Quantification of Total and Unbound Selinexor Concentrations in Human Plasma by a Fully Validated Liquid Chromatography-Tandem Mass Spectrometry Method
Abstract
1. Introduction
2. Materials and Methods
2.1. Chemicals and Reagents
2.2. Instrumentation and Analytical Conditions
2.3. Sample Preparation
2.4. Method Validation
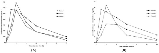
2.5. Application of the Method to an Ongoing Pharmacokinetic Study
3. Results and Discussion
3.1. Development of LC-MS/MS Method
3.2. Sample Preparation
3.3. Validation of the LC-MS/MS Method
3.3.1. Selectivity and Sensitivity
3.3.2. Linearity
3.3.3. Precision and Accuracy
3.3.4. Recovery, Matrix Effect, and Carryover
3.3.5. Stability
3.4. Method Application and Future Directions
4. Conclusions
Supplementary Materials
Author Contributions
Funding
Institutional Review Board Statement
Informed Consent Statement
Data Availability Statement
Acknowledgments
Conflicts of Interest
References
- Mo, C.C.; Yee, A.J.; Midha, S.; Hartley-Brown, M.A.; Nadeem, O.; O’Donnell, E.K. Selinexor: Targeting a novel pathway in multiple myeloma. eJhaem 2023, 4, 792–810. [Google Scholar] [CrossRef]
- Peterson, T.J.; Orozco, J.; Buege, M. Selinexor: A First-in-Class Nuclear Export Inhibitor for Management of Multiply Relapsed Multiple Myeloma. Ann. Pharmacother. 2020, 54, 577–582. [Google Scholar] [CrossRef]
- Syed, Y.Y. Selinexor: First Global Approval. Drugs 2019, 79, 1485–1494. [Google Scholar] [CrossRef] [PubMed]
- Kumar, S.K.; Callander, N.S.; Adekola, K.; Anderson, L.D., Jr.; Baljevic, M.; Baz, R. Multiple Myeloma, Version 2.2024, NCCN Clinical Practice Guidelines in Oncology. J. Natl. Compr. Cancer Netw. 2023, 21, 1281–1301. [Google Scholar] [CrossRef] [PubMed]
- White, D.; LeBlanc, R.; Venner, C.; Bahlis, N.J.; Lentzsch, S.; Gasparetto, C.J. Safety and Efficacy of the Combination of Selinexor, Lenalidomide and Dexamethasone (SRd) in Patients with Relapsed/Refractory Multiple Myeloma (RRMM). Clin. Lymphoma Myeloma Leuk. 2019, 19 (Suppl. S10), e55. [Google Scholar] [CrossRef]
- White, D.; LeBlanc, R.; Baljevic, M.; Bahlis, N.; Lentzsch, S.; Venner, C. Selinexor, Lenalidomide and Dexamethasone (SRd) for Patients with Relapsed/Refractory and Newly Diagnosed Multiple Myeloma. Blood 2020, 136, 45–46. [Google Scholar] [CrossRef]
- Mousavi, S.E.; Ilaghi, M.; Aslani, A.; Yekta, Z.; Nejadghaderi, S.A. A population-based study on incidence trends of myeloma in the United States over 2000–2020. Sci. Rep. 2023, 13, 20705. [Google Scholar] [CrossRef]
- U.S. Food and Drug Administration. XPOVIO (Selinexor) Tablets Prescribing Information. 2019. Available online: https://www.accessdata.fda.gov/drugsatfda_docs/label/2019/212306s000lbl.pdf (accessed on 25 February 2025).
- Huang, Q.; Zhao, R.; Xu, L.; Hao, X.; Tao, S. Treatment of multiple myeloma with selinexor: A review. Ther. Adv. Hematol. 2024, 15, 20406207231219442. [Google Scholar] [CrossRef]
- Xu, H.; Li, H.; Wada, R.; Bader, J.C.; Tang, S.; Shah, J. Selinexor population pharmacokinetic and exposure-response analyses to support dose optimization in patients with diffuse large B-cell lymphoma. Cancer Chemother. Pharmacol. 2021, 88, 69–79. [Google Scholar] [CrossRef]
- Nooka, A.K.; Costa, L.J.; Gasparetto, C.J.; Richardson, P.G.; Siegel, D.S.; Chari, A. Guidance for Use and Dosing of Selinexor in Multiple Myeloma in 2021: Consensus From International Myeloma Foundation Expert Roundtable. Clin. Lymphoma Myeloma Leuk. 2022, 22, e526–e531. [Google Scholar] [CrossRef]
- Dimopoulos, M.A.; Terpos, E.; Chanan-Khan, A.; Leung, N.; Ludwig, H.; Jagannath, S. Renal impairment in patients with multiple myeloma: A consensus statement on behalf of the International Myeloma Working Group. J. Clin. Oncol. 2010, 28, 4976–4984. [Google Scholar] [CrossRef]
- Martino, E.A.; Vigna, E.; Bruzzese, A.; Labanca, C.; Mendicino, F.; Lucia, E. Selinexor in multiple myeloma. Expert Opin. Pharmacother. 2024, 25, 421–434. [Google Scholar] [CrossRef]
- Bader, J.C.; Abdul Razak, A.R.; Shacham, S.; Xu, H. Pharmacokinetics of Selinexor: The First-in-Class Selective Inhibitor of Nuclear Export. Clin. Pharmacokinet. 2021, 60, 957–969. [Google Scholar] [CrossRef] [PubMed]
- Wright, J.D.; Boudinot, F.D.; Ujhelyi, M.R. Measurement and analysis of unbound drug concentrations. Clin. Pharmacokinet. 1996, 30, 445–462. [Google Scholar] [CrossRef] [PubMed]
- Bozic, B.; Rutner, J.; Zheng, C.; Ruckser, R.; Selimi, F.; Racz, K. Advances in the Treatment of Relapsed and Refractory Multiple Myeloma in Patients with Renal Insufficiency: Novel Agents, Immunotherapies and Beyond. Cancers 2021, 13, 5036. [Google Scholar] [CrossRef] [PubMed]
- Li, S.; Zhang, Y.; Cheng, Q.; Xin, J.; Dong, Z.; Qiu, X. UPLC-MS/MS Measurement of the Effect of Isavuconazole, Itraconazole and Fluconazole on the Pharmacokinetics of Selinexor in Rats. Infect. Drug Resist. 2020, 13, 3153–3161. [Google Scholar] [CrossRef]
- Zhou, C.; Wang, H.; Zhou, C.; Li, C.; Zhu, M.; Qiu, X. Establishment and Verification of UPLC-MS/MS Technique for Pharmacokinetic Drug-Drug Interactions of Selinexor with Posaconazole in Rats. Drug Des. Dev. Ther. 2021, 15, 1561–1568. [Google Scholar] [CrossRef]
- Sauter, M.; Foerster, K.I.; Benzel, J.; Pfister, S.; Pajtler, K.W.; Haefeli, W.E. Bioanalysis of selinexor in mouse plasma micro-samples utilizing UPLC-MS/MS. J. Chromatogr. B 2021, 1176, 122781. [Google Scholar] [CrossRef]
- Yan, X.; He, X.; Yang, X.; Zhao, Q.; Lou, Y. The development and validation of a liquid chromatography tandem mass spectrometry method for the quantification of selinexor and its application in Chinese multiple myeloma patients. Anal. Methods 2024, 16, 1050–1057. [Google Scholar] [CrossRef]
- Shih, S.C.; Visram, A.; Mian, H. Treatment of elderly and frail myeloma patients. La Presse Méd. 2025, 54, 104266. [Google Scholar] [CrossRef]
- Yaswanth, M.; Sreekanth, M.; Valli, S.S.; Narayana, D.V.; Sreedhar, V.; Venkataramana, K. Bioanalytical Method Development and Validation of Selinexor in Rat Plasma by Liquid Chromatography-Tandem Mass Spectrometry: Pharmaceutical Science-Pharmaceutical Analysis. Int. J. Life Sci. Pharma Res. 2022, 12, P41–P53. [Google Scholar] [CrossRef]
- Vuignier, K.; Schappler, J.; Veuthey, J.L.; Carrupt, P.; Martel, S. Drug–protein binding: A critical review of analytical tools. Anal. Bioanal. Chem. 2010, 398, 53–66. [Google Scholar] [CrossRef]
- Waters, N.J.; Obach, R.S.; Di, L. Consideration of the unbound drug concentration in enzyme kinetics. Methods Mol. Biol. 2014, 1113, 119–145. [Google Scholar] [PubMed]
- Jager, N.G.L.; Van Ewijk-Beneken Kolmer, E.; Aarnoutse, R.; Te Brake, L.H.M. Influence of ultrafiltration conditions on the measurement of unbound drug concentrations: Flucloxacillin as an example. J. Antimicrob. Chemother. 2024, 79, 1187–1190. [Google Scholar] [CrossRef] [PubMed]
- Thomas, P. Calculating Unbound Drug Concentrations in Human Plasma, Serum, or Urine. J. Clin. Exp. Pharmacol. 2024, 14, 421. [Google Scholar]
- U.S. Department of Health and Human Services, Food and Drug Administration. Bioanalytical Method Validation Guidance for Industry. 2018. Available online: https://www.fda.gov/media/70858/download (accessed on 25 February 2025).
- U.S. Food and Drug Administration. M10 Guideline for Bioanalytical Method Validation and Study Sample Analysis. 2022. Available online: https://www.fda.gov/media/162903/download (accessed on 25 February 2025).
- U.S. Food and Drug Administration. Pharmacokinetics in Patients with Impaired Renal Function—Study Design, Data Analysis, and Impact on Dosing and Labeling: Guidance for Industry. 2024. Available online: https://www.fda.gov/media/78573/download (accessed on 25 February 2025).
- Seoul St. Mary’s Hospital. A Prospective Sponsor-Investigator Clinical Study for Dose-Finding of Selinexor in Relapsed and/or Refractory Multiple Myeloma (RRMM) Patients with Impaired Renal Function; The Catholic University of Korea: Seoul, Republic of Korea, 2024. [Google Scholar]
- Junk, E.; Tzivian, L.; Folkmane, I.; Folkmanis, K.; Jushinskis, J.; Strazda, G. Major adverse cardiovascular events and hyperuricemia as an effect-modifying factor in kidney transplant recipients. World, J. Transplant. 2025, 15, 102287. [Google Scholar] [CrossRef]
- Delgado, C.; Baweja, M.; Crews, D.C.; Eneanya, N.D.; Gadegbeku, C.A.; Inker, L.A. A Unifying Approach for GFR Estimation: Recommendations of the NKF-ASN Task Force on Reassessing the Inclusion of Race in Diagnosing Kidney Disease. Am. J. Kidney Dis. 2022, 79, 268–288.e1. [Google Scholar] [CrossRef]
- Kramer, H.J.; Jaar, B.G.; Choi, M.J.; Palevsky, P.M.; Vassalotti, J.A.; Rocco, M.V. An Endorsement of the Removal of Race From GFR Estimation Equations: A Position Statement From the National Kidney Foundation Kidney Disease Outcomes Quality Initiative. Am. J. Kidney Dis. 2022, 80, 691–696. [Google Scholar] [CrossRef]
- Toma, C.; Imre, S.; Vari, C.; Muntean, D.; Tero-Vescan, A. Ultrafiltration Method for Plasma Protein Binding Studies and Its Limitations. Processes 2021, 9, 382. [Google Scholar] [CrossRef]
- Dasgupta, A. Clinical utility of free drug monitoring. Clin. Chem. Lab. Med. 2002, 40, 986–993. [Google Scholar] [CrossRef]




| Compound | DP (V) | EP (V) | CE (V) | CXP (V) | RT (min) |
|---|---|---|---|---|---|
| Selinexor | 78 | 11 | 30 | 16 | 1.4 |
| Sitagliptin | 91 | 9 | 30 | 40 | 0.9 |
| Nominal Concentration (ng/mL) | Intra-Run (n = 5 Sample Replicates) | Inter-Run (n = 3 Runs with 5 Replicates/Run) | ||||
|---|---|---|---|---|---|---|
| Predicted Concentration (Mean ± SD) (ng/mL) | Precision (CV, %) a | Accuracy (%) b | Predicted Concentration (Mean ± SD) (ng/mL) | Precision (CV, %) a | Accuracy (%) b | |
| Total selinexor | ||||||
| 5 | 5.07 ± 0.30 | 6.00 | 101.42 | 5.21 ± 0.45 | 8.67 | 104.13 |
| 15 | 14.39 ± 0.44 | 3.08 | 95.97 | 14.37 ± 0.68 | 4.75 | 95.77 |
| 750 | 763.14 ± 13.80 | 1.81 | 101.75 | 755.33 ± 17.41 | 2.31 | 100.71 |
| 1600 | 1533.47 ± 14.19 | 0.93 | 95.84 | 1539.65 ± 27.66 | 1.80 | 96.23 |
| Unbound selinexor | ||||||
| 0.05 | 0.053 ± 0.003 | 6.48 | 105.60 | 0.050 ± 0.005 | 10.35 | 99.07 |
| 0.15 | 0.139 ± 0.001 | 0.60 | 92.80 | 0.14 ± 0.01 | 4.94 | 92.46 |
| 3 | 2.90 ± 0.06 | 2.06 | 96.69 | 2.91 ± 0.09 | 3.17 | 97.06 |
| 16 | 17.16 ± 0.28 | 1.63 | 107.24 | 16.90 ± 0.51 | 2.99 | 105.61 |
| Nominal Concentration (ng/mL) | Recovery (%) | Matrix Effect (%) | ||
|---|---|---|---|---|
| Mean ± SD | %CV | Mean ± SD | %CV | |
| Total selinexor | ||||
| 15 | 88.26 ± 3.13 | 3.55 | 109.40 ± 7.58 | 6.93 |
| 750 | 94.86 ± 1.06 | 1.11 | 103.71 ± 2.09 | 2.02 |
| 1600 | 88.40 ± 2.28 | 2.58 | 120.16 ± 2.53 | 2.11 |
| IS (2500) | 88.53 ± 3.49 | 3.94 | 102.31 ± 2.08 | 2.03 |
| Unbound selinexor | ||||
| 0.15 | 88.87 ± 6.42 | 7.23 | 103.65 ± 6.03 | 5.82 |
| 3 | 92.15 ± 2.55 | 2.77 | 101.50 ± 1.78 | 1.76 |
| 16 | 92.71 ± 0.82 | 0.89 | 101.18 ± 1.76 | 1.74 |
| IS (150) | 75.26 ± 2.25 | 2.99 | 99.99 ± 2.13 | 2.13 |
| Stability Condition | Analyte Nominal Concentration (ng/mL) | |||||
|---|---|---|---|---|---|---|
| Total Selinexor | Unbound Selinexor | |||||
| 15 | 750 | 1600 | 0.15 | 3 | 16 | |
| Freeze–thaw, three cycles | 97.98 ± 2.66 | 100.23 ± 1.67 | 95.25 ± 1.17 | 89.11 ± 1.88 | 96.54 ± 0.73 | 100.84 ± 0.90 |
| Room temperature, 7 h | 94.62 ± 3.42 | 100.50 ± 0.54 | 97.13 ± 2.04 | 93.56 ± 1.79 | 94.66 ± 8.07 | 99.25 ± 1.55 |
| 4 °C, 7 h | 95.90 ± 2.29 | 99.27 ± 0.24 | 95.42 ± 0.44 | 88.00 ± 1.31 | 98.46 ± 8.07 | 98.09 ± 2.85 |
| −70 °C, 7 h | 96.70 ± 3.21 | 101.39 ± 0.77 | 95.44 ± 0.90 | 88.00 ± 2.27 | 97.59 ± 0.64 | 101.96 ± 3.16 |
| Autosampler (10 °C), 30 h | 94.18 ± 3.78 | 101.25 ± 1.47 | 95.03 ± 0.43 | 88.44 ± 3.56 | 94.69 ± 1.27 | 102.99 ± 1.71 |
| Long-term storage (−70 °C), 370 days | 110.69 ± 3.54 | 109.57 ± 2.70 | 103.08 ± 0.45 | 100.44 ± 6.65 | 89.20 ± 2.37 | 93.87 ± 7.44 |
Disclaimer/Publisher’s Note: The statements, opinions and data contained in all publications are solely those of the individual author(s) and contributor(s) and not of MDPI and/or the editor(s). MDPI and/or the editor(s) disclaim responsibility for any injury to people or property resulting from any ideas, methods, instructions or products referred to in the content. |
© 2025 by the authors. Licensee MDPI, Basel, Switzerland. This article is an open access article distributed under the terms and conditions of the Creative Commons Attribution (CC BY) license (https://creativecommons.org/licenses/by/4.0/).
Share and Cite
Lee, S.; Yang, S.; Kim, H.; Shim, W.-S.; Song, E.; Han, S.; Park, S.-S.; Choi, S.; Han, S.; Joo, S.H.; et al. Quantification of Total and Unbound Selinexor Concentrations in Human Plasma by a Fully Validated Liquid Chromatography-Tandem Mass Spectrometry Method. Pharmaceutics 2025, 17, 919. https://doi.org/10.3390/pharmaceutics17070919
Lee S, Yang S, Kim H, Shim W-S, Song E, Han S, Park S-S, Choi S, Han S, Joo SH, et al. Quantification of Total and Unbound Selinexor Concentrations in Human Plasma by a Fully Validated Liquid Chromatography-Tandem Mass Spectrometry Method. Pharmaceutics. 2025; 17(7):919. https://doi.org/10.3390/pharmaceutics17070919
Chicago/Turabian StyleLee, Suhyun, Seungwon Yang, Hyeonji Kim, Wang-Seob Shim, Eunseo Song, Seunghoon Han, Sung-Soo Park, Suein Choi, Sungpil Han, Sung Hwan Joo, and et al. 2025. "Quantification of Total and Unbound Selinexor Concentrations in Human Plasma by a Fully Validated Liquid Chromatography-Tandem Mass Spectrometry Method" Pharmaceutics 17, no. 7: 919. https://doi.org/10.3390/pharmaceutics17070919
APA StyleLee, S., Yang, S., Kim, H., Shim, W.-S., Song, E., Han, S., Park, S.-S., Choi, S., Han, S., Joo, S. H., Park, S. J., Shin, B., Kim, D., Kim, H. S., Lee, K.-T., & Chung, E. K. (2025). Quantification of Total and Unbound Selinexor Concentrations in Human Plasma by a Fully Validated Liquid Chromatography-Tandem Mass Spectrometry Method. Pharmaceutics, 17(7), 919. https://doi.org/10.3390/pharmaceutics17070919

