Development of Multilayer Microcapsules by a Phase Coacervation Method Based on Ionic Interactions for Textile Applications
Abstract
:1. Introduction
2. Experimental Section
2.1. Materials
2.2. Preparation of Microcapsules
2.3. Sample Preparation for Textile Application
2.3.1. Air Atmospheric Plasma Treatment of Woven Polyester (PET) Fabric
2.3.2. Pad-Dry Method
2.3.3. Washing Cycle Experiments of PET Fabrics Samples
2.4. Characterization
2.4.1. Zeta Potential Measurement
2.4.2. Wetting Measurement
2.4.3. Scanning Electron Microscopy (SEM) and Atomic Force Microscopy (AFM)
2.4.4. Size Distribution Analysis by Granulometry
2.4.5. X-ray Photoelectron Spectroscopy (XPS) of Textile Fabric Samples
3. Results and Discussion
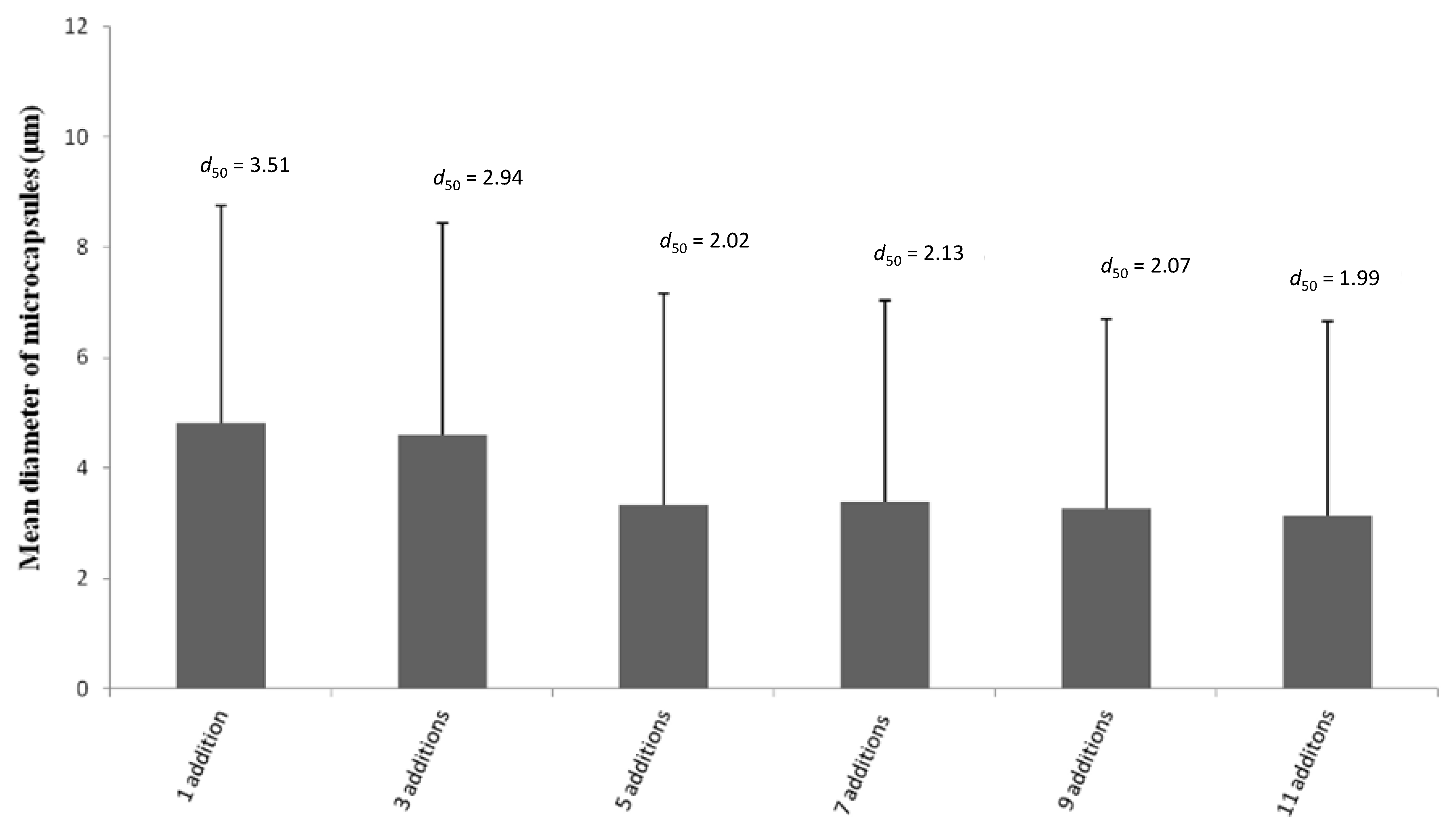
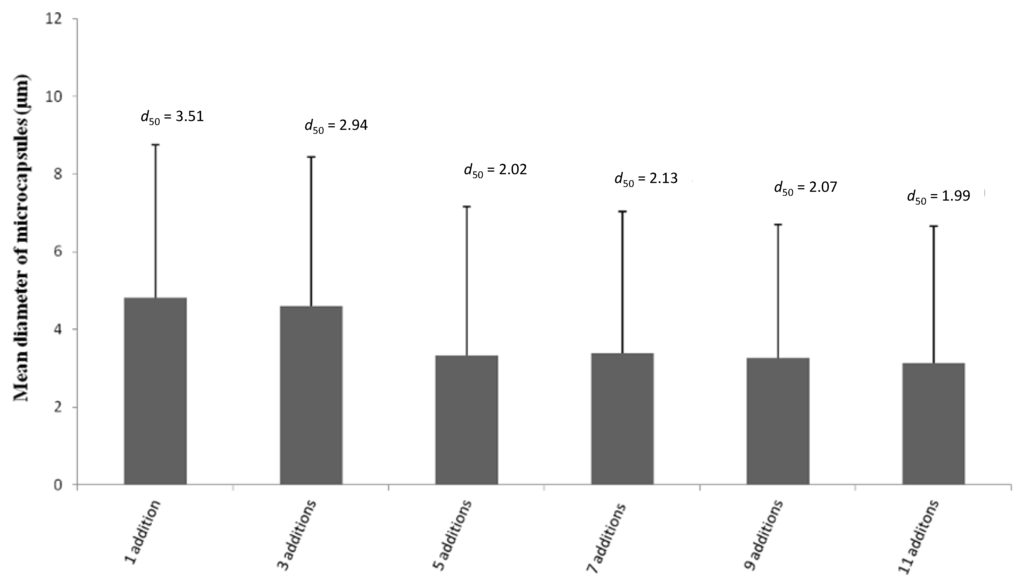
3.1. Formation of Multilayer Microcapsules in a Phase Coacervation Process



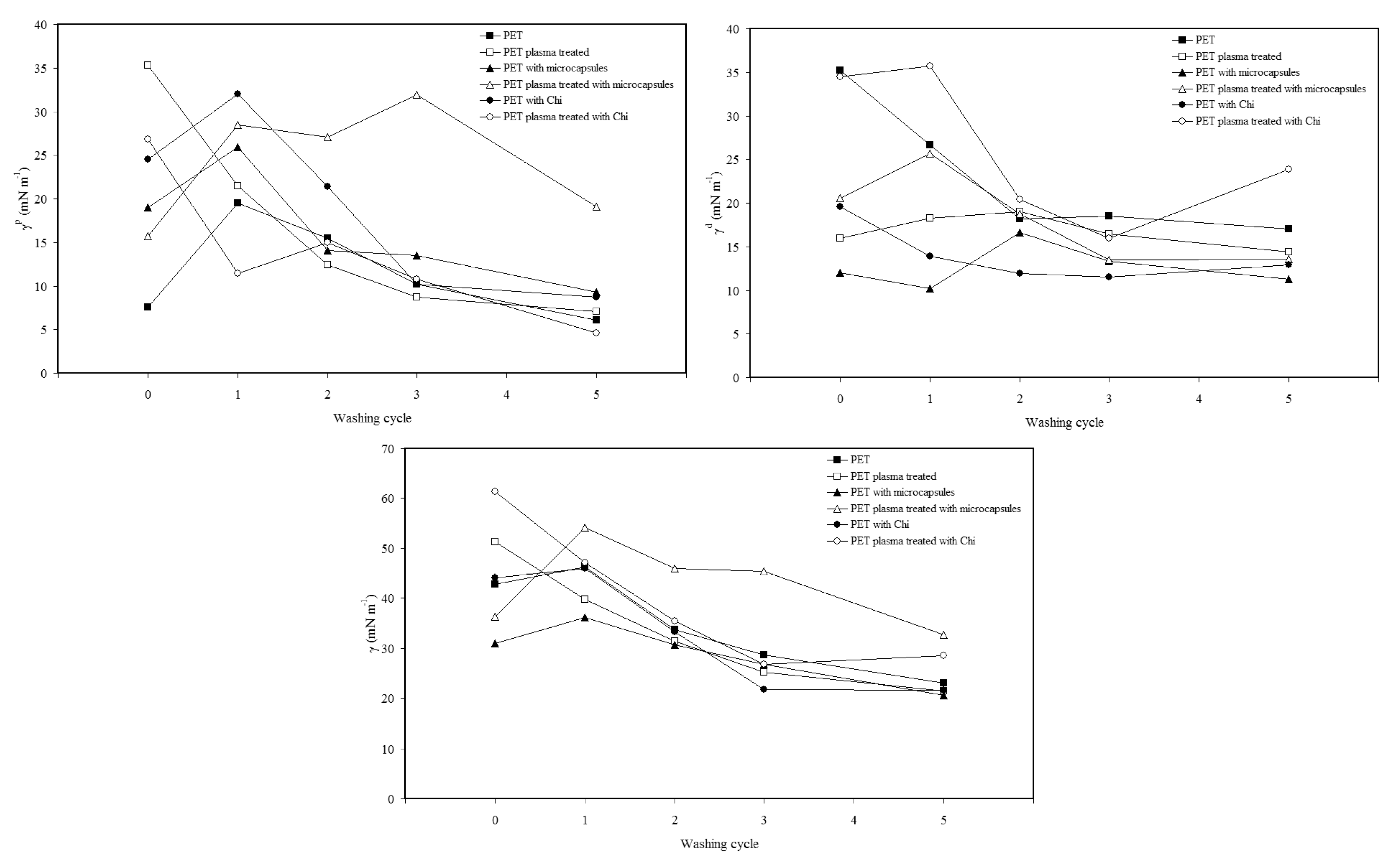
3.2. Effect of Plasma Treatment on Wash Durability of Microcapsules Fixed on Textile Substrate (PET Fabric) by Pad-Dry Process
| Bonds | PET fabric | PET fabric with microcapsules | PET fabric with Chi | |||||
|---|---|---|---|---|---|---|---|---|
| No plasma treated | Plasma treated | Plasma treated | Plasma treated | |||||
| Before washing | After washing | Before washing | After washing | Before washing | After washing | Before washing | After washing | |
| –C–C– (%) | 72.7 | 78.9 | 66.1 | 76.4 | 77 | 77 | 53.4 | 53.1 |
| –C–O– (%) | 17.3 | 12.1 | 20.5 | 13.6 | – | – | – | – |
| –O–C=O (%) | 10 | 9 | 13.3 | 10 | – | – | – | – |
| –C–O–/–C–N– (%) | – | – | – | – | 14.4 | 13.1 | 33.8 | 35.5 |
| –O–C=O/–N–C=O (%) | – | – | – | – | 8.6 | 9 | 12.8 | 11.4 |




4. Conclusions
Acknowledgments
Conflicts of Interest
References
- Kasaai, M.R. Determination of the degree of n-acetylation for chitin and chitosan by various nmr spectroscopy techniques: A review. Carbohydr. Polym. 2010, 79, 801–810. [Google Scholar] [CrossRef]
- Peng, H.; Xiong, H.; Li, J.; Chen, L.; Zhao, Q. Methoxy poly(ethylene glycol)-grafted-chitosan based microcapsules: Synthesis, characterization and properties as a potential hydrophilic wall material for stabilization and controlled release of algal oil. J. Food Eng. 2010, 101, 113–119. [Google Scholar] [CrossRef]
- Lam, P.-L.; Lee, K.K.-H.; Wong, R.S.-M.; Cheng, G.Y.M.; Cheng, S.Y.; Yuen, M.C.-W.; Lam, K.-H.; Gambari, R.; Kok, S.H.-L.; Chui, C.-H. Development of hydrocortisone succinic acid/and 5-fluorouracil/chitosan microcapsules for oral and topical drug deliveries. Bioorg. Med. Chem. Lett. 2012, 22, 3213–3218. [Google Scholar] [CrossRef]
- Zhang, L.; Jin, Y.; Liu, H.; Du, Y. Structure and control release of chitosan/carboxymethyl cellulose microcapsules. J. Appl. Polym. Sci. 2001, 82, 584–592. [Google Scholar] [CrossRef]
- El-Gibaly, I. Development and in vitro evaluation of novel floating chitosan microcapsules for oral use: Comparison with non-floating chitosan microspheres. Int. J. Pharm. 2002, 249, 7–21. [Google Scholar] [CrossRef]
- Chen, A.-Z.; Chen, M.-Y.; Wang, S.-B.; Huang, X.-N.; Liu, Y.-G.; Chen, Z.-X. Poly(l-histidine)-chitosan/alginate complex microcapsule as a novel drug delivery agent. J. Appl. Polym. Sci. 2012, 124, 3728–3736. [Google Scholar] [CrossRef]
- Rokhade, A.P.; Shelke, N.B.; Patil, S.A.; Aminabhavi, T.M. Novel interpenetrating polymer network microspheres of chitosan and methylcellulose for controlled release of theophylline. Carbohydr. Polym. 2007, 69, 678–687. [Google Scholar] [CrossRef]
- Huang, L.; Sui, W.; Wang, Y.; Jiao, Q. Preparation of chitosan/chondroitin sulfate complex microcapsules and application in controlled release of 5-fluorouracil. Carbohydr. Polym. 2010, 80, 168–173. [Google Scholar] [CrossRef]
- Alonso, D.; Gimeno, M.; Sepúlveda-Sánchez, J.D.; Shirai, K. Chitosan-based microcapsules containing grapefruit seed extract grafted onto cellulose fibers by a non-toxic procedure. Carbohydr. Res. 2010, 345, 854–859. [Google Scholar] [CrossRef]
- Liu, L.; Yang, J.-P.; Ju, X.-J.; Xie, R.; Liu, Y.-M.; Wang, W.; Zhang, J.-J.; Niu, C.H.; Chu, L.-Y. Monodisperse core-shell chitosan microcapsules for ph-responsive burst release of hydrophobic drugs. Soft Matter 2011, 7, 4821–4827. [Google Scholar] [CrossRef]
- Pothakamury, U.R.; Barbosa-Canovas, G.V. Fundamental aspects of controlled release in foods. Trends Food Sci. Technol. 1995, 6, 397–406. [Google Scholar] [CrossRef]
- Gharsallaoui, A.; Roudaut, G.; Chambin, O.; Voilley, A.; Saurel, R. Applications of spray-drying in microencapsulation of food ingredients: An overview. Food Res. Int. 2007, 40, 1107–1121. [Google Scholar] [CrossRef]
- Peña, B.; Panisello, C.; Aresté, G.; Garcia-Valls, R.; Gumí, T. Preparation and characterization of polysulfone microcapsules for perfume release. Chem. Eng. J. 2012, 179, 394–403. [Google Scholar] [CrossRef]
- Rodrigues, S.N.; Martins, I.M.; Fernandes, I.P.; Gomes, P.B.; Mata, V.G.; Barreiro, M.F.; Rodrigues, A.E. Scentfashion®: Microencapsulated perfumes for textile application. Chem. Eng. J. 2009, 149, 463–472. [Google Scholar] [CrossRef]
- Bysell, H.; Månsson, R.; Hansson, P.; Malmsten, M. Microgels and microcapsules in peptide and protein drug delivery. Adv. Drug Deliv. Rev. 2011, 63, 1172–1185. [Google Scholar] [CrossRef]
- Obeidat, W.M. Recent patents review in microencapsulation of pharmaceuticals using the emulsion solvent removal methods. Recent Pat. Drug Deliv. Formul. 2009, 3, 178–192. [Google Scholar] [CrossRef]
- Dastjerdi, R.; Montazer, M. A review on the application of inorganic nano-structured materials in the modification of textiles: Focus on anti-microbial properties. Colloids Surf. B 2010, 79, 5–18. [Google Scholar] [CrossRef]
- Mayer, C. Nanocapsules as drug delivery systems. Int. J. Artif. Organs 2005, 28, 1163–1171. [Google Scholar]
- Onesippe, C.; Lagerge, S. Study of the complex formation between sodium dodecyl sulphate and gelatin. Colloids Surf. A 2009, 337, 61–66. [Google Scholar] [CrossRef]
- Albarghouthi, M.; Fara, D.A.; Saleem, M.; El-Thaher, T.; Matalka, K.; Badwan, A. Immobilization of antibodies on alginate-chitosan beads. Int. J. Pharm. 2000, 206, 23–34. [Google Scholar] [CrossRef]
- Li, Z.; Chen, P.; Xu, X.; Ye, X.; Wang, J. Preparation of chitosan–sodium alginate microcapsules containing zns nanoparticles and its effect on the drug release. Mater. Sci. Eng. C 2009, 29, 2250–2253. [Google Scholar] [CrossRef]
- Ogawa, S.; Decker, E.A.; McClements, D.J. Production and characterization of o/w emulsions containing droplets stabilized by lecithin–chitosan–pectin multilayered membranes. J. Agric. Food. Chem. 2004, 52, 3595–3600. [Google Scholar] [CrossRef]
- Thongngam, M.; McClements, D.J. Characterization of interactions between chitosan and an anionic surfactant. J. Agric. Food. Chem. 2004, 52, 987–991. [Google Scholar] [CrossRef]
- Yan, S.; Rao, S.; Zhu, J.; Wang, Z.; Zhang, Y.; Duan, Y.; Chen, X.; Yin, J. Nanoporous multilayer poly(l-glutamic acid)/chitosan microcapsules for drug delivery. Int. J. Pharm. 2012, 427, 443–451. [Google Scholar]
- Cho, Y.; Kim, J.T.; Park, H.J. Size-controlled self-aggregated n-acyl chitosan nanoparticles as a vitamin C carrier. Carbohydr. Polym. 2012, 88, 1087–1092. [Google Scholar]
- Jia, Z.; Shen, D.; Xu, W. Synthesis and antibacterial activities of quaternary ammonium salt of chitosan. Carbohydr. Res. 2001, 333, 1–6. [Google Scholar] [CrossRef]
- Akamatsu, K.; Ikeuchi, Y.; Nakao, A.; Nakao, S.-I. Size-controlled and monodisperse enzyme-encapsulated chitosan microspheres developed by the spg membrane emulsification technique. J. Colloid Interface Sci. 2012, 371, 46–51. [Google Scholar] [CrossRef]
- Ye, W.; Leung, M.F.; Xin, J.; Kwong, T.L.; Lee, D.K.L.; Li, P. Novel core-shell particles with poly(n-butyl acrylate) cores and chitosan shells as an antibacterial coating for textiles. Polymer 2005, 46, 10538–10543. [Google Scholar] [CrossRef]
- Ye, S.; Wang, C.; Liu, X.; Tong, Z. Deposition temperature effect on release rate of indomethacin microcrystals from microcapsules of layer-by-layer assembled chitosan and alginate multilayer films. J. Control. Release 2005, 106, 319–328. [Google Scholar] [CrossRef]
- Martin, A.; Tabary, N.; Leclercq, L.; Junthip, J.; Degoutin, S.; Aubert-Viard, F.; Cazaux, F.; Lyskawa, J.; Janus, L.; Bria, M.; et al. Multilayered textile coating based on a β-cyclodextrin polyelectrolyte for the controlled release of drugs. Carbohydr. Polym. 2013, 93, 718–730. [Google Scholar] [CrossRef]
- Kerkeni, A.; Behary, N.; Dhulster, P.; Chihib, N.-E.; Perwuelz, A. Study on the effect of plasma treatment of woven polyester fabrics with respect to nisin adsorption and antibacterial activity. J. Appl. Polym. Sci. 2013, 129, 866–873. [Google Scholar] [CrossRef]
- Leroux, F.; Campagne, C.; Perwuelz, A.; Gengembre, L. Polypropylene film chemical and physical modifications by dielectric barrier discharge plasma treatment at atmospheric pressure. J. Colloid Interface Sci. 2008, 328, 412–420. [Google Scholar] [CrossRef]
- Leroux, F.; Perwuelz, A.; Campagne, C.; Behary, N. Atmospheric air-plasma treatments of polyester textile structures. J. Adhes. Sci. Technol. 2006, 20, 939–957. [Google Scholar] [CrossRef]
- Guo, L.; Campagne, C.; Perwuelz, A.; Leroux, F. Zeta potential and surface physico-chemical properties of atmospheric air-plasma-treated polyester fabrics. Text. Res. J. 2009, 79, 1371–1377. [Google Scholar] [CrossRef]
- Owens, D.K.; Wendt, R.C. Estimation of the surface free energy of polymers. J. Appl. Polym. Sci. 1969, 13, 1741–1747. [Google Scholar] [CrossRef]
- Pezron, I.; Bourgain, G.; Quéré, D. Imbibition of a fabric. J. Colloid Interface Sci. 1995, 173, 319–327. [Google Scholar] [CrossRef]
- Mun, S.; Decker, E.A.; McClements, D.J. Effect of molecular weight and degree of deacetylation of chitosan on the formation of oil-in-water emulsions stabilized by surfactant–chitosan membranes. J. Colloid Interface Sci. 2006, 296, 581–590. [Google Scholar] [CrossRef]
- Chatterjee, S.; Salaün, F.; Campagne, C.; Vaupre, S.; Beirão, A.; El-Achari, A. Syntheis and characterization of chitosan droplet particles by ionic gelation and phase coacervation. Polym. Bull. 2014, 71, 1001–1013. [Google Scholar] [CrossRef]
- Geetha, G.; Surech Kumar, C.; Devanna, N. Characterization of molecular interactions between chitosan and sodium dodecyl sulfate (SDS). Int. J. Sci. Technol. 2012, 2, 8–15. [Google Scholar]
- Wang, R.; Xia, B.; Li, B.-J.; Peng, S.-L.; Ding, L.-S.; Zhang, S. Semi-permeable nanocapsules of konjac glucomannan–chitosan for enzyme immobilization. Int. J. Pharm. 2008, 364, 102–107. [Google Scholar] [CrossRef]
- Chatterjee, S.; Salaün, F.; Campagne, C.; Vaupre, S.; Beirão, A. Preparation of microcapsules with multi-layers structure stabilized by chitosan and sodium dodecyl sulfate. Carbohydr. Polym. 2012, 90, 967–975. [Google Scholar] [CrossRef]
- Ran, J.; Bénistant, G.; Campagne, C.; Périchaud, A.; Chai, F.; Blanchemain, N.; Perwuelz, A. Characterization of nonwoven poly(ethylene terephtalate) devices functionalized with cationic polymer. J. Appl. Polym. Sci. 2012, 124, 3583–3590. [Google Scholar] [CrossRef]
- Parvinzadeh, M.; Ebrahimi, I. Atmospheric air-plasma treatment of polyester fiber to improve the performance of nanoemulsion silicone. Appl. Surf. Sci. 2011, 257, 4062–4068. [Google Scholar] [CrossRef]
© 2014 by the authors; licensee MDPI, Basel, Switzerland. This article is an open access article distributed under the terms and conditions of the Creative Commons Attribution license (http://creativecommons.org/licenses/by/3.0/).
Share and Cite
Chatterjee, S.; Salaün, F.; Campagne, C. Development of Multilayer Microcapsules by a Phase Coacervation Method Based on Ionic Interactions for Textile Applications. Pharmaceutics 2014, 6, 281-297. https://doi.org/10.3390/pharmaceutics6020281
Chatterjee S, Salaün F, Campagne C. Development of Multilayer Microcapsules by a Phase Coacervation Method Based on Ionic Interactions for Textile Applications. Pharmaceutics. 2014; 6(2):281-297. https://doi.org/10.3390/pharmaceutics6020281
Chicago/Turabian StyleChatterjee, Sudipta, Fabien Salaün, and Christine Campagne. 2014. "Development of Multilayer Microcapsules by a Phase Coacervation Method Based on Ionic Interactions for Textile Applications" Pharmaceutics 6, no. 2: 281-297. https://doi.org/10.3390/pharmaceutics6020281
APA StyleChatterjee, S., Salaün, F., & Campagne, C. (2014). Development of Multilayer Microcapsules by a Phase Coacervation Method Based on Ionic Interactions for Textile Applications. Pharmaceutics, 6(2), 281-297. https://doi.org/10.3390/pharmaceutics6020281

