Regenerative Braking Strategy of a Formula SAE Electric Race Car Using Energetic Macroscopic Representation
Abstract
1. Introduction
2. Modeling and EMR of the Studied Car
3. Inversion-Based Control of the Studied Car
4. Braking Strategy
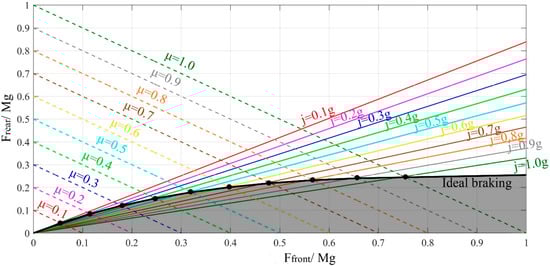
4.1. Distribution of Braking Forces Between Front and Rear Wheels
4.2. RBS and FBS Contribution in the Rear Wheels
5. Results
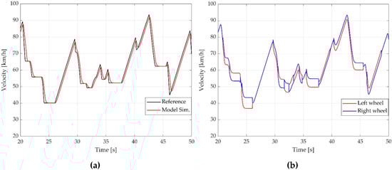
5.1. Studied Race Car and Driving Cycle
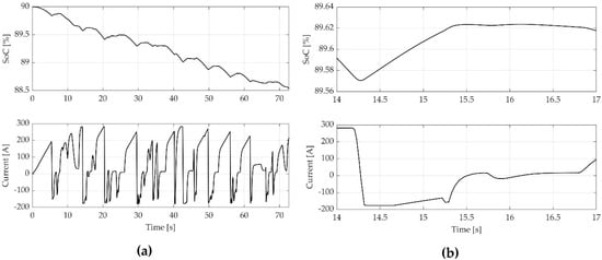
5.2. Simulation Using the Proposed Braking Strategy
5.3. Comparison of Different Braking Strategies
6. Conclusions
Author Contributions
Funding
Acknowledgments
Conflicts of Interest
References
- European Commission. A European Strategy for Low-Emission Mobility; European Commission: Brussels, Belgium, 2016. [Google Scholar]
- Niestadt, M.; Bjørnåvold, A. Electric Road Vehicles in the European Union—Trends, Impacts and Policies; European Parliamentary Research Service (EPRS): Brussels, Belgium, 2019. [Google Scholar]
- IEA. Tracking Transport; IEA: Paris, France, 2019. [Google Scholar]
- IEA. Global EV Outlook 2018. Towards Cross-modal Electrification; IEA Publications: Paris, France, 2018. [Google Scholar]
- Guo, J. Development of regenerative braking for electric vehicles in China: A review. Int. J. Electr. Hybrid Veh. 2015, 7, 120–138. [Google Scholar] [CrossRef]
- Ehsani, M.; Gao, Y.; Longo, S.; Ebrahimi, K.M. Modern Electric, Hybrid Electric, and Fuel Cell Vehicles, 3rd ed.; Taylor & Francis Group: Abingdon, UK, 2018; pp. 38–50, 377–394. [Google Scholar]
- Benson, K.W.; Fraser, D.A.; Hatridge, S.L.; Monaco, C.A.; Ring, R.J.; Sullivan, C.R.; Taber, P.C. The Hybridization of a Formula Race Car. In Proceedings of the IEEE Vehicle Power and Propulsion Conference, Chicago, IL, USA, 7 September 2005. [Google Scholar]
- Ruan, J.; Walker, P.D.; Watterson, P.A.; Zhang, N. The dynamic performance and economic benefit of a blended braking system in a multi-speed battery electric vehicle. Appl. Energy 2016, 183, 1240–1258. [Google Scholar] [CrossRef]
- Xiao, B.; Lu, H.; Wang, H.; Ruan, J.; Zhang, N. Enhanced Regenerative Braking Strategies for Electric Vehicles: Dynamic Performance and Potential Analysis. Energies 2017, 10, 1875. [Google Scholar] [CrossRef]
- Itani, K.; Bernardinis, A.D.; Khatir, Z.; Jammal, A. Comparison between two braking control methods integrating energy recovery for a two-wheel front driven electric vehicle. Energy Convers. Manag. 2016, 122, 330–343. [Google Scholar] [CrossRef]
- Xu, W.; Chen, H.; Zhao, H.; Ren, B. Torque optimization control for electric vehicles with four in-wheel motors equipped with regenerative braking system. Mechatronics 2019, 57, 95–108. [Google Scholar] [CrossRef]
- Wu, J.; Wang, X.; Li, L.; Qin, C.; Du, Y. Hierarchical control strategy with battery aging consideration for hybrid electric vehicle regenerative braking control. Energy 2018, 145, 301–312. [Google Scholar] [CrossRef]
- Qiu, C.; Wang, G. New evaluation methodology of regenerative braking contribution to energy efficiency improvement of electric vehicles. Energy Convers. Manag. 2016, 119, 389–398. [Google Scholar] [CrossRef]
- Qiu, C.; Wang, G.; Meng, M.; Shen, Y. A novel control strategy of regenerative braking system for electric vehicles under safety critical driving situations. Energy 2018, 149, 329–340. [Google Scholar] [CrossRef]
- Chen, J.; Yu, J.; Zhang, K.; Ma, Y. Control of regenerative braking systems for four-wheel-independently-actuated electric vehicles. Mechatronics 2018, 50, 394–401. [Google Scholar] [CrossRef]
- Kumar, C.N.; Subramanian, S.C. Cooperative control of regenerative braking and friction braking for a hybrid electric vehicle. Proc. Inst. Mech. Eng. Part D J. Automob. Eng. 2016, 230, 103–116. [Google Scholar] [CrossRef]
- Sangtarash, F.; Esfahanian, V.; Nehzati, H.; Haddadi, S.; Bavanpour, M.A.; Haghpanah, B. Effect of Different Regenerative Braking Strategies on Braking Performance and Fuel Economy in a Hybrid Electric Bus Employing CRUISE Vehicle Simulation. SAE Int. J. Fuels Lubr. 2009, 1, 828–837. [Google Scholar] [CrossRef]
- Le Solliec, G.; Chasse, A.; Geamanu, M. Regenerative braking optimization and wheel slip control for a vehicle with in-wheel motors. In Proceedings of the 7th IFAC Symposium on Advances in Automotive Control, Tokyo, Japan, 4–7 September 2013. [Google Scholar]
- Mathijsen, D. Formula student electric: Checking out the future of automotive engineering. Reinf. Plast. 2016, 60, 167. [Google Scholar] [CrossRef]
- SAE International. About Formula SAE®® Series. Available online: https://www.sae.org/attend/student-events/formula-sae-electric/about (accessed on 30 August 2019).
- Hall, T.J. An Analysis of Braking Behavior in Formula-E Racing; SAE International: Warrendale, PA, USA, 2017. [Google Scholar]
- Antunes, J.; Antunes, A.; Outeiro, P.; Cardeira, C.; Oliveira, P. Testing of a torque vectoring controller for a Formula Student prototype. Robot. Auton. Syst. 2019, 113, 56–62. [Google Scholar] [CrossRef]
- Saurabh, Y.S.; Kumar, S.; Jain, K.K.; Behera, S.K.; Gandhi, D.; Raghavendra, S.; Kalita, K. Design of Suspension System for Formula Student Race Car. In Proceedings of the International Conference on Vibration Problems, ICOVP, Guwahati, India, 14–17 December 2015. [Google Scholar]
- Chepkasov, S.; Markin, G.; Akulova, A. Suspension Kinematics Study of the “Formula SAE” Sports Car. In Proceedings of the International Conference on Industrial Engineering, ICIE, Yekaterinburg, Russia, 19–20 May 2016. [Google Scholar]
- Boretti, A. Kinetic Energy Recovery Systems for Racing Cars; SAE International: Warrendale, PA, USA, 2013. [Google Scholar]
- Bouscayrol, A.; Hautier, J.-P.; Lemaire-Semail, B. Graphic Formalisms for the Control of Multi-Physical Energetic Systems: COG and EMR. In Systemic Design Methodologies for Electrical Energy Systems; ISTE Willey Editions: London, UK, 2012. [Google Scholar]
- Transi, T.; Pereirinha, P.G.; Bouscayrol, A.; Degano, M. Study of Regenerative Braking Effects in a Small Electric Race Car using Energetic Macroscopic Representation. In Proceedings of the International Young Engineers Forum (YEF-ECE), Costa da Caparica, Portugal, 10 May 2019. [Google Scholar]
- Transi, T.; Pereirinha, P.G.; Bouscayrol, A.; Degano, M.; Henao-Muñoz, A.C. Hardware-In-the-Loop Emulation of a Small Electric Race Car Using Energetic Macroscopic Representation. In Proceedings of the IEEE Vehicle Power and Propulsion Conference (VPPC), Hanoi, Vietnam, 14–17 October 2019. [Google Scholar]
- Montesinos-Miracle, D.; Fontan-Tebar, C.; Vidal-Salvia, H. Simulation of an Electric Racing Car Using Energetic Macroscopic Representation. In Proceedings of the IEEE Vehicle Power and Propulsion Conference (VPPC), Coimbra, Portugal, 27–30 October 2014. [Google Scholar]
- LeBel, F.-A.; Messier, P.; Pelletier, L.; Trovao, J.P. Benefits of Regenerative Braking for an Electric Superbike using Energetic Macroscopic Representation. In Proceedings of the IEEE Vehicle Power and Propulsion Conference (VPPC), Belfort, France, 11–14 December 2017. [Google Scholar]
- Guo, J.; Wang, J.; Cao, B. Study on Braking Force Distribution of Electric Vehicles. In Proceedings of the Asia-Pacific Power and Energy Engineering Conference, Wuhan, China, 28–31 March 2009. [Google Scholar]
- Sparacino, A.R.; Reed, G.F.; Kerestes, R.J.; Grainger, B.M.; Smith, Z.T. Survey of Battery Energy Storage Systems and Modeling Techniques. In Proceedings of the 2012 IEEE Power and Energy Society General Meeting, San Diego, CA, USA, 22–26 July 2012. [Google Scholar]
- Mayet, C.; Horrein, L.; Bouscayrol, A.; Delarue, P.; Verhille, J.-N.; Chattot, E.; Lemaire-Semail, B. Comparison of Different Models and Simulation Approaches for the Energetic Study of a Subway. IEEE Trans. Veh. Technol. 2014, 63, 556–565. [Google Scholar] [CrossRef]
- Anatole, D.; Alain, B.; Rochdi, T.; Elodie, C.; John, K. Impact of the Velocity Profile on Energy Consumption of Electric Vehicles. IEEE Trans. Veh. Technol. 2019, 68, 11420–11426. [Google Scholar]
- Chen, K.; Bouscayrol, A.; Lhomme, W. Energetic Macroscopic Representation and Inversion-based Control: Application to an Electric Vehicle with an Electrical Differential. J. Asian Electr. Veh. 2008, 6, 1097–1102. [Google Scholar] [CrossRef]
- Xu, J.; Zhang, X. Optimization Algorithm for Vehicle Braking Force Distribution of Front and Rear Axles Based on Brake Strength. In Proceedings of the World Congress on Intelligent Control and Automation (WCICA), Guilin, China, 12–15 June 2016. [Google Scholar]
- OptimumG Vehicle Dynamics Solutions, “OptimumLap”. 2019. Available online: http://www.optimumg.com/software/optimumlap/ (accessed on 26 July 2019).
- Sergi, F.; Arista, A.; Agnello, G.; Ferraro, M.; Andaloro, L.; Antonucci, V. Characterization and comparison between lithium iron p hosphate and lithium-polymers batteries. J. Energy Storage 2016, 8, 235–243. [Google Scholar] [CrossRef]















| Parameter | Value |
|---|---|
| Mass [kg] | 375.00 |
| Width [m] | 1.35 |
| Drag coefficient () | 0.29 |
| Downforce coefficient () | 1.20 |
| Front area [m2] | 0.84 |
| Wheel diameter [m] | 0.49 |
| Rolling resistance coefficient () | 0.03 |
| Wheelbase [m] | 1.46 |
| La [m] | 0.7 |
| Lb [m] | 0.76 |
| Hg [m] | 0.34 |
| Parameter | Value |
|---|---|
| Rated torque [Nm] | 47.70 |
| Rated power [kW] | 17.02 |
| Number of electric machines | 2 |
| Total rated torque [Nm] | 94.50 |
| Total rated power [kW] | 34.05 |
| Rated angular speed (rpm) | 3000 |
| Max. angular speed (rpm) | 6000 |
| Gearbox ratio | 50/14 |
| Traction mode | Rear wheel drive |
| Parameter | Value |
|---|---|
| Rated cell voltage [V] | 3.20 |
| Max. cell voltage [V] | 4.25 |
| Min. cell voltage [V] | 2.50 |
| Cells in series | 30.0 |
| Parallel arrays | 1.0 |
| Maximal charging current [A] | 80 |
| Rated Capacity [Ah] | 90 |
| Internal resistance [Ω] | 0.006 |
| Test | Energy Recovered [Wh] |
|---|---|
| No RBS | 0.00 |
| Proposed strategy | 1264.3 |
| Ideal braking distribution | 922.34 |
| Fixed distribution | 1129.6 |
| Fixed distribution | 647.19 |
| Test | Mass Reduction [kg] | Percentage of the Total Mass |
|---|---|---|
| No RBS | 0 | 0 |
| Proposed strategy | 12.64 | 3.37 |
| Ideal braking distribution | 9.22 | 2.46 |
| Fixed distribution | 11.29 | 3.01 |
| Fixed distribution | 6.47 | 1.72 |
© 2020 by the authors. Licensee MDPI, Basel, Switzerland. This article is an open access article distributed under the terms and conditions of the Creative Commons Attribution (CC BY) license (http://creativecommons.org/licenses/by/4.0/).
Share and Cite
Henao-Muñoz, A.C.; Pereirinha, P.; Bouscayrol, A. Regenerative Braking Strategy of a Formula SAE Electric Race Car Using Energetic Macroscopic Representation. World Electr. Veh. J. 2020, 11, 45. https://doi.org/10.3390/wevj11020045
Henao-Muñoz AC, Pereirinha P, Bouscayrol A. Regenerative Braking Strategy of a Formula SAE Electric Race Car Using Energetic Macroscopic Representation. World Electric Vehicle Journal. 2020; 11(2):45. https://doi.org/10.3390/wevj11020045
Chicago/Turabian StyleHenao-Muñoz, Andrés Camilo, Paulo Pereirinha, and Alain Bouscayrol. 2020. "Regenerative Braking Strategy of a Formula SAE Electric Race Car Using Energetic Macroscopic Representation" World Electric Vehicle Journal 11, no. 2: 45. https://doi.org/10.3390/wevj11020045
APA StyleHenao-Muñoz, A. C., Pereirinha, P., & Bouscayrol, A. (2020). Regenerative Braking Strategy of a Formula SAE Electric Race Car Using Energetic Macroscopic Representation. World Electric Vehicle Journal, 11(2), 45. https://doi.org/10.3390/wevj11020045

