Next Article in Journal
Hybrid Carrier Frequency Modulation Based on Rotor Position to Reduce Sideband Vibro-Acoustics in PMSM Used by Electric Vehicles
Next Article in Special Issue
Real Driving Range in Electric Vehicles: Influence on Fuel Consumption and Carbon Emissions
Previous Article in Journal
Enhancing the Power Quality of the Grid Interactive Solar Photovoltaic-Electric Vehicle System
 
 
Font Type:
Arial Georgia Verdana
Font Size:
Aa Aa Aa
Line Spacing:
Column Width:
Background:
Article

Fuel Consumption and Emissions Analysis of a Light Vehicle Fuelled with Two Ethanol–Gasoline Blends in Urban Driving Conditions of Lima Metropolitana

by
Andrea Rondón
†,‡,
Rolando Aliaga
†,‡ and
Julio Cuisano
*,†
Pontificia Universidad Católica del Perú, San Miguel, Lima 32 15088, Peru
*
Author to whom correspondence should be addressed.
Current address: Av. Universitaria 1801, San Miguel, Lima 32 15088, Peru.
These authors contributed equally to this work.
World Electr. Veh. J. 2021, 12(3), 99; https://doi.org/10.3390/wevj12030099
Submission received: 31 May 2021 / Revised: 20 June 2021 / Accepted: 24 June 2021 / Published: 15 July 2021
(This article belongs to the Special Issue Fuel Consumption and Emissions from Vehicles)

Abstract

We present a comparative study of fuel consumption, emissions factors, and vehicle-specific power of a light vehicle operating with two gasoline–ethanol blends as fuel: commercial gasohol (E7.8) and an alternative mix with 10% v/v of ethanol (E10). For this purpose, a vehicle in the city’s fleet was equipped with a central system of data acquisition, whose main function was to capture second-by-second data of the air intake of the engine, the emissions concentration levels in the exhaust, the distance traveled, vehicle speed, and environmental conditions during testing. The measuring campaign was carried out in the city of Lima Metropolitana. Fuel consumption was calculated indirectly, using air intake measurements. The vehicle’s engine emissions were analysed using the mass flow rates of CO2, CO, HC, and NOx, as well as the vehicle-specific power. The results show that, in traffic conditions, the change in fuels does not affect the consumption. On the other hand, a correlation was found between the vehicle-specific power and the emissions mass flow. During the comparison between fuels, the results showed an increase in the mass flow standard deviation when using E10.

1. Introduction

The production of ethanol in Perú dates back to 2009, and according to the USDA [1], in 2020, the forecasted status of ethanol production/consumption and exports (in millions of litres) was 170 for production, 187 for consumption, and 162 for exports. In the country’s fuel market, ethanol is mixed with gasoline with a percentage of 7.8%, and its commercial name is gasohol. As most of the ethanol produced in the country is exported, and the amount of gasoline imports has been on the rise in recent years, raising the percentage of ethanol in local fuel is something that can be considered.
On the other hand, in the metropolitan area of the city of Lima, 60% of the air pollution comes from the vehicle fleet, according to a report presented by the Ministerio de Ambiente [2] of the country. A possible response to this might be increasing the percentage of ethanol in the local fuel blend, as the existing literature suggests that doing so decreases the amount of vehicle emissions. For example, a study presented by Tibaquira et al. [3] regarding the changes in emissions and fuel consumption as the percentage of ethanol in gasoline–ethanol fuel blends increases showed that the user did not detect changes in the behaviour of the vehicle or changes in torque, power, or acceleration. This study was done on small vehicles and engines using four gasoline–ethanol blends (E0, E10, E12, and E15). Regarding the behaviour of vehicle emissions, the increment in combustion efficiency resulted in a small increase in the CO2 emissions and a reduction in CO and HC. Finally, there was no change in the behaviour of the vehicle parts or a deterioration of them.
Another study presented by Saikrishnan et al. [4] supports these findings and the hypothesis of a reduction in emissions due to better combustion, and it also notes that there is an increase in fuel consumption due to the fact that ethanol has less calorific power. The study was done on a three-cylinder four-stroke SI engine with four gasoline–ethanol fuel blends (E0, E5, E10, E15), and the results showed that the E10 blend outperformed the other blends tested.
As for studies performed on on-road vehicles, Yao et al. [5] tested two different spark ignition engines using a blend of gasoline and ethanol with 15% ethanol (E15), where one of the engines operated with a carburettor and the other used an electrical injection system. The results, when compared with commercial gasoline, showed that the CO emissions were lower by 32% in the case of the engine with the carburettor (2.07 g/km) and by 10% for the other engine (2.38 g/km). For total hydrocarbon (THC) emissions, the tests resulted in a reduction by 10% for the engine with the electrical injection system, while, in the case of the carburettor engine, the results were not shown. Finally, in the case of NOx emissions, a reduction of 36% was shown for the engine with the carburettor, whereas the other engine showed an increase of 3%. From these results, the authors concluded that the blend can be used for both injection systems without secondary problems.
The same findings were accounted for by Yuan et al. [6], who performed tests on five different vehicles: one flexible-fuel vehicle (FFV) and four non-flexible-fuel vehicles (non-FFV). The vehicles were all light vehicles, and the purpose of the study was to determine whether the non-FFV vehicles could adapt to mid-level blends. This is important because according to the Worldwide Fuel Charter [7], the maximum recommended percentage of ethanol is 10%, and in the case of Lima, most of the vehicles of the fleet correspond to non-FFV vehicles. As for the fuel blends used in the test, four different blends were used on three ethanol percentages: E0 corresponding to no ethanol in the blend, E10 with 10% ethanol in the blend, and E27 as a mid-level gasoline–ethanol fuel blend. For the E10 blend, both regular and premium gasoline were tested. The results obtained showed that the non-FFV vehicles were able to adapt to the blends tested. As for the vehicle emissions, there was a decrease in the case of CO2, CO, and NOx for the case of E27, whereas in the case of E10 and E10P (corresponding to premium gasoline) there was not a significant difference in vehicle emissions.
Regarding the performance under different conditions and with different gasoline bases for the gasoline–ethanol blend, Hernandez et al. [8] carried out a study using regular gasoline (87 octane, R) and premium gasoline (92 octane, P). The percentages of ethanol used in this study were E5 and E15, which resulted in four blends, named E5R, E15R, E5P, and E15P. Three light vehicles were selected: a 2004 Nissan Tsuru (with engine 1.6 L, 132 hp, 6400 rpm), 2005 VW Derby (with engine 1.8 L, 132 hp, 5500 rpm), and 2008 Jeep Compass (with engine 2.4 L, 172 hp, 5400 rpm). Three kinds of tests were performed: cold-start (the engine had not been used in the last 12 h), hot-start (the vehicles were turned off for 10 min prior to the start of the test), and constant speed (the vehicles were driven in traffic-free streets in a 3 km circuit). The results obtained showed a reduction in fuel consumption for all gasoline–ethanol blends in relation to their pure gasoline counterparts. In the case of E5R, the reduction was 4.4%, while it was 9.9% for E15. For the premium fuel blends, the reduction was smaller: 2.9% for E5P and 5.5% for E15P. Furthermore, among the vehicles, the Jeep Compass showed the least reduction in fuel consumption. With regard to vehicle emissions, the E15P blend showed the fewest emissions (0.77 g/km of CO, 0.0032 g/km of HC, and 0.017 g/km of NOx). The HC emissions were, in general, higher for blends using premium gasoline (0.032 g/km for E15P and 0.038 g/km for E5P), compared to the values for regular gasoline (0.024 g/km for E15R and 0.024 g/km for E5R). These results showed that changes in technology can help to reverse the effect of the smaller calorific power of ethanol in terms of performance.
As seen from the studies presented, there exists a need to quantify the effects of increasing the content of ethanol in gasoline–ethanol blends in Perú, due to both the existence of ethanol as a resource and the environmental impact of its use. This study presents an analysis of the fuel consumption and vehicle emissions, such as CO2, CO, HC, and NOx, in a light vehicle that uses a spark ignition engine. The gasoline–ethanol blends used were E7.8, which corresponds to the blend used commercially in the country, and E10, which is the maximum recommended percentage of ethanol, according to the Worldwide Fuel Charter [7]. The vehicle used was equipped in such a way that allowed for the collection of data for the identified variables in real-time during the tests. For the calculations, the fuel consumption was calculated based on air intake measurements and the air–fuel ratio, whereas the exhaust emissions concentrations were directly measured using a portable gas analyser. Finally, to conduct a first analysis of the behaviour of the vehicle emissions, we used a parameter denoted as vehicle-specific power (VSP), which allowed us to establish a relationship between the operational conditions of the vehicle and its emissions.
The use of VSP for the analysis of the emissions was first introduced by Jimenez-Palacios [9] as a parameter which establishes a relationship between vehicle emissions, the kinematic characteristics of the vehicle (e.g., speed and acceleration), and the vehicle specifications themselves. The relationships between said kinematic parameters being influential factors in the level of emissions have been well-documented in the literature (see, e.g., [10,11]) for the case of gasoline and diesel powered vehicles, and the authors have concluded that the most influential factors are those associated with acceleration, power demand, speed, and gearshift. These factors are taken into account during the calculation of the VSP, although the VSP is not the only parameter associated with said characteristics, as evidenced by the studies performed by Zhai et al. [12]. Still, the advantage of this parameter, over the others, is that while others might have a better correlation with emissions, they are not as accessible as VSP.

2. Methods

To obtain data that would be of use for further analysis, the experiment was designed as a series of 12 tests under two different driving regimes (constant speed and traffic conditions) using two different gasoline–ethanol compositions (E7.8 and E10). Table 1 shows the codification of the tests, as well as the driving regime under which they fall.

2.1. Data Collection

2.1.1. Driving Circuits

The data collection campaign was carried out using two types of circuits: one for the tests at constant speed and the other in traffic conditions. The tests at constant speed were carried out on Ramiro Prialé avenue (Figure 1), at approximately 60 km/h, and lasted around 8, 7, and 5 min. In the case of traffic conditions (Figure 2) testing, combinations of streets and avenues were used, and the total distance was of 21.3 km, with a time of 1 h and 17 min or 1 h and 12 min, depending on the time of the day (morning versus evening traffic); rush hours were taken into account.

2.1.2. Vehicle

The vehicle used for the tests was a 2010 Hyundai Santa Fe (see Figure 3). The vehicle has 7 seats, a Double Overhead Camshaft (DOCH) engine with a 2400 capacity, and two-wheel drive. The main characteristics of the vehicle can be seen in Table 2.

2.1.3. Data Acquisition System and Instrumentation

The data acquisition system (DAS) (See Figure 4) was developed to integrate all the information received from all the sensors and save the data in a single file for future analysis, while providing a low-energy, robust, and independent solution with a simple user interface (UI) for the rough conditions of the prolonged driving circuits.
Based on the Arduino Mega 2560 board (arduino.cc, Somerville, MA, USA), the DAS made use of its versatile programming environment to process the input analogue signals (from the gas analyser, flow sensor, humidity and temperature sensors, and UI buttons), output digital signals (PWM to control LEDs), and I/O serial signals (GPS, accelerometer, SD card) involved in the test. While recording, 14 variables were saved each second onto a removable SD card.
The DAS and instrumentation were composed of the parts described below.

Sensors

Five sensors were placed in the vehicle in order to collect the necessary information. Their locations on the vehicle are shown in Figure 5.
  • Gas Analyser FGA4500XDS (Infrared Industries, Hayward, CA, USA): A gas analyser was used to retrieve the exhaust pipe emissions concentrations. Values included HC, CO, CO2, O2, NOx, and lambda factor. The variables were registered from its analogue voltage output.
  • Temperature and Relative Humidity Sensor HX94C (Omega, Norwalk, CT, USA): Located outside the vehicle, in order to register environmental conditions. Transmitted as current signals.
  • Flow Sensor hot-film air-mass meter HFM5 (BOSCH, Farmington Hills, MI, USA): Installed in the engine’s air inlet, as an indirect way to measure fuel consumption. The measurement was transmitted as a voltage output (See Figure 6).
  • Accelerometer MPU-6000 (InvenSense, San Jose, CA, USA): Used to measure the vehicle’s slope or pitch during non-horizontal tracks. The value was calculated with the help of an on-board algorithm. The sensor was located in the DAS case.
  • GPS (Grover, Berlin, Germany): GPS chip compatible with Arduino Boards. Data regarding date, time, location, and velocity were collected through serial communication. The sensor was located in the DAS case.

Signal and Power Conditioning

Given the variety of sensors used, a small circuit board was designed to convert the analogue output signals from the sensors into standard 0–5 V analogue input signals for the Arduino board. Sensors compatible with Arduino boards send data by serial communication, such that no signal conditioning was necessary for those sensors. A 12 V to 7 V power converter was also included for the devices that could not handle 12 V. Most of the devices involved were powered directly from this board; the gas analyser was the only one powered directly by the battery.

Central Processing

The Arduino Mega 2560 board was responsible for the reception, interpretation, and synchronisation of all the relevant data sent by the sensors, as well as their integration into a single file in a external device at a fixed sample rate of 1 Hz. This board was selected due to its multiple input pins, serial channels, and the possibility to include sensors compatible with Arduino boards such as the accelerometer and the GPS. The synchronisation of the data was a crucial task for the post-analysis and was our main reason for integrating all the instrumentation in a single unit.
The recording parameters were defined in the program, and any change was performed by re-uploading the program with the new values of the variables in the Arduino board.

Data Storage

Once all the variables were processed, they were organised and recorded in a .txt file on an SD card through serial communication using an SD interface module. In each iteration, the program opens the file and adds new data, identified by an index number and the date/time registered by the GPS. The data are saved every 5 min (modifiable), providing extra protection against any problem with power or connections that could lead to data loss. By using a laptop, it is possible to monitor the variables as they are printed in the serial monitor; however, this is only suitable if the laptop has enough battery for the full length of the test, which is impractical. This was the main reason for using the SD card as the external storage device, as it allows for much longer tests and less overall energy consumption. The file’s text can be copied directly from Notepad to Excel (or any similar program) for post-analysis. The SD card can be extracted at any time while the DAS is not recording.

User Interface

The simple UI, with only two buttons and three state LEDs, allows for easy use of the DAS. Once energised, the 3 state LEDs indicate ON, recording, and not ready (most likely when the SD card is not in position), while the two buttons function as start/stop recording buttons.

Energy Source

Using the vehicle as an energy source was also considered, but any problem with the vehicle could potentially lead to a loss of information. An on-board 12 VDC portable battery was selected as an independent energy source to power the DAS (sensors included). As the DAS had low power consumption, it was more than enough to keep it running for days, whether the car was turned on or not.

2.2. Data Processing

2.2.1. Fuel Consumption Calculation

To calculate the fuel consumption, the air intake flow from the MAF sensor installed in the intake manifold was used, along with the data of the lambda factor λ and the AFR (Equation (1)). Additionally, with the data obtained from the GPS, we calculated the fuel consumption in g/km (Equation (2)):
m ˙ f u e l = m ˙ a i r · F e λ
where m ˙ f u e l is the fuel flow (g/s), m ˙ a i r is the air flow (g/s), and F e is the stoichiometric dosage, and
c o n s u m p t i o n f u e l = 1 t m ˙ f u e l δ · D
where D is the distance (km) and δ is the fuel density (kg/L).

2.2.2. Emissions Mass Flow

To calculate the emissions factors, the mass flow was first calculated for each of the gasoline–ethanol blends. These calculations were based on the procedure specified by [14], including the combustion reaction equation, the calculation of the lambda factor, the air/fuel ratio, and the mass flows.
First, we balance the combustion reaction Equation (3), which shows the relationship between the fuel composition (represented by the Greek letters α , β , and ϵ ) and the combustion coefficients, as well as the lambda factor:
X · C a H b + Y · C 2 H 5 O H + λ · [ ( β + α 4 ) ϵ 2 ] · O 2 + λ · [ ( β + α 4 ) ϵ 2 ] · 78 21 N 2 + λ · [ ( β + α 4 ) ϵ 2 ] · 1 21 A r β · C O 2 + α 2 · H 2 O + λ · [ ( β + α 4 ) ϵ 2 ] · 78 21 N 2 + λ · [ ( β + α 4 ) ϵ 2 ] · 1 21 A r + ( λ 1 ) · [ ( β + α 4 ) ϵ 2 ] · O 2
where
C a H b : Gasoline formulae;
C 2 H 5 O H : Ethanol formulae;
β , α , λ : Quantity of carbon, hydrogen, and oxygen atoms present in the fuel blend;
λ : Lambda factor;
O 2 , N 2 , A r : Selected components of the air;
C O 2 , H 2 O , O 2 , N 2 , A r : Selected components that represent exhaust gas.
As for the values of β , α , and λ , they can be found in the expressions below:
β = a · X + 2 · Y
α = b · X + 6 · Y
ϵ = Y
The values used for the fuel compositions in the calculations for each blend were as follows. Furthermore, regarding the composition of gasoline, the value used for calculation was taken from [15], as no local data were available.
Gasohol E7.8 (Gasoline 92%, Ethanol 7.8%, v/v): 0.922 C 8.26 H 15.5 + 0.1 C 2 H 5 O H ;
Gasohol E10 (Gasoline 90%, Ethanol 10%, v/v): 0.9 C 8.26 H 15.5 + 0.078 C 2 H 5 O H .
Then, using the emissions concentration data, the lambda factor was calculated using Equation (4):
λ = c C O 2 + c C O 2 + c O 2 + c N O x 2 + [ α 4 · 3.5 3.5 + c C O c C O 2 ϵ 2 ] · ( c C O 2 + c C O ) [ 1 + α 4 ϵ 2 ] · ( c C O 2 + c C O + K 1 · c H C ) .
where
λ : Air excess coefficient;
C C O , C C O 2 , C H C , C O 2 , C N O x : Volumetric exhaust components shares;
K1: Conversion factor for the HC calculations from FID (flame ionisation detector) method to NDIR (non-dispersive infrared).
Finally, the mass flow was calculated for each of the emissions species, using the real air/fuel ratio (AFR) calculated with the lambda factor and the stoichiometric air/fuel ratio. The equation is as follows:
m ˙ i · ( 1 + 1 λ + A F R ) · c i · μ i j = 1 j = n c j · μ j ,
where m ˙ i is the mass flow of emission species i (g/s), m ˙ a i r is the humid air flow (g/s), c i is the volumetric percentage of component i (-), and μ i is the molar mass of component i (g/mol).

2.2.3. Vehicle-Specific Power

After the first calculations for the mass flow of the emissions were made, the VSP was calculated (Equation (6)), as proposed by Jimenez-Palacios [9]:
V S P = v · ( a · ( 1 + ϵ i ) + ( g r a d e + C R ) ) + 1 2 ρ a C D · A m ( v + v w ) 2 · v
where
VSP: Vehicle-Specific Power;
v: Speed;
a: Acceleration;
ϵ : Mass Factor;
C R : Rolling Coefficient;
ρ a : Air density;
C D : Drag Coefficient;
A: Vehicle Area;
m: Vehicle mass;
( v w ) : Wind speed.
Table 3 shows the values used for the calculation of the VSP parameter.
The results were then plotted for each of the gasoline–ethanol blends in order to determine the VSP distribution (See Figure 7 and Figure 8).
The distributions in both cases show a unimodal bell-shaped curve centred on a value close to zero with a range that goes from around –15 to values over 20 kW/Ton. The reason for the presence of negative values is due to the strong influence of the acceleration in the final value of the VSP.
In both cases, the distribution was a Student’s t-distribution, as shown in the probability plot for both distributions, which was also confirmed by t-tests. Still, this is not enough to say that for vehicles circulating in the city, the VSP distribution will always be a t-distribution, not even for the case of the vehicle in which the tests were performed. This may be due to the small number of samples in the test (six samples for each of the blends); thus, what can be expected is for the data to start approaching a normal distribution as the number of samples increases. However, for the case of this study, the values obtained are still useful for indicating the relationship between the VSP values and the emissions.

3. Results and Discussion

Once the data processing was finished, the results for both fuel blends (E7.8 and E10) were compared, based on the different aspects covered by the data available, whose main points were vehicle-specific power, fuel consumption, and vehicle emissions.

3.1. Vehicle-Specific Power

In the case of the vehicle-specific power, the first comparison was carried out based on the VSP values for each blend. The results showed that, despite the fact that the VSP does not take the fuel used into account during the calculation, there was a change in its distribution. This difference can be visualised by comparing the resulting box-plots (Figure 9), as well as by looking at the statistical summary for each of the distributions (Table 4 and Table 5).
There were two key differences found between the distributions of the blends: dispersion and centre mean. First, in the case of the distributions’ dispersion, the difference was measured using the interquartile range (IQR), as well as the standard deviation ( σ ). In both cases, the E10 blend presented higher values, and the differences found were 0.12 for the variance and 0.65 for the IQR. The difference in the means ( μ ) also showed a higher value for the E10 blend, with a difference of 0.46, which means that most of the distribution was located to the right of the distribution for the E7.8 blend.
These are important points to take into account when analysing the relationship between the emissions mass flow and the VSP, as these distributions define the range in which the emissions are significant, and in the case of the E10 blend, it was larger. Another point to be taken into account is the difference in distribution symmetry which, in this study, was measured using a parameter known as medcouple (MC). Again, the E10 blend had a higher value than that of E7.8, which means that the E10 distribution was less symmetric and, in this case, had a longer tail to the left.
Finally, regarding the true distribution that generated the empirical data collected, and based on the differences encountered while taking into account that the VSP itself does not take into account the fuel used, it is reasonable to evaluate whether the distributions which generated the samples taken were different. For that purpose, a Kolmogorov–Smirnoff test was conducted in order to determine whether the distance between the fuel blend distributions was large enough to be able to affirm that they were, in fact, different. Then, the results showed that the samples came from different distributions.

3.2. Fuel Consumption

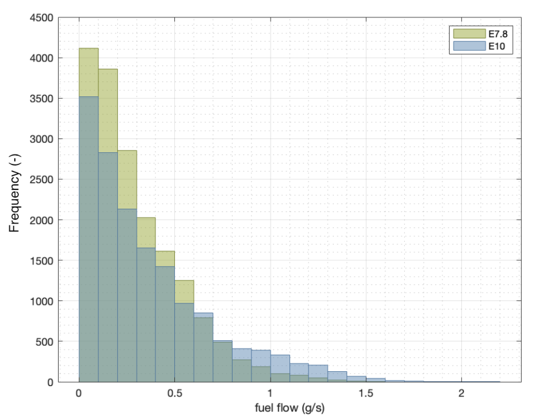
Regarding fuel consumption, the calculations were carried out for each of the tests, and the comparisons drawn between fuel blends can be seen in Table 6 and in the histogram comparison (Figure 10).
The results show that the main difference in fuel flow between blends lay in the sparsity of the distributions, where the E10 blend had a higher standard deviation value (0.09 difference), which also shows in the value of the mean (0.07 difference). Moreover, there was a strong difference in how fat the tail was for both distributions, which means that there was a higher probability of the E10 blend having a higher fuel flow which, in turn, means a higher fuel consumption.
A comparison was also made for the different driving regimes tested (Figure 11), which helped to explain the shape of the tail mentioned earlier and provided insight into how the fuel behaved in the constant speed case.
In the constant speed case, the shape of the distribution was completely different from the tests in traffic conditions, with a bell-shaped distribution instead. The placement of the curves in relation to each other was more noticeable, with the E10 blend showing higher fuel flows in general, which could be measured by the difference in the mean values, having a value of 0.57.
With that in mind, the tail shape of the E10 plot in Figure 10 can be explained, as the values corresponding to the tests at constant speed were located in that range (from approximately 0.5 to 1.5). In contrast, in the case of the E7.8 blend, the values at constant speed were lower and had a much less noticeable effect on the shape of the overall curve.
Finally, this means that, in terms of fuel flow, the E7.8 blend proved to be more stable as the speed changed, as the curve was closer to the mean of the tests in traffic conditions.

3.3. Vehicle Emissions

In the case of vehicle emissions, the analysis was conducted using bins for the VSP range. This means that the range of the VSP was split, which allowed us to visualise how the mass flow distribution changes as the value of the VSP increases. The bins were chosen based on the IVE [17] method and allowed for the establishment of a baseline for the comparison between fuel blends. Table 7 shows the bins corresponding to the main statistical values—Q1, mean ( μ ), and Q3—for each of the fuel blends.
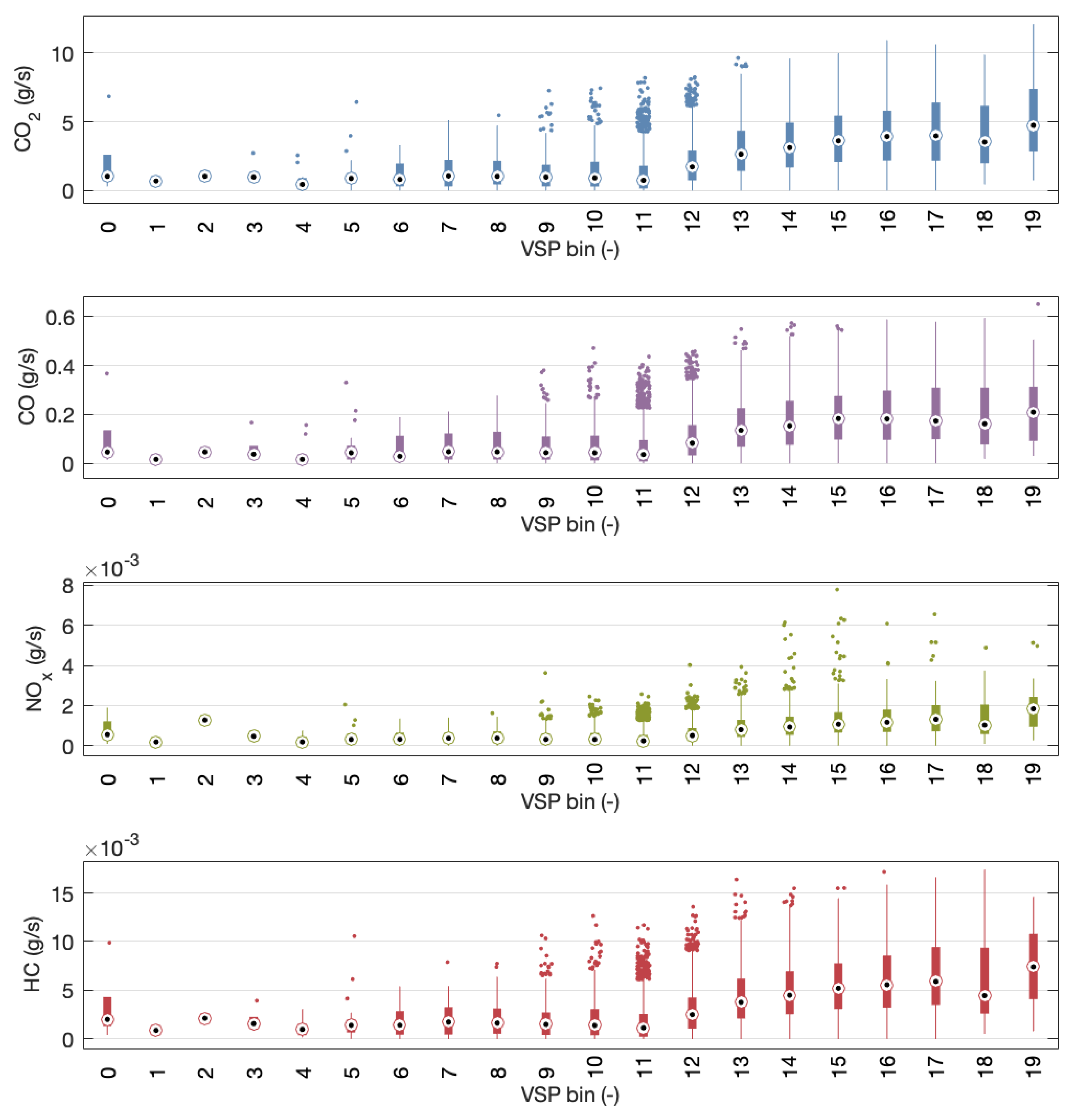
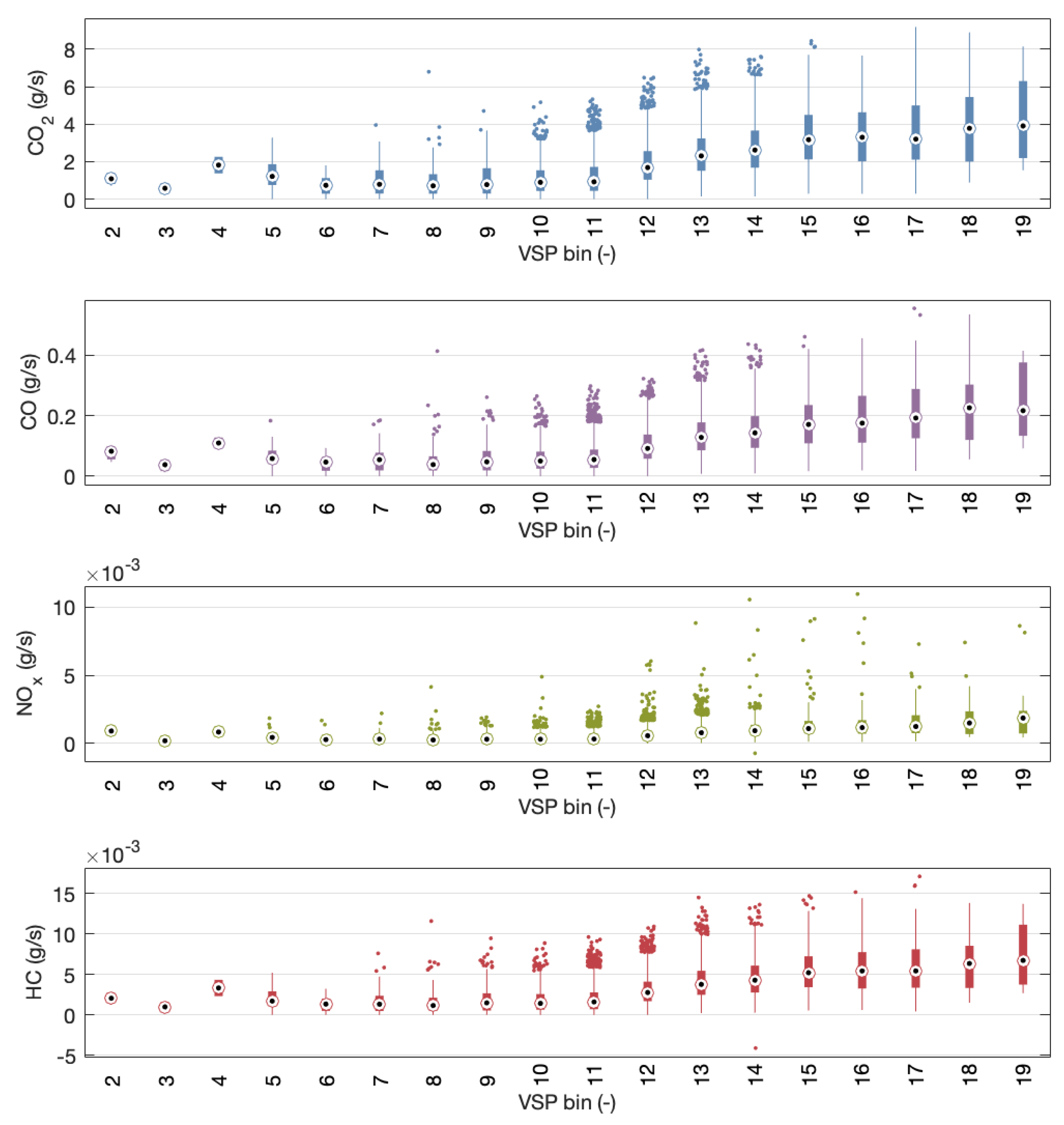
The analysis was carried out in two ways: first, box plots were used to see if any pattern emerged (see Figure 12 and Figure 13 for E7.8 and E10, respectively). Then, the individual histograms were plotted in order to take a closer look at the individual distributions.
In the case of the box plots shown in Figure 12 and Figure 13, the means of each of the contaminant species showed a similar trend, where the mean values of the box plot for bins below bin 11 (i.e., VSP values between −2.9 and 1.2) were close to zero, and the mass flow value increased for bins with higher values, up to bin 15 (13.6 and 17.7). After bin 15, the values stabilised. These results are similar to those presented by [9].
Still, these is another point to be made about the actual time the vehicle tested spent in those bins and, by extension, the number of points available to construct the individual box plots. From the values shown in Table 6, the bins that were considered to be part of the distribution were those between N°s 8 and 16, with heavy emphasis in bins 11 to 13, where the number of points increased noticeably, and which were the bins containing 50% of the points.
Finally, based on the box plots shown above, a comparison of the behaviour between E7.8 and E10 was made (Figure 14). The values chosen for comparison were Q1 (25th percentile), the mean, and Q3 + 1.5 IQR, which corresponds to the maximum representative value of the distribution.
In the plots (Figure 14), we found some common behaviours. All four plots showed no significant difference between the means and Q1 values for both blends. On the other hand, in the CO2, CO, and HC plots, the values of Q3 + 1.5IQR for the E10 fuel blend were consistently higher throughout the VSP bins. This means that, although the mean value of the pollutant mass flow did not change when E10 was used, there was a higher probability of the E10 blend resulting in higher mass flow emissions. In the case of the NOx, there was no significant change in either of the values plotted, which may be attributed to the fact that the measurements were taken in the vehicle exhaust pipe, after the catalytic converter.
These results indicate that the main difference between fuel blends was in the sparsity of the samples, which can be better viewed in the plot for the standard deviation per bin, as shown in Figure 15.

4. Conclusions

From the results obtained it can be concluded that it is possible to establish a methodology for the experimental evaluation of fuel consumption as well as vehicle emissions in the city of Lima Metropolitana. From this, it can be further stated that vehicle-specific power is a parameter that has some correlation with emissions mass flow.
In regards to fuel consumption, the distributions obtained for the tests performed in traffic conditions showed similar values, whereas in the tests performed at a constant speed, for the E10 blend, the fuel flow increased by 28.55%; this can be attributed to the reduction in the fuel’s lower calorific value with the increase in ethanol.
As for the vehicle emissions and VSP, it was shown that there is a correlation between both, which confirms what was shown by previous studies. However, when comparing the main statistical values (Q1, mean, Q3 + 1.5IQR) for each of the species in the study (CO, CO2, HC, and NOx), there was no significant difference between the two fuel blends. Still, the main difference found was in the dispersion of the distribution, which can be seen more clearly in the standard deviation values for each of the emission species. The average values obtained were as follows: 0.5 for CO2, 0.03 for CO, 0.4 for HC, and a value close to zero in the case of NOx, which can be attributed to the fact that, at the point of measurement, the exhaust gas treatment has already occurred.
For continuing research, the authors suggest continuing the study of the effect of increasing the percentage of ethanol in gasoline–ethanol fuel blends on other vehicles to determine the existing relationship between the kinematic variables and the vehicle emissions. Another important point to take into account is the improvement of the model used to determine the mass flow of the emissions measured. This can be done by studying the kinetics of the blend, which might give a better understanding of the combustion process as well as the reactions that occur in the catalyst of the vehicle.

Author Contributions

Conceptualization, J.C. and R.A.; methodology, R.A.; software, R.A.; validation, J.C., R.A., and A.R.; formal analysis, A.R. and R.A.; investigation, A.R. and R.A.; resources, R.A.; data curation, A.R.; writing—original draft preparation, A.R.; writing—review and editing, A.R. and J.C.; visualization, A.R.; supervision, J.C.; project administration, J.C. and R.A.; funding acquisition, R.A. All authors have read and agreed to the published version of the manuscript.

Funding

This work was funded by the Dirección de Gestión de la Investigación at the Pontifical Catholic University of Peru through grant DGI-2019-3-0040.

Data Availability Statement

The datasets used and/or analysed during the current study are available from the corresponding author on reasonable request.

Acknowledgments

The authors would like to thank the Grupo Innovación en Tecnología Energética y Ambiental and the Laboratorio de Energía at the Pontifical Catholic University of Peru for their support during the research process.

Conflicts of Interest

The authors declare no conflict of interest.

Abbreviations

The following abbreviations and symbols are used in this manuscript:
CSTConstant speed test
E7.8Gasoline–ethanol blend at 7.8%
E10Gasoline–ethanol blend at 10%
IQRInterquartile range
MCMedcouple
TCTTraffic condition test
VSPVehicle-specific power
symbols
Q1First quartile (25%)
μ Mean
Q3Third quartile (75%)
σ Standard deviation
vSpeed
aAcceleration
ϵ i Mass factor
C R Rolling coefficient
ρ a Air density
C D Drag coefficient
AVehicle area
mVehicle mass
( v w ) Wind speed
m ˙ f u e l Fuel flow
m ˙ a i r Air flow
F e Stoichiometric dosage

References

  1. USDA. Biofuels Annual; Technical Report; USDA: Washington DC, USA, 2020. [Google Scholar]
  2. Ministerio del Ambiente. Ministerio del Ambiente—Calidad de Aire en Lima Mejoró en Más del 60% en los últimos Doce Años; Ministerio de Ambiente: Lima, Peru, 2019. [Google Scholar]
  3. Tibaquirá, J.E.; Huertas, J.I.; Ospina, S.; Quirama, L.F.; Niño, J.E. The Effect of Using Ethanol-Gasoline Blends on the Mechanical, Energy and Environmental Performance of In-Use Vehicles. Energies 2018, 11, 221. [Google Scholar] [CrossRef]
  4. Saikrishnan, V.; Karthikeyan, A.; Jayaprabakar, J. Analysis of ethanol blends on spark ignition engines. Int. J. Ambient. Energy 2018, 39, 103–107. [Google Scholar] [CrossRef]
  5. Yao, Z.; Wei, H.; Liu, H.; Li, Z. Statistical Vehicle Specific Power Profiling for Urban Freeways. Procedia Soc. Behav. Sci. 2013, 96, 2927–2938. [Google Scholar] [CrossRef][Green Version]
  6. Yuan, W.; Frey, H.C.; Wei, T.; Rastogi, N.; VanderGriend, S.; Miller, D.; Mattison, L. Comparison of real-world vehicle fuel use and tailpipe emissions for gasoline-ethanol fuel blends. Fuel 2019, 249, 352–364. [Google Scholar] [CrossRef]
  7. ACEA. Worldwide Fuel Charter 2019–Gasoline and Diesel Fuel; ACEA: Brussels, Belgium, 2019. [Google Scholar]
  8. Hernandez, M.; Menchaca, L.; Mendoza, A. Fuel economy and emissions of light-duty vehicles fueled with ethanol-gasoline blends in a Mexican City. Renew. Energy 2014, 72, 236–242. [Google Scholar] [CrossRef]
  9. Jiménez-Palacios, J.L. Understanding and Quantifying Motor Vehicle Emissions with Vehicle Specific Power and TILDAS Remote Sensing. Ph.D. Thesis, Massachusetts Institute of Technology, Cambridge, MA, USA, 1999. [Google Scholar]
  10. Ericsson, E. Independent driving pattern factors and their influence on fuel-use and exhaust emission factors. Transp. Res. Part Transp. Environ. 2001, 6, 325–345. [Google Scholar] [CrossRef]
  11. Nesamani, K.S.; Saphores, J.D.; McNally, M.G.; Jayakrishnan, R. Estimating impacts of emission specific characteristics on vehicle operation for quantifying air pollutant emissions and energy use. J. Traffic Transp. Eng. Engl. Ed. 2017, 4, 215–229. [Google Scholar] [CrossRef]
  12. Zhai, H.; Frey, H.C.; Rouphail, N.M. A vehicle-specific power approach to speed- and facility-specific emissions estimates for diesel transit buses. Environ. Sci. Technol. 2008, 42, 7985–7991. [Google Scholar] [CrossRef] [PubMed]
  13. Zal, P. 2010 Hyundai Santa Fe 2.4 4WD Comfort; Automobile Catalog: Montréal, QC, Canada, 2010. [Google Scholar]
  14. Kuranc, A. Exhaust emission test performance with the use of the signal from air flow meter. Maint. Reliab. 2015, 17, 129–134. [Google Scholar] [CrossRef]
  15. Heywood, J.B. Internal Combustion Engine Fundamentals, 2nd ed.; McGraw-Hill, Inc.: New York, NY, USA, 2018. [Google Scholar]
  16. INEI. Dirección y Velocidad Anual del Viento Según Departamento, 1998–2012; INEI: Lima, Peru, 2012. [Google Scholar]
  17. IVE. IVE Model Users Manual; IVE: Washington, DC, USA, 2008; p. 54. [Google Scholar]
Figure 1. Circuit for CST in Lima Metropolitana.
Figure 1. Circuit for CST in Lima Metropolitana.
Wevj 12 00099 g001
Figure 2. Circuit for tests in TCT in Lima Metropolitana.
Figure 2. Circuit for tests in TCT in Lima Metropolitana.
Wevj 12 00099 g002
Figure 3. 2010 Hyundai Santa Fe.
Figure 3. 2010 Hyundai Santa Fe.
Wevj 12 00099 g003
Figure 4. Data acquisition system’s wiring diagram.
Figure 4. Data acquisition system’s wiring diagram.
Wevj 12 00099 g004
Figure 5. Instrumentation distribution in vehicle.
Figure 5. Instrumentation distribution in vehicle.
Wevj 12 00099 g005
Figure 6. MAF sensor installation.
Figure 6. MAF sensor installation.
Wevj 12 00099 g006
Figure 7. Histogram and probability plot for tests using gasohol E7.8.
Figure 7. Histogram and probability plot for tests using gasohol E7.8.
Wevj 12 00099 g007
Figure 8. Histogram and probability plot for tests using gasohol E10.
Figure 8. Histogram and probability plot for tests using gasohol E10.
Wevj 12 00099 g008
Figure 9. VSP box plot comparison between E7.8 and E10.
Figure 9. VSP box plot comparison between E7.8 and E10.
Wevj 12 00099 g009
Figure 10. Histogram comparison of fuel flow between fuel blends.
Figure 10. Histogram comparison of fuel flow between fuel blends.
Wevj 12 00099 g010
Figure 11. Test regime comparison for fuel flow between fuel blends.
Figure 11. Test regime comparison for fuel flow between fuel blends.
Wevj 12 00099 g011
Figure 12. Box plot of mass flow of emissions for test carried out with gasohol E7.8.
Figure 12. Box plot of mass flow of emissions for test carried out with gasohol E7.8.
Wevj 12 00099 g012
Figure 13. Box plot of mass flow of emissions for test carried out with gasohol E10.
Figure 13. Box plot of mass flow of emissions for test carried out with gasohol E10.
Wevj 12 00099 g013
Figure 14. Comparison of mass flow distribution main values between fuel blends.
Figure 14. Comparison of mass flow distribution main values between fuel blends.
Wevj 12 00099 g014
Figure 15. Difference in standard deviation between E7.8 and E10 for emissions species.
Figure 15. Difference in standard deviation between E7.8 and E10 for emissions species.
Wevj 12 00099 g015
Table 1. Test distributions.
Table 1. Test distributions.
Fuel BlendConstant SpeedTraffic Conditions
E7.8CST01CST02TCT01TCT02TCT03TCT04
E10CST03CST04TCT05TCT06TCT07TCT08
Table 2. Hyunday Santa Fe 2010 [13].
Table 2. Hyunday Santa Fe 2010 [13].
ParametersValueUnit
# cylinders4units
Volume2.349L
Max power174HP
Max power speed6000rpm
Max torque226N.m
Max torque speed3750rpm
Gross weight2505kg
Net weight1680kg
Payload825kg
Fabrication year2010year
Model year2011year
Table 3. Values used for VSP calculation.
Table 3. Values used for VSP calculation.
VariableValue Source
Acceleration ( a ) Data obtained
Mass Factor ( ϵ i ) 0.25, 0.20, 0.15, 0.1 according to gear change (assumed at 10, 30, 40, 50 km/h)
Grade ( g r a d e ) Data obtained
Rolling Coefficient ( C R ) 0.0135 [9]
Air density ( ρ a ) Calculation based on temperature and humidity
Drag Coefficient ( C D ) 0.38 [13]
Area ( A ) 1.89 m × 1.76 m (vehicle specifications)
Vehicle mass ( m ) 1930 kg (vehicle specifications + added weight)
Wind speed ( v w ) 1 m/s [16]
Table 4. Statistical summary for tests performed using E7.8.
Table 4. Statistical summary for tests performed using E7.8.
μ σ IQRQ1Q3MaxMinMC
3.997.098.050.068.1220.19−12.060.14
Table 5. Statistical summary for tests performed using E10.
Table 5. Statistical summary for tests performed using E10.
μ σ IQRQ1Q3MaxMinMC
4.457.218.700.058.7521.80−12.100.20
Table 6. Fuel consumption statistics comparison between fuel blends.
Table 6. Fuel consumption statistics comparison between fuel blends.
Fuel Blend μ σ IQRQ1Q3MaxMinMC
E7.80.290.240.320.110.421.6000.28
E100.370.330.420.110.522.1900.29
Table 7. VSP bin for main statistic values.
Table 7. VSP bin for main statistic values.
E7.8 VSPE10 VSPBin #
Q10.060.0511
μ 3.994.4512
Q38.128.7513
min−12.06−12.108
max20.1921.8016
Publisher’s Note: MDPI stays neutral with regard to jurisdictional claims in published maps and institutional affiliations.

Share and Cite

MDPI and ACS Style

Rondón, A.; Aliaga, R.; Cuisano, J. Fuel Consumption and Emissions Analysis of a Light Vehicle Fuelled with Two Ethanol–Gasoline Blends in Urban Driving Conditions of Lima Metropolitana. World Electr. Veh. J. 2021, 12, 99. https://doi.org/10.3390/wevj12030099

AMA Style

Rondón A, Aliaga R, Cuisano J. Fuel Consumption and Emissions Analysis of a Light Vehicle Fuelled with Two Ethanol–Gasoline Blends in Urban Driving Conditions of Lima Metropolitana. World Electric Vehicle Journal. 2021; 12(3):99. https://doi.org/10.3390/wevj12030099

Chicago/Turabian Style

Rondón, Andrea, Rolando Aliaga, and Julio Cuisano. 2021. "Fuel Consumption and Emissions Analysis of a Light Vehicle Fuelled with Two Ethanol–Gasoline Blends in Urban Driving Conditions of Lima Metropolitana" World Electric Vehicle Journal 12, no. 3: 99. https://doi.org/10.3390/wevj12030099

APA Style

Rondón, A., Aliaga, R., & Cuisano, J. (2021). Fuel Consumption and Emissions Analysis of a Light Vehicle Fuelled with Two Ethanol–Gasoline Blends in Urban Driving Conditions of Lima Metropolitana. World Electric Vehicle Journal, 12(3), 99. https://doi.org/10.3390/wevj12030099

Article Metrics

Back to TopTop