.9%) | 236 |
| Total | 229 (4.4%) | 5190 | 542 (3.7%) | 14,757 |
| Route | April 2022 | April 2023 | ||
|---|---|---|---|---|
| Mean Trip Length | Median Trip Length | Mean Trip Length | Median Trip Length | |
| I-64 E | - | - | 93.1 (+) | 96.6 (+) |
| I-64 W | - | - | 79.0 (+) | 69.3 (+) |
| I-65 N | 81.2 | 81.2 | 87.4 (+6.2) | 86.7 (+5.5) |
| I-65 S | 82.8 | 86.8 | 85.3 (+2.6) | 87.1 (+0.3) |
| I-69 N | 73.0 | 65.3 | 80.1 (+7.1) | 81.8 (+16.5) |
| I-69 S | 75.0 | 72.4 | 85.2 (+10.2) | 93.0 (+20.6) |
| I-70 E | 60.6 | 60.2 | 65.8 (+5.2) | 61.3 (+1.1) |
| I-70 W | 60.7 | 60.2 | 65.0 (+4.3) | 61.1 (+0.9) |
| I-74 E | 70.9 | 61.0 | 74.3 (+3.4) | 77.8 (+16.8) |
| I-74 W | 73.6 | 69.6 | 72.2 (−1.4) | 73.0 (+3.4) |
| I-90 E | 62.5 | 61.9 | 67.1 (+4.6) | 58.8 (−3.1) |
| I-90 W | 62.2 | 61.3 | 62.6 (+0.4) | 61.7 (+0.4) |
| Overall | 70.1 | 61.4 | 77.2 (+7.1) | 72.9 (+11.5) |
Disclaimer/Publisher’s Note: The statements, opinions and data contained in all publications are solely those of the individual author(s) and contributor(s) and not of MDPI and/or the editor(s). MDPI and/or the editor(s) disclaim responsibility for any injury to people or property resulting from any ideas, methods, instructions or products referred to in the content. |
© 2024 by the authors. Published by MDPI on behalf of the World Electric Vehicle Association. Licensee MDPI, Basel, Switzerland. This article is an open access article distributed under the terms and conditions of the Creative Commons Attribution (CC BY) license (https://creativecommons.org/licenses/by/4.0/).
Share and Cite
Desai, J.; Mathew, J.K.; Sturdevant, N.J.; Bullock, D.M. Longitudinal Monitoring of Electric Vehicle Travel Trends Using Connected Vehicle Data. World Electr. Veh. J. 2024, 15, 560. https://doi.org/10.3390/wevj15120560
Desai J, Mathew JK, Sturdevant NJ, Bullock DM. Longitudinal Monitoring of Electric Vehicle Travel Trends Using Connected Vehicle Data. World Electric Vehicle Journal. 2024; 15(12):560. https://doi.org/10.3390/wevj15120560
Chicago/Turabian StyleDesai, Jairaj, Jijo K. Mathew, Nathaniel J. Sturdevant, and Darcy M. Bullock. 2024. "Longitudinal Monitoring of Electric Vehicle Travel Trends Using Connected Vehicle Data" World Electric Vehicle Journal 15, no. 12: 560. https://doi.org/10.3390/wevj15120560
APA StyleDesai, J., Mathew, J. K., Sturdevant, N. J., & Bullock, D. M. (2024). Longitudinal Monitoring of Electric Vehicle Travel Trends Using Connected Vehicle Data. World Electric Vehicle Journal, 15(12), 560. https://doi.org/10.3390/wevj15120560

