FPGA-Based High-Frequency Voltage Injection Sensorless Control with Novel Rotor Position Estimation Extraction for Permanent Magnet Synchronous Motor
Abstract
1. Introduction
- Implementation of a new strategy for extracting rotor position information using compensated signal modulation in sensorless PMSM by an HF injection scheme.
- Implementation of a differential equation with a digital filter to obtain smooth motor speed estimation in sensorless control systems.
- Enhancement of rotor position accuracy and reduced motor speed ripple in sensorless PMSM control applications, facilitating the development of correct motor control designs.
- Realization of hardware implementation for sensorless PMSM control using a fast-processing system by FPGA.
2. Analysis of Proposed Sensorless PMSM Control in HF Injection Scheme
2.1. Mathematical Model for HF Injection Sensorless PMSM
2.2. Proposed Extraction of Rotor Position Estimation in HF Injection Scheme
3. FPGA-Based System Implementation
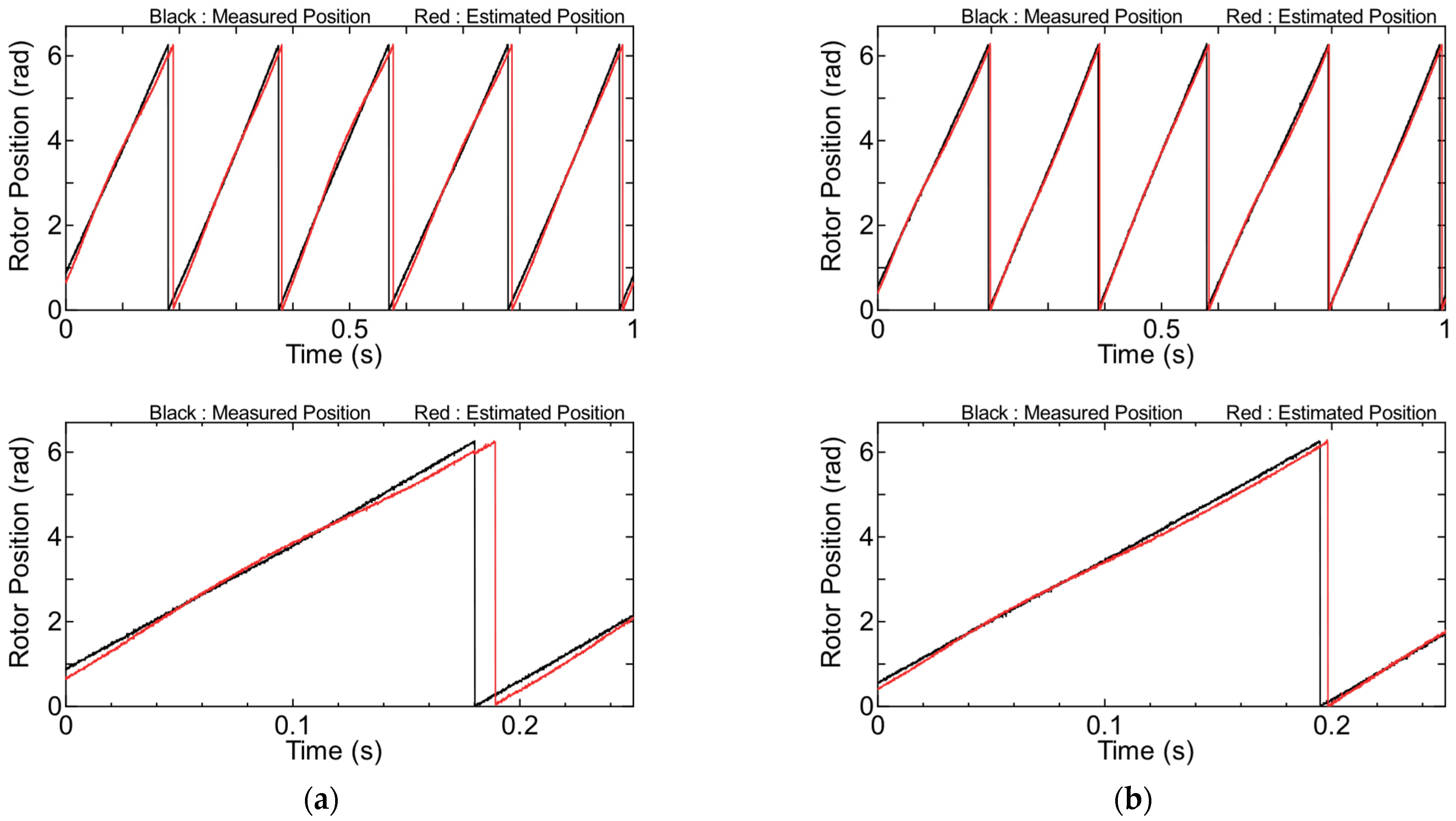
4. Experimental Results
5. Conclusions
Author Contributions
Funding
Data Availability Statement
Conflicts of Interest
References
- Chin, J.W.; Cha, K.S.; Park, M.R.; Park, S.H.; Lee, E.C.; Lim, M.S. High Efficiency PMSM With High Slot Fill Factor Coil for Heavy-Duty EV Traction Considering AC Resistance. IEEE Trans. Energy Convers. 2021, 36, 883–894. [Google Scholar] [CrossRef]
- Li, Y.; Hu, H.; Shi, P. A Review of Position Sensorless Compound Control for PMSM Drives. World Electr. Veh. J. 2023, 14, 34. [Google Scholar] [CrossRef]
- Liu, C.; Chau, K.T.; Lee, C.H.; Song, Z. A Critical Review of Advanced Electric Machines and Control Strategies for Electric Vehicles. J. Proc. IEEE 2021, 109, 1004–1028. [Google Scholar] [CrossRef]
- Wang, S.; Wang, H.; Tang, C.; Li, J.; Liang, D.; Qu, Y. Research on Control Strategy of Permanent Magnet Synchronous Motor Based on Fast Terminal Super-Twisting Sliding Mode Observer. IEEE Access 2024, 12, 141905–141915. [Google Scholar] [CrossRef]
- Wu, L.; Lyu, Z.; Chen, Z.; Liu, J.; Lu, Y. An Enhanced Sensorless Control Scheme for PMSM Drives Considering Self-inductance Asymmetry. CES Trans. Electr. Mach. Syst. 2022, 6, 384–392. [Google Scholar] [CrossRef]
- Ding, H.; Zou, X.; Li, J. Sensorless Control Strategy of Permanent Magnet Synchronous Motor Based on Fuzzy Sliding Mode Observer. IEEE Access 2022, 10, 36743–36752. [Google Scholar] [CrossRef]
- Zhang, C.; Tang, X.; Xing, K.; Zhou, H. Sensorless Control of Permanent Magnet Synchronous Motors Based on Novel Position Angle Extraction With SMO. IEEE Access 2024, 12, 107008–107016. [Google Scholar] [CrossRef]
- Liang, J.; Wu, J.; Wang, Y.; Zhong, Z.; Bai, X. Sensorless Control for a Permanent Magnet Synchronous Motor Based on a Sliding Mode Observer. Eng 2024, 5, 1737–1751. [Google Scholar] [CrossRef]
- Cao, F.; An, Q.; Zhang, J.; Zhao, M.; Li, S. Variable Weighting Coefficient of EMF-Based Enhanced Sliding Mode Observer for Sensorless PMSM Drives. Energies 2022, 15, 6001. [Google Scholar] [CrossRef]
- Yu, L.; Wang, D. A Hybrid Filtering Stage-Based Rotor Position Estimation Method of PMSM with Adaptive Parameter. Sensors 2021, 21, 4667. [Google Scholar] [CrossRef]
- Scicluna, K.; Staines, C.S.; Raute, R. High frequency injection-based sensorless position estimation in permanent magnet synchronous machines. Math. Comput. Simul. 2021, 184, 137–152. [Google Scholar] [CrossRef]
- Zhao, X.; Wang, C.; Duan, W.; Jiang, J. Research on sensorless control system of low speed and high power PMSM based on improved high frequency signal injection. Energy Rep. 2021, 7, 499–504. [Google Scholar] [CrossRef]
- Wu, X.; Huang, S.; Liu, P.; Wu, T.; He, Y.; Zhang, X.; Chen, K.; Wu, Q. A reliable initial rotor position estimation method for sensorless control of interior permanent magnet synchronous motors. ISA Trans. 2020, 97, 116–129. [Google Scholar] [CrossRef] [PubMed]
- Wang, G.; Valla, M.; Solsona, J. Position Sensorless Permanent Magnet Synchronous Machine Drives—A Review. IEEE Trans. Ind. Electron 2020, 67, 5830–5842. [Google Scholar] [CrossRef]
- Wu, T.; Luo, D.; Wu, X.; Huang, S.; Peng, X. Square-Wave Voltage Injection Based PMSM Sensorless Control Considering Time Delay at Low Switching Frequency. IEEE Trans. Ind. Electron. 2022, 69, 5525–5535. [Google Scholar] [CrossRef]
- Benevieri, A.; Formentini, A.; Marchesoni, M.; Passalacqua, M.; Vaccaro, L. Sensorless Control With Switching Frequency Square Wave Voltage Injection for SPMSM With Low Rotor Magnetic Anisotropy. IEEE Trans. Power Electron. 2023, 38, 10060–10072. [Google Scholar] [CrossRef]
- IIiodix, V.C. Sensorless Control of Permanent Magnet Synchronous Machine with Magnetic Saliency Tracking Based on Voltage Signal Injection. Machines 2020, 8, 14. [Google Scholar] [CrossRef]
- Li, X.; Yan, Y.; Xu, Y.; Chen, W.; Shi, T. Low-Speed Rotating Restart and Speed Recording for Free-Running Sensorless IPMSM Based on Ultrahigh Frequency Sinusoidal Wave Injection. IEEE Trans. Power Electron. 2022, 37, 15245–15259. [Google Scholar] [CrossRef]
- Lu, Q.; Wanf, Y.; Mo, L.; Zhang, T. Pulsating High Frequency Voltage Injection Strategy for Sensorless Permanent Magnet Synchronous Motor Drives. IEEE Trans. Appl. Supercond. 2021, 31, 5204204. [Google Scholar] [CrossRef]
- Mao, Y.; Du, Y.; He, Z.; Quan, L.; Zhu, X.; Zhang, L.; Zuo, Y. Dual Quasi-Resonant Controller Position Observer Based on High Frequency Pulse Voltage Injection Method. IEEE Access 2020, 8, 213266–213276. [Google Scholar] [CrossRef]
- Cui, W.; Zhang, S.; Feng, Y. Improved sensorless control scheme for PMSM based on high-frequency square-wave voltage injection considering non-linear change of inductance in D-Q axis. AIP Adv. 2021, 11, 015121. [Google Scholar] [CrossRef]
- Shuang, B.; Zhu, Z.Q.; Wu, X. Improved Cross-coupling Effect Compensation Method for Sensorless Control of IPMSM With High Frequency Voltage Injection. IEEE Trans. Energy Convers. 2022, 37, 347–358. [Google Scholar] [CrossRef]
- Wang, Z.; Guo, Q.; Xiao, J.; Liang, T.; Lin, Z.; Chen, W. High-Frequency Square Wave Injection Sensorless Control Method of IPMSM Based on Oversampling Scheme. World Electr. Veh. J. 2022, 13, 217. [Google Scholar] [CrossRef]
- Moon, K.R.; Lee, D.M. Analysis of Rotor Position Detection Performance According to the Frequency of Square Waveform Voltage in the Harmonic Injection Sensorless Method through HILS. Processes 2021, 9, 2267. [Google Scholar] [CrossRef]
- Walden, J.; Bai, H.K.; Cheng, B.; Jin, F. High Frequency Injection Sensorless Control for a Permanent Magnet Synchronous Machine Driven by an FPGA Controlled SiC Inverter. In Proceedings of the 2021 IEEE 8th Workshop on Wide Bandgap Power Devices and Applications (WiPDA), Redondo Beach, CA, USA, 7–11 November 2021; pp. 194–198. [Google Scholar] [CrossRef]












| Feature | Specification |
|---|---|
| Product Variant | Arty Z7-20 Zynq-7000 SoC Development Board |
| Zynq Processor | 650 MHz dual-core Cortex-A9 Processor |
| Memory | DDR3 memory controller with 8 DMA channels |
| Zynq Part | XC7Z020-1CLG-400 |
| Look-up Tables (LUTs) | 53.200 |
| Flip-Flops | 106.400 |
| Block RAM | 630 KB |
| Digital Signal Processing (DSP) Slices | 220 |
| Clock Management Tiles | 4 |
| Parameter | Value |
|---|---|
| Rated Power (W) | 400 |
| Rated Voltage (V) | 163 |
| Rated Current (A) | 1.7 |
| Frequency (Hz) | 87.5 |
| Rated Speed (min−1) | 1750 |
| Poles | 6 |
| Motor Resistance (Ω) | 2.247 |
| d-Axis Inductance (mH) | 22.32 |
| q-Axis Inductance (mH) | 32.50 |
| Parameter | Sensored | Proposed Sensorless |
|---|---|---|
| Rise Time (s) | 0.08 | 0.07 |
| Settling Time (s) | 0.13 | 0.15 |
| Overshoot (%) | <3 | <5 |
| Undershoot (%) | none | none |
Disclaimer/Publisher’s Note: The statements, opinions and data contained in all publications are solely those of the individual author(s) and contributor(s) and not of MDPI and/or the editor(s). MDPI and/or the editor(s) disclaim responsibility for any injury to people or property resulting from any ideas, methods, instructions or products referred to in the content. |
© 2024 by the authors. Published by MDPI on behalf of the World Electric Vehicle Association. Licensee MDPI, Basel, Switzerland. This article is an open access article distributed under the terms and conditions of the Creative Commons Attribution (CC BY) license (https://creativecommons.org/licenses/by/4.0/).
Share and Cite
Ferdiansyah, I.; Hanamoto, T. FPGA-Based High-Frequency Voltage Injection Sensorless Control with Novel Rotor Position Estimation Extraction for Permanent Magnet Synchronous Motor. World Electr. Veh. J. 2024, 15, 506. https://doi.org/10.3390/wevj15110506
Ferdiansyah I, Hanamoto T. FPGA-Based High-Frequency Voltage Injection Sensorless Control with Novel Rotor Position Estimation Extraction for Permanent Magnet Synchronous Motor. World Electric Vehicle Journal. 2024; 15(11):506. https://doi.org/10.3390/wevj15110506
Chicago/Turabian StyleFerdiansyah, Indra, and Tsuyoshi Hanamoto. 2024. "FPGA-Based High-Frequency Voltage Injection Sensorless Control with Novel Rotor Position Estimation Extraction for Permanent Magnet Synchronous Motor" World Electric Vehicle Journal 15, no. 11: 506. https://doi.org/10.3390/wevj15110506
APA StyleFerdiansyah, I., & Hanamoto, T. (2024). FPGA-Based High-Frequency Voltage Injection Sensorless Control with Novel Rotor Position Estimation Extraction for Permanent Magnet Synchronous Motor. World Electric Vehicle Journal, 15(11), 506. https://doi.org/10.3390/wevj15110506

