Constructing Supports–Network with N–TiO2 Nanofibres for Highly Efficient Hydrogen–Production of PEM Electrolyzer
Abstract
:1. Introduction
2. Experiment
2.1. Preparation of N–TiO2, IrO2, and IrO2/N–TiO2
2.2. Preparation of MEA
2.3. Physicochemical Characterization
2.4. Electrochemical Analysis
3. Results
3.1. Materials Characterization
3.2. Electrocatalytic Performance Analysis
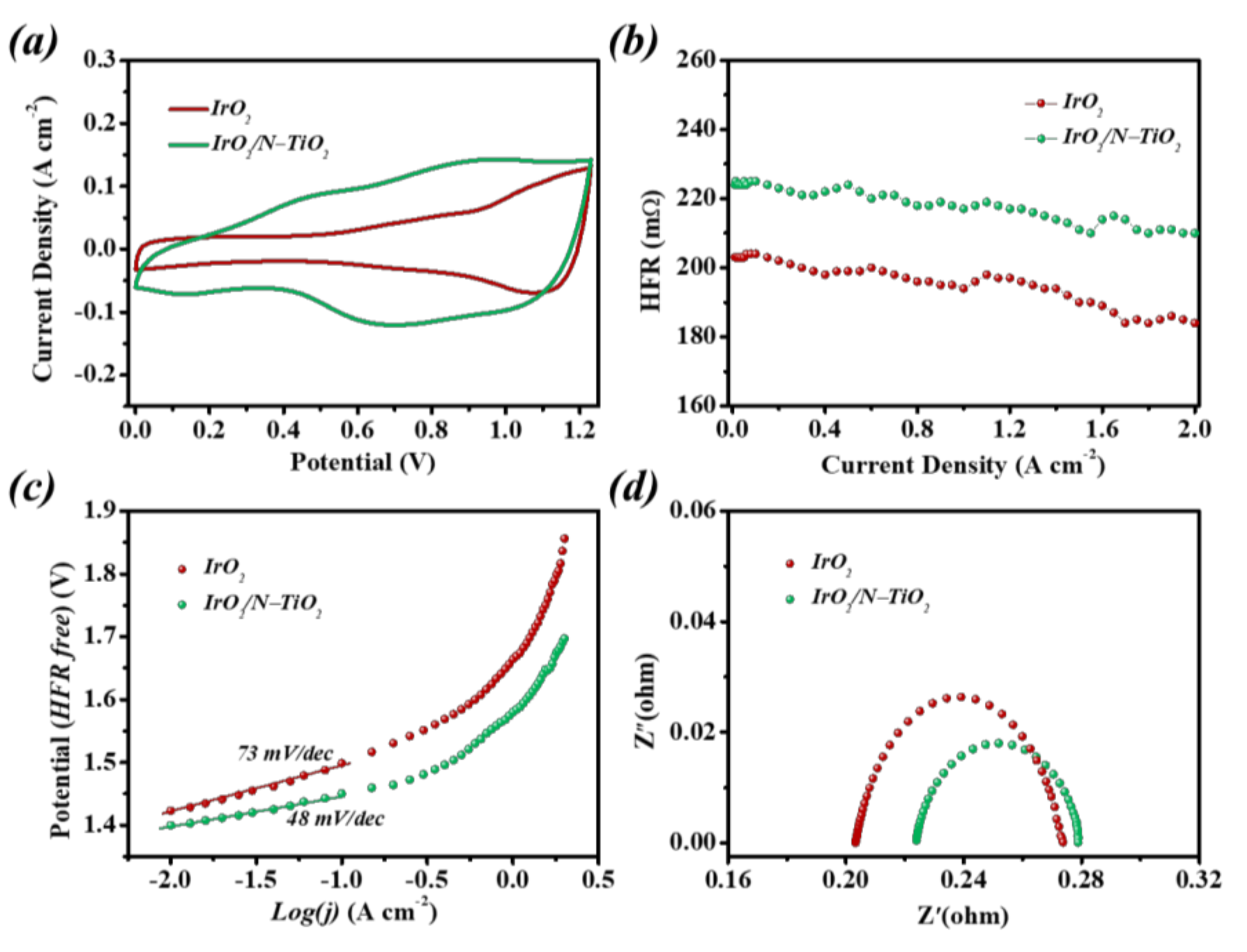
3.3. Origin of the Efficient Electrocatalytic Performances
4. Conclusions
Author Contributions
Funding
Acknowledgments
Conflicts of Interest
References
- Kang, Z.; Yang, G.; Mo, J.; Li, Y.; Yu, S.; Cullen, D.; Retterer, S.T.; Toops, T.J.; Bender, G.; Pivovar, B.S.; et al. Novel thin/tunable gas diffusion electrodes with ultra–low catalyst loading for hydrogen evolution reactions in proton exchange membrane electrolyzer cells. Nano Energy 2018, 47, 434–441. [Google Scholar] [CrossRef]
- Bele, M.; Stojanovski, K.; Jovanovič, P.; Moriau, L.; Podboršek, G.K.; Moškon, J.; Umek, P.; Sluban, M.; Dražič, G.; Hodnik, N.; et al. Towards Stable and Conductive Titanium Oxynitride High-Surface-Area Support for Iridium Nanoparticles as Oxygen Evolution Reaction Electrocatalyst. ChemCatChem 2019, 11, 5038–5044. [Google Scholar] [CrossRef]
- Hartig–Weiss, A.; Miller, M.; Beyer, H.; Schmitt, A.; Siebel, A.; Freiberg, A.T.S.; Gasteiger, H.A.; El–Sayed, H.A. Iridium Oxide Catalyst Supported on Antimony–Doped Tin Oxide for High Oxygen Evolution Reaction Activity in Acidic Media. ACS Appl. Nano Mater. 2020, 3, 2185–2196. [Google Scholar] [CrossRef]
- Yang, G.; Yu, S.; Kang, Z.; Li, Y.; Bender, G.; Pivovar, B.S.; Green, J.B., Jr.; Cullen, D.A.; Zhang, F.Y. Building electron/proton nanohighways for full utilization of water splitting catalysts. Adv. Energy Mater. 2020, 10, 1903871. [Google Scholar] [CrossRef]
- Wang, S.; Lv, H.; Tang, F.; Sun, Y.; Ji, W.; Zhou, W.; Shen, X.; Zhang, C. Defect engineering assisted support effect: IrO2/N defective g–C3N4 composite as highly efficient anode catalyst in PEM water electrolysis. Chem. Eng. J. 2021, 419, 129455. [Google Scholar] [CrossRef]
- Lv, H.; Wang, S.; Hao, C.; Zhou, W.; Li, J.; Xue, M.; Zhang, C. Oxygen-Deficient Ti0.9Nb0.1O2-x as an Efficient Anodic Catalyst Support for PEM Water Electrolyzer. ChemCatChem 2019, 11, 2511–2519. [Google Scholar] [CrossRef]
- Yu, H.; Bonville, L.; Jankovic, J.; Maric, R. Microscopic insights on the degradation of a PEM water electrolyzer with ultra–low catalyst loading. Appl. Catal. B Environ. 2020, 260, 118194. [Google Scholar] [CrossRef]
- Phadke, S.; Lee, J.–Y.; West, J.; Peumans, P.; Salleo, A. Using Alignment and 2D Network Simulations to Study Charge Transport Through Doped ZnO Nanowire Thin Film Electrodes. Adv. Funct. Mater. 2011, 21, 4691–4697. [Google Scholar] [CrossRef]
- Jackson, E.D.; Prieto, A.L. Copper Antimonide Nanowire Array Lithium Ion Anodes Stabilized by Electrolyte Additives. ACS Appl. Mater. Interfaces 2016, 8, 30379–30386. [Google Scholar] [CrossRef] [PubMed]
- SSaha, M.S.; Li, R.; Cai, M.; Sun, X. Nanowire–based three–dimensional hierarchical core/shell heterostructured electrodes for high performance proton exchange membrane fuel cells. J. Power Sources 2008, 185, 1079–1085. [Google Scholar] [CrossRef]
- Pan, C.; Wu, H.; Wang, C.; Wang, B.; Zhang, L.; Cheng, Z.; Hu, P.; Pan, W.; Zhou, Z.; Yang, X.; et al. Nanowire–Based High–Performance “Micro Fuel Cells”: One Nanowire, One Fuel Cell. Adv. Mater. 2008, 20, 1644–1648. [Google Scholar] [CrossRef]
- Hong, W.; Shang, C.; Wang, J.; Wang, E. Bimetallic PdPt nanowire networks with enhanced electrocatalytic activity for ethylene glycol and glycerol oxidation. Energy Environ. Sci. 2015, 8, 2910–2915. [Google Scholar] [CrossRef]
- Zhang, Y.; Gao, F.; Song, T.; Wang, C.; Chen, C.; Du, Y. Novel networked wicker–like PtFe nanowires with branch–rich exteriors for efficient electrocatalysis. Nanoscale 2019, 11, 15561–15566. [Google Scholar] [CrossRef] [PubMed]
- Lim, J.; Park, D.; Jeon, S.S.; Roh, C.–W.; Choi, J.; Yoon, D.; Park, M.; Jung, H.; Lee, H. Ultrathin IrO2 Nanoneedles for Electrochemical Water Oxidation. Adv. Funct. Mater. 2018, 28, 170479. [Google Scholar] [CrossRef]
- Gayen, P.; Liu, X.; He, C.; Saha, S.; Ramani, V.K. Bidirectional energy & fuel production using RTO–supported–Pt–IrO2 loaded fixed polarity unitized regenerative fuel cells. Sustain. Energy Fuels 2021, 5, 2734–2746. [Google Scholar]
- Ohno, H.; Nohara, S.; Kakinuma, K.; Uchida, M.; Uchida, H. Effect of Electronic Conductivities of Iridium Oxide/Doped SnO2 Oxygen–Evolving Catalysts on the Polarization Properties in Proton Exchange Membrane Water Electrolysis. Catalysts 2019, 9, 74. [Google Scholar] [CrossRef] [Green Version]
- Lv, H.; Wang, S.; Li, J.; Shao, C.; Zhou, W.; Shen, X.; Xue, M.; Zhang, C. Self–assembled RuO2@IrOx core–shell nanocomposite as high efficient anode catalyst for PEM water electrolyzer. Appl. Surf. Sci. 2020, 514, 145943. [Google Scholar] [CrossRef]
- Suermann, M.; Schmidt, T.J.; Büchi, F.N. Investigation of Mass Transport Losses in Polymer Electrolyte Electrolysis Cells. ECS Trans. 2015, 69, 1141–1148. [Google Scholar] [CrossRef]
- Lee, J.K.; Lee, C.; Fahy, K.F.; Kim, P.J.; Krause, K.; Lamanna, J.M.; Baltic, E.; Jacobson, D.L.; Hussey, D.S.; Bazylak, A. Accelerating Bubble Detachment in Porous Transport Layers with Patterned Through–Pores. ACS Appl. Energy Mater. 2020, 3, 9676–9684. [Google Scholar] [CrossRef]







Publisher’s Note: MDPI stays neutral with regard to jurisdictional claims in published maps and institutional affiliations. |
© 2021 by the authors. Licensee MDPI, Basel, Switzerland. This article is an open access article distributed under the terms and conditions of the Creative Commons Attribution (CC BY) license (https://creativecommons.org/licenses/by/4.0/).
Share and Cite
Wang, S.; Lv, H.; Sun, Y.; Ji, W.; Shen, X.; Zhang, C. Constructing Supports–Network with N–TiO2 Nanofibres for Highly Efficient Hydrogen–Production of PEM Electrolyzer. World Electr. Veh. J. 2021, 12, 124. https://doi.org/10.3390/wevj12030124
Wang S, Lv H, Sun Y, Ji W, Shen X, Zhang C. Constructing Supports–Network with N–TiO2 Nanofibres for Highly Efficient Hydrogen–Production of PEM Electrolyzer. World Electric Vehicle Journal. 2021; 12(3):124. https://doi.org/10.3390/wevj12030124
Chicago/Turabian StyleWang, Sen, Hong Lv, Yongwen Sun, Wenxuan Ji, Xiaojun Shen, and Cunman Zhang. 2021. "Constructing Supports–Network with N–TiO2 Nanofibres for Highly Efficient Hydrogen–Production of PEM Electrolyzer" World Electric Vehicle Journal 12, no. 3: 124. https://doi.org/10.3390/wevj12030124
APA StyleWang, S., Lv, H., Sun, Y., Ji, W., Shen, X., & Zhang, C. (2021). Constructing Supports–Network with N–TiO2 Nanofibres for Highly Efficient Hydrogen–Production of PEM Electrolyzer. World Electric Vehicle Journal, 12(3), 124. https://doi.org/10.3390/wevj12030124

