Research on Trajectory Tracking Control of a Semi-Trailer Train Based on Differential Braking
Abstract
1. Introduction
2. Vehicle Dynamic Model
3. Trajectory Tracking Control
4. Differential Brake Control
4.1. Low-Speed Differential Brake Control
4.1.1. Additional Yaw Moment
4.1.2. Target Brake Wheel Decision
4.2. High-Speed Differential Brake Control
4.2.1. Additional Yaw Moment
4.2.2. Target Brake Wheel Decision
4.3. Target Wheel Brake Pressure
5. Simulation Experiment Verification
5.1. Validation of Low-Speed Differential Braking Control Strategy
5.2. Validation of High-Speed Differential Braking Control Strategy
5.2.1. High-Speed Single-Shift Condition
5.2.2. High-Speed Double-Line Shift Condition
6. Conclusions
- (1)
- Differential brake control can effectively improve the driving performance of the vehicle, with the advantages of being low-cost and easy to implement. In this paper, while using MPC for trajectory tracking control of a semi-trailer train, differential braking control is used to improve the driving performance of the vehicle. On the basis of the vehicle dynamics model of the semi-trailer train, the vehicle dynamics model of the semi-trailer train considering the additional yawing moment generated by differential braking is established.
- (2)
- Under low-speed operating conditions, the desired additional yaw moment is solved by PID using the yaw rate of the tractor when traveling alone as the desired value and the yaw rate of the tractor towing the semi-trailer as the actual value. The target braking wheel is determined by formulating the differential braking control strategy under low-speed working conditions. Simulation experiments show that differential braking control under low-speed working conditions can reduce the turning radius of the semi-trailer train and improve vehicle maneuverability while ensuring trajectory tracking control accuracy.
- (3)
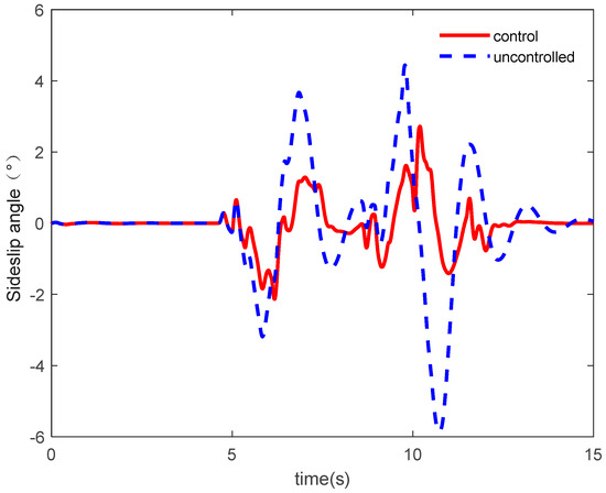
- Under high-speed working conditions, fuzzy PID is used to solve the desired additional yaw moment with the control objective of reducing the articulation angle of the semi-trailer train. The target braking wheel is determined by formulating the differential braking control strategy under high-speed working conditions. The simulation experiment results show that the differential braking control under high-speed working conditions can reduce the tractor sideslip angle, vehicle roll angle, and articulation angle and improve the stability of the vehicle when driving at high speed.
Author Contributions
Funding
Institutional Review Board Statement
Informed Consent Statement
Data Availability Statement
Conflicts of Interest
References
- Woźniak, M.; Zielonka, A.; Sikora, A. Driving support by type-2 fuzzy logic control model. Expert Syst. Appl. 2022, 207, 117798. [Google Scholar] [CrossRef]
- Wei, W.; Ke, Q.; Zielonka, A.; Pleszczyński, M.; Woźniak, M. Vehicle parking navigation based on edge computing with diffusion model and information potential field. IEEE Trans. Serv. Comput. 2023, 16, 3827–3836. [Google Scholar] [CrossRef]
- Yao, Q.; Tian, Y.; Wang, Q.; Wang, S. Control strategies on path tracking for autonomous vehicle: State of the art and future challenges. IEEE Access 2020, 8, 161211–161222. [Google Scholar] [CrossRef]
- Liu, X.; Madhusudhanan, A.K.; Cebon, D. Minimum swept-path control for autonomous reversing of a tractor semi-trailer. IEEE Trans. Veh. Technol. 2019, 68, 4367–4376. [Google Scholar] [CrossRef]
- Zong, C.; Zhu, T.; Wang, C.; Liu, H. Multi-objective stability control algorithm of heavy tractor semi-trailer based on differential braking. Chin. J. Mech. Eng. 2012, 25, 88–97. [Google Scholar] [CrossRef]
- Leng, Z.; Minor, M.A. Curvature-based ground vehicle control of trailer path following considering sideslip and limited steering actuation. IEEE Trans. Intell. Transp. Syst. 2016, 18, 332–348. [Google Scholar] [CrossRef]
- Yue, M.; Hou, X.; Gao, R.; Chen, J. Trajectory tracking control for tractor-trailer vehicles: A coordinated control approach. Nonlinear Dyn. 2018, 91, 1061–1074. [Google Scholar] [CrossRef]
- Wu, T.; Hung, J.Y. Path following for a tractor-trailer system using model predictive control. In Proceedings of the SoutheastCon, 2017, Concord, NC, USA, 30 March–2 April 2017; pp. 1–5. [Google Scholar] [CrossRef]
- Ni, Z.; He, Y. Design and validation of a robust active trailer steering system for multi-trailer articulated heavy vehicles. Veh. Syst. Dyn. 2018, 57, 1545–1571. [Google Scholar] [CrossRef]
- Ljungqvist, O.; Evestedt, N.; Axehill, D.; Cirillo, M.; Pettersson, H. A Path Planning and Path-following Control Framework for a General 2-trailer with a Car-like Tractor. J. Field Robot. 2019, 36, 1345–1377. [Google Scholar] [CrossRef]
- Liu, Z.; Yue, M.; Guo, L.; Zhang, Y. Trajectory planning and robust tracking control for a class of active articulated tractor-trailer vehicle with on-axle structure. Eur. J. Control 2020, 54, 87–98. [Google Scholar] [CrossRef]
- Bai, Z.; Lu, Y.; Li, Y. Method of improving lateral stability by using additional yaw moment of semi-trailer. Energies 2020, 13, 6317. [Google Scholar] [CrossRef]
- Abroshan, M.; Hajiloo, R.; Hashemi, E.; Khajepour, A. Model predictive-based tractor-trailer stabilisation using differential braking with experimental verification. Veh. Syst. Dyn. 2021, 59, 1190–1213. [Google Scholar] [CrossRef]
- Xia, G.; Zhao, M.; Tang, X.; Wang, S.; Zhao, L. Linear reversing control of semi-trailer trains based on hitch angle stable and feasible domain. Control Eng. Pract. 2020, 104, 104625. [Google Scholar] [CrossRef]
- Yu, Z.; Zong, C.; He, L.; Huang, J. Anti-rollover control algorithm for heavy semi-trailer based on LQG. In Proceedings of the 2010 IEEE International Conference on Information and Automation, Harbin, China, 20–23 June 2010; pp. 1593–1596. [Google Scholar] [CrossRef]
- Liu, J.; Zhao, X.; Guo, H.; Chen, H. Tractor Semi-trailer Modeling and Regional Path Tracking Control Strategy. In Proceedings of the 2020 Chinese Automation Congress (CAC), Shanghai, China, 6–8 November 2020; pp. 1961–1966. [Google Scholar] [CrossRef]
- Zhou, Y.; Yang, X.; Mi, C. Dynamic route guidance based on model predictive control. Comput. Model. Eng. Sci. 2013, 92, 477–491. [Google Scholar] [CrossRef]
- Liu, K.; Hou, Z.; She, Z.; Guo, J. Reentry Attitude Tracking Control for Hypersonic Vehicle with Reaction Control Systems via Improved Model Predictive Control Approach. Comput. Model. Eng. Sci. 2020, 122, 131–148. [Google Scholar] [CrossRef]
- Zheng, H.; Hu, J.; Ma, S. Research on Simulation and Control of Differential Braking Stability of Tractor Semi-Trailer (No. 2015-01-2842). In Proceedings of the SAE 2015 Commercial Vehicle Engineering Congress, Rosemont, IL, USA, 6–8 October 2015. [Google Scholar] [CrossRef]
- Kim, K.I.; Guan, H.; Wang, B.; Guo, R.; Liang, F. Active steering control strategy for articulated vehicles. Front. Inf. Technol. Electron. Eng. 2016, 17, 576–586. [Google Scholar] [CrossRef]
- Deng, Z.; Sun, X.; Gao, W. Research on active steering control strategy of articulated heavy vehicles. Mod. Manuf. Eng. 2021, 10, 17–24. [Google Scholar] [CrossRef]
- Tang, X.; Yan, Y.; Wang, B.; Zhang, L. Adaptive articulation angle preview-based path-following algorithm for tractor-semitrailer using optimal control. Sensors 2022, 22, 5163. [Google Scholar] [CrossRef]
- Zhang, S.; Li, G.; Wang, L. Trajectory Tracking Control of Driverless Racing Car Under Extreme Conditions. IEEE Access 2022, 10, 36778–36790. [Google Scholar] [CrossRef]
- Nie, Z. Research on Integrated Control Strategy Combined Differential Braking with Active Rear Axle Steering for Articulated Vehicle. Ph.D. Thesis, University of Jilin, Changchun, China, 2014. [Google Scholar]
- Tang, L.; Yan, F.; Zou, B.; Wang, K.; Lv, C. An improved kinematic model predictive control for high-speed path tracking of autonomous vehicles. IEEE Access 2020, 8, 51400–51413. [Google Scholar] [CrossRef]
- Hou, Y.; Xu, X. High-speed lateral stability and trajectory tracking performance for a tractor-semitrailer with active trailer steering. PLoS ONE 2022, 17, e0277358. [Google Scholar] [CrossRef] [PubMed]
- Han, S.Y.; Dong, J.F.; Zhou, J.; Chen, Y.H. Adaptive fuzzy PID control strategy for vehicle active suspension based on road evaluation. Electronics 2022, 11, 921. [Google Scholar] [CrossRef]
- Zhang, C.; Gao, G.; Zhao, C.; Li, L.; Li, C.; Chen, X. Research on 4WS Agricultural Machine Path Tracking Algorithm Based on Fuzzy Control Pure Tracking Model. Machines 2022, 10, 597. [Google Scholar] [CrossRef]
- Xue, H.; Zhang, Z.; Wu, M.; Chen, P. Fuzzy controller for autonomous vehicle based on rough sets. IEEE Access 2019, 7, 147350–147361. [Google Scholar] [CrossRef]
- Ilie, F.; Cristescu, A.C. Tribological Behavior of Friction Materials of a Disk-Brake Pad Braking System Affected by Structural Changes—A Review. Materials 2022, 15, 4745. [Google Scholar] [CrossRef]
- Janakiraman, B.; Shanmugam, S.; Pérez de Prado, R.; Wozniak, M. 3D road lane classification with improved texture patterns and optimized deep classifier. Sensors 2023, 23, 5358. [Google Scholar] [CrossRef]






























| Tractor Expected Yaw Rate Response | Actual Yaw Rate Response of Tractor | Yaw Rate Response Comparison | Tractor Target Brake Wheels |
|---|---|---|---|
| - | |||
| - | |||
| - | |||
| - | |||
| - |
| NB | NM | NS | Z | PS | PM | PB | |
|---|---|---|---|---|---|---|---|
| NB | NB | PB | PM | PM | PS | PS | Z |
| NM | PB | PB | PM | PM | PS | Z | Z |
| NS | PM | PM | PM | PS | Z | NS | NM |
| Z | PM | PS | PS | Z | NS | NM | NM |
| PS | PS | PS | Z | NS | NS | NM | NM |
| PM | Z | Z | NS | NM | NM | NM | NB |
| PB | Z | NS | NS | NM | NM | NB | NB |
| NB | NM | NS | Z | PS | PM | PB | |
|---|---|---|---|---|---|---|---|
| NB | NB | NB | NB | NM | NM | Z | Z |
| NM | NB | NB | NM | NM | NS | Z | Z |
| NS | NM | NM | NS | NS | Z | PS | PS |
| Z | NM | NS | NS | Z | PS | PS | PM |
| PS | NS | NS | Z | PS | PS | PM | PM |
| PM | Z | Z | PS | PM | PM | PB | PB |
| PB | Z | Z | PS | PM | PB | PB | PB |
| NB | NM | NS | Z | PS | PM | PB | |
|---|---|---|---|---|---|---|---|
| NB | NB | PS | Z | Z | Z | PB | PB |
| NM | NS | NS | NS | NS | Z | NS | PM |
| NS | NB | NB | NM | NS | Z | PS | PM |
| Z | NB | NM | NM | NS | Z | PS | PM |
| PS | NB | NM | NS | NS | Z | PS | PS |
| PM | NM | NS | NS | NS | Z | PS | PS |
| PB | PS | Z | Z | Z | Z | PB | PB |
| The Symbol of the Articulation Angle | Tractor Target Brake Wheels | Semi-Trailer Target Brake Wheels |
|---|---|---|
| - | - | |
| Arguments (units) | Numerical Value |
|---|---|
| Tractor quality (kg) | 5760 |
| Tractor wheelbase (mm) | 3500 |
| Trailer wheelbase (mm) | 2030 |
| Distance from the center of mass of the tractor to the front axle (mm) | 1110 |
| Distance from the center of mass of the tractor to the rear axle (mm) | 2390 |
| ) | 34,823 |
| Tractor steering gear ratio | 25 |
| Semi-trailer quality (kg) | 20,000 |
| Distance from the center of mass of the semi-trailer to the hinge point (mm) | 4000 |
| Semi-trailer wheel gauge (mm) | 1863 |
| The moment of inertia of the semi-trailer about the Z axis () | 17,999 |
Disclaimer/Publisher’s Note: The statements, opinions and data contained in all publications are solely those of the individual author(s) and contributor(s) and not of MDPI and/or the editor(s). MDPI and/or the editor(s) disclaim responsibility for any injury to people or property resulting from any ideas, methods, instructions or products referred to in the content. |
© 2024 by the authors. Licensee MDPI, Basel, Switzerland. This article is an open access article distributed under the terms and conditions of the Creative Commons Attribution (CC BY) license (https://creativecommons.org/licenses/by/4.0/).
Share and Cite
Wang, W.; Li, G.; Liu, S. Research on Trajectory Tracking Control of a Semi-Trailer Train Based on Differential Braking. World Electr. Veh. J. 2024, 15, 30. https://doi.org/10.3390/wevj15010030
Wang W, Li G, Liu S. Research on Trajectory Tracking Control of a Semi-Trailer Train Based on Differential Braking. World Electric Vehicle Journal. 2024; 15(1):30. https://doi.org/10.3390/wevj15010030
Chicago/Turabian StyleWang, Wencong, Gang Li, and Shuwei Liu. 2024. "Research on Trajectory Tracking Control of a Semi-Trailer Train Based on Differential Braking" World Electric Vehicle Journal 15, no. 1: 30. https://doi.org/10.3390/wevj15010030
APA StyleWang, W., Li, G., & Liu, S. (2024). Research on Trajectory Tracking Control of a Semi-Trailer Train Based on Differential Braking. World Electric Vehicle Journal, 15(1), 30. https://doi.org/10.3390/wevj15010030

