Abstract
Artificial neural networks (ANNs) are artificial intelligence techniques that have made autonomous driving more efficient and accurate; however, autonomous driving faces ongoing challenges in the accuracy of decision making based on the analysis of the vehicle environment. A critical task of ANNs is steering angle prediction, which is essential for safe and effective navigation of mobile robots and autonomous vehicles. In this study, to optimize steering angle prediction, NVIDIA’s architecture was adapted and modified along with the implementation of the Swish activation function to train convolutional neural networks (CNNs) by behavioral cloning. The CNN used human driving data obtained from the UDACITY beta simulator and tests in real scenarios, achieving a significant improvement in the loss function during training, indicating a higher efficiency in replicating human driving behavior. The proposed neural network was validated through implementation on a differential drive mobile robot prototype, by means of a comparative analysis of trajectories in autonomous and manual driving modes. This work not only advances the accuracy of steering angle predictions but also provides valuable information for future research and applications in mobile robotics and autonomous driving. The performance results of the model trained with the proposed CNN show improved accuracy in various operational contexts.
1. Introduction
The development of autonomous driving systems represents a significant technological advance with the potential to transform urban mobility and improve road safety. One of the most critical tasks in vehicular automation is the accurate prediction of steering angles, a technical challenge that lies at the heart of the autonomous driving process. This capability allows an autonomous vehicle to adjust its trajectory accurately and safely in real time [1]. According to the Society of Automotive Engineers (SAE), which defines various levels of autonomy from driver assistance to fully autonomous operation, the ability to navigate independently is crucial [2].
The predominant method to address this task is through the use of convolutional neural networks (CNNs), which learn to predict steering angles by observing human driving data under various traffic conditions [3]. Since their invention in the 1980s, CNNs have undergone significant evolution in their structure and application in various fields, such as image processing and pattern recognition [4]. Advances in the structure of CNNs, such as the introduction of the clustering layer and the deep convolutional neural network (DCNN), have led to substantial improvements in their ability to recognize complex patterns [5,6].
An effective technique that has been applied is behavioral cloning (BC), which reproduces the driving patterns of human drivers for use in autonomous systems [7,8]. This technique has proven effective in improving accuracy in complex traffic situations. Autonomous systems using behavioral cloning offer advantages such as increased efficiency, improved safety and user experience, as well as reduced development costs [9,10,11]. To address the issue of autonomous driving, particularly in relation to predicting the steering angle of a vehicle or mobile robot, artificial intelligence techniques such as deep learning using convolutional neural networks and behavioral cloning are employed. End-to-end deep neural network architectures require large volumes of data for models to converge correctly. Given the complexity of performing real-world testing, autonomous driving simulators have become one of the most widely used alternatives [12,13,14]. The use of photorealistic simulations and the proper design of driving scenarios become of fundamental importance in the construction of safe and reliable autonomous vehicles [15,16,17].
In this work, a model based on the architecture of convolutional neural networks (CNNs) and behavioral cloning techniques is proposed, adapting the end-to-end approach developed by NVIDIA to predict steering angles in autonomous vehicles and differential drive robots. Although more recent methods such as Generative Adversarial Imitation Learning (GAIL), Physics-Informed Machine Learning (PIML), and diffusion models for autonomous vehicle control have been developed, in this paper, we choose to use behavioral cloning for several fundamental reasons. First, behavioral cloning is a straightforward and effective technique for mapping observations to actions, leveraging supervised human driving data without the need to explicitly model the dynamics of the environment or define complex reward functions that require methods such as GAIL [17,18]. Second, the inherent simplicity of behavioral cloning allows for a more computationally and training-time efficient implementation, which is beneficial when limited resources are available [9,18]. On the other hand, although PIML integrates physical knowledge into learning models, this approach may not be essential in applications where the priority is adaptation and generalization from empirical driving data. Diffusion models, while promising in data generation and prediction tasks, may introduce additional complexity that is not necessary for the specific objectives of this study. For these reasons, behavioral cloning is considered the most suitable technique for the efficient and effective development of steering angle prediction systems for autonomous vehicles in the presented context.
2. Literature Review
Modeling human driving behavior has been approached using a variety of techniques, ranging from traditional methods to deep learning-based approaches. Traditional methods usually involve mathematical models and heuristic rules to represent driver decision making. For example, Pomerleau [19] presented one of the first autonomous systems using neural networks for lane following, while Thrun [20] explored probability-based planning and control algorithms.
With the advancement of machine learning, especially deep neural networks, there has been a shift towards supervised learning and reinforcement learning-based approaches. Bojarski et al. [4] introduced an end-to-end learning model using CNNs to directly map camera images to steering commands, demonstrating the effectiveness of deep networks in autonomous driving. Simonyan and Zisserman [21] and Krizhevsky et al. [6] contributed to the development of deeper and more efficient CNN architectures, such as VGGNet and AlexNet, which improved pattern recognition in images.
Behavioral cloning (BC) has become a popular technique to mimic human behavior in autonomous vehicles. Farag and Saleh [18] demonstrated how CNNs can be used to replicate human driving actions, while Kocić et al. [12] designed a deep neural network optimized for embedded automotive platforms. Kebria et al. [17] and Wang et al. [8] explored the use of deep learning to predict driving actions in complex social contexts.
On the other hand, more recent methods such as Generative Adversarial Imitation Learning (GAIL) have been employed to learn driving policies through interaction and feedback [22]. These methods allow the agent to learn complex behaviors by optimizing reward functions, although they may require longer training times and higher computational complexity. Likewise, Diffusion Modeling-based approaches have emerged for prediction and trajectory generation tasks, offering benefits in uncertainty modeling, but adding complexity to the system [23]. In addition, Physics-Informed Machine Learning (PIML) integrates physical knowledge into the learning models, improving interpretability and generalization in certain contexts [14]. However, in applications where the priority is to learn directly from empirical human driving data, approaches such as behavioral cloning may be more suitable.
Despite the aforementioned advances, there is a need for models that balance accuracy, computational efficiency, and ease of implementation. In this paper, we propose a model based on CNNs and behavioral cloning that optimizes the existing NVIDIA architecture [4] to improve steering angle prediction. Unlike other approaches, our model adjusts key hyperparameters and is validated both in simulations and on a mobile robot prototype, demonstrating its effectiveness in real conditions. This research contributes to the field by offering an optimized and practical approach to autonomous driving, emphasizing adaptability and accuracy without incurring the additional complexity of newer methods.
The training of the CNNs is performed from data obtained in driving tests performed by a human along different routes, with two using the UDACITY simulator and of the others using the CARLA simulation (++UE4+release-4.26-CL-0) scenario. The CARLA simulator, which has a higher degree of complexity and realism, allows us to complement normal road driving situations and to set up other simulation routes for the automatic acquisition of driving data. The effectiveness of the proposed models is evaluated through simulations of these two trajectories in UDACITY, where the accuracy in the estimation of steering angles is monitored. We compare the performance of the three best trained models with respect to a human driving trajectory on the two UDACITY routes and with respect to the ideal route on different routes within the same scenario in CARLA, analyzing their ability to drive the vehicles autonomously. In addition, the algorithms that show the best performance are implemented in a differential drive robot, configured to follow a basic trajectory previously established through human driving. Both virtual and practical tests demonstrate that the models are capable of generating accurate steering angle estimations, thus allowing the vehicles to autonomously navigate the defined trajectories. With this study, the following key contributions are presented:
- NVIDIA Architecture Refinement: Optimization of steering angle prediction in autonomous vehicles by tuning key hyperparameters.
- Improvement through Behavioral Cloning: Implementation of a behavioral cloning model that significantly improves the loss function and generalization capability of the system.
- Validation in Mobile Robot Prototype: Demonstration of the effectiveness of the model in real conditions, improving adaptability and prediction accuracy.
- Comparative Trajectory Analysis: Evaluation of the accuracy and effectiveness of the model by comparing trajectories generated by humans and the autonomous system in real simulations and tests.
3. Materials and Methods
The operational workflow of the study is divided into three main phases: data collection, training, and steering angle prediction. Figure 1 depicts the systematized process that is crucial for understanding and replicating the method used in the development and validation of the convolutional neural network (CNN) for steering angle prediction in autonomous vehicles.
Figure 1.
Implementation and evaluation process of the steering angle prediction model for autonomous driving.
Data Collection: Input: The process begins with human control of a vehicle within the UDACITY simulator, providing a controlled and replicable environment for data collection. Action/Module: During manual driving, images are captured from the vehicle’s camera, and the corresponding steering angles are recorded. Output: The result is a dataset of human driving, consisting of pairs of images and steering angles, serving as the basis for the model’s training phase.
Training: Input: The dataset generated in the previous phase is used, composed of images and corresponding steering angles. Action/Module: A behavioral cloning neural network is proposed and implemented, employing advanced deep learning techniques to train the model on the task of steering angle prediction. Output: The trained model is used, which is capable of inferring steering angles from new images, reflecting the system’s ability to replicate human driving behavior.
Steering Angle Prediction: Input: Images captured in real-time by the vehicle’s camera during autonomous driving are used. Action/Module: The trained model is used to predict steering angles based on the input images. Output: Steering angle control of the autonomous vehicle is used, enabling safe and efficient autonomous navigation based on the model’s predictions.
The field of autonomous driving has grown exponentially in recent years, capturing the attention of the academic community and industry alike. A central challenge in this field is the accurate prediction of steering angles, a crucial factor in minimizing human error and increasing driving safety [24]. This aspect not only impacts the reliability of the system, but also its ability to interact safely in dynamic transit environments. Bharilya and Kumar [23] conducted a comprehensive study on trajectory prediction methods, focusing on advanced techniques such as deep learning and reinforcement learning, highlighting the need to address the prediction of complex transit behaviors. Heiberg et al. [22] explored the application of these techniques in autonomous marine vehicles, demonstrating the versatility of deep learning in different modes of autonomous mobility and its contribution to navigational safety.
In the context of perception and safety, Boloor et al. [25] highlighted vulnerabilities in deep learning-based perception, stressing the importance of developing more robust and secure models to improve the reliability of autonomous systems. On the other hand, Guo et al. [26] presented a model with deep convolutional neural networks incorporating an effective attention mechanism to improve the prediction of autonomous driving behaviors, achieving significant improvement in accuracy. Furthermore, Farag and Saleh’s [18] research on behavioral cloning using CNNs to learn safe driving maneuvers reinforces the relevance of understanding and replicating human behavior in steering angle prediction. Bhujbal and Pawar [27] and Han et al. [28] also contributed to this field with innovative approaches using neural networks to simulate and improve the accuracy in predicting steering behavior. Finally, the influence of NVIDIA’s architecture, “NVIDIA’s PilotNet”, described in their study [4,29], and the use of the Swish activation function proposed by Google [30], highlight how innovations in machine learning and neural network architectures are proving crucial in advancing the accurate prediction of steering angles in autonomous vehicles. These advances have demonstrated the ability to generalize well under a variety of conditions, which is critical for the practical implementation of autonomous driving technologies. This study is placed in a current research context that specifically addresses steering angle prediction using CNN optimization, proposing innovative solutions that improve the efficiency of autonomous systems, marking a significant advance in this field. This study focuses on the training of convolutional neural networks (CNNs) for the specific task of predicting steering angles in mobile robots, using a detailed methodology from the initial design of the network architecture to the practical implementation. In the following section, we describe the steps followed, integrating relevant citations and references to support our methodological and technical choices.
3.1. Data Collection
Data collection constitutes the first crucial step of this study, using two main sources: simulations on the UDACITY simulator and real driving sessions where an expert driver operates a mobile robot in various scenarios. The data consist of images captured by a vehicle’s front camera and corresponding steering angles, providing a diverse and representative dataset for training and model validation.
3.1.1. Collection with UDACITY Simulator
The collection of training data is essential to the success of a convolutional neural network (CNN), where the quality of the data impacts the network’s ability to generalize for new scenarios and the amount of data affects its ability to identify complex patterns [31,32]. An autonomous vehicle simulator from UDACITY provides realistic graphics and accurate physical models to simulate the behavior of autonomous vehicles in various driving situations. Lake and mountain routes were specifically selected for data collection, as illustrated in Figure 2 [33].
Figure 2.
Simulation routes used for autonomous driving data collection in the UDACITY simulator: (a) lake route; (b) mountain route.
- (a)
- Lake Route: Aerial view and first-person perspective of the lake route, used to obtain the steering angle and image data while a vehicle was manually operated. This route is characterized by gentle curves and a forested environment, ideal for simulating rural road driving conditions.
- (b)
- Mountain Route: Images showing the mountain route with sharp curves and steep ascents. This route provides data in a more challenging driving context, with sharp curves and elevation variations, simulating adverse conditions that an autonomous vehicle may face.
In the training mode of the simulator, the user can drive the vehicle manually to collect the necessary data.
A total of 18,252 images were obtained, each with a resolution of 320 × 160 pixels. These images were classified into three categories: left, center and right. Each image was associated with a specific steering angle and this information was stored in a file in CSV (comma separated values) format due to its simplicity and flexibility facilitating further processing. The images were organized in specific folders, and the direction angles were systematically recorded to ensure data integrity and accessibility. To train the proposed CNN, the two routes available in the simulator UDACITY®, named “lake” and “mountain”, were considered separately. These routes were chosen due to their significant differences in terms of data quantity and characteristics, providing a variety of driving scenarios that enrich the training set.
The active participation of a human in the simulator to drive the vehicle during data collection ensures a dataset that is diverse and representative of real driving situations. This approach allows us to capture a wide range of driving scenarios and conditions, which contributes to improving the CNN’s ability to learn and generalize effectively for future steering angle prediction tasks.
3.1.2. Collection with Mobile Robot Prototype
In addition to the data obtained from the simulator, real driving sessions were conducted using a prototype mobile robot, as shown in Figure 3. This image shows the prototype equipped with a central camera (ML13-163, Wonderfeng, Mexico City, Mexico) and a Raspberry Pi 4b+ (The 8 GB Raspberry Pi 4 Model B+ is manufactured by the Raspberry Pi Foundation, Cambridge, UK), designed for data collection in real driving conditions. The robot incorporates several sensors and electronics critical to its autonomous operation. The clearly visible central camera is used to capture images of the environment, while the Raspberry Pi 4b+ processes these data along with steering angles and time intervals. This system enables controlled experiments in real-world environments, providing valuable data for training and validating steering angle prediction models in autonomous vehicles.
Figure 3.
Differential drive mobile robot prototype.
This complementary approach allowed us to capture data in real scenarios, adding an additional dimension of variability and complexity to our dataset. The differential drive prototype is equipped with a central camera and a Raspberry pi 4b+, which allowed us to collect images, steering angles and time intervals under real driving conditions.
Data collection using the prototype involves navigating predefined routes and also handling unforeseen situations in real controlled environments, as illustrated in Figure 4. This methodology significantly enriches the dataset with varied and representative driving experiences in multiple scenarios. Such diversity is fundamental to train a CNN that can effectively generalize using situations not seen during training, thus ensuring a robust and adaptable model to different driving environments and conditions.
Figure 4.
Test scenario and navigation area representation for the mobile robot prototype: (a) representation of real scenario; (b) schematic view of test area.
- (a)
- Representation of the Real Lab Scenario: This image shows a miniature urban scenario created on a lab bench, designed to simulate real driving conditions. The environment includes buildings and streets, where the mobile robot prototype navigates and collects data. This scale model allows us to evaluate the robot’s ability to handle predefined routes and respond to unforeseen situations, facilitating the development of autonomous driving algorithms.
- (b)
- Schematic of the Top View of the Test Area: This graphic shows the top view of the lab bench, detailing the dimensions of the test area. The specific measurements provide an accurate reference for sensor calibration and evaluation of the prototype’s navigation behavior in a controlled space. This design allows a clear representation of the boundaries and layout of the test route, essential for the configuration and analysis of the navigation experiments.
3.2. Data Preprocessing
Data preprocessing is a crucial stage for training convolutional neural networks (CNNs), especially in computer vision applications. This process adjusts the data to a format suitable for processing, involving techniques such as image normalization and resizing to achieve consistency in the dataset [31]. In addition, data augmentation, which includes rotations and scaling is essential to improve the generalization of the model [34,35]. F. Chollet also emphasizes the need to manipulate the data to avoid overfitting and improve model efficiency [36].
Preprocessing Processes Applied
- Data verification and cleaning: An exhaustive review was carried out to detect and eliminate incorrect, corrupt or irrelevant images. Also, it was verified that the images are correctly associated with their respective direction angles in the CSV file.
- Image size standardization: To ensure consistency in the dataset, all images were resized to the same pixel size, which facilitates processing and analysis by the CNN.
- Data augmentation: In order to improve the performance and generalization capability of the proposed CNN, several data augmentation techniques were applied. These included modifying the brightness, changing the viewing angle, adjusting the size, zooming, and combining these transformations. This process enriches the training dataset, which in turn increases the robustness and adaptability of the proposed CNN to different situations and conditions.
- Image normalization: The pixel values of the images were normalized to facilitate the learning process of the proposed CNN and improve its accuracy. Normalization ensures that all pixels are in a common range of values, which contributes to faster convergence during training.
Preprocessing was applied to both data collected in simulated environments and data obtained from the mobile robot prototype. This uniform and representative treatment is vital to ensure that the trained CNN model can effectively reflect the diversity of situations that an autonomous vehicle might face in the real world.
3.3. Balancing and Data Splitting
Data balancing is a crucial step in preparing data to train a neural network, as it can significantly affect model performance. Class imbalance in the training data can lead to a lack of classification accuracy and a tendency to predict the majority class. Therefore, it is necessary to balance the training data to avoid these problems [37,38,39].
3.3.1. UDACITY Simulator Data Balancing
In the study of the behavior of the autonomous driving system for the route called “Lake”, a significant deviation towards the most commonly recorded steering angle value of zero was initially detected. This phenomenon is attributed to the mode of data collection through manual driving in a simulator, where the steering wheel often remains in neutral position. To counteract this tendency and ensure a fair representation of all possible maneuvers, a readjustment of the data distribution was performed prior to processing.
Figure 5a illustrates the original distribution of steering angles collected during manual driving along the “Lake” route, referring to this set as the “angle data set”. It is crucial to recognize that, due to the nature of data collection in the simulator, there were incidences of repeated or duplicate values that could bias the interpretation and performance of the machine learning system.
Figure 5.
Lake route data balancing: (a) unbalanced data; (b) balanced data.
In response to this issue, a balancing strategy was implemented on the dataset, with a maximum of 1500 observations for each angle value. Figure 5b demonstrates the result of this intervention: a homogeneous, controlled distribution that mitigates the bias toward the null angle. This approach provides a more robust and diversified basis for training the prediction model, thus promoting balanced learning and avoiding over-fitting towards the most frequently observed state in the original data.
The adopted methodology ensures a fair and varied representation of maneuvers, an essential condition for generalization and reliability in practical autonomous driving applications. Thus, subsequent results will reflect a more reliable interpretation of the full spectrum of driving behaviors, contributing significantly to the evolution of more sophisticated and safer autonomous systems.
On the “Mountain” route, preliminary analysis revealed an over-representation of direction angles with more than 1000 instances each, as shown in Figure 6a. This unbalanced distribution could induce the learning model to develop a preference for certain directions over other less represented directions. To mitigate this bias, a balancing technique was implemented that limited the number of instances per angle value to 1000. This intervention was carried out with a random and strategic selection of instances to be discarded, ensuring that variability was maintained in the remaining measurements. As a result, a total of 2271 instances for angles to the left and the same amount for angles to the right were eliminated, thus removing a total of 6813 images from the original dataset. After the balancing process, the training dataset was composed of 11,439 images and 3813 angle values, as illustrated in Figure 6b.
Figure 6.
Distribution of steering angles on the ‘mountain’ route before (a) and after (b) data balancing.
Additionally, for the “Mountain” path, the adjustment of the dataset resulted in a reduction to 7575 images and 2525 angle values, from an initial total of 7908 images and 2636 angles. This rigorous approach ensures a uniform representation of angle values and promotes more equitable learning of the model, facilitating its applicability to a wider variety of driving scenarios.
3.3.2. Splitting into Training and Validation Data: UDACITY Simulator
In neural network training, it is common to divide the data into training and validation sets. The purpose of this division is to use the training set to tune the network parameters and the validation set to evaluate its performance. The choice of the size of these sets is a fundamental aspect and depends on several factors, such as data availability and model complexity. In a study [40], the impact of the validation set size on the performance of a convolutional neural network applied to medical image classification was reported. The results showed that the use of a small validation set can lead to an inaccurate evaluation of the model performance. Therefore, it was suggested that a validation set size equal to or larger than 20% is desirable to obtain more reliable results. Following this reference, in the particular case of the “lake” and “mountain” datasets, a split was performed in which 80% of the data were assigned to the training set and the remaining 20% to the validation set. This distribution makes it possible to guarantee sufficient data to train the model and, in turn, to obtain a validation set suitable for evaluating its performance.
3.3.3. Balancing Robot Data
Figure 7 shows a histogram representing the distribution of steering angles recorded during testing of the robot prototype on a laboratory bench. This histogram is a visual tool that provides a graphical representation of the frequency of occurrence of each steering angle in the training dataset for the robot control model when it was operated by a human. Preliminary analysis revealed an unbalanced distribution of steering angles, with over-representation of certain angles compared to others. For example, some angles were found to have more than 600 instances, indicating a concentration in certain directions. This discrepancy could induce biases in the robot control model, biasing it toward the most represented directions.
Figure 7.
Histogram of steering angle distribution before (a) and after (b) balancing in autonomous driving model training.
To address this bias, a balancing technique was implemented that limited the number of instances per angle value. After applying this process, a significant reduction in the number of instances for over-represented angles was achieved. Specifically, a cut was made in the histogram to limit the instances to a maximum of 600 per angle, ensuring a more balanced distribution of the data. After the balancing process, the training dataset was composed of a balanced number of instances for each direction angle. This ensures a fair and varied representation of the steering angles, promoting a more equitable learning of the robot control model.
3.3.4. Splitting into Training and Validation Data: Robot
Taking the above reference, for the dataset generated by the robot prototype, a methodology similar to the one used in the case of the lake and mountain routes of the Udacity simulator was applied. In this sense, a division of the data was carried out in which 80% was allocated to the training set, while the remaining 20% was allocated to the validation set. This strategic division ensures that a significant portion of the data is used to train the robot’s control model, allowing it to effectively learn the patterns and features present in the data.
On the other hand, the validation set is reserved for evaluating the model’s performance on data not seen during training, which helps ensure its generalizability and its ability to adapt to different conditions. By adopting this common practice in training machine learning models, reliable and generalizable results are sought, which contributes to the robustness and effectiveness of the robot control system in a variety of scenarios and operating conditions.
3.4. Architecture
The architecture of a convolutional neural network (CNN) for behavioral cloning is used to mimic the behavior of task-specific experts through supervised learning. It consists of convolutional layers for feature extraction, clustering layers for dimensionality reduction, and dense layers for decision making, aiming to replicate the expert’s actions based on sensory data or images [4,41]. The training focuses on minimizing the difference between the predicted actions and the actual actions of the expert by adjusting the network parameters [20].
This architecture is composed of an input layer that processes sensory data or images, followed by convolutional layers where filters are essential to extract patterns such as edges and textures. These filters, adjustable in size and quantity, capture different levels of detail depending on the specific task. Clustering layers reduce the dimensionality of the data, and dense layers interpret the extracted features to make decisions [4,41]. Architecture selection, filter configuration, loss function, and optimization algorithms are crucial for effective learning, with techniques such as hyperparameter fine-tuning and regularization employed to improve network generalization and performance [4,20].
NVIDIA’s neural network is similar to the one used in the project by Bojarski [19] and builds on pioneering research such as “ALVINN: An autonomous land vehicle in a neural network” [4], which describes an autonomous driving system for land vehicles that uses a neural network to analyze images from a video camera and produce a steering control signal.
The implementation of a CNN using the Keras deep learning library is based on the concept of convolution, a fundamental operation in image processing that consists of applying a kernel or filter to the input image, extracting relevant features through local pattern detection [21]. Convolution is a mathematical operation (Equation (1)) used extensively in signal processing and image analysis, which involves applying a filter, known as the kernel, to an input signal or image. The operation is defined by the following equation:
F(i,j) = ∑ {u,v} I(i–u,j–v) × K(u,v),
This operation is foundational in many applications including image enhancement, edge detection, and deep learning, where it facilitates feature extraction for tasks such as image recognition. In convolution, the kernel systematically combines with the input data across all positions, producing a transformed output that highlights important features or patterns in the input. In practical terms, convolution can be visualized as sliding the kernel over the input, adjusting its output based on the local regions of the input image or signal.
It is essential in CNNs, as it allows pattern detection through different kernels in the convolutional layers of the network [21]. Hyperparameter optimization is a crucial step in the design and implementation of convolutional neural networks (CNNs) to improve their performance and generalization capability in specific tasks, such as image classification or pattern recognition.
In the present work, we chose to test modifications in the number of convolutional layers, number of filters, number of dense layers, neurons, and activation functions, based on previous evidence suggesting that these hyperparameters have a significant impact on deep learning efficiency. The number of convolutional layers and filters in a CNN determines the complexity and depth of the network, enabling the extraction of features of different levels of abstraction [42].
Research indicates that increasing the number of layers and filters can improve the network’s ability to learn complex and subtle patterns in the data, although this also increases the risk of overfitting and computational requirements [6]. On the other hand, the number of dense layers and neurons in these layers directly affects the network’s ability to synthesize the information extracted from the convolutional layers and make accurate decisions. A proper balance in these dimensions is crucial to ensure good generalization and avoid overfitting [21]. Activation functions play a vital role in introducing nonlinearities into the model, allowing the network to learn complex decision boundaries. The choice of suitable activation functions can have a significant impact on network performance, as demonstrated in studies comparing different functions [43].
Table 1 reflects a comprehensive study on the impact of various hyperparameter configurations on the performance of convolutional neural networks (CNNs) applied to behavioral cloning, a crucial field in the development of autonomous driving systems. Different combinations of filters in the convolutional layers, activation functions, and the distribution of neurons in the dense layers are explored to determine their effects on the accuracy and generalization of network learning. Based on the NVIDIA neural network architecture used in the pioneering research of Bojarski [4], we experiment with increases in the number and variety of filters in the convolutional layers. This approach is inspired by the success achieved in ImageNet image recognition by Krizhevsky [6], emphasizing the importance of network depth for complex feature detection. Following the recommendations of LeCun [41] on the depth and capacity of CNNs, a variety in the architecture of dense layers is introduced, testing different numbers of neurons and combinations of activation functions, such as Swish and Tanh, to capture the nonlinear nature of real driving.
Table 1.
Comparison of proposed configurations for convolutional neural network architectures based on the original NVIDIA architecture for autonomous driving model training. (N/A means not applicable).
This study also draws on the lessons learned by Pomerleau [19] on the ALVINN network, one of the first autonomous driving systems based on neural networks, and the deepening of convolutional networks proposed by Simonyan and Zisserman [21]. In addition, the advances in deep learning by He [42], where residual learning is proposed as a solution to the degradation of training in deep networks, and the reflections of Glorot and Bengio [43] on the difficulty of training deep neural networks are taken into account. In summary, the methodology employed seeks to evaluate how variability in the key hyperparameters of CNNs can tune the performance of the network in complex behavioral mimicry tasks, seeking the optimal balance between depth, capacity and computational complexity to improve the prediction of vehicle or robot steering angles.
To find the hyperparameters that best fit the proposed architectures, experimentation and evaluation of network performance were used. The characteristics of the best performing architectures are described below.
Architecture 8 consists of 6 convolutional layers, of which 2 × 2 Maxpooling was applied in 3 of them, with convolutional filters varying from 24 to 128. In addition, it has 2 dense layers with 100 and 50 neurons, respectively. All convolutional and dense layers use a Swish activation function, except the output layer, which uses a hyperbolic tangent activation function. This model has a total of 469,277 trainable parameters.
Architecture 13 is composed of 4 convolutional layers with 2 × 2 pitch and filters ranging from 24 to 64. It also includes 3 dense layers with 100, 50 and 10 neurons, respectively. All layers use a Swish activation function, except the output layer, which has no activation function. This model has a total of 206,834 trainable parameters.
Architecture 17 has 4 convolutional layers with 2 × 2 pitch and filters varying from 24 to 64, similar to architecture 13. In addition, it has 2 dense layers with 100 and 50 neurons, respectively. The output layer uses a hyperbolic tangent activation function. All other layers employ a Swish activation function. This model has a total of 343,291 trainable parameters.
It is important to note that of the top twenty models trained with their respective architectures, only three were able to adequately predict the angle, allowing them to complete the routes at the maximum simulator speed of 30 mph. Therefore, the analysis of these three models is further explored. Figure 8 a–c provide schematics of the Model 8, 13 and 17 architectures that were implemented and analyzed in detail.
Figure 8.
Architectures with better loss function during training with data from lake and mountain routes for Model 8 (a), 13 (b) and 17 (c).
As mentioned above, the architecture of the behavioral cloning neural network for autonomous driving aims to be able to replicate the way a human driver drives and to verify that the obtained models perform adequately by comparing the trajectories made by the driver with respect to the trajectories that were made with each trained model. Steering angle prediction is the most influential factor in autonomous driving. If the values of the angles obtained by the autonomous driving of the trained models are closer to the values of the angles obtained by the human driving, the trajectories will also be close. The comparison of the angles is carried out to evaluate which model provides steering angles closer to the angles obtained by the human driver. The model with the best performance under this criterion is Model 13, so it is also expected that the trajectory followed will also be the closest.
In addition, it should be noted that the best performing architecture, in this case, number 13, was successfully tested on the prototype robot with differential traction. In this context, positive results were also achieved. The consistency in the performance of this architecture both in autonomous driving simulations and in practical applications with physical prototypes highlights its robustness and versatility. This adaptability and efficiency promise to be a significant step towards the development of more reliable and efficient autonomous driving systems in various conditions and environments.
4. Results
4.1. Training
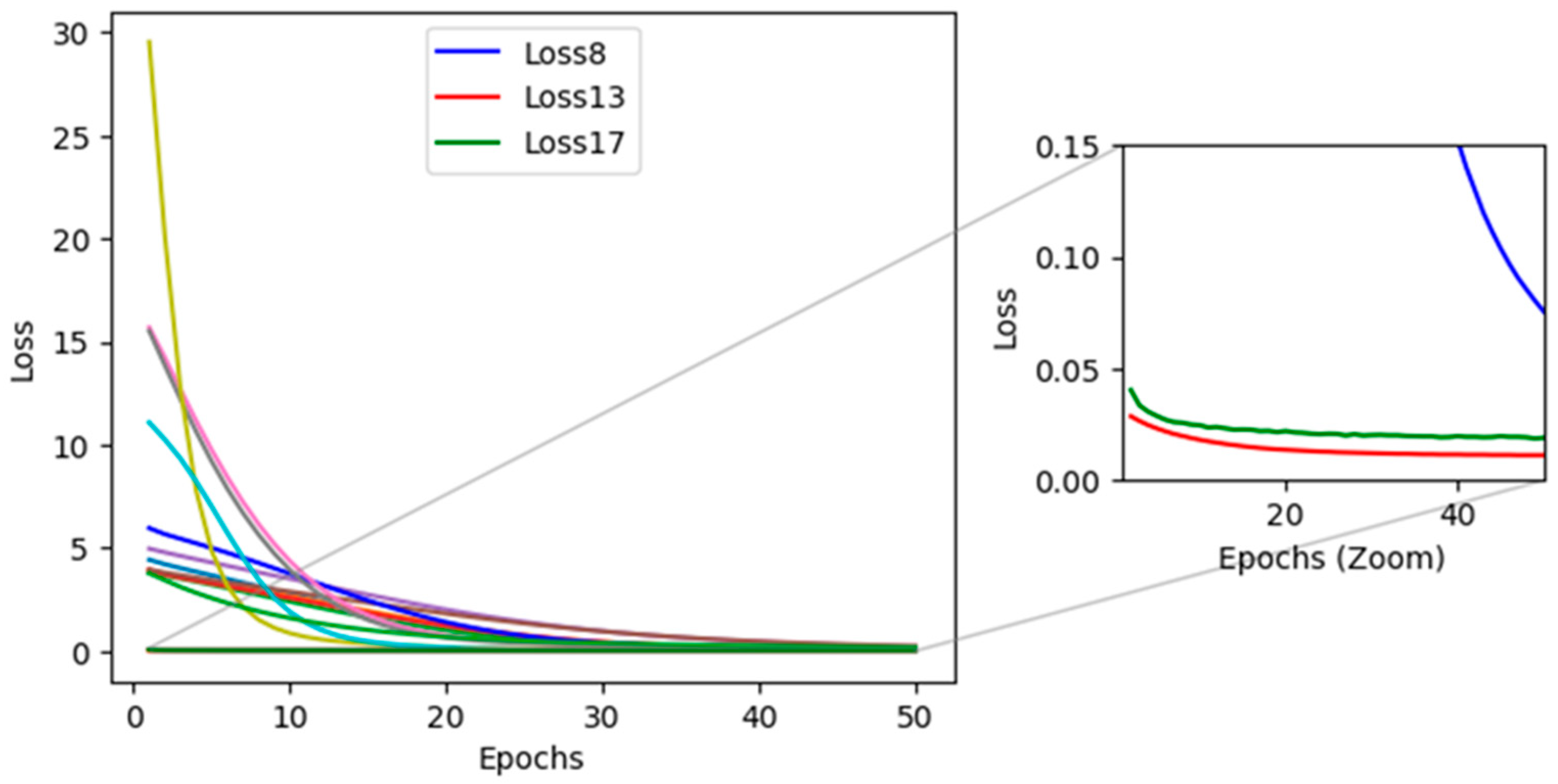
Among the 20 different architectures tested, Models 8, 13, and 17 demonstrated the lowest loss values and superior performance, as illustrated in Figure 9. The selection of these three models for detailed analysis was based on their significantly better convergence during training compared to the other architectures, which are listed in Table 1. The other configurations showed higher losses and were not included in the final comparison, allowing the focus to remain on the models with the most promising results.
Figure 9.
Comparison of loss functions between different model architectures.
This figure shows the loss curves of all model architectures evaluated during training over 50 epochs. The lines represent the evolution of the loss function for each model, highlighting Models 8, 13 and 17, which presented the lowest losses and superior performance. These models demonstrated faster and more efficient convergence to loss minima, indicating their greater ability to predict steering angles accurately.
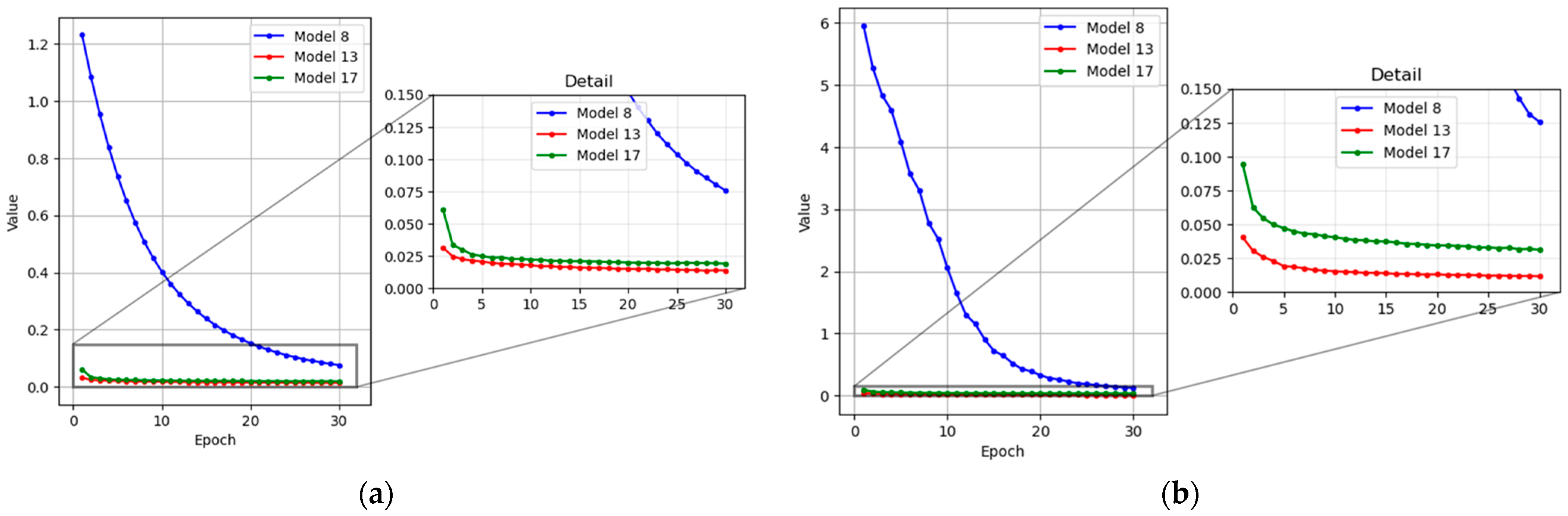
The extended insert provides a detailed view of the loss function behavior of these three models over the last epochs, highlighting their stability and efficiency compared to the other tested architectures. The evaluation of the three proposed architectures is carried out using their loss function. A low loss indicates that the CNN has fitted the training data well, while a high loss suggests the need for improvement. The results obtained from this training are shown in Figure 10a. This graph displays the loss curves for Models 8, 13, and 17 during training on the lake route.
Figure 10.
Analysis of loss functions during model training on simulated routes, with close-up detail of loss curves (a,b).
The curves illustrate a rapid decrease in loss during the initial epochs, highlighting the efficiency of these architectures in quickly adjusting to the specific characteristics of this route. Model 8 shows a more pronounced decrease in loss, followed by Models 13 and 17, indicating a better initial adaptation of Model 8 to the conditions of the lake route. A more in-depth analysis reveals how the losses stabilize at low values, underscoring the ability of these models to maintain consistent accuracy after the initial phases. In Figure 10b, in contrast to the lake route, this graph shows the loss functions for the same models on the mountain route.
Although all models start with higher loss values, reflecting the additional complexity of this route, they all exhibit a similar downward trend. Models 13 and 17 demonstrate greater stability in their loss curves compared to Model 8, which shows a more abrupt reduction initially. The graph shows that, despite the complexity of the route, the losses of the models converge to low values, indicating effective adaptation to the varied demands of the mountain route.
The numerical difference between the final results obtained from the loss functions among the models is shown in Table 2. Although it may not seem significant, it is important for the performance of each model when running to predict steering angles and autonomously driving along defined routes.
Table 2.
Final value of the training loss function of each model.
It is noteworthy that the best performing architecture, in this case, number 13, was successfully tested on the differential drive robot prototype. In this context, positive results were also achieved. The consistency in the performance of this architecture both in autonomous driving simulations and in practical applications with physical prototypes highlights its robustness and versatility. This adaptability and effectiveness promise to be a significant step towards the development of more reliable and efficient autonomous driving systems under various conditions and environments. Figure 11 illustrates the loss function when training a model with architecture 13 and motion data from the robot prototype. It is highlighted that it has adequate learning and was validated when it autonomously drove the robot prototype and is subsequently shown.
Figure 11.
Loss function during model training using architecture 13 with robot motion data.
4.2. Trajectories
Once the training is completed, the results obtained in the validation of the models are the crucial point of our research. These results will provide a clear view of the effectiveness and reliability of the neural network models developed for autonomous driving on different routes, both in the simulator and in the prototype of the differential drive robot. The results of how these models perform in practical situations, comparing their predictions with the actions taken by a human driver, allow us to evaluate the accuracy of the steering predictions and the ability of the models to adapt to various driving conditions. In the case of simulated routes, we focus on the three best-performing architectures: 8, 13, and 17.
We verify how these models respond to the complexities of the different routes and highlight their ability to maintain the trajectory. On the other hand, in the context of the differential drive robot prototype, we specifically focus on architecture 13, which stood out as the most effective during training. Extensive testing was conducted to confirm its performance in physical environments and to determine if it can be effectively applied in real driving situations. The results of these tests not only allow us to validate the efficacy of our models but also provide invaluable information for future improvements and developments in the field of autonomous driving. The motion data obtained by implementing the trained models in the UDACITY simulator were collected using a specific algorithm, capturing the speed, steering angles, and sampling time for the Ackerman-type vehicle in the simulator. Using this information, the vehicle trajectories in autonomous mode controlled by the trained model were constructed. These trajectories were then compared with the original trajectory, which was obtained when the vehicle was operated by a human driver.
To construct the trajectory of the Ackerman vehicle, the vehicle’s kinematic equations (Equations (2) and (3)) were used. The Ackerman vehicle is a directional wheel vehicle, where the front wheels turn at a different angle than the rear ones. It is essential to know the dimensions of the vehicle, such as the wheelbase, the steering angle of the front wheels, and the vehicle’s speed.
x = x0 + r × cos(θ + ψ)
y = y0 + r × sin(θ + ψ)
It is considered a priority that the model trained with the neural network can accurately predict the steering angle that the vehicle should take when driving autonomously on the two available routes at a speed of 30 mph, which is the maximum allowed by the simulator. Figure 12 provides a comparative illustration of the trajectories generated by different models in autonomous mode relative to the reference trajectory of a vehicle manually operated on the lake route. In the main graph, the vehicle’s position is plotted on a two-dimensional plane, with the horizontal axis indicating the longitudinal location (x) and the vertical axis indicating the latitudinal location (y), both measured in meters. The black squares represent the trajectory of the ‘DATASET’, corresponding to human control, while the blue, red, and green lines represent the trajectories of Model 8, Model 13, and Model 17, respectively. The enlargements provided to the right of the main graph reveal in greater detail the differences and similarities between the model trajectories and the original trajectory, especially in curves and corners where the accuracy of the autonomous model is critical. These visual observations corroborate the analytical findings, highlighting that Model 13 reflects a driving behavior closer to human than Models 8 and 17.
Figure 12.
Details of the comparison of trajectories of the vehicle driven by a human and by the autonomous driving models’ lake route.
To assess the accuracy of predictions in three different models of an autonomous system, a comparative analysis was conducted using two essential metrics: Mean Squared Error (MSE) and Root Mean Squared Error (RMSE). Figure 13 clearly illustrates this comparison, presenting the MSE and RMSE values for each model in a composite bar chart. Each model is represented by a set of stacked bars, with distinctive colors for each metric, thus facilitating visual distinction between MSE and RMSE. MSE measures the average magnitude of the squared errors, comparing the model’s predictions with actual values. Therefore, a reduced MSE suggests better accuracy in predictions. On the other hand, RMSE, being the square root of MSE, reflects the average error in the same units as the original data, providing a direct perspective on the average deviation of the predictions. A lower RMSE value similarly indicates predictions that are more closely aligned with reality.
Figure 13.
Comparison of the MSE of each model for the lake route.
Figure 14 shows the comparison of the trajectories generated by the respective models in relation to the human management trajectory on the mountain route. As in the case of the lake route, we can observe that the trajectory generated by Model 13 displays the best behavior, closely following the human control reference trajectory. This proximity translates into a greater ability of Model 13 to mimic human driving decisions, especially in critical segments of the route, such as sharp curves and abrupt changes in direction. The accompanying detail plots provide a closer look at specific areas where the accuracy of the autonomous model is vital. Here, the congruence between Model 13 and the human trajectory stands out, once again demonstrating its superiority, as previously evidenced on the lake route.
Figure 14.
Comparison of angle values generated by the human driver and the mountain route autonomous driving models.
Complementarily, Figure 15 presents the analysis of the prediction errors through the MSE and RMS, allowing a quantitative assessment of the accuracy of each model. In this context, Model 13 shows lower MSE and RMS compared to Models 8 and 17, corroborating its ability to generate trajectories that more closely emulate human driving. These results underscore the consistency of Model 13 across different driving environments, paralleling the performance observed on the lake route and reaffirming its potential for implementation in autonomous driving systems.
Figure 15.
Comparison of the MSE of each model for the mountain route.
The study incorporated the CARLA simulator, an open-source environment that provides an advanced and realistic platform for the development and validation of autonomous driving systems. The choice of CARLA was based on its ability to configure varied routes and driving scenarios, allowing automatic data collection under challenging and realistic conditions. The simulator interface is presented in Figure 16, highlighting the complexity and level of detail of the simulated environment. The procedure followed with CARLA was the same as for the previous cases with the UDACITY simulator and the mobile robot. The following is the operational flow of the study divided into three main phases: data collection, training and steering angle prediction. By incorporating the CARLA simulator and following the same procedure as in the previous cases, it was possible to complement the normal road driving situations and configure other simulation routes for the automatic acquisition of driving data. This allowed us to evaluate the performance of the three best models trained in more complex trajectories and different routes within the same scenario in CARLA, comparing their ability to drive the vehicles autonomously with respect to an ideal trajectory.
Figure 16.
General view of the urban environment simulated in CARLA.
To evaluate the performance of the autonomous driving models, tests were implemented in the CARLA simulator using three vehicles controlled by different models. The first route was designed to represent an urban environment with curves and straight sections. The simulation results for this route are presented below. In Figure 17, an overhead view of the three vehicles in the simulation is shown, providing an overview of their arrangement on the route. Each vehicle follows a trajectory generated by the corresponding model, allowing visualization of the alignment and separation with respect to the ideal trajectory.
Figure 17.
Aerial view of the vehicles controlled by different models on the first route of the CARLA simulator.
Figure 18 presents a street level shot of the vehicles in action, providing the evaluator with a more detailed visual reference of the behavior of the vehicles in the simulated environment. In this image, differences in the alignment of the vehicles on the road can be seen, reflecting the accuracy of each model in tracking the trajectory.
Figure 18.
Street level shot of the vehicles during the simulation on the first route of the CARLA simulator.
Figure 19 compares the trajectories of the three vehicles with the expected ideal route. The red, green and blue colored lines correspond to vehicles 1, 2 and 3, respectively, while the black line represents the ideal trajectory. The observed deviations in the trajectories provide valuable information about the performance of each model in terms of route tracking.
Figure 19.
Comparison of vehicle trajectories with the ideal trajectory on the first route.
Finally, in Figure 20, the Normalized Mean Squared Error (MSE) of each model with respect to the ideal trajectory is shown. The results indicate that vehicle 1 (Model 13) has the lowest MSE, followed by vehicle 2 (Model 17) and vehicle 3 (Model 8), which has the highest error. This quantitative comparison facilitates the evaluation of the relative performance of the models on the first route.
Figure 20.
Normalized Mean Squared Error (MSE) of each vehicle with respect to the ideal trajectory on the first route.
Finally, for the robot prototype, Figure 21 shows a visual comparison between the trajectory performed manually and the one automatically controlled by Model 13. The X position, measured in centimeters, represents the total horizontal dimension of the test surface, which is 250 cm, while the Y position corresponds to the vertical dimension, extending up to 150 cm. The trajectory performed by manual control is represented by red dots and serves as the baseline or reference of the human performance. The trajectory generated in automatic mode, controlled by Model 13, is indicated by blue dots. The proximity of the blue dots to the red dots indicates the ability of Model 13 to replicate the manual trajectory, demonstrating its ability to emulate the behavior of a human operator in navigating a physical space. This detailed representation is crucial for identifying areas of performance where Model 13 is successful in following the human trajectory, as well as areas where further calibration might be required. The presence of a background grid facilitates the accurate interpretation of deviations between the two trajectories. This type of benchmarking is essential for the continued development of the prototype, allowing targeted adjustments that improve the robot’s accuracy and reliability in autonomous operating environments.
Figure 21.
Comparative analysis of trajectories: manual control vs. Model 13 automated control on a prototype robot.
5. Discussion
The obtained results demonstrate the effectiveness of convolutional neural networks (CNNs) in the context of behavioral cloning for autonomous driving. The proposed architectures were evaluated based on their performance in predicting steering commands in a virtual environment based on visual information of the environment. Three models stood out in terms of their loss rates and performance in autonomous driving tests. The proposed models build on previous works such as “End-to-End Learning for Autonomous Cars” [4] and “ALVINN: An Autonomous Land Vehicle in a Neural Network” [16], which also applied neural networks to address the problem of autonomous driving. In addition, the development and validation of a prototype mobile robot have added a practical dimension to the study, allowing the best performing architecture, in particular Model 13, to be tested under real conditions.
This testing phase has demonstrated that the model is capable of effectively controlling the prototype, successfully replicating the trajectories and driving decisions observed in a human driver, reflecting the practicality and direct applicability of CNNs in mobile robotics applications. These investigations establish the theoretical basis for the development of the architectures and provide a context for interpreting the findings. The choice of hyperparameters and architectures in the models was based on an experimental approach, which allowed us to find the most suitable configurations to address the problem of behavioral cloning in autonomous driving.
Through experimentation and evaluation of network performance, three architectures were identified that provided the best results in terms of loss rates and performance in driving tests. The results support the hypothesis that CNNs are effective in addressing the problem of behavioral cloning in autonomous driving.
The findings of this research demonstrate the lack of a single solution for hyperparameter and architecture selection, as different configurations may be effective depending on the context and nature of the problem. In terms of implications, this study lays a solid foundation for the development of neural network-based autonomous driving systems. By identifying effective architectures and appropriate hyperparameters, the ability of autonomous vehicles and mobile robots to navigate safely and efficiently in various environments can be improved. Considering future research directions, it would be interesting to explore the adaptation of the proposed architectures to address more complex problems, such as predicting behaviors of other agents in the environment or integrating additional information, such as maps and distance sensors, with the goal of improving the robustness and accuracy of autonomous driving systems. Similarly, the use of reinforcement learning techniques in combination with behavioral cloning could be investigated to achieve higher performance in autonomous vehicles and mobile robots.
6. Conclusions
This study demonstrated the effectiveness of convolutional neural networks (CNNs) for steering angle prediction through behavioral cloning, which is applicable in mobile robotics and autonomous driving. By adapting and modifying the NVIDIA architecture and implementing the Swish activation function, a significant improvement in the loss function during training was achieved, indicating greater efficiency in replicating human driving behavior. The tests were developed in the virtual simulators UDACITY and CARLA, using various trajectories that include more complex driving situations provided by CARLA. The incorporation of the CARLA simulator complemented normal road driving situations and allowed the configuration of other simulation routes for automatic driving data acquisition, which strengthened the validation and generalization of the proposed models. Additionally, physical implementation was carried out on a differential-drive mobile robot.
The proposed models were evaluated in terms of their accuracy in predicting steering angles using human driving data obtained from both simulations and tests in real scenarios. The model that incorporated these strategies, in addition to advancing the accuracy of steering angle predictions, also provided valuable information for future research and practical applications in mobile robotics and autonomous driving.
The physical implementation and validation on a prototype differential-drive mobile robot demonstrated the applicability of the model in real conditions, underlining the robustness and versatility of the proposed approach. The results obtained suggest that the tuned models can navigate autonomously and effectively, accurately replicating human driving behavior in various scenarios, both virtual and real.
This work evidences the potential of CNNs and behavioral cloning in advancing autonomous driving systems capable of facing challenges in more complex environments. The use of simulators like CARLA, with a higher degree of realism and complexity, contributes significantly to the development and validation of more robust and generalizable models, laying the groundwork for future research in this field.
In future research, it would be beneficial to explore the adaptation of these architectures to address more complex challenges and further improve the accuracy and reliability of autonomous driving and mobile robotics systems.
Author Contributions
Conceptualization, S.I.M.-B., I.R.-C., J.T.-J., P.T.-C., R.S.N.-C. and O.V.P.-A.; Data curation, S.I.M.-B., I.R.-C. and J.T.-J. Formal analysis, S.I.M.-B., I.R.-C., J.T.-J., P.T.-C., R.S.N.-C. and O.V.P.-A.; Investigation, S.I.M.-B., I.R.-C., J.T.-J., P.T.-C., R.S.N.-C. and O.V.P.-A.; Methodology, S.I.M.-B., I.R.-C., J.T.-J., P.T.-C., R.S.N.-C. and O.V.P.-A.; Project Management, I.R.-C. and J.T.-J.; Software, S.I.M.-B. and I.R.-C. All authors have read and agreed to the published version of the manuscript.
Funding
This research was funded by the Instituto Tecnológico Superior de Huauchinango, part of the Tecnológico Nacional de México.
Data Availability Statement
The original contributions presented in the study are included in the article, further inquiries can be directed to the corresponding author.
Acknowledgments
The authors thank the Consejo Nacional de Humanidades, Ciencias y Tecnologías (CONAHCYT) for the support provided for the development of this work and Tecnológico Nacional de México (TECNM) campus Instituto Tecnologico Superior de Huauchinango for the support given to the publication.
Conflicts of Interest
The authors declare no conflicts of interest.
Abbreviations
The following abbreviations are used in this manuscript:
| CNN | Convolutional neural networks |
| ANNs | Artificial neural networks |
| BC | Behavioral cloning |
| SAE | Society of Automotive Engineers |
| DCNN | Deep convolutional neural network |
References
- SAE International. Taxonomy and Definitions for Terms Related to Driving Automation Systems for On-Road Motor Vehicles. SAE Standard J3016. 2018. Available online: www.sae.org/standards/content/j3016_201806/ (accessed on 18 July 2024).
- Litman, T. Autonomous Vehicle Implementation Predictions: Implications for Transport Planning; Victoria Transport Policy Institute: Victoria, BC, USA, 2023; Available online: www.vtpi.org/avip.pdf (accessed on 18 July 2024).
- Pype, P.; Daalderop, G.; Schulz-Kamm, E.; Walters, E.; von Grafenstein, M. Privacy and Security in Autonomous Vehicles. In Automated Driving; Watzenig, D., Horn, M., Eds.; Springer: Cham, Switzerland, 2017; pp. 25–45. [Google Scholar] [CrossRef]
- Bojarski, M.; Del Testa, D.; Dworakowski, D.; Firner, B.; Flepp, B.; Goyal, P.; Jackel, L.D.; Monfort, M.; Muller, U.; Zhang, J.; et al. End to End Learning for Self-Driving Cars. arXiv 2016, arXiv:1604.07316. [Google Scholar]
- LeCun, Y.; Bottou, L.; Bengio, Y.; Haffner, P. Gradient-based learning applied to document recognition. Proc. IEEE 1998, 86, 2278–2324. [Google Scholar] [CrossRef]
- Krizhevsky, A.; Sutskever, I.; Hinton, G.E. ImageNet Classification with Deep Convolutional Neural Networks. In Advances in Neural Information Processing Systems; Pereira, F., Burges, C.J., Bottou, L., Weinberger, K.Q., Eds.; Curran Associates, Inc.: Nice, France, 2012; Volume 25, Available online: https://proceedings.neurips.cc/paper_files/paper/2012/file/c399862d3b9d6b76c8436e924a68c45b-Paper.pdf (accessed on 18 July 2024).
- Chen, C.; Seff, A.; Kornhauser, A.; Xiao, J. DeepDriving: Learning Affordance for Direct Perception in Autonomous Driving. In Proceedings of the 2015 IEEE International Conference on Computer Vision (ICCV), Santiago, Chile, 7–13 December 2015; pp. 2722–2730. [Google Scholar] [CrossRef]
- Wang, W.; Wang, L.; Zhang, C.; Liu, C.; Sun, L. Social Interactions for Autonomous Driving: A Review and Perspectives. Found. Trends® Robot. 2022, 10, 198–376. [Google Scholar] [CrossRef]
- Farag, W. Cloning Safe Driving Behavior for Self-Driving Cars using Convolutional Neural Networks. Recent Pat. Comput. Sci. 2018, 11, 120–127. [Google Scholar] [CrossRef]
- Muhammad, K.; Ullah, A.; Lloret, J.; Ser, J.D.; de Albuquerque, V.H.C. Deep Learning for Safe Autonomous Driving: Current Challenges and Future Directions. IEEE Trans. Intell. Transp. Syst. 2021, 22, 4316–4336. [Google Scholar] [CrossRef]
- Likhachev, M.; Ferguson, D. Planning Long Dynamically-Feasible Maneuvers for Autonomous Vehicles. In Proceedings of the Robotics: Science and Systems (RSS), Zurich, Switzerland, 25–28 June 2008. [Google Scholar] [CrossRef]
- Kocić, J.; Jovičić, N.; Drndarević, V. An End-to-End Deep Neural Network for Autonomous Driving Designed for Embedded Automotive Platforms. Sensors 2019, 19, 2064. [Google Scholar] [CrossRef]
- Navarro, P.J.; Miller, L.; Rosique, F.; Fernández-Isla, C.; Gila-Navarro, A. End-to-End Deep Neural Network Architectures for Speed and Steering Wheel Angle Prediction in Autonomous Driving. Electronics 2021, 10, 1266. [Google Scholar] [CrossRef]
- Liu, W.; Xiang, Z.; Fang, H.; Huo, K.; Wang, Z. A Multi-Task Fusion Strategy-Based Decision-Making and Planning Method for Autonomous Driving Vehicles. Sensors 2023, 23, 7021. [Google Scholar] [CrossRef]
- Kwon, J.; Khalil, A.; Kim, D.; Nam, H. Incremental End-to-End Learning for Lateral Control in Autonomous Driving. IEEE Access 2022, 10, 33771–33786. [Google Scholar] [CrossRef]
- Mújica-Vargas, D.; Luna-Álvarez, A.; de Jesús Rubio, J.; Carvajal-Gámez, B. Noise Gradient Strategy for an Enhanced Hybrid Convolutional-Recurrent Deep Network to Control a Self-Driving Vehicle. Appl. Soft Comput. 2020, 92, 106258. [Google Scholar] [CrossRef]
- Kebria, P.M.; Khosravi, A.; Salaken, S.M.; Nahavandi, S. Deep Imitation Learning for Autonomous Vehicles Based on Convolutional Neural Networks. IEEE/CAA J. Autom. Sin. 2020, 7, 82–95. [Google Scholar] [CrossRef]
- Farag, W.; Saleh, Z. Behavior Cloning for Autonomous Driving using Convolutional Neural Networks. In Proceedings of the 2018 International Conference on Innovation and Intelligence for Informatics, Computing, and Technologies (3ICT), Sakhier, Bahrain, 18–20 November 2018; pp. 1–7. [Google Scholar]
- Pomerleau, D.A. ALVINN: An autonomous land vehicle in a neural network. In Advances in Neural Information Processing Systems; MIT Press: Cambridge, MA, USA, 1989; pp. 305–313. [Google Scholar]
- Henry, G. “Imitation Learning”, CS Notes. 2024. Available online: https://glennhenry.github.io/cs-notes/deep-learning/reinforcement-learning/imitation-learning (accessed on 8 October 2024).
- Simonyan, K.; Zisserman, A. Very deep convolutional networks for large-scale image recognition. arXiv 2014, arXiv:1409.1556. [Google Scholar]
- Heiberg, A.; Larsen, T.N.; Meyer, E.; Rasheed, A.; San, O.; Varagnolo, D. Risk-based Implementation of COLREGs for Autonomous Surface Vehicles Using Deep Reinforcement Learning. Neural Netw. 2022, 152, 17–33. [Google Scholar] [CrossRef]
- Bharilya, V.; Kumar, N. Machine Learning for Autonomous Vehicle’s Trajectory Prediction: A Comprehensive Survey, Challenges, and Future Research Directions. Veh. Commun. 2024, 46, 100733. [Google Scholar] [CrossRef]
- Chi, L.; Mu, Y. Deep Steering: Learning End-to-End Driving Model from Spatial and Temporal Visual Cues. arXiv 2017, arXiv:1708.03798. [Google Scholar]
- Boloor, A.; Garimella, K.; He, X.; Gill, C.; Vorobeychik, Y.; Zhang, X. Attacking vision-based perception in end-to-end autonomous driving models. J. Syst. Archit. 2020, 110, 101766. [Google Scholar] [CrossRef]
- Guo, B.; Wang, Y.; Gao, M.; Lu, J.; Han, G.; Zhang, L. End to End Autonomous Driving Behavior Prediction Based on Deep Convolution Neural Network. In Proceedings of the IEEE 2nd International Conference on Digital Twins and Parallel Intelligence (DTPI), Boston, MA, USA, 24–28 October 2022; pp. 1–6. [Google Scholar]
- Bhujbal, K.; Pawar, D.M. Deep Learning Model for Simulating Self Driving Car. In Proceedings of the 2023 International Conference on Communication System, Computing and IT Applications (CSCITA), Mumbai, India, 31 March–1 April 2023; pp. 26–31. [Google Scholar] [CrossRef]
- Han, L.; Wu, L.; Liang, F.; Cao, H.; Luo, D.; Zhang, Z.; Hua, Z. A novel end-to-end model for steering behavior prediction of autonomous ego-vehicles using spatial and temporal attention mechanism. Neurocomputing 2022, 490, 295–311. [Google Scholar] [CrossRef]
- VISO.AI. “GoogleNet Explained: The Inception Model That Won ImageNet”, Viso. Available online: https://viso.ai/deep-learning/googlenet-explained-the-inception-model-that-won-imagenet/ (accessed on 8 October 2024).
- Ramachandran, P.; Zoph, B.; Le, Q.V. Searching for Activation Functions. arXiv 2017, arXiv:1710.05941. [Google Scholar]
- Goodfellow, L.; Bengio, Y.; Courville, A. Deep Learning; MIT Press: Cambridge, MA, USA, 2016; pp. 326–330. [Google Scholar]
- Ren, S.; He, K.; Girshick, R.; Sun, J. Faster R-CNN: Towards Real-Time Object Detection with Region Proposal Networks. In Advances in Neural Information Processing Systems; MIT Press: Cambridge, MA, USA, 2015; pp. 91–99. [Google Scholar]
- UDACITY®. Self-Driving Car Engineer Nanodegree. UDACITY®. 2020. Available online: https://www.udacity.com/course/self-driving-car-engineer-nanodegree--nd013 (accessed on 18 July 2024).
- Lenc, K.; Vedaldi, A. Understanding Image Representations by Measuring Their Equivariance and Equivalence. Int. J. Comput. Vis. 2019, 127, 456–476. [Google Scholar] [CrossRef]
- Shorten, C.; Khoshgoftaar, T.M. A survey on Image Data Augmentation for Deep Learning. J. Big Data 2019, 6, 60. [Google Scholar] [CrossRef]
- Chollet, F. Deep Learning with Python; Simon and Schuster: New York, NY, USA, 2021. [Google Scholar]
- He, H.; Garcia, E.A. Learning from imbalanced data. IEEE Trans. Knowl. Data Eng. 2009, 21, 1263–1284. [Google Scholar] [CrossRef]
- Chawla, N.V.; Bowyer, K.W.; Hall, L.O.; Kegelmeyer, W.P. SMOTE: Synthetic minority over-sampling technique. J. Artif. Intell. Res. 2002, 16, 321–357. [Google Scholar] [CrossRef]
- Japkowicz, N.; Stephen, S. The class imbalance problem: A systematic study. Intell. Data Anal. 2002, 6, 429–449. [Google Scholar] [CrossRef]
- Medar, R.; Rajpurohit, V.S.; Rashmi, B. Impact of Training and Testing Data Splits on Accuracy of Time Series Forecasting in Machine Learning. In Proceedings of the 2017 International Conference on Computing, Communication, Control and Automation (ICCUBEA), Pune, India, 17–18 August 2017; pp. 1–6. [Google Scholar] [CrossRef]
- LeCun, Y.; Bengio, Y.; Hinton, G. Deep learning. Nature 2015, 521, 436–444. [Google Scholar] [CrossRef]
- He, K.; Zhang, X.; Ren, S.; Sun, J. Deep Residual Learning for Image Recognition. In Proceedings of the IEEE Conference on Computer Vision and Pattern Recognition (CVPR), Las Vegas, NV, USA, 27–30 June 2016; pp. 770–778. [Google Scholar]
- Glorot, X.; Bengio, Y. Understanding the difficulty of training deep feedforward neural networks. In Proceedings of the Thirteenth International Conference on Artificial Intelligence and Statistics, Sardinia, Italy, 13–15 May 2010; pp. 249–256. [Google Scholar]
Disclaimer/Publisher’s Note: The statements, opinions and data contained in all publications are solely those of the individual author(s) and contributor(s) and not of MDPI and/or the editor(s). MDPI and/or the editor(s) disclaim responsibility for any injury to people or property resulting from any ideas, methods, instructions or products referred to in the content. |
© 2024 by the authors. Published by MDPI on behalf of the World Electric Vehicle Association. Licensee MDPI, Basel, Switzerland. This article is an open access article distributed under the terms and conditions of the Creative Commons Attribution (CC BY) license (https://creativecommons.org/licenses/by/4.0/).




















