Abstract
Especially in urban areas, a large proportion of air pollution can be attributed to road traffic. Thus, in many countries, bans are being discussed on diesel vehicles in inner cities. These diesel bans pose a severe threat to logistics service providers (LSPs) that are active in city logistics, since their fleets are based on diesel-powered vehicles. One solution for LSPs is to introduce battery-electric heavy-duty trucks (HDTs). However, this is rarely done at present, due to high investment costs of such trucks. In order to compensate these high investments, high mileages are required in order to benefit from such vehicles’ low operating costs. Implementing 24-hour delivery would increase the daily mileage of HDTs. Because of noise emission regulations, 24-hour delivery could only be performed using battery-electric HDTs. In this study, we explore whether using battery-electric HDTs for 24-hour delivery is economical for LSPs. We use data from a German LSP in food logistics, develop a system dynamics model, and integrate a total cost of ownership calculation along with an LSP and a retail store discrete choice model to determine whether 24-hour delivery with battery-electric HDTs is profitable for the LSP, and how it might be accepted and diffused among stores. We find that 24-hour delivery using battery-electric HDTs is immediately profitable. This is due to the almost 50% increase in the daily trip potential of battery-electric HDTs in comparison to diesel HDTs, which leads to a lower required total number of HDTs in the fleet. Lower transportation costs, increased delivery quality, and decreased risk lead to rapid adoption of 24-hour delivery among stores, while lower total costs of ownership (TCO) accelerate the adoption by the LSP. Diffusion through the fleet and stores takes only slightly longer than one HDT lifetime. Consequently, 24-hour delivery with battery-electric HDTs is a promising solution for innovative and sustainable city logistics.
1. Introduction
Air pollution causes more than 300,000 premature deaths per year in Europe [1]. Large proportions of the main air pollutants can be attributed to road traffic, such as nitrogen oxide (NOX: 30%), carbon monoxide (CO: 20%), fine particulate matter (PM2.5: 11%), and non-methane volatile organic compounds (NMVOC: 7%) [2]. Freight and passenger traffic, and therefore transportation-induced air pollution, is heavily concentrated in urban areas, posing a huge risk to the health of local residents. In order to reduce these emissions and improve human health, there are emission regulations at different legislative levels, and regulatory limits for air pollutant emissions [3]. Many cities, however, are struggling to comply with these regulatory limits, forcing them to implement further measures. In this context, urban access regulations banning diesel-powered vehicles from inner cities are currently being widely discussed, particularly in Germany [4]. Such regulations pose a serious threat to logistics service providers (LSP) that are active in city logistics (e.g., retail logistics service providers for food, clothes, furniture, electronics, etc.), because their fleets rely heavily on quite old diesel heavy-duty trucks (HDTs) that do not comply with high emission standards. If strict diesel bans are enforced for urban areas, most LSPs would have to replace their entire vehicle fleet very quickly.
Shifting the fleet to vehicles with alternative powertrains is the preferable option to bypass diesel bans. Battery-electric HDTs are an alternative to diesel HDTs [5], but have technical restrictions, such as limited range and payload and limited availability on the market. However, the high initial investments required are the biggest barrier to their implementation, particularly in a cost-competitive business such as logistics. For this reason, there are very few battery-electric HDTs in LSPs’ fleets. In contrast to the higher upfront investments, the variable costs of battery-electric HDTs are much lower than those for diesel HDTs. This means that high annual mileages are beneficial for battery-electric HDTs. One way to increase the annual mileage of HDTs in a city logistics context is to implement off-hour or even nighttime delivery in addition to daytime delivery [6,7,8]. This extends delivery hours and has two major benefits: the opportunity to relieve traffic congestion during the day by shifting transports into the night, and to improve environmental conditions by reducing air pollution during peak-hours. Due to local noise restrictions at night, however, nighttime delivery is only possible with battery-electric HDTs. Implementing nighttime delivery in addition to daytime delivery, resulting in 24-hour delivery slots, increases the number of trips that a single battery-electric HDT can make each day, and therefore its daily mileage. This also leads to a battery-electric HDT increasing its daily delivery capacity and reduces the total number of vehicles required as a consequence. The literature provides little information about the economic costs and benefits of implementing 24-hour delivery with battery-electric HDTs or how battery-electric HDTs could diffuse in a LSP’s fleet. We want to address this research gap and conduct a German case study, as diesel bans are currently being widely discussed in Germany.
In this study, we explore whether battery-electric HDTs providing 24-hour delivery services could be an economic alternative to diesel HDTs in city logistics by addressing two research questions:
- Are battery-electric HDTs able to compete with diesel HDTs in a cost-based comparison from the perspective of a LSP, assuming that only electric HDTs are able to deliver 24 hours a day?
- How might battery-electric HDTs diffuse in the LSP’s fleet and how might 24-hour delivery diffuse among the LSP’s customers; i.e., retail stores?
2. Theoretical Background
From the LSP’s perspective, introducing battery-electric HDTs and 24-hour delivery can be considered the adoption of an innovation or technology. This is why the study builds on adoption theory. In the literature, numerous models exist for the adoption of innovations and technologies [9,10,11,12]. A suitable model that is frequently used is the unified theory of acceptance and use of technology (UTAUT) according to [9]. It is based on the technology acceptance model [13], and in addition to the expected effort and benefits, includes social influence and facilitating conditions as constructs that influence the intention to use and the actual use of innovative technologies. The expected benefit is defined as the degree to which performance is improved, and the expected effort represents the usability of the technology. Social influence refers to the expectations of the environment regarding the use of a technology. This aspect underlines the suitability of UTAUT for this study, since the ecological and social requirements of society and politics play an important role. Beyond that, facilitating conditions indicate the extent to which the environment supports the use of the technology [12]; in this case, the stores. All in all, adoption theory can make an important contribution to explaining the acceptance and use of battery-electric HDTs in 24-hour delivery by LSPs (supplier) and retail stores (customer).
Beyond that, we employ the service profit chain (SPC) as a concept that links a company’s activities to its economic success through the effects of those activities on the customer [14]. The SPC can be traced back to [15], who found that revenues are driven by the perceived quality of service and the underlying employee costs. The concept enables us to understand how operational activities and investments, such as implementing battery-electric HDTs and 24-hour deliveries, can be translated into improved service processes, improved customer perception, desired customer behavior, and economic business success [15]. It therefore provides an explanatory contribution to linking the company and customer perspective when implementing battery-electric HDTs.
3. Methods and Data
3.1. Methods
In order to answer the two research questions presented in Section 1, we develop a system dynamics (SD) model, into which we integrate a total cost of ownership (TCO) calculation and two discrete choice models (DCMs): one for the LSP and one for the stores. We use SD as a basis for the model, since it is capable of modeling, analyzing, and simulating complex and dynamic socio-economic and techno-economic systems over time [16,17]. We develop and apply our model with a German LSP in food logistics, who is interested in a feasibility study on the implementation of electric HDTs for 24-hour delivery for a specific warehouse close to a large German city.
First, we carry out a simplified cross-impact analysis (CIA) (see [18,19,20]) with the LSP to explore the basic (causal) relationships in the 24-hour delivery service system. Elements of the CIA include the general objectives of the LSP identified in previous studies [20,21] and the supplier-customer relationship or interaction: in our case, the supply and demand of the 24-hour delivery service with battery-electric HDTs.
In a first step, the CIA was conducted by the LSP, and in a second step, it was discussed and adapted in collaboration with the authors (see [20] for details). By visualizing the relationships derived from the CIA according to [19], we derived several feedback loops, which are an important element of SD [22], and a causal loop diagram (CLD), which represents the model structure. Figure 1 depicts the results of the CIA. The directed three-quarter circles in Figure 1 indicate feedback loops. These can either be reinforcing (indicated by “R”) or self-balancing (indicated by “B”) [22,23]. The figure shows that important elements of the feedback loops include responsiveness, promptness of delivery, modal shift to nighttime, trip duration, costs for nighttime delivery, battery-electric HDTs in the fleet and carrying out 24-hour delivery, and the numbers of customers and retrofitted stores. These loops are all reinforcing except for B1, while technological pioneership, CO2 and NOX emissions, and noise emissions from transport play only subordinate roles.
Figure 1.
Causal loop diagram resulting from the CIA.
In order to transform the qualitative CLD into a quantitative and computable stock-and-flow diagram, we conducted focus group interviews with employees of the LSP who worked in different departments, such as fleet operations, trip planning, and innovation project management, and with stores. We were able to adapt and specify the CLD as a result, and develop a suitable model of the service system battery-electric HDTs for 24-hour delivery. Figure 2 shows the basic model structure.
Figure 2.
Basic model structure.
We began in the middle of the basic model structure by modeling the LSP’s vehicle fleet in more detail. The interviews revealed that several HDT types (r) have to be considered, such as straight trucks with gross vehicle weights (GVWs) of 18 t and 26 t, 26 t HDTs with full trailers, and semi-trailer trucks (see Table 1). We modeled the fleet as an aging chain [22], where new HDTs flow into the stock, while HDTs at the end of their lifetime flow out of the stock after 9 years [24]. We model individual stocks for each truck type and for each drivetrain (battery-electric and diesel), each one consisting of 9 age cohorts (AC) according to the remaining service life of the HDT.
Table 1.
Net list price for heavy-duty trucks (HDTs) in 2018 and share in the logistics service provider’s (LSP) fleet.
The stock of HDTs of type r in the first AC at time t () is determined by the procurement rate of HDT type r at time t (), the aging rate of HDTs of the current AC at time t (), and the stock of HDTs in the current AC at the preceding point in time:
There is no procurement for HDTs aged 2 to 8 years, but they enter the next AC by aging. The stock of these HDTs can be calculated by adding the aging HDTs of the preceding AC, subtracting the aging HDTs of the current AC, and adding the stock of HDTs in the current AC at the preceding point in time:
HDTs older than 9 years are discarded from the stock with the discard rate :
The graphical representation of the HDT stock-and-flow model in the SD modeling software VENSIM [28] can be seen in Figure 3. Boxes represent stocks, while rates are represented by valves and directed double-lined arrows [22]. The directed blue arrows represent information flows (variable is used for further calculation), while the values inside parentheses are shadow variables, which cross-reference to other parts of the model, where the respective variable has been introduced.
Figure 3.
Graphical representation of the HDT stock-and-flow model in the SD modeling software VENSIM.
Every new HDT entering the fleet has two characteristics that are relevant for the model. First, its diesel or electricity consumption, and second, its annuity. Energy consumption is exogenous, while the annuity is calculated by multiplying the net list price with the capital recovery value (CRV) according to the following Equation [29], where n is the operating life of HDTs and i the standard interest rate:
Thus, the net list price of a HDT is transformed into equal annualized payments considering a defined interest rate.
The above-mentioned characteristics are HDT-specific, and we assume that they change annually for each new HDT generation. Therefore, the characteristics are also modeled using stocks with different ACs, referred to as co-flows in SD literature [30]. Since the operation of battery-electric HDTs requires charging infrastructure, we modeled charging infrastructure and their annuity as co-flows as well. The HDTs only stop for around 1.5 h at the LSP’s warehouse (see Table 2), so the time for charging battery-electric HDTs is limited. For that reason we assume that fast charging infrastructure with 150 kW charging power is installed. In line with [20], we assume that 4 battery-electric HDTs share one charging point. The battery-electric HDTs have a sufficient range for medium trip distances (see Section 3.2), so that opportunity charging at the stores is not required.
Table 2.
Logistics parameters.
Based on the available truck fleet, we calculated the number of potential trips that could be carried out. First, we calculated the average trip duration based on average trip parameters derived from the interviews with the LSP (see Table 2). Second, assuming a daily delivery window from 6 a.m. to 10 p.m. for diesel HDTs and 24-hour delivery for battery-electric HDTs (which corresponds to German regulations), we calculated the number of trips per HDT and finally for the entire fleet. The number of potential trips was calculated separately for daytime (diesel and battery-electric HDT) and nighttime (battery-electric HDTs only).
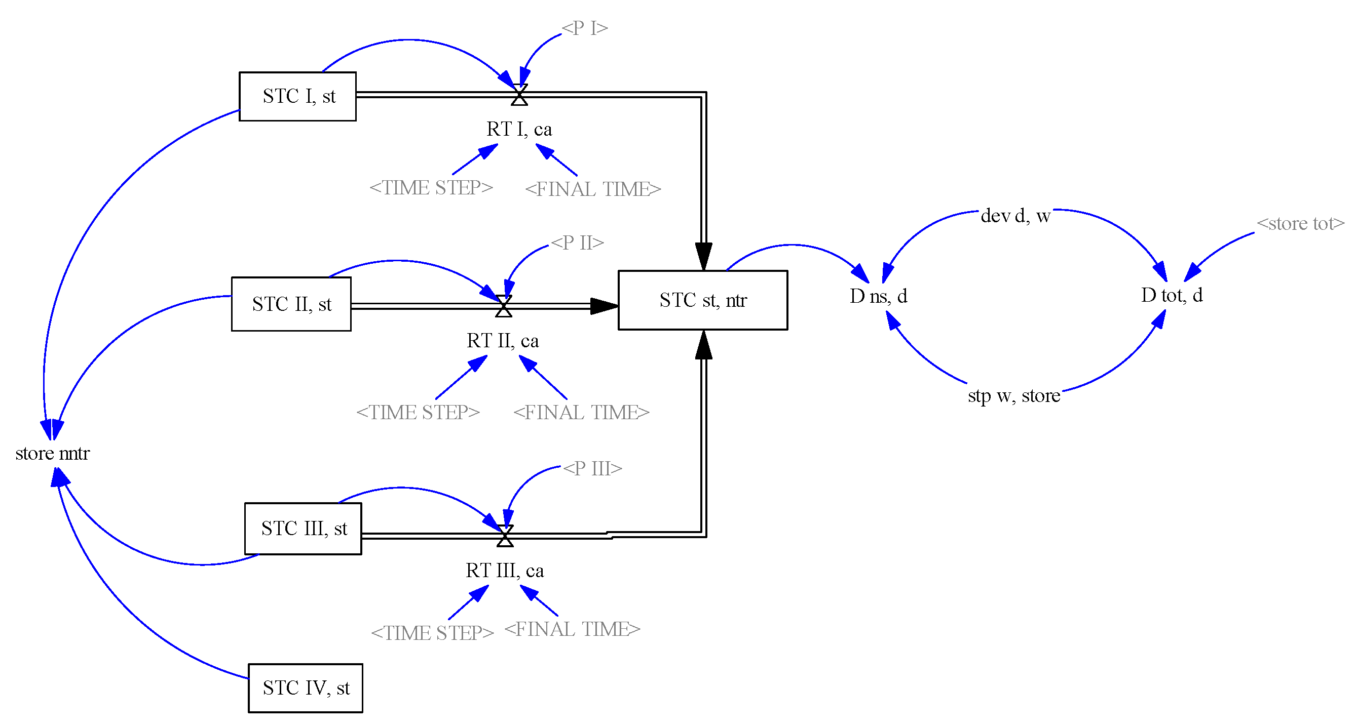
The “supply” of trips faces “demand” from stores. Therefore, based on data from the LSP’s customers (stores) (see Table 2 and Table 3), we calculated the average demand from retail stores, which is assumed to grow continuously (see below). A store analysis in cooperation with the LSP revealed that four types of stores s can be differentiated in regard to 24-hour delivery, which vary in their willingness to retrofit their stores and prepare them for 24-hour delivery. Type I to type III show different levels of financial and organizational retrofitting efforts, while type IV is not able or willing to retrofit at all. Figure 4 shows the respective stock-and-flow model. When initializing the model, the total number of stores is allocated to the four store types () according to the results of the store analysis. Their sum is the number of stores that is not nighttime-ready (). This stock of stores decreases continuously, since stores are retrofitted and become nighttime-ready (STCst, ntr). This flow is expressed by the customer acquisition (ca) rate for store s (), which is calculated as the product of the current stock of stores of type s with the store type’s individual probability to retrofit (Ps). The probabilities result from the DCMs described later in this section. Furthermore, the number of 24-hour delivery ready stores is equal to the sum of all ca rates and the stock of nighttime ready stores of the previous period:
Table 3.
Discrete choice model (DCM) parameters.
Figure 4.
Graphical representation of the store stock-and-flow model in the system dynamics (SD) modeling software VENSIM.
The total daily delivery demand from stores in stops per day (Dtot, d) is calculated by multiplying the total number of stores (storetot) by the quotient of weekly stops per store (stopw, store) and delivery days per week (devd, w). Accordingly, the potential daily delivery demand for nighttime stops is calculated by multiplying the stock of nighttime-ready stores. It has to be mentioned, however, that the demand for nighttime stops is not fulfilled automatically, but depends on the availability of battery-electric HDTs.
In the service delivery subsystem, supply and demand of deliveries are matched, and the number of trips, stops, and kilometers traveled are calculated. We assume that demand for nighttime delivery is prioritized over demand for daytime delivery. We calculated the number of nighttime stops that can be fulfilled first and then the number of remaining daystops (Dds, d, rem) with daily supply of nightstops (Sns, d):
The remaining demand is assumed to be met by the diesel HDT fleet and the remaining battery-electric HDTs.
Beyond that, we developed a TCO model for the transportation operations of the LSP, including costs for drivers, vehicle costs, and the costs for charging infrastructure at the warehouse (only relevant for battery-electric HDTs). The TCO model is the basis for the LSP’s decision to buy a diesel or battery-electric HDT and for calculating the performance indicators, on which the stores base their decision (see Figure 2). TCO models are widely applied in economic analyses of different vehicle technologies [34,35,36]. The TCO for vehicle type r (different types, see Table 1) can be calculated according to Equation (7). The costs for drivers () and vehicle costs () depend on the vehicle type, whereas costs for charging points () are independent of the vehicle type. Further, as explained above, we assumed that one fast charging point is sufficient for four electric HDTs.
Driver costs can be calculated by multiplying the hourly driver wage (wday/night), which differs between daytime and nighttime due to night allowances, by the number of daily trips and the duration of the respective trips (see Equation (8)). The duration of trips () varies by truck type because of different cargo capacities, resulting in different numbers of stops per trip, and between daytime and nighttime, since less traffic at night allows for higher average speeds and reduces trip duration. Different payloads of HDTs lead to different numbers of stores that can be supplied per trip, which influences trip duration, and as a consequence, the number of daily trips () varies as well. Beyond that, it is assumed that only battery-electric HDTs are able to carry out nighttime delivery. This can be justified by the much higher noise emissions of diesel HDTs that are not able to meet the strict noise protection regulations in place in Germany. That is why night trips are not relevant for diesel HDTs. The result is multiplied by the number of days per year the vehicle is in use (diur). Those costs can be reduced by the company’s tax rate (ctr) since they are tax-deductible. The obtained result represents the actual annual driver costs, which can be converted into the present value of the total driver costs over the HDT’s lifetime by multiplication with the annuity present value factor (APV) [29,37].
The APV corresponds to the reciprocal value of the annuity factor:
To calculate vehicle costs, we applied the net present value (NPV) method with resale value and tax payment on gains realized by sales [36,37] in combination with APV calculations (see Equation (4)). According to our assumptions, operating life is equal to the depreciation period. The vehicle’s investment costs comprise the list price of the vehicle in year t (), the sales price in year t (), taxes on the respective gains realized by sales, and the tax-reducing depreciation over the HDT’s operating life, which is converted into its present value. The variable vehicle costs include the fuel consumption of the vehicle (fcr), fuel price (fpr), maintenance and repair costs (mr), costs for tires (tyr), tolls (tlr), and the vehicle’s annual kilometers traveled (VKT). Furthermore, fixed vehicle costs such as taxes (txr) and insurance costs (insr) have to be considered. Finally, variable and fixed vehicle costs are tax-deductible.
Infrastructure costs comprise the list prices of fast charging points at time t (LP(t)infra) and maintenance and repair costs (minfra). Since the operating life of charging infrastructure l is much longer than the assumed HDT’s operating life, the list price is reduced by the share of the operating life of the infrastructure that exceeds the HDT’s operating life (see Equation (5)). Furthermore, depreciation of the charging infrastructure and maintenance costs are tax-deductible.
Subsequently, it is assumed that a certain share of the fleet is replaced each year, and the TCO is one of the criteria upon which the LSP bases its buying decisions (choosing between diesel and battery-electric HDTs). The other criterion included in the buying decision is the expected demand from retail stores, split into regular daytime and nighttime delivery demand.
The buying decision of the LSP is operationalized in a supplier DCM. We transformed a basic discrete choice model (see [38,39,40,41]) into a binomial logit model with one decision-maker (LSP) and two alternatives (buy battery-electric HDT or diesel HDT), assuming that the stochastic components of the basic discrete choice model are independently, uniformly, and Gumbel-distributed, with scaling parameter β and location parameter µ. We chose a Gumbel distribution, since it represents an extreme value distribution type I [40], which is required for this problem, as the individual decision is discrete in nature and can therefore only be “buy” or “don’t buy.” This leads to the following equation, where P(k) is the probability P for choosing alternative k over alternative l, and U is the utility for the decision-maker (sum of a deterministic component V and a stochastic component, where the latter is dissolved according to the distribution described above):
As mentioned above, the two decision criteria for the LSP are TCO and expected store demand. We included expected store demand in the TCO calculations described above via VKT, since they depend on store’s demand for deliveries. Higher demand, for example, leads to higher utilization rates of the HDT’s delivery capacity and consequently to higher VKT. For the supplier DCM, and thus, for the decision on which HDT to buy, we aligned expected VKT to consider current demand plus an annual growth rate of 0.5%, which is the average annual revenue increase in German grocery retailing over the last 20 years [42]. It has to be mentioned, however, that the growth rate applies to the total demand (using the current delivery demand at the LSP’s warehouse as a starting value), whereas demand for nighttime delivery, as a subset of total demand, depends on the store’s decisions (starting at zero demand).
In order to be able to compare the current customer-demand-adjusted (cda) TCO of new battery-electric HDTs (TCOcda B HDT), which are able to carry out daytime and nighttime deliveries, with the TCO of diesel HDTs, which can only carry out daytime deliveries, we multiplied a diesel HDT’s TCO with a 24-hour delivery factor, resulting in current customer-demand and nighttime-delivery-adjusted (cdna) TCO (TCOcdna D HDT). That factor is the quotient of battery and diesel HDTs’ actual number of daily trips carried out, thereby aligning the daily delivery performances of both truck types.
As a consequence, taking Equation (12) into account, the probability of the LSP buying battery-electric HDTs can be calculated as follows:
This is because, in case of equal utilities, the probability of choosing each of the alternatives should be 0.5; thus, μ has to be equal to 0. For the calculation of β, a threshold value thLSP must be defined, stating which utility difference is required for the decision-maker to have maximum benefit from one of the two alternatives with a probability of choosing this alternative of one. Since a DCM function does not reach a value of one, but only approximates it, the threshold is defined in such a way that the probability of choosing the alternative is 0.99. Converting Equation (12) leads to the following equation for β:
We used a customer DCM to represent the decision of the retail stores on whether to retrofit and prepare for nighttime delivery or not. Further, we assumed that three decision criteria are relevant for the stores: changes in transportation costs (diesel vs. battery-electric HDTs), expected improvements in delivery quality (increased promptness of delivery due to nighttime delivery), and risk reduction (maintaining delivery even under urban access regulations, such as diesel bans). Stores that decide to implement retrofits are considered to be customers for 24-hour delivery and represent customer demand. Based on Equation (12), the following equation could be specified for the probability P of a store of type s to prepare for nighttime delivery, with a store’s scaling (βs) and location parameters (µs), with an innovation parameter Is and a store’s deterministic utility Vs:
The deterministic utility is determined as the weighted sum of individual utility from delivery quality, transportation costs and risk reduction, which have all been scaled to an interval from −1 to +1. Similar to Equation (14), βs can be calculated. The threshold and the denominator, however, are removed from the equation because utility is already scaled:
The location parameters µs can be calculated as follows:
The innovation parameter Is defines the share of stores carrying out a retrofit in case of a utility of zero. This is because most stores undergo construction efforts from time to time, when it would be easy to include preparation for 24-hour delivery.
In the performance indicator module, the changes in transportation costs, improvements in delivery quality, and risk reduction are calculated. In the expert interviews with the LSP, we derived an initial delivery quality of 96% with a maximum increase of 3 percentage points due to 24-hour deliveries. The delivery quality can be calculated by adding the product of the share of nighttime deliveries in total deliveries and the maximum increase to the initial delivery quality. Actual transportation costs of the fleet are calculated by dividing total TCO of the fleet by total number of transportation units (TU). Finally, risk is defined by the share of diesel HDTs older than 4 years in the entire fleet. This can be justified by emission regulations for HDT, which are becoming more stringent [43], meaning that older diesel HDTs are potentially subject to urban access regulations.
Our TCO and DCM models, implemented in the SD method, allow us to account for the dynamics and complexity inherent in a supplier-customer relationship. Furthermore, the integrated model is able to include changes in environmental conditions and potential feedback loops. The buying decision of the LSP has an impact on the vehicle fleet, which defines the number of potential delivery trips. Supply and demand are matched in the SD model and actual service delivery is modeled. Based on the operations’ TCO and actual service delivery, several performance indicators can be measured that influence the customer’s decision, and thus close the model’s loop. Further, the SD model can be used to explore the potential diffusion of battery-electric HDTs and nighttime delivery.
3.2. Data and Assumptions
Four different HDTs (see Table 1) were included in the calculations, which represent the truck types used in a fleet operating from a specific warehouse of a German LSP. For the diesel HDTs, we could rely on real-life figures, whereas the prices for battery-electric HDTs were based on assumptions.
For battery-electric HDTs, we used the basic price for the truck chassis of a diesel HDT and added component costs for electric motors, power electronics, and the traction battery. The resulting prices were compared to announcements by HDT manufacturers concerning the potential price ranges of their future all-electric HDTs and were a good match.
We obtained data on the current fleet, demand, and delivery trips from a specific warehouse of the LSP, which we supplemented with further assumptions (see Table 2). We assumed that diesel HDTs operate between 6 a.m. and 10 p.m., while battery-electric HDTs operate for 24 hours. Furthermore, it is assumed that a battery range of around 180 km is sufficient based on the average trip length of 120 km and that no battery change is required during the HDT’s operating life. The average driving speed was based on expert interviews. A literature review indicated that the average driving speed tends to be around 30% higher for nighttime delivery [6,8,31]. Parameters on environmental conditions, such as battery prices [25] and fuel prices [26,44], were drawn from various sources, and techno-economic parameters were mostly retrieved from [26,45]. For fuel prices, projections were made up to 2042, which were based on [44] for diesel and on [46] for electricity.
As an example, Table 4 presents the parameters for a 26t HDT in 2018, which is the most used truck in the LSP’s fleet. All assumptions are for Germany and prices are net and in EUR2018.
Table 4.
Techno-economic parameters for logistics parameters and 26t HDT in 2018.
We calculated the model with two different scenarios, which mainly differ in terms of battery prices and fuel prices. In the first scenario, which is called “moderate energy transition” (ME), we assumed that a moderate transition towards renewable energy sources takes place. This results in decreasing battery prices and slowly increasing electricity prices. In the “expensive sustainability” (ES) scenario, battery prices decrease slower, but electricity prices increase quite rapidly. The prognosis of the electricity prices was taken from [46], while the diesel price forecast was based on [44]. For details see [20].
4. Results
4.1. TCO
Regarding the TCO, we make a detailed comparison of diesel and battery-electric HDTs with and without 24-hour delivery. Furthermore, we present the development of the transportation costs of battery and diesel HDTs over time and the delivery capacity improvements due to nighttime delivery.
Comparing the TCO of a new diesel and battery 26t HDT in 2018 for daytime delivery only, which represents the current state in logistics operations, shows that diesel HDTs are slightly cheaper (Figure 5a).
Figure 5.
Absolute and relative total cost of ownership (TCO) of a new 26t truck in 2018 for day (a) and day and nighttime delivery (b).
This result is mainly due to the much lower vehicle costs, which are only 12% of the total TCO for a diesel HDT in comparison to 19% for a battery-electric HDT. [49,50] show similar results. Fuel costs, however, are lower for battery-electric HDTs (10%) than for diesel HDTs (14%). This is due to the higher efficiency of battery-electric drivetrains in comparison to internal combustion engines [51]. In addition, maintenance costs and toll costs are slightly higher for diesel HDTs [52]. The lower maintenance costs of battery-electric HDTs result from fewer moving parts and fewer liquids in electric drivetrains [53]. Further, fast-charging infrastructure costs make up around 2% of battery-electric HDTs’ TCO, whereas diesel HDTs, of course, do not require charging infrastructure. It is immediately apparent that driver costs (around 60%) far outweigh all other costs, which is also supported by [54].
Battery-electric HDTs are cheaper than diesel HDTs when considering nighttime delivery as well (Figure 5b). Thus, research question one can be answered positively. Battery-electric HDTs in 24-hour delivery are able to compete with diesel HDTs and even represent the cheaper option. Although driver costs increase for battery-electric HDTs because of night allowances in both absolute and relative terms, battery-electric HDTs have advantages from a TCO perspective. It has to be pointed out that the same delivery capacity is set for both HDT types in the day and nighttime delivery calculations, resulting in one battery-electric HDT replacing around 1.5 diesel HDTs. Only battery-electric HDTs are able to carry out nighttime delivery, which increases their daily delivery capacity. Furthermore, the daily vehicle kilometers driven increase in the day and nighttime delivery calculation, which allows the battery-electric HDT to benefit more from its relatively low operating costs. In summary, this shows that nighttime delivery is the decisive factor for improving the profitability of battery-electric HDTs, and thus, from an economic point of view, battery-electric HDTs for nighttime delivery seem to be the preferable option for city logistics. In addition to the economic benefits of battery-electric HDT, these trucks have no local air pollutant emissions (besides brake and tire dust, resulting in fine particulate matter) and lower noise emissions. The overall air pollutant emissions, however, depend strongly on the energy mix used [55] and are only close to zero when using electricity from renewable energy sources exclusively. Furthermore, 24-hour delivery decreases traffic during peak-hours and relieves congestion in urban areas. Finally, a smaller required truck fleet is more resource-conserving, but the emissions from battery production may not be neglected [56].
Furthermore, we carried out a sensitivity analysis for the TCO using several interest rates, since the interest rate is one of the deciding parameters with regard to the TCO method. Figure 6 shows that, with a decreasing interest rate, the absolute difference between diesel and battery-electric HDTs decreases, in daytime as well as 24-hour delivery. At high interest rates, future payments have a lower NPV. Since battery-electric HDTs have lower variable costs over their operating life in comparison to diesel HDTs, high interest rates are unfavorable for them and the TCO difference increases. Decreasing interest rates increase the NPV of the variable costs—the battery-electric HDTs benefit from their lower variable costs. Despite the extreme variations in the interest rate applied, the ranking remains unchanged.
Figure 6.
Sensitivity analysis for the absolute TCO of a new 26t truck in 2018 for different interest rates.
Figure 7a shows how the transportation costs in euro per transportation unit might develop in future. The costs are a result of the SD model that can simulate interactions over time. Using input parameters according to the ME scenario, and thus, forecast input parameters for HDT prices, energy prices, etc., the feedback loops in the SD model generate that model behavior. We compared the costs of a notional battery-only HDT fleet and a notional diesel-only HDT fleet to the costs of the LSP’s fleet, which shifts steadily from diesel to battery-electric HDTs. Transportation costs are significantly higher for diesel HDTs than for battery-electric HDTs in the ME scenario. Further, the spread in transportation costs increases to start with and then remains stable. Environmental conditions are the main reason for the steadily increasing transportation costs: diesel and electricity prices and personnel costs are expected to rise continuously. As an increasing number of battery-electric HDTs diffuse into the LSP’s fleet, its total transportation costs approach the costs of a fleet based only on battery-electric HDTs. After ten years, these costs coincide, indicating that the LSP’s fleet consists of mostly battery-electric HDTs. Moreover, we explored why battery-electric HDTs are so much cheaper than diesel HDTs: this is largely because battery-electric HDTs can carry out up to 50% more delivery trips than diesel HDTs, depending on the HDT type (see Figure 7b). This, again, can be attributed to the longer daily operating time of battery-electric HDTs compared to diesel HDTs (6 a.m. to 10 p.m. for diesel HDT, 24 hours for battery-electric HDT).
Figure 7.
Development of transportation costs of pure battery and diesel HDTs fleets in comparison to calculated fleet mix (total) over time (a) and potential of daily delivery trips for different truck types during daytime and nighttime. Scenario ME (b).
4.2. Diffusion
Figure 8 shows the results regarding the diffusion of battery-electric HDTs in the LSP’s fleet. Again, we calculated the two scenarios ME and ES to consider different potential developments.
Figure 8.
Diffusion of battery-electric HDTs in the LSP’s fleet over time in two different scenarios (a) and development of demand for nighttime delivery over time (b).
In both scenarios, battery-electric HDTs diffuse quickly in the LSP’s fleet, replacing diesel HDTs almost entirely after slightly more than one decade. This is interesting, especially in the light of the assumed operating life of 9 years for HDTs. It seems that the operating lifetime of HDTs has a major impact on the duration of the diffusion process. Another interesting development is the decreasing total number of HDTs required to meet slightly increasing demand. Because of the higher delivery capacity of battery-electric HDTs with their growing share in the fleet, fewer HDTs are required overall. The fast diffusion can be attributed to the low transportation costs of battery-electric HDTs.
On the customer side, the demand of retail stores of type I and II (no and little retrofitting effort) for nighttime delivery increases very quickly and reaches its full potential after just over a decade, which is similar to the period for battery HDTs diffusion. Retail stores of type III, however, show almost no demand, which is due to the high retrofitting effort. Accordingly, the demand for and supply of nighttime delivery with battery-electric HDTs increase very quickly and almost in parallel.
5. Discussion and Conclusions
Our results come with some uncertainties. Firstly, the techno-economic parameters for battery-electric HDTs are based mostly on assumptions, since almost no battery-electric HDTs are available on the market at present. Secondly, our assumptions regarding the future development of vehicle prices and battery prices and diesel and electricity prices are highly uncertain but have a large influence on the results. Besides the techno-economic parameter assumptions, we further assumed that suitable battery-electric HDTs are available on the market and that regulations allow silent battery-electric HDTs to deliver at night. Neither is the case at present. Finally, we assumed that battery-electric HDTs comply with German noise emission regulations. Generally speaking, this is the case. It is not clear, however, how courts would decide whether residents felt disturbed by nighttime delivery with battery-electric HDTs.
We developed our model structure and the basic feedback loops, and thus the CLD with a CIA. This represents a very structured model development approach to improving the validity and reliability of the model. It also represents a valuable methodological contribution to the literature, since it reduces the uncertainty and randomness of model development with SD. Beyond that, using SD to model a TCO calculation, a DCM for the LSP’s buying decision, and a DCM for the customer adoption proved to be a suitable method for modeling complex and dynamics logistics systems.
With our model, we were able to show that diesel HDTs have slightly lower TCO than electric HDTs for daytime delivery in food logistics. This is because of diesel HDTs’ lower investment costs. Including the option of nighttime delivery, resulting in 24-hour delivery, however, turns battery-electric HDTs into the best option in terms of TCO. In this context, battery-electric HDTs have lower operating costs and a higher delivery capacity. Furthermore, the transportation cost benefits remain stable in future as well. The reason is the higher delivery capacity—a battery-electric HDT can carry out up to 50% more daily trips than a diesel HDT. The higher delivery capacity of battery-electric HDTs in comparison to diesel HDTs leads to a smaller required HDT fleet. Increasing the number of battery-electric HDTs in the fleet increases the TCO benefits. It has to be mentioned, however, that almost two thirds of the TCO is from driver costs.
The diffusion of nighttime delivery with battery-electric HDTs is very fast on both the LSP’s side and the customer’s side. Almost the entire fleet shifts to battery-electric HDTs within about one HDT lifetime due to the much lower transportation costs of battery-electric HDTs. Customers who have to make low or medium retrofit efforts in order to make their retail stores ready for nighttime delivery also adopt quite rapidly, while customers with high retrofit efforts show almost no interest. This is because retrofitting costs are high in relation to the benefits that can be achieved in terms of transportation cost reduction, increase in delivery quality, and risk mitigation.
In summary, we conclude that the operating cost difference between battery-electric HDTs and diesel HDTs in food retail logistics is quite small. Furthermore, if nighttime delivery is included, battery-electric HDTs have economic benefits as well, and therefore diffuse quickly through the LSP’s fleet and across retail stores. Besides the mainly cost-based advantages of nighttime delivery with battery-electric HDTs found in the analyses, these vehicles offer additional advantages—from an ecological perspective and from a social one. Battery-electric HDTs powered by renewable electricity cause almost no CO2 emissions and have very low noise emissions compared to diesel HDTs. It has to be mentioned, however, that in Germany, the share of renewable energy in the energy mix is 40%, with the rest is supplied by nuclear, hard coal, or lignite power plants [57]. Hence, the operation of battery-electric HDTs is not carbon-neutral. Still, the implementation of battery-electric HDTs with 24-hour delivery is an economic option for LSPs to bypass diesel bans and to reduce the ecological impact of their transport operations. The economic benefits of battery trucks with 24-hour delivery hold true for two very different scenarios, which proves the robustness of the option. Furthermore, daytime traffic congestion can be reduced if some transportation operations are shifted into nighttime hours, which has a social dimension. An additional social aspect might be the decreasing risk of accidents due to shifting transportation to less traffic-intense times. On the other hand, it also has to be mentioned that the availability of suitable battery-electric HDTs is very low at present, and in many countries, regulations governing noise emissions prevent nighttime delivery. Hence, policymakers should consider exempting battery-electric HDTs from noise emission regulations in order to give planning security to those LSPs considering converting their fleet. Furthermore, politics should accelerate the market introduction of battery-electric HDTs by offering financial or non-financial incentives, or enforcing even stricter emissions regulations, which have been implemented on a European level, but only from 2025 onwards [58]. If the mentioned barriers can be overcome, however, 24-hour delivery with battery-electric HDTs is a very promising way forward for more sustainable city logistics.
Author Contributions
Conceptualization, C.M., P.P., M.W., and K.H.; methodology, C.M., P.P., and M.W.; validation, C.M., P.P., M.W., and K.H.; formal analysis, C.M. and P.P.; investigation, C.M.; data curation, C.M.; writing—original draft preparation, C.M. and P.P.; writing—review and editing, C.M., P.P., and K.H.; supervision, P.P., M.W., and K.H.; project administration, M.W.; funding acquisition, M.W. All authors have read and agreed to the published version of the manuscript.
Funding
This publication was written in the framework of the Profilregion Mobilitätssysteme Karlsruhe, which is funded by the Ministry of Economic Affairs, Labor, and Housing in Baden-Württemberg and as a national High Performance Center by the Fraunhofer-Gesellschaft.
Conflicts of Interest
The authors declare no conflict of interest.
References
- European Commission. Impact Assessment. Annex to: The Communication on Thematic Strategy on Air Pollution and the Directive on “Ambient Air Quality and Cleaner Air for Europe”, SEC (2005) 1133; European Commission: Brussels, Belgium, 2005. [Google Scholar]
- European Environment Agency. National Emissions Reported to the Convention on Long-Range Transboundary Air Pollution (LRTAP Convention); European Environment Agency: Copenhagen, Denmark, 2018. [Google Scholar]
- Urban Access Regulations in Europe. Sadler Consultants Europe GmbH, European Commission. Available online: http://urbanaccessregulations.eu/ (accessed on 11 March 2019).
- Wissenbach, I. German Court Says Frankfurt Must Ban Older Diesel Cars; Thomson Reuters: New York, NY, USA, 2018. [Google Scholar]
- Weken, H.; Bestebreurtje, E.; Kroon, R. Electric Heavy Duty Trucks in Europe More and More Upcoming; EVS30: Stuttgart, Germany, 2017. [Google Scholar]
- Fu, J.; Jenelius, E. Transport efficiency of off-peak urban goods deliveries. A Stockholm pilot study. Case Stud. Transp. Policy 2018, 6, 156–166. [Google Scholar] [CrossRef]
- Holguín-Veras, J.; Ozbay, K.; Kornhauser, A.; Brom, M.A.; Iyer, S.; Yushimito, W.F.; Ukkusuri, S.; Allen, B.; Silas, M.A. Overall Impacts of Off-Hour Delivery Programs in New York City Metropolitan Area. Transp. Res. Rec. J. Transp. Res. Board 2011, 2238, 68–76. [Google Scholar] [CrossRef]
- Sánchez-Díaz, I.; Georén, P.; Brolinson, M. Shifting urban freight deliveries to the off-peak hours. A review of theory and practice. Transp. Rev. 2016, 37, 521–543. [Google Scholar] [CrossRef]
- Fishbein, M.; Ajzen, I. Belief, attitude, intention, and behavior: An introduction to theory and research. In Addison-Wesley Series in Social Psychology; Addison-Wesley Pub. Co.: Boston, MA, USA, 1975. [Google Scholar]
- Rogers, E.M. Diffusion of Innovations, 3rd ed.; The Free Press: New York, NY, USA; London, UK, 1983. [Google Scholar]
- Frambach, R.T.; Schillewaert, N. Organizational innovation adoption: A multi-level framework of determinants and opportunities for future research. J. Bus. Res. 2002, 55, 163–176. [Google Scholar] [CrossRef]
- Venkatesh, V.; Morris, M.G.; Davis, G.B.; Davis, F.D. User acceptance of information technology: Toward a unified view. Mis Q. 2003, 27, 425–478. [Google Scholar] [CrossRef]
- Davis, F.D. Perceived Usefulness, Perceived Ease of Use, and User Acceptance of Information Technology. Mis Q. 1989, 13, 319–340. [Google Scholar] [CrossRef]
- Hadwich, K. Entwicklung und Implementierung von Technologiebasierten Serviceinnovationen: Konzeptionierung eines Wirkungsmodells und Empirische Befunde aus Anbieter- und Kundenperspektive; Habilitationsschrift, Wirtschaftswissenschaftliche Fakultät der Universität Basel: Basel, Switzerland, 2008. [Google Scholar]
- Kamakura, W.A.; Mittal, V.; de Rosa, F.; Mazzon, J.A. Assessing the service-profit chain. Mark. Sci. 2002, 21, 294–317. [Google Scholar] [CrossRef]
- Stumpfe, J. Interdependenzen von Produkt- und Prozessinnovationen in Industriellen Unternehmen: Eine System-Dynamics-Basierte Analyse; Europäische Hochschulschriften. Reihe 5, Volks- und Betriebswirtschaft v. 3031; Peter Lang: Frankfurt am Main, Germany, 2003. [Google Scholar]
- Forrester, J.W. Industrial Dynamics; The MIT Press: Cambridge, MA, USA, 1961. [Google Scholar]
- Moutinho, L.; Witt, S.F. Application of cross-impact analysis in tourism. J. Travel Tour. Mark. 1994, 3, 83–96. [Google Scholar] [CrossRef]
- Osorio, S.; van Ackere, A.; Larsen, E.R. Interdependencies in security of electricity supply. Energy 2017, 135, 598–609. [Google Scholar] [CrossRef]
- Moll, C. Nachhaltige Dienstleistungsinnovationen in der Logistik: Ein Ansatz zur Entwicklung von Entscheidungsmodellen; Springer Fachmedien: Wiesbaden, Germany, 2019. [Google Scholar]
- Moll, C.; Kirsch, D.; Bernsmann, A. Geräuscharme Nachtlogistik. In Elektromobiler Wirtschaftsverkehr im urbanen Raum Elektromobil durch die Zukunft: Zukunftsszenarien und neue Dienstleistungen für die Elektromobilität 2030; Hawig, D., Ed.; Books on Demand: Norderstedt, Germany, 2017; pp. 210–231. [Google Scholar]
- Sterman, J.D. Business Dynamics: System Thinking and Modelling for a Complex World; McGraw-Hill: Boston, MA, USA, 2000. [Google Scholar]
- Morecroft, J.D.W. Strategic Modelling and Business Dynamics: A Feedback Systems Approach; John Wiley & Sons: Chichester, UK, 2007. [Google Scholar]
- BMF. AfA-Tabelle für die Allgemein Verwendbaren Anlagegüter (AfA-Tabelle “AV”): IV D 2-S 1551-188/00; Bundesministerium der Finanzen: Berlin, Germany, 2000.
- Thielmann, A. Energiespeicher-Roadmap (Update 2017). Hochenergie-Batterien 2030+ und Perspektiven zukünftiger Batterietechnologien; Fraunhofer Institute for Systems and Innovation Research ISI: Karlsruhe, Germany, 2017. [Google Scholar]
- Kirsch, D.; Bernsmann, A.; Moll, C.; Stockmann, M. Potenziale einer geräuscharmen Nachtlogistik. Potenziale einer geräuscharmen Nachtlogistik; Fraunhofer Verlag: Stuttgart, Germany, 2017. [Google Scholar]
- Özdemir, E.D. The Future Role of Alternative Powertrains and Fuels in the German Transport Sector—A Model Based Scenario Analysis with Respect to Technical, Economic and Environmental Aspects with a Focus on Road Transport. Ph.D. Thesis, University of Stuttgart, Forschungsbericht/Institut für Energiewirtschaft und Rationelle Energieanwendung, 108, Stuttgart, Germany, 2012. [Google Scholar]
- Ventana Systems. Vensim Software. Available online: https://vensim.com/vensim-software/ (accessed on 16 January 2020).
- Bieg, H.; Kußmaul, H.; Waschbusch, G. Investition; Vahlen: Munich, Germany, 2016. [Google Scholar]
- Strohhecker, J.; Sehnert, J. (Eds.) System Dynamics für die Finanzindustrie: Simulieren und Analysieren Dynamisch-Komplexer Probleme; Frankfurt School Verlag: Frankfurt am Main, Germany, 2008. [Google Scholar]
- McPhee, J.; Paunonen, A.; Ramji, T.; Bookbinder, J.H. Implementing off-peak deliveries in the greater Toronto area costs, benefits, challenges. Transp. J. 2015, 54, 473–495. [Google Scholar] [CrossRef]
- Ehmke, J.F.; Campbell, A.M.; Thomas, B.W. Vehicle routing to minimize time-dependent emissions in urban areas. Eur. J. Oper. Res. 2016, 251, 478–494. [Google Scholar] [CrossRef]
- Cattaruzza, D.; Absi, N.; Feillet, D.; González-Feliu, J. Vehicle routing problems for city logistics. J. Transp. Logist. 2017, 6, 51–79. [Google Scholar] [CrossRef]
- Gass, V.; Schmidt, J.; Schmid, E. Analysis of alternative policy instruments to promote electric vehicles in Austria. Renew. Energy 2014, 61, 96–101. [Google Scholar] [CrossRef]
- Hagman, J.; Ritzén, S.; Stier, J.J.; Susilo, Y.O. Total cost of ownership and its potential implications for battery electric vehicle diffusion. Res. Transp. Bus. Manag. 2016, 18, 11–17. [Google Scholar] [CrossRef]
- Gnann, T. Market diffusion of Plug-in Electric Vehicles and their Charging Infrastructure. Ph.D. Thesis, Karlsruhe Institute of Technology, Faculty of Economics, Karlsruhe, Germany, 2015. [Google Scholar]
- Blohm, H.; Lüder, K.; Schaefer, C. Investition, Schwachstellenanalyse des Investitionsbereichs und Investitionsrechnung; Vahlen: Munich, Germany, 2012. [Google Scholar]
- Al-Alawi, B.M.; Bradley, T.H. Review of hybrid, plug-in hybrid, and electric vehicle market modeling Studies. Renew. Sustain. Energy Rev. 2013, 21, 190–203. [Google Scholar] [CrossRef]
- Ben-Akiva, M.; Bierlaire, M. Discrete Choice Models with Applications to Departure Time and Route Choice. In Handbook of Transportation Science; Hall, R.W., Ed.; Kluwer Academic Publishers: Boston, MA, USA, 2003; pp. 7–37. [Google Scholar]
- Richter, C. Einfluss der Qualität des ÖPNV auf die Verkehrsmittelwahl im Regionalverkehr. Ph.D. Thesis, WWU Münster, Wissenschaftliche Schriften der WWU Münster, IV, 7, Münster, Germany, 2013. [Google Scholar]
- Thies, C.; Kieckhäfer, K.; Spengler, T.S. Market introduction strategies for alternative powertrains in long-range passenger cars under competition. Transp. Res. Part D Transp. Environ. 2016, 45, 4–27. [Google Scholar] [CrossRef]
- Statista. Umsatz im Lebensmitteleinzelhandel in Deutschland bis 2017. Available online: https://de.statista.com/statistik/daten/studie/161986/umfrage/umsatz-im-lebensmittelhandel-seit-1998/ (accessed on 19 March 2018).
- UBA. Schwere Nutzfahrzeuge. Available online: https://www.umweltbundesamt.de/themen/verkehr-laerm/emissionsstandards/schwere-nutzfahrzeuge (accessed on 15 September 2019).
- International Energy Agency. World Energy Outlook 2017; OECD Publishing: Paris, France, 2017. [Google Scholar]
- Kirsch, D.; Stockmann, M.; Bernsmann, A.; Moll, C.; Ruhnke, J.; Schumann, S. Geräuscharme Nachtlogistik—Geräuscharme Logistikdienstleistungen für Innenstädte durch den Einsatz von Elektromobilität (GeNaLog); Schlussbericht des Verbundprojekts: Dortmund, Germany, 2018. [Google Scholar]
- Gerbert, P.; Herhold, P.; Buchardt, J.; Schönberger, S.; Rechenmacher, F.; Kirchner, A.; Kemmler, A.; Wünsch, M. Klimapfade für Deutschland; The Boston Consulting Group; Prognos AG: Basel, Switzerland, 2018. [Google Scholar]
- Bäuml, S.; Brügelmann, R.; Gellrich, K.; von der Hellen, C.; Hentze, T.; King, C.C.; Lehmann, C.; Raber, H.G.; Voss, T.O.; Welling, B. Die Steuerbelastung der Unternehmen in Deutschland: Vorschläge für ein wettbewerbsfähiges Steuerrecht 2017/18; Institut der deutschen Wirtschaft Köln Medien: Berlin/Frankfurt am Main, Germany, 2017. [Google Scholar]
- Funke, S.Á.; Plötz, P.; Wietschel, M. Invest in fast-charging infrastructure or in longer battery ranges?: A cost-efficiency comparison for Germany. Appl. Energy 2019, 235, 888–899. [Google Scholar] [CrossRef]
- Wietschel, M. Machbarkeitsstudie zur Ermittlung der Potentiale des Hybrid-Oberleitungs-Lkw: Studie im Rahmen der Wissenschaftlichen Beratung des BMVI zur Mobilitäts- und Kraftstoffstrategie; Fraunhofer Institute for Systems and Innovation Research ISI: Karlsruhe, Germany, 2017. [Google Scholar]
- Hacker, F.; von Waldenfels, R.; Mottschall, M. Wirtschaftlichkeit von Elektromobilität in gewerblichen Anwendungen: Betrachtung von Gesamtnutzungskosten, ökonomischen Potenzialen und möglicher CO2-Minderung; Öko-Institut: Berlin, Germany, 2015. [Google Scholar]
- Jöhrens, J.; Rücker, J.; Bergk, F.; Schade, W.; Hartwig, J. Roadmap OH-Lkw: SWOT-Analyse: Strategische Analyse des OH-Lkw-Systems und konkurrierender Betriebskonzepte im Umfeld des schweren Straßengüterverkehrs; Institut für Energie- und Umweltforschung Heidelberg ifeu, M-Five: Heidelberg/Karlsruhe, Germany, 2017. [Google Scholar]
- Toll Collect. Maut-Tarife. Available online: https://www.toll-collect.de/de/toll_collect/bezahlen/maut_tarife/maut_tarife.html (accessed on 29 October 2018).
- Propfe, B.; Redelbach, M.; Santini, D.J.; Friedrich, H. Cost analysis of plug-in hybrid electric vehicles including maintenance & repair costs and resale values; EVS 26: Los Angeles, CA, USA, 2012. [Google Scholar]
- BGL. Kostenentwicklung im Güterkraftverkehr. Available online: http://www.bgl-ev.de/web/der_bgl/informationen/branchenkostenentwicklung.htm&v=2#form (accessed on 24 October 2018).
- Wietschel, M.; Moll, C.; Oberle, S.; Lux, B.; Timmerberg, S.; Ashley-Belbin, N. Klimabilanz, Kosten und Potenziale verschiedener Kraftstoffarten und Antriebssysteme für Pkw und Lkw: Endbericht; Gefördert vom Biogasrat+ e.V. Fraunhofer Institute for Systems and Innovation Research ISI: Karlsruhe, Germany, 2019. [Google Scholar]
- Thielmann, A.; Wietschel, M.; Funke, S.; Grimm, A.; Hettesheimer, T.; Langkau, S.; Loibl, A.; Moll, C.; Neef, C.; Plötz, P.; et al. Batterien für Elektroautos: Faktencheck und Handlungsbedarf; Fraunhofer Institute for Systems and Innovation Research ISI: Karlsruhe, Germany, 2020. [Google Scholar]
- UBA. Erneuerbare Energien in Zahlen. Available online: https://www.umweltbundesamt.de/themen/klima-energie/erneuerbare-energien/erneuerbare-energien-in-zahlen#statusquo (accessed on 21 January 2020).
- European Commission. Reducing CO2 emissions from heavy-duty vehicles—Climate Action—European Commission. Available online: https://ec.europa.eu/clima/policies/transport/vehicles/heavy_en (accessed on 20 January 2020).
© 2020 by the authors. Licensee MDPI, Basel, Switzerland. This article is an open access article distributed under the terms and conditions of the Creative Commons Attribution (CC BY) license (http://creativecommons.org/licenses/by/4.0/).







