State-of-Health Estimate for the Lithium-Ion Battery Using Chi-Square and ELM-LSTM
Abstract
:1. Introduction
2. SOH Definition
3. Chi-Squared Statistic
4. ELM-LSTM Algorithm
4.1. LSTM Neural Network
4.2. ELM Neural Network
4.3. Integrated Approach for the ELM and LSTM Neural Network
- (1)
- Divide the acquired lithium-ion battery aging data into preliminary modelling training set, integrated modelling training set and testing set.
- (2)
- Initialize the ELM and LSTM neural network parameters, randomly.
- (3)
- Based on the preliminary modelling training set, the initial lithium-ion battery SOH estimation models are constructed using ELM and LSTM, respectively.
- (4)
- Calculate the output error series of the preliminary lithium-ion battery SOH estimation model based on the integrated modelling training set, and then obtain the standard deviation of the error series.
- (5)
- Establish the integrated estimation model of lithium-ion battery SOH, and the output weights of LSTM and ELM are calculated by Equations (14) and (15), respectively.
5. Experiment Process, Results and Discussions
5.1. Experiment Data
5.2. Experiment Procedure
- (1)
- Calculate the chi-squared statistic of voltage and mean temperature in each charging stage to reflect the capacity loss, and then the SOH data of the batteries are obtained after each discharge stage.
- (2)
- Divide the processed data into preliminary modelling training set, integrated modelling training data and testing set. In this work, the preliminary modelling training set, integrated modelling training data and testing set are divided according to 1:1:2 of the measured data
- (3)
- Based on the preliminary modelling training data, ELM and LSTM neural network, respectively, used for the preliminary modelling.
- (4)
- Establish the integrated SOH estimation model for the lithium-ion battery based on the standard deviation of the error series, which is produced by the preliminary model with the integrated modelling training set as input.
- (5)
- Generate the estimated battery SOH based on the testing data.
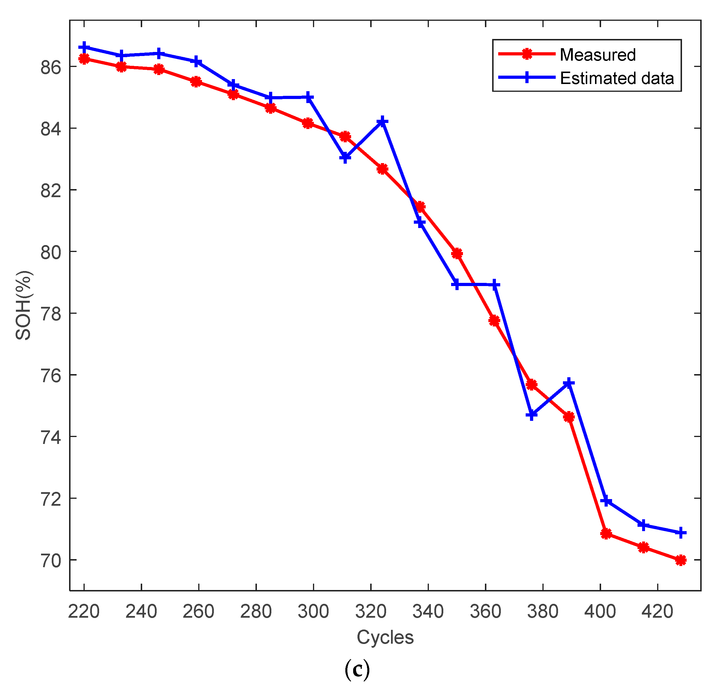
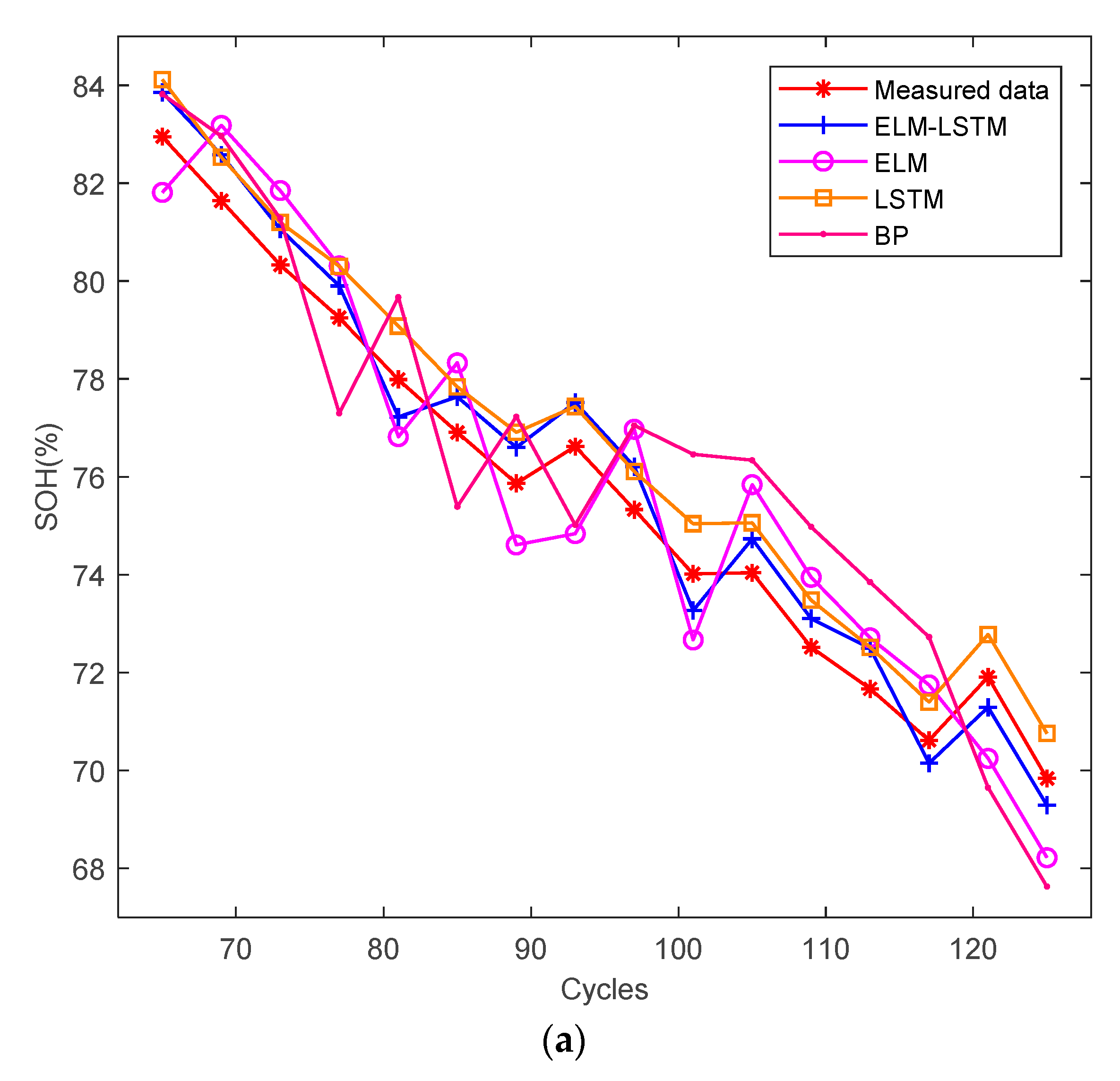
5.3. Experiment Results and Analysis
6. Conclusions
Author Contributions
Funding
Institutional Review Board Statement
Informed Consent Statement
Conflicts of Interest
References
- Xiong, R.; Li, L.; Tian, J. Towards a smarter battery management system: A critical review on battery state of health monitoring methods. J. Power Sources 2018, 405, 18–29. [Google Scholar] [CrossRef]
- Gong, Y.; Yu, Y.; Huang, K.; Hu, J.; Li, C. Evaluation of lithium-ion batteries through the simultaneous consideration of environmental, economic and electrochemical performance indicators. J. Clean. Prod. 2018, 170, 915–923. [Google Scholar] [CrossRef]
- Li, X.; Zhang, L.; Wang, Z.; Dong, P. Remaining useful life prediction for lithium-ion batteries based on a hybrid model combining the long short-term memory and Elman neural networks. J. Energy Storage 2019, 21, 510–518. [Google Scholar] [CrossRef]
- Al-Alawi, A.; Al-Alawi, S.M.; Islam, S.M. Predictive control of an integrated PV-diesel water and power supply system using an artificial neural network. Renew. Energ. 2007, 32, 1426–1439. [Google Scholar] [CrossRef]
- Lukic, S.M.; Cao, J.; Bansal, R.C.; Rodriguez, F.; Emadi, A. Energy storage systems for automotive applications. IEEE Trans. Ind. Electron. 2008, 55, 2258–2267. [Google Scholar] [CrossRef]
- Wang, Y.; Tian, J.; Sun, Z.; Wang, L.; Xu, R.; Li, M.; Chen, Z. A comprehensive review of battery modeling and state estimation approaches for advanced battery management systems. Renew. Sustain. Energ. Rev. 2020, 131, 110015. [Google Scholar] [CrossRef]
- Moura, S.J.; Perez, H.E. Better battery through electrochemistry. Mech. Eng. 2014, 136, S15–S21. [Google Scholar] [CrossRef] [Green Version]
- Lipu, M.H.; Hannan, M.A.; Hussain, A.; Hoque, M.M.; Ker, P.J.; Saad, M.M.; Ayob, A. A review of state of health and remaining useful life estimation methods for lithium-ion battery in electric vehicles: Challenges and recommendations. J. Clean. Prod. 2018, 205, 115–133. [Google Scholar] [CrossRef]
- Yang, Z.; Patil, D.; Fahimi, B. Online Estimation of Capacity Fade and Power Fade of Lithium-Ion Batteries Based on Input-Output Response Technique. IEEE Trans. Transp. Electrif. 2018, 4, 147–156. [Google Scholar] [CrossRef]
- Zou, C.; Manzie, C.; Nešić, D. A Framework for Simplification of PDE-Based Lithium-Ion Battery Models. IEEE Trans. Contr. Syst. 2016, 24, 1594–1609. [Google Scholar] [CrossRef]
- Ungurean, L.; Cârstoiu, G.; Micea, M.V.; Groza, V. Battery state of health estimation: A structured review of models, methods and commercial devices. Int. J. Energy Res. 2016, 41, 151–181. [Google Scholar] [CrossRef]
- Ng, K.S.; Moo, C.S.; Chen, Y.P.; Hsieh, Y.C. Enhanced coulomb counting method for estimating state-of-charge and state-of-health of lithium-ion batteries. Appl. Energy 2009, 86, 1506–1511. [Google Scholar] [CrossRef]
- Guo, Z.; Qiu, X.; Hou, G.; Liaw, B.Y.; Zhang, C. State of health estimation for lithium-ion batteries based on charging curves. J. Power Sources 2014, 249, 457–462. [Google Scholar] [CrossRef]
- Weng, C.; Sun, J.; Peng, H. A unified open-circuit-voltage model of lithium-ion batteries for state-of-charge estimation and state-of-health monitoring. J. Power Sources 2014, 258, 228–237. [Google Scholar] [CrossRef]
- Li, D.Z.; Wang, W.; Ismail, F. A mutated particle filter technique for system state estimation and battery life prediction. IEEE Trans. Instrum. Meas. 2014, 63, 2034–2043. [Google Scholar] [CrossRef]
- Christensen, J.; Newman, J. Effect of anode film resistance on the charge/discharge capacity of a lithium-ion battery. J. Electrochem. Soc. 2003, 150, A1416–A1420. [Google Scholar] [CrossRef]
- Christensen, J.; Newman, J. A mathematical model for the lithium-ion negative electrode solid electrolyte interphase. J. Electrochem. Soc. 2004, 151, A1977–A1988. [Google Scholar] [CrossRef] [Green Version]
- Plett, G.L. Extended Kalman filtering for battery management systems of LiPB-based HEV battery packs: Part 3. State and parameter estimation. J. Power Sources 2004, 134, 277–292. [Google Scholar] [CrossRef]
- Kim, S. A technique for estimating the state of health of lithium batteries through a dual-sliding-mode observer. IEEE Trans. Power Electr. 2010, 25, 1013–1022. [Google Scholar]
- Hu, X.; Jiang, J.; Cao, D.; Egardt, B. Battery health prognosis for electric vehicles using sample entropy and sparse Bayesian predictive modelling. IEEE Trans. Ind. Electron. 2015, 63, 2645–2656. [Google Scholar]
- He, W.; Williard, N.; Osterman, M.; Pecht, M. Prognostics of lithium-ion batteries based on Dempster-Shafer theory and the Bayesian Monte Carlo method. J. Power Sources 2011, 196, 10314–10321. [Google Scholar] [CrossRef]
- Lin, H.T.; Liang, T.J.; Chen, S.M. Estimation of battery state of health using probabilistic neural network. IEEE Trans. Ind. Inform. 2013, 9, 679–685. [Google Scholar] [CrossRef]
- Singh, P.; Fennie Jr, C.; Reisner, D. Fuzzy logic modelling of state-of-charge and available capacity of nickel/metal hydride batteries. J. Power Sources 2004, 136, 322–333. [Google Scholar] [CrossRef]
- Nuhic, A.; Terzimehic, T.; Soczka-Guth, T.; Buchholz, M.; Dietmayer, K. Health diagnosis and remaining useful life prognostics of lithium-ion batteries using data-driven methods. J. Power Sources 2013, 239, 680–688. [Google Scholar] [CrossRef]
- Weng, C.; Feng, X.; Sun, J.; Peng, H. State-of-health monitoring of lithium-ion battery modules and packs via incremental capacity peak tracking. Appl. Energy 2016, 180, 360–368. [Google Scholar] [CrossRef] [Green Version]
- Bloom, I.; Jansen, A.N.; Abraham, D.P.; Knuth, J.; Jones, S.A.; Battaglia, V.S.; Henriksen, G.L. Differential voltage analyses of high-power, lithium-ion cells: 1. Techniques and application. J. Power Sources 2005, 139, 295–303. [Google Scholar] [CrossRef]
- Wu, B.; Yufit, V.; Merla, Y.; Martinez-Botas, R.F.; Brandon, N.P.; Offer, G.J. Differential thermal voltammetry for tracking of degradation in lithium-ion batteries. J. Power Sources 2015, 273, 495–501. [Google Scholar] [CrossRef]
- Zhang, Y.; Xiong, R.; He, H.; Pecht, M.G. Long short-term memory recurrent neural network for remaining useful life prediction of lithium-ion batteries. IEEE Trans. Veh. Technol. 2018, 67, 5695–5705. [Google Scholar] [CrossRef]
- Lipu, M.H.; Hannan, M.A.; Hussain, A.; Saad, M.; Ayob, A.; Uddin, M. Extreme Learning Machine Model for State-of-Charge Estimation of Lithium-Ion Battery Using Gravitational Search Algorithm. IEEE Trans. Ind. Appl. 2019, 55, 4225–4234. [Google Scholar] [CrossRef]
- Chen, H.; Fu, S.; Wang, H. Optical coherence tomographic image denoising based on Chi-square similarity and fuzzy logic. Opt. Laser Technol. 2021, 143, 107298. [Google Scholar] [CrossRef]
- Pirhaji, L.; Kargar, M.; Sheari, A.; Poormohammadi, H.; Sadeghi, M.; Pezeshk, H.; Eslahchi, C. The performances of the chi-square test and complexity measures for signal recognition in biological sequences. J. Theor. Biol. 2008, 251, 380–387. [Google Scholar] [CrossRef]
- Shi, B.; Zhang, Y.; Yuan, C.; Wang, S.; Li, P. Entropy Analysis of Short-Term Heartbeat Interval Time Series during Regular Walking. Entropy 2017, 19, 568. [Google Scholar] [CrossRef]
- Uğurlu, F.; Yıldız, S.; Boran, M.; Uğurlu, Ö.; Wang, J. Analysis of fishing vessel accidents with Bayesian network and Chi-square methods. Ocean Eng. 2020, 198, 106956. [Google Scholar] [CrossRef]
- Yang, J.; Peng, Z.; Wang, H.; Yuan, H.; Wu, L. The remaining useful life estimation of lithium-ion battery based on improved extreme learning machine algorithm. Int. J. Electrochem. Sci. 2018, 13, 4991–5004. [Google Scholar] [CrossRef]
- Liu, D.; Xie, W.; Liao, H.; Peng, Y. An integrated probabilistic approach to lithium-ion battery remaining useful life estimation. IEEE Trans. Instrum. Meas. 2014, 64, 660–670. [Google Scholar]
- Xing, Y.; Ma, E.; Tsui, K.; Pecht, M. An ensemble model for predicting the remaining useful performance of lithium-ion batteries. Microelectron. Reliab. 2013, 53, 811–820. [Google Scholar] [CrossRef]
- Zheng, X.; Fang, H. An integrated unscented Kalman filter and relevance vector regression approach for lithium-ion battery remaining useful life and short-term capacity prediction. Reliab. Eng. Syst. Safe. 2015, 144, 74–82. [Google Scholar] [CrossRef]











| Case | Proposed Method | ELM Neural Network | LSTM Neural Network | BP Neural Network | ||||
|---|---|---|---|---|---|---|---|---|
| AE (%) | ME (%) | AE (%) | AE (%) | ME (%) | ME (%) | AE (%) | ME (%) | |
| Battery 5 | 0.95 | 1.17 | 1.85 | 1.22 | 1.41 | 2.45 | 2.40 | 3.29 |
| Battery 6 | 0.97 | 1.19 | 1.80 | 1.37 | 1.77 | 2.3 | 2.34 | 3.26 |
| Battery pack | 0.97 | 1.86 | 2.04 | 2.41 | 1.06 | 1.73 | 2.43 | 3.37 |
Publisher’s Note: MDPI stays neutral with regard to jurisdictional claims in published maps and institutional affiliations. |
© 2021 by the authors. Licensee MDPI, Basel, Switzerland. This article is an open access article distributed under the terms and conditions of the Creative Commons Attribution (CC BY) license (https://creativecommons.org/licenses/by/4.0/).
Share and Cite
Jiang, J.; Zhao, S.; Zhang, C. State-of-Health Estimate for the Lithium-Ion Battery Using Chi-Square and ELM-LSTM. World Electr. Veh. J. 2021, 12, 228. https://doi.org/10.3390/wevj12040228
Jiang J, Zhao S, Zhang C. State-of-Health Estimate for the Lithium-Ion Battery Using Chi-Square and ELM-LSTM. World Electric Vehicle Journal. 2021; 12(4):228. https://doi.org/10.3390/wevj12040228
Chicago/Turabian StyleJiang, Jianfeng, Shaishai Zhao, and Chaolong Zhang. 2021. "State-of-Health Estimate for the Lithium-Ion Battery Using Chi-Square and ELM-LSTM" World Electric Vehicle Journal 12, no. 4: 228. https://doi.org/10.3390/wevj12040228
APA StyleJiang, J., Zhao, S., & Zhang, C. (2021). State-of-Health Estimate for the Lithium-Ion Battery Using Chi-Square and ELM-LSTM. World Electric Vehicle Journal, 12(4), 228. https://doi.org/10.3390/wevj12040228

