Novel Hit Compounds Against a Neglected Sexually Transmitted Infection: Synthesis and Trichomonacidal Activity of 1,3-Thiazolidin-4-One Derivatives
Abstract
1. Introduction
2. Materials and Methods
2.1. Chemistry
2.1.1. General Methodology
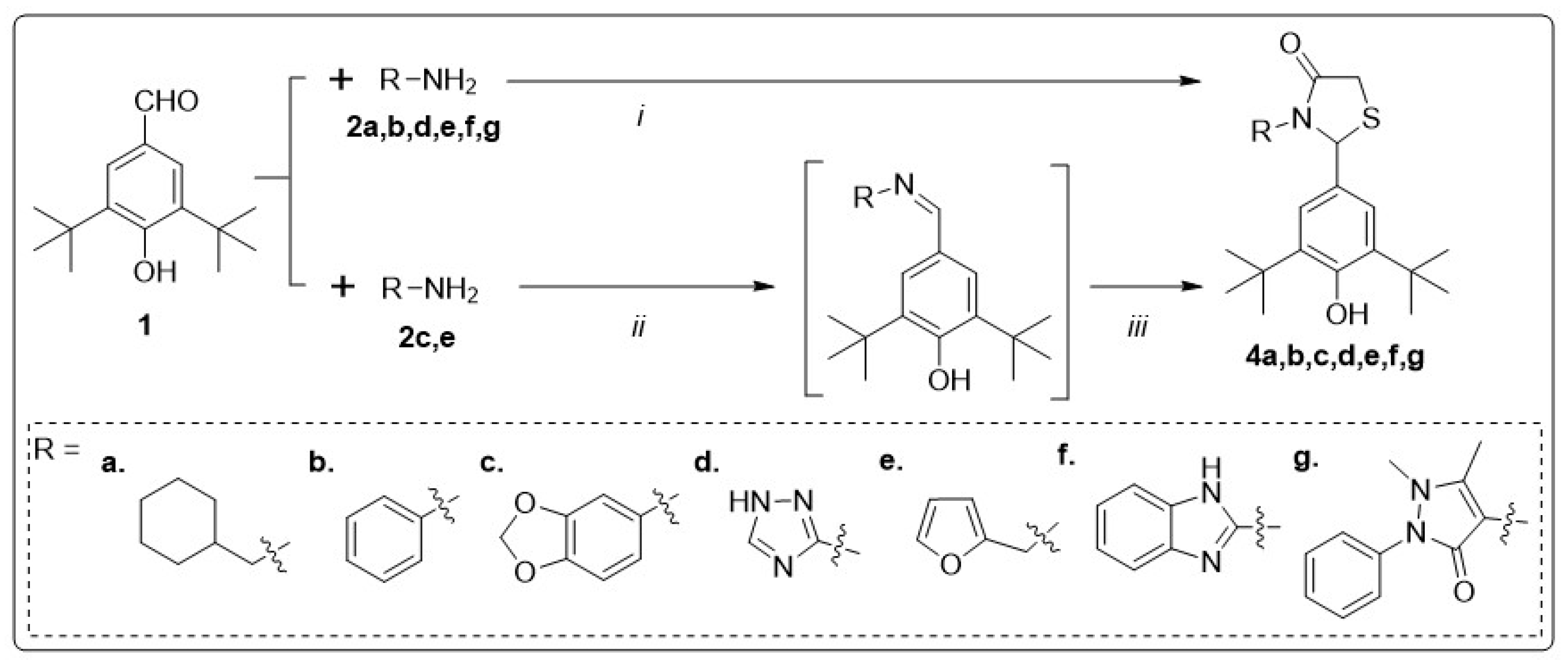
2.1.2. Synthesis of 2-(3,5-di-tert-butyl-4-hydroxyphenyl)-3-substituted-thiazolidin-4-ones (4)
- C24H37NO2S, M.W.: 403.63 g/mol, CLogP: 6.98, light orange solid, yield: 0.1993 g (49%), m.p.: 132–134 °C.
- TLC System: 7:3 Hexane:Ethyl Acetate. Rf: 0.81
- 1H NMR (400 MHz, CDCl3): δ (ppm, JH-H = Hz): 7.07 (s, 2H, H2.2, H2.6), 5.56 (s, 1H, H2), 5.33 (s, 1H, H2.7), 3.79 (dd, 2J = 15.48, 4J = 1.93, 1H, H5a), 3.69 (d, 2J = 15.46, 1H, H5b), 3.42 (dd, 2J = 13.72, 3J = 8.32, 1H, H3.1a), 2.55 (dd, 2J = 13.72, 3J = 6.52, 1H, H3.1b), 1.73–1.52 (m, 6H, cyclohexyl), 1.43 (s, 18H, H2.10–H2.15), 1.18–1.07 (m, 3H, cyclohexyl), 0.97–0.81 (m, 2H, cyclohexyl).
- 13C NMR (101 MHz, CDCl3) δ (ppm): 171.5 (C4), 154.5 (C2.4), 136.6 (2C, C2.3, C2.5), 129.7 (C2.1), 124.0 (2C, C2.2, C2.6), 65.1 (C2), 49.2 (C3.1), 35.8 (1C, cyclohexyl), 34.5 (2C, C2.8, C2.9), 33.1 (C5), 31.1 (1C, cyclohexyl), 30.6 (1C, cyclohexyl), 30.4 (6C, C2.10-C2.15), 26.4 (1C, cyclohexyl), 26.0 (1C, cyclohexyl), 25.8 (1C, cyclohexyl).
- GC: RT = 14.7 min.
- MS (70 eV): m/z (%) = 403 (M+, 15), 370 (36), 328 (17), 307 (9), 260 (52), 250 (13), 234 (9), 219 (9), 110 (16), 102 (10), 67 (10), 57 (100), 55 (66), 43 (11), 41 (50).
- HRMS (ESI) m/z: [M + H]+ calculated exact mass (Trace Finder) for C24H37NO2S = 404.2617, found = 404.2615.
- C23H29NO2S, M.W.: 383.55 g/mol, CLogP: 6.37, light orange solid, yield: 0.2177 g (57%), m.p.: 141–143 °C.
- TLC System: 7:3 Hexane:Ethyl Acetate. Rf: 0.70
- 1H NMR (400 MHz, CDCl3): δ (ppm, JH-H = Hz): 7.29–7.24 (m, 2H, aryl), 7.18–7.13 (m, 1H, H3.4), 7.11–7.06 (m, 2H, aryl), 7.04 (s, 1H, H2.2, H2.6), 6.05 (s, 1H, H2), 5.21 (s, 1H, H2.7), 3.95 (dd, 2J = 15.77, 4J = 1.58 Hz, 1H, H5a), 3.86 (dd, 2J = 15.77, 4J = 0.86 Hz, 1H, H5b), 1.35 (s, 18H, H2.10–H2.15).
- 13C NMR (101 MHz, CDCl3) δ (ppm): 171.2 (C4), 154.3 (C2.4), 137.8 (C3.1), 136.2 (2C, C2.3, C2.5), 129.2 (C2.1), 129.1 (2C, aryl), 127.2 (C3.4), 126.4 (2C, aryl), 124.1 (2C, C2.2, C2.6), 66.6 (C2), 34.4 (2C, C2.8, C2.9), 33.8 (C5), 30.3 (6C, C2.10–C2.15).
- GC: RT = 14.3 min.
- MS (70 eV): m/z (%) = 383 (M+, 17), 261 (10), 260 (51), 249 (9), 207 (27), 104 (41), 77 (36), 57 (100), 41 (23).
- HRMS (ESI) m/z: [M + H]+ calculated exact mass (Trace Finder) for C23H29NO2S = 384.1991, found = 384.1990.
- C24H29NO4S, M.W.: 427.56 g/mol, CLogP: 6.33, dark red solid, yield: 0.3432 g (80%), m.p.: 135–137 °C.
- TLC System: 7:3 Hexane:Ethyl Acetate. Rf: 0.59
- 1H NMR (400 MHz, CDCl3): δ (ppm, JH-H = Hz): 7.04 (s, 2H, H2.2, H2.6), 6.68 (d, 3J = 8.14, 1H, aryl), 6.53 (d, 4J = 2.04, 1H, aryl), 6.50 (dd, 3J = 8.19, 4J = 2.07, 1H, aryl), 5.91–5.89 (m, 3H, H2, H3.2), 5.25 (s, 1H, H2.7), 3.93 (dd, 2J = 15.77, 4J = 1.69, 1H, H5a), 3.84 (d, 2J = 15.77, 1H, H5b), 1.37 (s, 18H, H2.10–H2.15).
- 13C NMR (101 MHz, CDCl3) δ (ppm): 171.3 (C4), 154.4 (C2.4), 148.0 (1C, aryl), 146.8 (1C, aryl), 136.3 (2C, C2.3, C2.5), 131.5 (1C, aryl), 129.1 (C2.1), 124.3 (2C, C2.2, C2.6), 120.4 (1C, aryl), 108.3 (1C, aryl), 108.2 (1C, aryl), 101.6 (C3.2), 66.9 (C2), 34.4 (2C, C2.8, C2.9), 33.6 (C5), 30.3 (6C, C2.10–C2.15).
- GC: RT = 17.5 min.
- MS (70 eV): m/z (%) = 427 (M+, 26), 353 (4), 261 (18), 260 (100), 207 (10), 148 (8), 57 (31), 41 (5).
- HRMS (ESI) m/z: [M + H]+ calculated exact mass (Trace Finder) for C24H29NO4S = 428.1890, found = 428.1890.
- C19H26N4O2S, M.W.: 374.50 g/mol, CLogP: 3.94, white solid, yield: 0.1391 g (37%), m.p.: 229–231 °C.
- TLC System: 7:3 Hexane:Ethyl Acetate. Rf: 0.20
- 1H NMR (400 MHz, CDCl3): δ (ppm, JH-H = Hz): 7.77 (s, 1H, H3.3), 7.13 (s, 2H, H2.2, H2.6), 6.48 (s, 1H, H2), 5.27 (s, 1H, H2.7), 4.05 (d, 2J = 16.59, 1H, H5a), 3.77 (d, 2J = 16.54, 1H, H5b), 1.39 (s, 18H, H2.10–H2.15).
- 13C NMR (101 MHz, CDCl3) δ (ppm): 172.4 (C4), 154.3 (C2.4), 149.2 (1C, triazolyl), 148.8 (1C, triazolyl), 136.4 (2C, C2.3, C2.5), 130.0 (C2.1), 122.8 (2C, C2.2, C2.6), 63.0 (C2), 34.5 (2C, C2.8, C2.9), 33.0 (C5), 30.3 (6C, C2.10–C2.15).
- GC: RT = 14.8 min.
- MS (70 eV): m/z (%) = 375 (M+1, 14), 374 (M+, 64), 332 (59), 306 (22), 249 (44), 207 (16), 169 (100), 141 (16), 115 (66), 95 (27), 57 (79), 41 (28).
- HRMS (ESI) m/z: [M + H]+ calculated exact mass (Trace Finder) for C19H26N4O2S = 375.1849, found = 375.1847.
- C22H29NO3S, M.W.: 387.54 g/mol, CLogP: 5.06, light orange solid, yield: 0.1421 g (37%), m.p.: 112–114 °C.
- TLC System: 7:3 Hexane:Ethyl Acetate. Rf: 0.85
- 1H NMR (400 MHz, CDCl3): δ (ppm, JH-H = Hz): 7.34 (s, 1H, furyl), 7.10 (s, 2H, H2.2, H2.6), 6.28 (dd, 4J = 3.21, 4J = 1.86 Hz, 1H, furyl), 6.06 (d, 4J = 3.17 Hz, 1H), 5.49 (s, 1H, H2), 5.35 (s, 1H, H2.7), 4.89 (d, 2J = 15.35 Hz, 1H, H3.1a), 3.82 (dd, 2J = 15.63, 4J = 1.97 Hz, 1H, H5a), 3.72 (d, 2J = 15.67 Hz, 1H, H5b), 3.71 (d, 2J = 15.27 Hz, 1H, H3.1b), 1.43 (s, 18H, H2.10–H2.15).
- 13C NMR (101 MHz, CDCl3) δ (ppm): 171.1 (C4), 154.7 (C2.4), 149.5 (1C, furyl), 142.7 (1C, furyl), 136.5 (2C, C2.3, C2.5), 128.5 (C2.1), 124.7 (2C, C2.2, C2.6), 110.4 (1C, furyl), 109.1 (1C, furyl), 64.2 (C2), 39.1 (C3.1), 34.5 (2C, C2.8, C2.9), 33.3 (C5), 30.3 (6C, C2.10–C2.15).
- GC: RT = 13.8 min.
- MS (70 eV): m/z (%) = 388 (M+1, 19), 387 (M+, 68), 313 (22), 312 (75), 250 (10), 251 (45), 235 (14), 138 (12), 137 (77), 109 (14), 96 (11), 81 (100), 57 (34), 41 (14).
- HRMS (ESI) m/z: [M + H]+ calculated exact mass (Trace Finder) for C22H29NO3S = 388.1940, found = 388.1939.
- C24H29N3O2S, M.W.: 423.58 g/mol, CLogP: 5.79, light yellow flakes, yield: 0.1245 g (29%), m.p.: 216–218 °C.
- TLC System: 7:3 Hexane:Ethyl Acetate. Rf: 0.72
- 1H NMR (400 MHz, CDCl3): δ (ppm, JH-H = Hz): 11.04 (s, 1H, H3.1, NH), 7.62–7.55 (m, 1H, H3.5), 7.43–7.36 (m, 1H, H3.6), 7.26 (s, 2H, H2.2, H2.6), 7.25–7.17 (m, 1H, H3.7), 7.20–7.18 (m, 1H, H3.4), 6.76 (s, 1H, H2), 5.23 (s, 1H, H2.7), 4.12 (d, 2J = 16.45, 1H, H5a), 3.80 (d, 2J = 16.49, 1H, H5b), 1.38 (s, 18H, H2.10–H2.15).
- 13C NMR (101 MHz, CDCl3) δ (ppm): 172.8 (C4), 154.2 (C2.4), 145.3 (C3.2), 140.4 (C3.7a), 136.1 (2C, C2.3, C2.5), 131.6 (C3.3a), 130.6 (C2.1), 123.2 (2C, C2.2, C2.6), 122.6 (C3.7), 122.5 (C3.4), 118.8 (C3.5), 110.8 (C3.6), 63.2 (C2), 34.5 (2C, C2.8, C2.9), 33.7 (C5), 30.3 (6C, C2.10–C2.15).
- GC: RT = 17.0 min.
- MS (70 eV): m/z (%) = 424 (M+1, 25), 423 (M+, 91), 382 (20), 381 (74), 377 (18), 348 (12), 249 (38), 218 (14), 207 (26), 176 (34), 164 (100), 160 (36), 146 (22), 133 (16), 119 (13), 57 (53), 41 (15).
- HRMS (ESI) m/z: [M + H]+ calculated exact mass (Trace Finder) for C24H29N3O2S = 424.2053, found = 424.2052.
- C28H35N3O3S, M.W.: 493.67 g/mol, CLogP: 4.03, light orange solid, yield: 0.4588 g (92%), m.p.: 223–225 °C.
- TLC System: 7:3 Hexane:Ethyl Acetate. Rf: 0.0625
- 1H NMR (400 MHz, CDCl3): δ (ppm, JH-H = Hz): 7.36 (t, 3J = 7.80 Hz, 2H, H3.2.3, H3.2.5), 7.24–7.17 (m, 3H, H3.2.2, H3.2.4, H.3.2.6), 7.15 (s, 2H, H2.2, H2.6), 6.22 (s, 1H, H2), 5.21 (s, 1H, H2.7), 3.84 (d, 2J = 15.71, 1H, H5b), 3.76 (dd, 2J = 15.77, 4J = 1.59 Hz, 1H, H5a), 2.87 (s, 3H, H3.1.1), 1.77 (s, 3H, H3.5.1), 1.30 (s, 18H, H2.10–215).
- 13C NMR (101 MHz, CDCl3) δ (ppm): 170.9 (C4), 161.4 (C3.3), 154.5 (C2.4), 153.6 (C3.5), 136.0 (2C, C2.3, C2.5), 134.7 (1C, aryl), 129.3 (2C, aryl), 128.9 (C2.1), 127.1 (1C, aryl), 125.4 (2C, aryl), 124.3 (2C, C2.2, C2.6), 107.7 (C3.4), 63.6 (C2), 35.9 (C3.1.1), 34.5 (2C, C2.8, C2.9), 33.4 (C5), 30.4 (6C, C2.10–C2.15), 11.1 (C3.5.1).
- GC: RT = 28, 5 min.
- MS (70 eV): m/z (%) = 494 (M+1, 10), 493 (M+, 29), 419 (11), 418 (23), 327 (33), 248 (10), 246 (10), 233 (37), 207 (23), 189 (18), 188 (56), 96 (14), 77(12), 57 (42), 56 (100).
- HRMS (ESI) m/z: [M + H]+ calculated exact mass (Trace Finder) for C28H35N3O3S = 494.2471, found = 494.2470.
2.1.3. Synthesis Route A
2.1.4. Synthesis Route B
2.2. In Vitro Tests
2.2.1. Trichomonacidal Assay
2.2.2. Non-Specific Cytotoxic
2.3. Computational Analysis: In Silico Studies
2.3.1. Bioavailability and Potential Risk Parameters
2.3.2. Molecular Docking
3. Results and Discussion
4. Conclusions
5. Patents
Supplementary Materials
Author Contributions
Funding
Institutional Review Board Statement
Informed Consent Statement
Data Availability Statement
Acknowledgments
Conflicts of Interest
References
- Graves, K.J.; Novak, J.; Secor, W.E.; Kissinger, P.J.; Schwebke, J.R.; Muzny, C. A systematic review of the literature on mechanisms of 5-nitroimidazole resistance in Trichomonas vaginalis. Parasitology 2020, 147, 1383–1391. [Google Scholar] [CrossRef]
- Van Gerwen, O.T.; Craig-Kuhn, M.G.; Jones, A.T.; Schroeder, J.A.; Deaver, J.; Buekens, P.; Kissinger, P.J.; Muzny, C.A. Trichomoniasis and adverse birth outcomes: A systematic review and meta-analysis. BJOG Int. J. Obstet. Gynaecol. 2021, 128, 1907–1915. [Google Scholar] [CrossRef] [PubMed]
- Fazlollahpour-Naghibi, A.; Bagheri, K.; Almukhtar, M.; Taha, S.R.; Zadeh, M.S.; Moghadam, K.B.; Tadi, M.J.; Rouholamin, S.; Razavi, M.; Sepidarkish, M.; et al. Trichomonas vaginalis infection and risk of cervical neoplasia: A systematic review and meta-analysis. PLoS ONE 2023, 18, e0288443. [Google Scholar] [CrossRef] [PubMed]
- Seña, A.C.; Miller, W.C.; Hobbs, M.M.; Schwebke, J.R.; Leone, P.A.; Swygard, H.; Cohen, M.S. A Randomized, Double-Blind, Placebo-Controlled Trial of Combined Nevirapine and Zidovudine Compared with Nevirapine Alone in the Prevention of Perinatal Transmission of HIV in Zimbabwe. Clin. Infect. Dis. 2007, 44, 13–22. [Google Scholar] [CrossRef]
- Harp, D.F.; Chowdhury, I. Trichomoniasis: Evaluation to execution. Eur. J. Obstet. Gynecol. Reprod. Biol. 2011, 157, 3–9. [Google Scholar] [CrossRef] [PubMed]
- Masha, S.C.; Cools, P.; Sanders, E.J.; Vaneechoutte, M.; Crucitti, T. Trichomonas vaginalis and HIV infection acquisition: A systematic review and meta-analysis. Sex. Transm. Infect. 2019, 95, 36–42. [Google Scholar] [CrossRef]
- Graves, J.J.; Williamson, J.C.; Novak, J.; Tiwari, H.K.; Secor, W.E.; Muzny, C.A. Nitazoxanide and tizoxanide demonstrate high levels of in vitro activity against metronidazole-susceptible and metronidazole-resistant Trichomonas vaginalis clinical isolates. Microbiol. Spectr. 2025, 13, e02717-24. [Google Scholar] [CrossRef]
- Qadir, T.; Amin, A.; Sharma, P.K.; Jeelani, I.; Abe, H. A review on medicinally important heterocyclic compounds. Open Med. Chem. J. 2022, 6, e2202280. [Google Scholar] [CrossRef]
- Kabir, E.; Uzzaman, M. A review on biological and medicinal impact of heterocyclic compounds. Results Chem. 2022, 4, 100606. [Google Scholar] [CrossRef]
- Mech, D.; Kurowska, A.; Trotsko, N. The bioactivity of thiazolidin-4-ones: A short review of the most recent studies. Int. J. Mol. Sci. 2021, 22, 11533. [Google Scholar] [CrossRef]
- Havrylyuk, D.; Roman, O.; Lesyk, R. Synthetic approaches, structure activity relationship and biological applications for pharmacologically attractive pyrazole/pyrazoline–thiazolidine-based hybrids. Eur. J. Med. Chem. 2016, 113, 145–166. [Google Scholar] [CrossRef]
- D’Ascenzio, M.; Bizzarri, B.; De Monte, C.; Carradori, S.; Bolasco, A.; Secci, D.; Jones-Brando, L. Design, synthesis and biological characterization of thiazolidin-4-one derivatives as promising inhibitors of Toxoplasma gondii. Eur. J. Med. Chem. 2014, 86, 17–30. [Google Scholar] [CrossRef]
- Chawla, P.A.; Wahan, S.K.; Negi, M.; Faruk, A.; Chawla, V. Synthetic strategies and medicinal perspectives of 4-thiazolidinones: Recent developments and structure–activity relationship studies. J. Heterocycl. Chem. 2023, 60, 1248–1286. [Google Scholar] [CrossRef]
- Kato, T.; Ozaki, K.; Tamura, K.; Suzuki, Y.; Akima, M.; Ohi, N.J. Novel calcium antagonists with both calcium overload inhibition and antioxidant activity. 2. Structure−activity relationships of thiazolidinone derivatives. J. Med. Chem. 1999, 41, 4309–4316. [Google Scholar] [CrossRef]
- Unangst, P.C.; Connor, D.T.; Cetenko, W.A.; Sorenson, R.J.; Kostlan, C.R.; Sircar, J.C.; Wright, C.D.; Schrier, D.J.; Dyer, R.D.J. Synthesis and biological evaluation of 5-[[3,5-bis (1,1-dimethylethyl)-4-hydroxyphenyl] methylene] oxazoles,-thiazoles, and-imidazoles: Novel dual 5-lipoxygenase and cyclooxygenase inhibitors with antiinflammatory activity. J. Med. Chem. 1994, 37, 322–328. [Google Scholar] [CrossRef]
- Meunier, B. Hybrid molecules with a dual mode of action: Dream or reality? Acc. Chem. Res. 2008, 41, 69–77. [Google Scholar] [CrossRef] [PubMed]
- Tuszewska, H.; Szczepański, J.; Mandziuk, S.; Trotsko, N. Thiazolidin-4-one-based derivatives–Efficient tools for designing antiprotozoal agents. A review of the last decade. Bioorg. Chem. 2023, 133, 106398. [Google Scholar] [CrossRef] [PubMed]
- Carvalho, K.P.; Gadelha, A.P.R. Effects of three benzimidazoles on growth, general morphology and ultrastructure of Tritrichomonas foetus. FEMS Microbiol. Lett. 2007, 275, 292–300. [Google Scholar] [CrossRef] [PubMed]
- Masteloto, H.G.; Drawanz, B.B.; Berwaldt, G.A.; Neuenfeldt, P.D.; Siqueira, G.M.; Cunico, W. 3,4-(Methylenedioxy)aniline as precursor to the synthesis of thiazolidin-4-ones. Monatsh. Chem. 2015, 146, 327–334. [Google Scholar] [CrossRef]
- Ibáñez Escribano, A.; Meneses Marcel, A.; Machado Tugroes, Y.; Nogal Ruiz, J.J.; Arán Redó, V.J.; Escario García-Trevijano, J.A.; Gómez Barrio, A. Validation of a modified fluorimetric assay for the screening of trichomonacidal drugs. Mem. Inst. Oswaldo Cruz 2012, 107, 637–643. [Google Scholar] [CrossRef]
- Ibáñez-Escribano, A.; Fonseca-Berzal, C.; Martínez-Montiel, M.; Álvarez-Márquez, M.; Gómez-Núñez, M.; Lacueva-Arnedo, M.; Espinosa-Buitrago, T.; Martín-Pérez, T.; Escario, J.A.; Merino-Montiel, P.; et al. Thio-and selenosemicarbazones as antiprotozoal agents against Trypanosoma cruzi and Trichomonas vaginalis. J. Enzyme Inhib. Med. Chem. 2022, 37, 781–791. [Google Scholar] [CrossRef]
- Lipinski, C.A.; Lombardo, F.; Dominy, B.W.; Feeney, P.J. Experimental and computational approaches to estimate solubility and permeability in drug Discovery and development settings. Adv. Drug Deliv. Rev. 1997, 23, 3–25. [Google Scholar] [CrossRef]
- Ibáñez-Escribano, A.; Nogal-Ruiz, J.J.; Gómez-Barrio, A.; Arán, V.J.; Escario, J.A. In vitro trichomonacidal activity and preliminary in silico chemometric studies of 5-nitroindazolin-3-one and 3-alkoxy-5-nitroindazole derivatives. Parasitology 2016, 143, 34–40. [Google Scholar] [CrossRef] [PubMed]
- Cárdenas-Guerra, R.E.; Arroyo, R.; De Andrade, I.R.; Benchimol, M.; Ortega-López, J. The iron-induced cysteine proteinase TvCP4 plays a key role in Trichomonas vaginalis haemolysis. Microb. Infect. 2013, 15, 958–968. [Google Scholar] [CrossRef]
- Miranda-Ozuna, J.F.; Hernández-García, M.S.; Brieba, L.G.; Benítez-Cardoza, C.G.; Ortega-López, J.; González-Robles, A.; Arroyo, R. The glycolytic enzyme triosephosphate isomerase of Trichomonas vaginalis is a surface-associated protein induced by glucose that functions as a laminin-and fibronectin-binding protein. Inf. Immun. 2016, 84, 2878–2894. [Google Scholar] [CrossRef] [PubMed]
- Cheng, W.H.; Huang, K.Y.; Ong, S.C.; Ku, F.M.; Huang, P.J.; Lee, C.C.; Tang, P. Protein cysteine S-nitrosylation provides reducing power by enhancing lactate dehydrogenase activity in Trichomonas vaginalis under iron deficiency. Parasites Vectors 2020, 13, 477. [Google Scholar] [CrossRef] [PubMed]
- McKie, A.E.; Edlind, T.; Walker, J.; Mottram, J.C.; Coombs, G.H. The Primitive Protozoon Trichomonas vaginalis Contains Two Methionine γ-Lyase Genes That Encode Members of the γ-Family of Pyridoxal 5′-Phosphate-dependent Enzymes. J. Biol. Chem. 1998, 273, 5549–5556. [Google Scholar] [CrossRef]
- Munagala, N.; Wang, C.C. The purine nucleoside phosphorylase from Trichomonas vaginalis is a homologue of the bacterial enzyme. Biochemistry 2002, 41, 10382–10389. [Google Scholar] [CrossRef]
- Coombs, G.H.; Westrop, G.D.; Suchan, P.; Puzova, G.; Hirt, R.P.; Embley, T.M.; Muller, S. The amitochondriate eukaryote Trichomonas vaginalis contains a divergent thioredoxin-linked peroxiredoxin antioxidant system. J. Biol. Chem. 2004, 279, 5249–5256. [Google Scholar] [CrossRef]
- El-Hachem, N.; Haibe-Kains, B.; Khalil, A.; Kobeissy, F.H.; Nemer, G. AutoDock and AutoDock Tools for Protein-Ligand Docking: Beta-Site Amyloid Precursor Protein Cleaving Enzyme 1(BACE1) as a Case Study. Methods Mol. Biol. 2017, 1598, 391–403. [Google Scholar] [CrossRef]
- Eberhardt, J.; Santos-Martins, D.; Tillack, A.F.; Forli, S. AutoDock Vina 1.2.0: New Docking Methods, Expanded Force Field, and Python Bindings. J. Chem. Inf. Model. 2021, 61, 3891–3898. [Google Scholar] [CrossRef]
- Salentin, S.; Schreiber, S.; Haupt, V.J.; Adasme, M.F.; Schroeder, M. PLIP: Fully automated protein-ligand interaction profiler. Nucleic Acids Res. 2015, 43, W443–W447. [Google Scholar] [CrossRef]
- Stierand, K.; Rarey, M. PoseView-molecular interaction patterns at a glance. J. Cheminform. 2010, 2, 50. [Google Scholar] [CrossRef]
- Leeson, P.D.; Springthorpe, B. The influence of drug-like concepts on decision-making in medicinal chemistry. Nat. Rev. Drug Discov. 2007, 6, 881–890. [Google Scholar] [CrossRef]
- Waring, M.J. Lipophilicity. In drug discovery. Expert Opin. Drug Discov. 2010, 5, 235–248. [Google Scholar] [CrossRef]
- Di, L.; Kerns, E.H. (Eds.) Chapter 2: Advantages of Good Drug-like Properties. In Drug-like Properties: Concepts, Structure Design and Methods, 2nd ed.; Elsevier: Cambridge, MA, USA, 2016; ISBN 978-0-12-801076-1. [Google Scholar]
- Clark, D.E. Rapid calculation of polar molecular surface area and its application to the prediction of transport phenomena. 1. Prediction of intestinal absorption. J. Pharm. Sci. 1999, 88, 807–814. [Google Scholar] [CrossRef] [PubMed]
- Asano, D.; Takakusa, H.; Nakai, D. Oral absorption of Middle-to-large molecules and its improvement, with a focus on new modality drugs. Pharmaceutics 2024, 16, 47. [Google Scholar] [CrossRef]
- Wu, G.; Fiser, A.; Kuile, B.; Šali, A.; Müller, M. Convergent evolution of Trichomonas vaginalis lactate dehydrogenase from malate dehydrogenase. Proc. Natl. Acad. Sci. USA 1999, 96, 6285–6290. [Google Scholar] [CrossRef] [PubMed]
- Zaid, S.; Hassan, M.I.; Islam, A.; Ahmad, F. The role of key residues in structure, function, and stability of cytochrome-c. Cell. Mol. Life Sci. 2014, 71, 229–255. [Google Scholar] [CrossRef] [PubMed]
- Burns, D.; Khatiwada, B.; Singh, A.; Purslow, J.A.; Potoyan, D.A.; Venditti, V. An α-ketoglutarate conformational switch controls iron accessibility, activation, and substrate selection of the human FTO protein. Proc. Natl. Acad. Sci. USA 2024, 121, 2404457121. [Google Scholar] [CrossRef]
- De Giacometi, M.; Mayer, J.C.P.; De Mello, A.B.; Islabão, Y.W.; Strothmann, A.L.; Da Fonseca, R.N.; Oliveira, C.B. Activity of compounds derived from benzofuroxan in Trichomonas vaginalis. Exp. Parasitol. 2023, 253, 108601. [Google Scholar] [CrossRef]
- Rinaldo-Matthis, A.; Wing, C.; Ghanem, M.; Deng, H.; Wu, P.; Gupta, A.; Schramm, V.L. Inhibition and structure of Trichomonas vaginalis purine nucleoside phosphorylase with picomolar transition state analogues. Biochemistry 2007, 46, 659–668. [Google Scholar] [CrossRef]
- Zang, Y.; Wang, W.H.; Wu, S.W.; Ealick, S.E.; Wang, C.C. Identification of a subversive substrate of Trichomonas vaginalis purine nucleoside phosphorylase and the crystal structure of the enzyme-substrate complex. J. Biol. Chem. 2005, 280, 22318–22325. [Google Scholar] [CrossRef]
- Arroyo, R.; Cárdenas-Guerra, R.E.; Figueroa-Angulo, E.E.; Puente-Rivera, J.; Zamudio-Prieto, O.; Ortega-López, J. Trichomonas vaginalis cysteine proteinases: Iron response in gene expression and proteolytic activity. BioMed Res. Int. 2015, 2015, 946787. [Google Scholar] [CrossRef] [PubMed]
- Miranda-Ozuna, J.F.; Rivera-Rivas, L.A.; Cárdenas-Guerra, R.E.; Hernández-García, M.S.; Rodríguez-Cruz, S.; González-Robles, A.; Chavez-Munguía, B.; Arroyo, R. Glucose-restriction increases Trichomonas vaginalis cellular damage towards HeLa cells and proteolytic activity of cysteine proteinases (CPs), such as TvCP2. Parasitology 2019, 46, 1156–1166. [Google Scholar] [CrossRef]
- Snow Setzer, M.; Byler, K.G.; Ogungbe, I.V.; Setzer, W.N. Natural products as new treatment options for trichomoniasis: A molecular docking investigation. Sci. Pharm. 2017, 85, 5. [Google Scholar] [CrossRef] [PubMed]
- Zhou, Q.; Zhai, Y.; Lou, J.; Liu, M.; Pang, X.; Sun, F. Thiabendazole inhibits ubiquinone reduction activity of mitochondrial respiratory complex II via a water molecule mediated binding feature. Protein Cell 2011, 2, 531–542. [Google Scholar] [CrossRef]
- Lehninger, A.L.; Nelson, D.L.; Cox, M.M. (Eds.) Chapter 1: The Foundations of Biochemistry. In Principles of Biochemistry, 4th ed.; W.H. Freeman: New York, NY, USA, 2004. [Google Scholar]
- Trotsko, N.; Bekier, A.; Paneth, A.; Wujec, M.; Dzitko, K. Synthesis and in vitro anti-Toxoplasma gondii activity of novel thiazolidin-4-one derivatives. Molecules 2019, 24, 3029. [Google Scholar] [CrossRef] [PubMed]
- Haroon, M.; De Barros Dias, M.C.H.; Da Silva Santos, A.C.; Pereira, V.R.A.; Freitas, L.A.B.; Balbinot, R.B.; Akhtar, T. The design, synthesis, and in vitro trypanocidal and leishmanicidal activities of 1, 3-thiazole and 4-thiazolidinone ester derivatives. RSC Adv. 2021, 11, 2487–2500. [Google Scholar] [CrossRef]
- Molin, D.A.; Ramos, G.A.; Zamora-Vélez, A.; Gallego-López, G.M.; Rocha-Roa, C.; Gómez-Marin, J.E.; Cortes, E. In vitro evaluation of new 4-thiazolidinones on invasion and growth of Toxoplasma gondii. Int. J. Parasitol Drugs Drug Resist. 2021, 16, 129–139. [Google Scholar] [CrossRef]
- Drzał, W.; Trotsko, N. Review of Recent Advances in Thiazolidin-4-One Derivatives as Promising Antitubercular Agents (2021–Present). Molecules 2025, 30, 2201. [Google Scholar] [CrossRef]
- Babu, B.A.; Divakar, S.; Gowramma, B.; Jupudi, S.; Chand, J.; Malakar Kumar, V. Rational design of thiazolidine-4-one-gallic acid hybrid derivatives as selective partial PPARγ modulators: An in-silico approach for type 2 diabetes treatment. J. Biomol. Struct. Dyn. 2025, 43, 694–708. [Google Scholar] [CrossRef]
- Carradori, S.; Bizzarri, B.; D’Ascenzio, M.; De Monte, C.; Grande, R.; Rivanera, D.; Secci, D. Synthesis, biological evaluation and quantitative structure-active relationships of 1,3-thiazolidin-4-one derivatives. A promising chemical scaffold endowed with high antifungal potency and low cytotoxicity. Eur. J. Med. Chem. 2017, 140, 274–292. [Google Scholar] [CrossRef] [PubMed]
- Petri, G.L.; Raimondi, M.V.; Spanò, V.; Holl, R.; Barraja, P.; Montalbano, A. Pyrrolidine in drug discovery: A versatile scaffold for novel biologically active compounds. Top. Curr. Chem. 2021, 379, 34. [Google Scholar] [CrossRef] [PubMed]
- Dofuor, A.K.; Kwain, S.; Osei, E.; Mawuli Tetevi, G.; Okine, L.K.; Ohashi, M.; Kyeremeh, K. N-(Isobutyl)-3,4-methylenedioxy cinnamoyl amide. Molbank 2019, 3, M1070. [Google Scholar] [CrossRef]
- De Melos, J.L.R.; Torres-Santos, E.C.; Faiões, V.D.S.; Del Cistia, C.D.N.; Sant’Anna, C.M.R.; Rodrigues-Santos, C.E.; Echevarria, A. Novel 3, 4-methylenedioxyde-6-X-benzaldehyde-thiosemicarbazones: Synthesis and antileishmanial effects against Leishmania amazonensis. Eur. J. Med. Chem. 2015, 103, 409–417. [Google Scholar] [CrossRef]
- Hajnal, K.; Edina, M.P.; Adrienn, R.; Lajos-Attila, P. Chemical and pharmacological characterization of anthelmintic benzimidazoles. Bull. Med. Sci. 2021, 94, 88–96. [Google Scholar] [CrossRef]
- Sawant, R.; Wadekar, J.; Ukirde, R.; Barkade, G. Synthesis, molecular docking and anticancer activity of novel 1,3-thiazolidin-4-ones. Pharm. Sci. 2021, 27, 345–352. [Google Scholar] [CrossRef]





| Comp. | Antiparasitic Effect | Non-Specific Cytotoxicity b | SI c | ||
|---|---|---|---|---|---|
| % (100 µM) | IC50 (µM) a | Vero CCL-81 | HeLa | ||
| 4a | 93.85 ± 4.57 | 18.89 ± 1.56 [13.45–26.87] | 0 | 0.50 ± 0.70 | >5 |
| 4b | 82.74 ± 9.30 | 16.13 ± 0.79 [13.06–19.82] | 13.40 ± 0.89 | 0 | >6 |
| 4c | 95.51 ± 2.45 | 26.32 ± 0.70 [23.58–29.53] | 0 | 0 | >3.8 |
| 4d | 37.71 ± 7.94 | >100 | ND | 0 | |
| 4e | 70.52 ± 6.71 | 30.43 ± 1.57 [24.80–38.33] | 0.42 ± 0.49 | 7.14 ± 1.39 | >3.3 |
| 4f | 94.19 ± 4.10 | 22.04 ± 1.85 [16.00–30.95] | 0 | 2.69 ± 0.27 | >4.5 |
| 4g | 95.06 ± 1.01 | 55.47 ± 3.88 [42.81–76.20] | 0 | 0 | >1.8 |
| MTZ | 100 | 0.8 ± 0.3 [0.66–0.99] | 0 | 0 | >100 |
| Comp. | MW (g/mol) | cLogP | Hd | Ha | Lipinski’s Violation | PSA | RotB |
|---|---|---|---|---|---|---|---|
| 1,3-thiazolidin-4-one | 103.15 | –0.21 | 1 | 1 | 0 | 29.10 | 0 |
| 4a | 403.63 | 6.98 | 1 | 3 | 1 | 40.54 | 4 |
| 4b | 383.55 | 6.37 | 1 | 3 | 1 | 40.54 | 5 |
| 4f | 423.58 | 5.79 | 2 | 5 | 1 | 69.22 | 4 |
| Comp. | Toxicity Risk Profile | Drug-Likeness | Drug-Score | |||
|---|---|---|---|---|---|---|
| Mut. | Tum. | Irrit. | Reprod.eff | |||
| 4a | ![]() | ![]() | ![]() | ![]() | −16.02 | 0.21 |
| 4b | ![]() | ![]() | ![]() | ![]() | −11.82 | 0.21 |
| 4f | ![]() | ![]() | ![]() | ![]() | −11.55 | 0.11 |
| Compound | Receptor | Number of Heavy Atoms | Binding Energy (Kcal/mol) | Ligand Efficiency ΔG (Kcal/mol) | Interactions |
|---|---|---|---|---|---|
| 4a | CPC | 29 | −5.46 | −0.188 | Ala10, Trp34, Lys38, Val41, Ala54, Leu55 |
| TPI | 29 | −6.71 | −0.231 | Phe73, Glu76, Glu103, Phe107 | |
| LDH | 29 | −7.19 | −0.248 | Pro148, Ile269, Pro270, Lys296, Ile297, Val299 | |
| MGL | 29 | −6.83 | −0.236 | Gln18, Tyr30, Phe35, Tyr54, Pro62 | |
| PCP | 29 | −5.79 | −0.200 | Arg47, Phe52, Met54, Asp229 | |
| PNP | 29 | −7.15 | −0.247 | Phe159, Tyr160, Asn161, Val178, Ile206 | |
| TrxR | 29 | −3.69 | −0.127 | ||
| 4b | CPC | 28 | −6.12 | −0.219 | Ala10, Trp14, Trp34, Lys38, Leu55 |
| TPI | 28 | −6.54 | −0.234 | Lys11, Ala12, Pro43, Glu96, Arg97 | |
| LDH | 28 | −7.16 | −0.256 | Pro148, Ile269, Pro272, Ile297 | |
| MGL | 28 | −6.35 | −0.227 | Gln18, Asp20, Pro28, Tyr30, Phe35, Tyr54, Pro62 | |
| PCP | 28 | −6.46 | −0.231 | Pro82, Lys84, Asn85 | |
| PNP | 28 | −7.50 | −0.268 | Thr156, Phe159, Thr164, Ala167, Val178, Ile206 | |
| TrxR | 28 | −3.28 | −0.117 | ||
| 4c | CPC | 31 | −6.33 | −0.204 | Ala10, Trp14, Trp34, Lys38, Leu55 |
| TPI | 31 | −7.21 | −0.233 | Asn9, Ala12, Phe44, Glu63, His94, Glu96, Arg97, Leu101 | |
| LDH | 31 | −7.74 | −0.249 | Pro148, Glu149, Ile269, Pro272, Ile297, Val299 | |
| MGL | 31 | −6.90 | −0.223 | Gln18, Asp20, Pro28, Tyr30, Phe35, Tyr54, Pro62 | |
| PCP | 31 | −6.83 | −0.220 | Pro82, Lys84, Asn85, Phe95, Tyr157 | |
| PNP | 31 | −7.59 | −0.245 | Phe159, Val178, Ile206 | |
| TrxR | 31 | −3.43 | −0.111 | ||
| 4d | CPC | 28 | −5.99 | −0.214 | Ala10, Trp34, Lys38, Leu55 |
| TPI | 28 | −6.25 | −0.223 | Lys11, Ala12, Phe44, Glu63, His94, Glu96, Arg97, Leu101 | |
| LDH | 28 | −6.91 | −0.247 | Lys175, Gln250, Glu263, Val264 | |
| MGL | 28 | −7.21 | −0.257 | Tyr288, Glu296 | |
| PCP | 28 | −6.51 | −0.232 | Glu23, His24, Ala27, Leu29, Trp208, Ser209, Glu220 | |
| PNP | 28 | −7.56 | −0.270 | Thr156, Phe159, Val178, Ile206 | |
| TrxR | 28 | −3.18 | −0.114 | ||
| 4e | CPC | 28 | −5.40 | −0.193 | Ala10, Trp34, Lys38, Val41, Ala54, Leu55 |
| TPI | 28 | −6.67 | −0.238 | Lys11, Phe44, Glu63, His94, Glu96, Arg97, Leu101 | |
| LDH | 28 | −6.93 | −0.247 | Glu149, Lys296, Ile297, His298, Val299 | |
| MGL | 28 | −6.72 | −0.24 | Ala135, Thr160, Lys162, Tyr288 | |
| PCP | 28 | −6.62 | −0.236 | Pro82, Lys84, Glu152 | |
| PNP | 28 | −7.07 | −0.252 | Phe159, Tyr160, Val178, Ile206 | |
| TrxR | 28 | −3.19 | −0.114 | ||
| 4f | CPC | 32 | −7.01 | −0.219 | Leu55, Asn56, Lys57 |
| TPI | 32 | −7.01 | −0.219 | Lys11, Pro43, Glu63, His94, Glu96, Arg97, Leu101 | |
| LDH | 32 | −7.54 | −0.235 | Lys147, Pro148, Glu149, Pro272, Lys296, Val299 | |
| MGL | 32 | −7.68 | −0.240 | Asn16, Ala79, Ala226, Gln230, Arg233 | |
| PCP | 32 | −7.11 | −0.222 | Pro82, Val83, Lys84, Glu254 | |
| PNP | 32 | −8.44 | −0.264 | Thr156, Phe159, Tyr160, Asn161, Val178, Ile206 | |
| TrxR | 32 | −3.88 | −0.121 | ||
| 4g | CPC | 36 | −6.69 | −0.186 | Glu78, Lys80, Ala157, Asp160, Lys164, Tyr199 |
| TPI | 36 | −7.15 | −0.199 | Lys11, Pro43, Phe44, Val45, His94, Glu96, Arg97 | |
| LDH | 36 | −8.09 | −0.225 | Pro148, Ile269, Pro270, Pro272, Val299 | |
| MGL | 36 | −7.49 | −0.208 | Asn16, Gly53, Tyr54, Ile55, Leu59 | |
| PCP | 36 | −7.29 | −0.202 | Pro82, Lys84, Phe95, Glu152, Tyr157 | |
| PNP | 36 | −7.60 | −0.211 | Thr111, Asn116, Arg117, Phe173, Phe175 | |
| TrxR | 36 | −3.58 | −0.099 |
Disclaimer/Publisher’s Note: The statements, opinions and data contained in all publications are solely those of the individual author(s) and contributor(s) and not of MDPI and/or the editor(s). MDPI and/or the editor(s) disclaim responsibility for any injury to people or property resulting from any ideas, methods, instructions or products referred to in the content. |
© 2026 by the authors. Licensee MDPI, Basel, Switzerland. This article is an open access article distributed under the terms and conditions of the Creative Commons Attribution (CC BY) license.
Share and Cite
de Mello, A.B.; Victor, M.G.; Cunico, W.; Fernández-Villalba, J.; Kremer, F.S.; Goulart, L.M.; García-Rodríguez, J.J.; Oliveira, C.B.; Ibáñez-Escribano, A. Novel Hit Compounds Against a Neglected Sexually Transmitted Infection: Synthesis and Trichomonacidal Activity of 1,3-Thiazolidin-4-One Derivatives. Pharmaceutics 2026, 18, 110. https://doi.org/10.3390/pharmaceutics18010110
de Mello AB, Victor MG, Cunico W, Fernández-Villalba J, Kremer FS, Goulart LM, García-Rodríguez JJ, Oliveira CB, Ibáñez-Escribano A. Novel Hit Compounds Against a Neglected Sexually Transmitted Infection: Synthesis and Trichomonacidal Activity of 1,3-Thiazolidin-4-One Derivatives. Pharmaceutics. 2026; 18(1):110. https://doi.org/10.3390/pharmaceutics18010110
Chicago/Turabian Stylede Mello, Alexia Brauner, Melinda G. Victor, Wilson Cunico, Jorge Fernández-Villalba, Frederico Schmitt Kremer, Lucas Mocellin Goulart, Juan José García-Rodríguez, Camila Belmonte Oliveira, and Alexandra Ibáñez-Escribano. 2026. "Novel Hit Compounds Against a Neglected Sexually Transmitted Infection: Synthesis and Trichomonacidal Activity of 1,3-Thiazolidin-4-One Derivatives" Pharmaceutics 18, no. 1: 110. https://doi.org/10.3390/pharmaceutics18010110
APA Stylede Mello, A. B., Victor, M. G., Cunico, W., Fernández-Villalba, J., Kremer, F. S., Goulart, L. M., García-Rodríguez, J. J., Oliveira, C. B., & Ibáñez-Escribano, A. (2026). Novel Hit Compounds Against a Neglected Sexually Transmitted Infection: Synthesis and Trichomonacidal Activity of 1,3-Thiazolidin-4-One Derivatives. Pharmaceutics, 18(1), 110. https://doi.org/10.3390/pharmaceutics18010110



