The Chemical Stability Characterization and Kinetics of Statins in Aqueous Cyclodextrin Ocular Preparations: A Formulation Perspective
Abstract
1. Introduction
2. Materials and Methods
2.1. Materials
2.2. Methods
2.2.1. Simultaneous Quantitative Determination of Simvastatin and Simvastatin Acid or Atorvastatin Acid and Atorvastatin Lactone
2.2.2. The Determination of the Water Content
2.2.3. Phase Solubility Studies of Simvastatin and Atorvastatin
Aqueous Solubility of Simvastatin and Atorvastatin
Preliminary Phase Solubility Study of Simvastatin in Phosphate Buffer (0.1 M, pH 7.01)
Phase Solubility Studies of Simvastatin in Citrate Buffer (0.1 M, pH 4.82) and Atorvastatin in Phosphate Buffer (0.1 M, pH 7.01)
2.2.4. Chemical Stability of Statins in Aqueous CD Solutions
Buffer Preparations
Preparation of Cyclodextrin Aqueous Solutions
Preparation of Statin Stock Solutions
Addition of Drug to Buffered Solutions with and Without Cyclodextrin
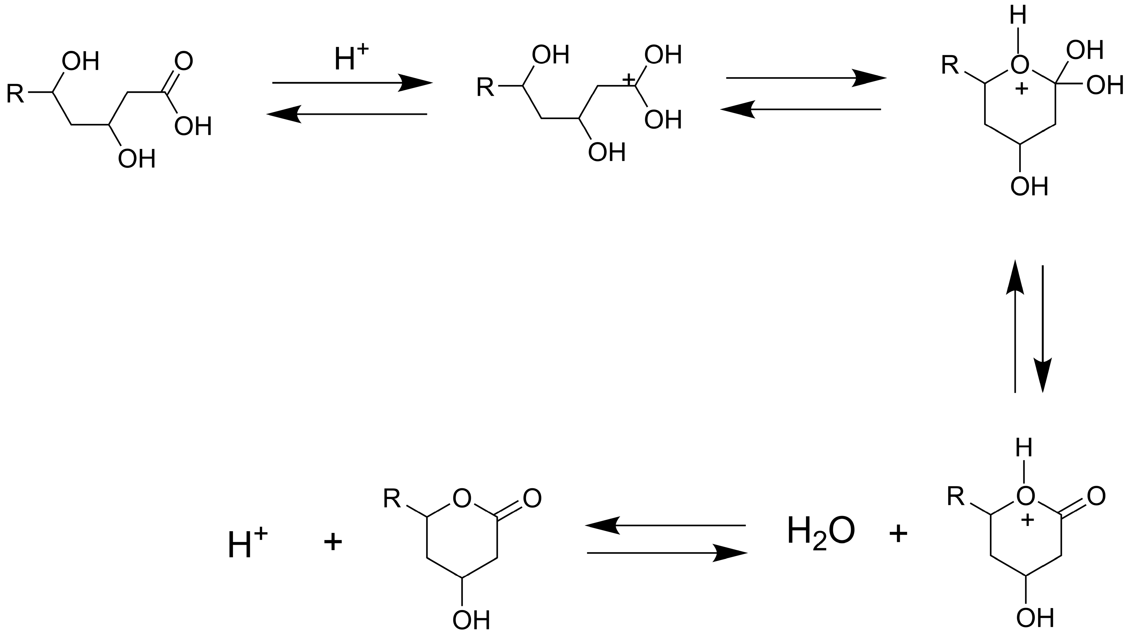
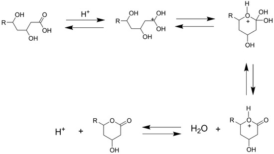
Ring Opening–Ring Closed in Buffered Solutions
3. Results
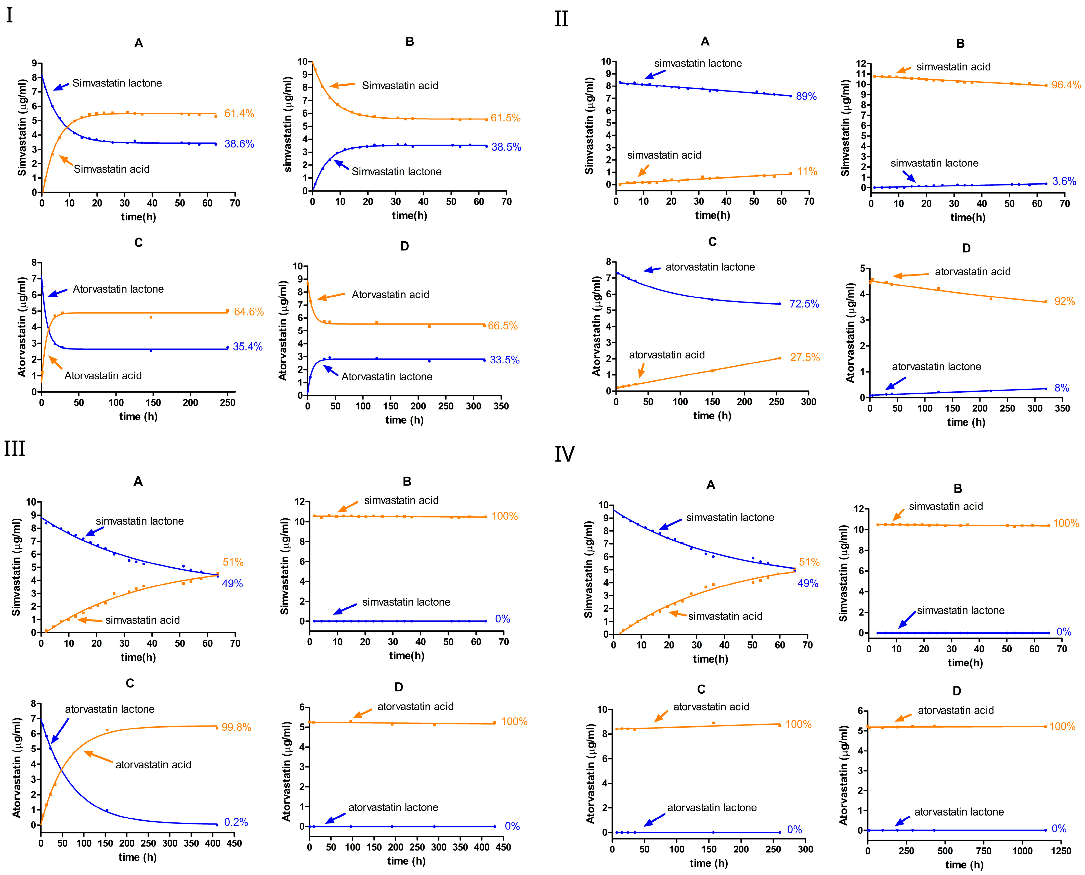
3.1. The Effect of pH on the Ring-Opened/Closed Equilibrium of Simvastatin and Atorvastatin Without Cyclodextrin
3.2. Effects of Various Cyclodextrins on the Stability of Lactone in Simvastatin and Atorvastatin
3.2.1. The Effect of 5% or 10% (w/v) HPβCD

3.2.2. The Effect of 5% or 10% (w/v) RMβCD
3.2.3. The Effect of 5% or 10% (w/v) SBEβCD

3.2.4. The Effect of 5% or 10% (w/v) γCD
3.3. Phase Solubility Studies
3.3.1. Aqueous Solubility of Simvastatin (Lactone) and Atorvastatin (Acid)
| Study | Quantified Form of Simvastatin | Medium | pH | Temperature, °C | Equilibration Time | Solubility, µg/mL |
|---|---|---|---|---|---|---|
| [51] | - | water | - | 37 ± 0.5 | After 2 days of equilibration, 20 RPM | 9.22 ± 1.5 |
| [51] | - | 0.01 M phosphate buffer | 7.0 | 37 ± 0.5 | After 2 days of equilibration, 20 RPM | 32.00 ± 1.8 |
| [52] | - | water | - | 25 ± 0.5 | After 1 day of equilibration, 100 RPM | 6.22 ± 2.39 |
| [53] | - | water | - | 21 ± 1 | After 1 day of equilibration | 1.394 ± 0.03 |
| [53] | - | 0.01 M PBS buffer | 7.4 | 21 ± 1 | After 1 day of equilibration | 2.16 ± 0.05 |
| [53] | - | 0.08 M HCl solution | 1.1 | 21 ± 1 | After 1 day of equilibration | 3.13 ± 0.08 |
| Current study | Acid | 0.1 M phosphate buffer | 7.0 | 23 ± 1 | After 20 days of equilibration, 120 RPM | 11.75 ± 0.13 |
| Current study | Acid | 0.1 M phosphate buffer | 7.0 | 23 ± 1 | After 5 days of equilibration, 260 RPM | 6.94 ± 0.25 |
| Current study | lactone | 0.1 M citrate buffer | 4.8 | 23 ± 1 | After 5 days of equilibration, 260 RPM | 6.78 ± 2.39 |
| Current study | Acid | water | 7.5 | 23 ± 1 | After 5 days of equilibration, 260 RPM | 7.94 ± 0.15 |
| Lactone | water | 7.5 | 23 ± 1 | After 5 days of equilibration, 260 RPM | 14.25 ± 3.46 |
3.3.2. Preliminary Phase Solubility Study of Simvastatin in Phosphate Buffer (0.10 M, pH 7.01)
3.3.3. Phase Solubility Study of Simvastatin in Citrate Buffer (0.1 M, pH 4.82)
3.3.4. Phase Solubility of Atorvastatin in 0.1 M Phosphate Buffer (pH 7.0)
4. Discussion
4.1. Influence of pH on Lactone–Acid Equilibrium
4.2. Influence of Cyclodextrins on Statin Hydrolysis
4.3. Influence of Cyclodextrin Concentration
4.4. Formulation Implications
4.5. Ocular Safety and Translational Considerations
Author Contributions
Funding
Institutional Review Board Statement
Informed Consent Statement
Data Availability Statement
Conflicts of Interest
Abbreviations
| CD | Cyclodextrin |
| RMβCD | Randomly methylated β-cyclodextrin |
| HPβCD | 2-hydroxypropyl-β-cyclodextrin |
| γ-CD | γ-cyclodextrin |
| SBEβCD | Sulfobutylether β-cyclodextrin |
| MeβCD | Methyl-β-cyclodextrin |
| AMD | Age-related macular degeneration |
| RPE | Retinal pigment epithelium |
| BCS | Biopharmaceutics Classification System |
| SVT | Simvastatin |
| SVA | Simvastatin hydroxyacid |
| HPLC | High-performance liquid chromatography |
| DFT | Density functional theory |
| CE | Complexation efficiency |
References
- Ooi, K.G.; Khoo, P.; Vaclavik, V.; Watson, S.L. Statins in ophthalmology. Surv. Ophthalmol. 2019, 64, 401–432. [Google Scholar] [CrossRef] [PubMed]
- Mullins, R.F.; Russell, S.R.; Anderson, D.H.; Hageman, G.S. Drusen associated with aging and age-related macular degeneration contain proteins common to extracellular deposits associated with atherosclerosis, elastosis, amyloidosis, and dense deposit disease. Faseb J. 2000, 14, 835–846. [Google Scholar] [CrossRef]
- Galindo-Camacho, R.M.; Blanco-Llamero, C.; da Ana, R.; Fuertes, M.A.; Señoráns, F.J.; Silva, A.M.; García, M.L.; Souto, E.B. Therapeutic Approaches for Age-Related Macular Degeneration. Int. J. Mol. Sci. 2022, 23, 11769. [Google Scholar] [CrossRef] [PubMed]
- Vavvas, D.G.; Daniels, A.B.; Kapsala, Z.G.; Goldfarb, J.W.; Ganotakis, E.; Loewenstein, J.I.; Young, L.H.; Gragoudas, E.S.; Eliott, D.; Kim, I.K.; et al. Regression of Some High-risk Features of Age-related Macular Degeneration (AMD) in Patients Receiving Intensive Statin Treatment. EBioMedicine 2016, 5, 198–203. [Google Scholar] [CrossRef]
- Barreto, P.; Farinha, C.; Coimbra, R.; Cachulo, M.L.; Melo, J.B.; Lechanteur, Y.; Hoyng, C.B.; Cunha-Vaz, J.; Silva, R. Unveiling Statins and Genetics in Age-Related Macular Degeneration: The Coimbra Eye Study—Report 9. Investig. Ophthalmol. Vis. Sci. 2024, 65, 38. [Google Scholar] [CrossRef] [PubMed]
- Dascalu, A.M.; Alexandrescu, C.; Vancea, G.; Stana, D.; Costea, D.O.; Zgura, A.; Serban, D.; Dumitrescu, D.; Tudosie, M.S.; Serboiu, C.S.; et al. The relationship between statin therapy and age-related macular degeneration—A systemic review. Farmacia 2024, 72, 285–293. [Google Scholar] [CrossRef]
- Lymperopoulou, C.; Kandarakis, S.A.; Tzanaki, I.; Mylona, I.; Xanthos, T.; Agouridis, A.P. The Effect of Statins on Ocular Disorders: A Systematic Review of Randomized Controlled Trials. Pharmaceuticals 2023, 16, 711. [Google Scholar] [CrossRef]
- Guymer, R.H.; Baird, P.N.; Varsamidis, M.; Busija, L.; Dimitrov, P.N.; Aung, K.Z.; Makeyeva, G.A.; Richardson, A.J.; Lim, L.; Robman, L.D. Proof of concept, randomized, placebo-controlled study of the effect of simvastatin on the course of age-related macular degeneration. PLoS ONE 2013, 8, e83759. [Google Scholar] [CrossRef]
- Patel, K.K.; Sehgal, V.S.; Kashfi, K. Molecular targets of statins and their potential side effects: Not all the glitter is gold. Eur. J. Pharmacol. 2022, 922, 174906. [Google Scholar] [CrossRef]
- Taha, D.A.; De Moor, C.H.; Barrett, D.A.; Lee, J.B.; Gandhi, R.D.; Hoo, C.W.; Gershkovich, P. The role of acid-base imbalance in statin-induced myotoxicity. Transl. Res. 2016, 174, 140–160.e14. [Google Scholar] [CrossRef]
- Pereira-da-Mota, A.F.; Vivero-Lopez, M.; Serramito, M.; Diaz-Gomez, L.; Serro, A.P.; Carracedo, G.; Huete-Toral, F.; Concheiro, A.; Alvarez-Lorenzo, C. Contact lenses for pravastatin delivery to eye segments: Design and in vitro-in vivo correlations. J. Control. Release 2022, 348, 431–443. [Google Scholar] [CrossRef] [PubMed]
- Yadav, M.; Schiavone, N.; Guzman-Aranguez, A.; Giansanti, F.; Papucci, L.; Perez de Lara, M.J.; Singh, M.; Kaur, I.P. Atorvastatin-loaded solid lipid nanoparticles as eye drops: Proposed treatment option for age-related macular degeneration (AMD). Drug Deliv. Transl. Res. 2020, 10, 919–944. [Google Scholar] [CrossRef] [PubMed]
- Pereira-da-Mota, A.F.; Vivero-Lopez, M.; Topete, A.; Serro, A.P.; Concheiro, A.; Alvarez-Lorenzo, C. Atorvastatin-Eluting Contact Lenses: Effects of Molecular Imprinting and Sterilization on Drug Loading and Release. Pharmaceutics 2021, 13, 606. [Google Scholar] [CrossRef]
- Pescina, S.; Sonvico, F.; Clementino, A.; Padula, C.; Santi, P.; Nicoli, S. Preliminary investigation on simvastatin-loaded polymeric micelles in view of the treatment of the back of the eye. Pharmaceutics 2021, 13, 855. [Google Scholar] [CrossRef]
- Sifaoui, I.; Díaz-Rodríguez, P.; Rodríguez-Expósito, R.L.; Reyes-Batlle, M.; López-Arencibia, A.; Salazar Villatoro, L.; Castelan-Ramírez, I.; Omaña-Molina, M.; Oliva, A.; Piñero, J.E.; et al. Pitavastatin loaded nanoparticles: A suitable ophthalmic treatment for Acanthamoeba Keratitis inducing cell death and autophagy in Acanthamoeba polyphaga. Eur. J. Pharm. Biopharm. 2022, 180, 11–22. [Google Scholar] [CrossRef] [PubMed]
- Bhumika; Bora, N.S.; Bora, P.S. Genetic Insights into Age-Related Macular Degeneration. Biomedicines 2024, 12, 1479. [Google Scholar] [CrossRef]
- Wu, T.; Fujihara, M.; Tian, J.; Jovanovic, M.; Grayson, C.; Cano, M.; Gehlbach, P.; Margaron, P.; Handa, J.T. Apolipoprotein B100 secretion by cultured ARPE-19 cells is modulated by alteration of cholesterol levels. J. Neurochem. 2010, 114, 1734–1744. [Google Scholar] [CrossRef]
- Ganesh, D.; Chiang, J.N.; Corradetti, G.; Zaitlen, N.; Halperin, E.; Sadda, S.R. Effect of statins on the age of onset of age-related macular degeneration. Graefes Arch. Clin. Exp. Ophthalmol. 2023, 261, 2245–2255. [Google Scholar] [CrossRef]
- Tian, B.; Al-Moujahed, A.; Bouzika, P.; Hu, Y.; Notomi, S.; Tsoka, P.; Miller, J.W.; Lin, H.; Vavvas, D.G. Atorvastatin Promotes Phagocytosis and Attenuates Pro-Inflammatory Response in Human Retinal Pigment Epithelial Cells. Sci. Rep. 2017, 7, 2329. [Google Scholar] [CrossRef]
- Loftsson, T.; Jarho, P.; Másson, M.; Järvinen, T. Cyclodextrins in drug delivery. Expert. Opin. Drug Deliv. 2005, 2, 335–351. [Google Scholar] [CrossRef]
- Loftsson, T.; Stefánsson, E. Aqueous eye drops containing drug/cyclodextrin nanoparticles deliver therapeutic drug concentrations to both anterior and posterior segment. Acta Ophthalmol. 2022, 100, 7–25. [Google Scholar] [CrossRef]
- Johannsdottir, S.; Jansook, P.; Stefansson, E.; Kristinsdottir, I.M.; Fulop, Z.; Asgrimsdottir, G.M.; Thorsteindsottir, M.; Eiriksson, F.F.; Loftsson, T. Topical drug delivery to the posterior segment of the eye: Dexamethasone concentrations in various eye tissues after topical administration for up to 15 days to rabbits. J. Drug Deliv. Sci. Technol. 2018, 45, 449–454. [Google Scholar] [CrossRef]
- Loftsson, T.; Stefánsson, E. Cyclodextrins and topical drug delivery to the anterior and posterior segments of the eye. Int. J. Pharm. 2017, 531, 413–423. [Google Scholar] [CrossRef] [PubMed]
- Mahboobian, M.M.; Dadashzadeh, S.; Rezaei, M.; Mohammadi, M.; Bolourchian, N. Simvastatin in ternary solid dispersion formulations: Improved In vitro dissolution and anti-hyperlipidemia efficiency. J. Drug Deliv. Sci. Technol. 2022, 74, 103571. [Google Scholar] [CrossRef]
- Rodde, M.S.; Divase, G.T.; Devkar, T.B.; Tekade, A.R. Solubility and bioavailability enhancement of poorly aqueous soluble atorvastatin: In vitro, ex vivo, and in vivo studies. Biomed Res. Int. 2014, 2014, 463895. [Google Scholar] [CrossRef]
- Matyori, A.; Brown, C.P.; Ali, A.; Sherbeny, F. Statins utilization trends and expenditures in the U.S. before and after the implementation of the 2013 ACC/AHA guidelines. Saudi Pharm. J. 2023, 31, 795–800. [Google Scholar] [CrossRef] [PubMed]
- Blais, J.E.; Chan, E.W.; Law, S.W.Y.; Mok, M.T.; Huang, D.; Wong, I.C.K.; Siu, C.-W. Trends in statin prescription prevalence, initiation, and dosing: Hong Kong, 2004–2015. Atherosclerosis 2019, 280, 174–182. [Google Scholar] [CrossRef]
- Climent, E.; Benaiges, D.; Pedro-Botet, J. Hydrophilic or Lipophilic Statins? Front. Cardiovasc. Med. 2021, 8, 687585. [Google Scholar] [CrossRef]
- Chen, C.; Mireles, R.J.; Campbell, S.D.; Lin, J.; Mills, J.B.; Xu, J.J.; Smolarek, T.A. Differential Interaction of 3-Hydroxy-3-Methylglutaryl-Coa Reductase Inhibitors with ABCB1, ABCC2, and OATP1B1. Drug Metab. Dispos. 2005, 33, 537–546. [Google Scholar] [CrossRef]
- Popielec, A.; Loftsson, T. Effects of cyclodextrins on the chemical stability of drugs. Int. J. Pharm. 2017, 531, 532–542. [Google Scholar] [CrossRef]
- Süle, A.; Csempesz, F. Complexation of Statins with β-Cyclodextrinin Solutions of Small Molecular Additives and Macromolecular Colloids. In Colloids for Nano- and Biotechnology; Hórvölgyi, Z.D., Kiss, É., Eds.; Springer: Berlin/Heidelberg, Germany, 2008; pp. 93–100. [Google Scholar]
- Süle, A.; Szente, L.; Csempesz, F. Enhancement of Drug Solubility in Supramolecular and Colloidal Systems. J. Pharm. Sci. 2009, 98, 484–494. [Google Scholar] [CrossRef]
- Csempesz, F.; Süle, A.; Puskás, I. Induced surface activity of supramolecular cyclodextrin–statin complexes: Relevance in drug delivery. Colloids Surf. A Physicochem. Eng. Asp. 2010, 354, 308–313. [Google Scholar] [CrossRef]
- Jun, S.W.; Kim, M.-S.; Kim, J.-S.; Park, H.J.; Lee, S.; Woo, J.-S.; Hwang, S.-J. Preparation and characterization of simvastatin/hydroxypropyl-β-cyclodextrin inclusion complex using supercritical antisolvent (SAS) process. Eur. J. Pharm. Biopharm. 2007, 66, 413–421. [Google Scholar] [CrossRef] [PubMed]
- Palem, C.R.; Patel, S.; Pokharkar, V.B. Solubility and stability enhancement of atorvastatin by cyclodextrin complexation. PDA J. Pharm. Sci. Technol. 2009, 63, 217–225. [Google Scholar] [PubMed]
- Ungaro, F.; Giovino, C.; Catanzano, O.; Miro, A.; Mele, A.; Quaglia, F.; La Rotonda, M.I. Use of cyclodextrins as solubilizing agents for simvastatin: Effect of hydroxypropyl-β-cyclodextrin on lactone/hydroxyacid aqueous equilibrium. Int. J. Pharm. 2011, 404, 49–56. [Google Scholar] [CrossRef]
- Bensouiki, S.; Belaib, F.; Sindt, M.; Rup-Jacques, S.; Magri, P.; Ikhlef, A.; Meniai, A.-H. Synthesis of cyclodextrins-metronidazole inclusion complexes and incorporation of metronidazole—2-hydroxypropyl-β-cyclodextrin inclusion complex in chitosan nanoparticles. J. Mol. Struct. 2022, 1247, 131298. [Google Scholar] [CrossRef]
- Loftsson, T.; Saokham, P.; Couto, A.R.S. Self-association of cyclodextrins and cyclodextrin complexes in aqueous solutions. Int. J. Pharm. 2019, 560, 228–234. [Google Scholar] [CrossRef]
- PubChem [Internet]. Bethesda (MD): National Library of Medicine (US), National Center for Biotechnology Information; 2004. PubChem Compound Summary for CID 54454, Simvastatin. Available online: https://pubchem.ncbi.nlm.nih.gov/compound/Simvastatin (accessed on 6 March 2023).
- Higuchi, T.; Connors, K.A. Advances in analytical chemistry and instrumentation. Phase Solubility Stud. 1965, 4, 117–212. [Google Scholar]
- Grabarkiewicz, T.; Grobelny, P.; Hoffmann, M.; Mielcarek, J. DFT study on hydroxy acid–lactone interconversion of statins: The case of fluvastatin. Org. Biomol. Chem. 2006, 4, 4299–4306. [Google Scholar] [CrossRef]
- Kearney, A.S.; Crawford, L.F.; Mehta, S.C.; Radebaugh, G.W. The interconversion kinetics, equilibrium, and solubilities of the lactone and hydroxyacid forms of the HMG-CoA reductase inhibitor, CI-981. Pharm. Res. 1993, 10, 1461–1465. [Google Scholar] [CrossRef]
- Hoffmann, M.; Nowosielski, M. DFT study on hydroxy acid–lactone interconversion of statins: The case of atorvastatin. Org. Biomol. Chem. 2008, 6, 3527–3531. [Google Scholar] [CrossRef] [PubMed]
- Alvarez-Lueje, A.; Valenzuela, C.; Squella, J.A.; Núñez-Vergara, L.J. Stability study of simvastatin under hydrolytic conditions assessed by liquid chromatography. J. AOAC Int. 2005, 88, 1631–1636. [Google Scholar] [CrossRef]
- Geboers, S.; Stappaerts, J.; Tack, J.; Annaert, P.; Augustijns, P. In vitro and in vivo investigation of the gastrointestinal behavior of simvastatin. Int. J. Pharm. 2016, 510, 296–303. [Google Scholar] [CrossRef] [PubMed]
- Yang, D.-J.; Hwang, L.S. Study on the conversion of three natural statins from lactone forms to their corresponding hydroxy acid forms and their determination in Pu-Erh tea. J. Chromatogr. A 2006, 1119, 277–284. [Google Scholar] [CrossRef]
- Morse, B.L.; Alberts, J.J.; Posada, M.M.; Rehmel, J.; Kolur, A.; Tham, L.S.; Loghin, C.; Hillgren, K.M.; Hall, S.D.; Dickinson, G.L. Physiologically-Based Pharmacokinetic Modeling of Atorvastatin Incorporating Delayed Gastric Emptying and Acid-to-Lactone Conversion. CPT Pharmacomet. Syst. Pharmacol. 2019, 8, 664–675. [Google Scholar] [CrossRef]
- Popielec, A.; Fenyvesi, É.; Yannakopoulou, K.; Loftsson, T. Effect of cyclodextrins on the degradation rate of benzylpenicillin. Pharmazie 2016, 71, 68–75. [Google Scholar] [PubMed]
- Shamsuddin; Fazil, M.; Ansari, S.H.; Ali, J. Atorvastatin solid dispersion for bioavailability enhancement. J. Adv. Pharm. Technol. Res. 2016, 7, 22–26. [Google Scholar] [CrossRef]
- Rossetti, A.; Real, D.A.; Barrientos, B.A.; Allemandi, D.A.; Paredes, A.J.; Real, J.P.; Palma, S.D. Significant progress in improving Atorvastatin dissolution rate: Physicochemical characterization and stability assessment of self-dispersible Atorvastatin/Tween 80® nanocrystals formulated through wet milling and freeze-drying. Int. J. Pharm. 2024, 650, 123720. [Google Scholar] [CrossRef]
- Javeer, S.D.; Patole, R.; Amin, P. Enhanced solubility and dissolution of simvastatin by HPMC-based solid dispersions prepared by hot melt extrusion and spray-drying method. J. Pharm. Investig. 2013, 43, 471–480. [Google Scholar] [CrossRef]
- Elkanayati, R.M.; Karnik, I.; Uttreja, P.; Narala, N.; Vemula, S.K.; Karry, K.; Repka, M.A. Twin Screw Melt Granulation of Simvastatin: Drug Solubility and Dissolution Rate Enhancement Using Polymer Blends. Pharmaceutics 2024, 16, 1630. [Google Scholar] [CrossRef]
- Bartkowiak, A.; Matyszewska, D.; Krzak, A.; Zaborowska, M.; Broniatowski, M.; Bilewicz, R. Incorporation of simvastatin into lipid membranes: Why deliver a statin in form of inclusion complex with hydrophilic cyclodextrin. Colloids Surf. B Biointerfaces 2021, 204, 111784. [Google Scholar] [CrossRef]
- Schönbeck, C.; Madsen, T.L.; Peters, G.H.; Holm, R.; Loftsson, T. Soluble 1:1 complexes and insoluble 3:2 complexes—Understanding the phase-solubility diagram of hydrocortisone and γ-cyclodextrin. Int. J. Pharm. 2017, 531, 504–511. [Google Scholar] [CrossRef] [PubMed]
- Kali, G.; Haddadzadegan, S.; Bernkop-Schnürch, A. Cyclodextrins and derivatives in drug delivery: New developments, relevant clinical trials, and advanced products. Carbohydr. Polym. 2024, 324, 121500. [Google Scholar] [CrossRef]
- Loftsson, T.; Hreinsdóttir, D.; Másson, M. Evaluation of cyclodextrin solubilization of drugs. Int. J. Pharm. 2005, 302, 18–28. [Google Scholar] [CrossRef] [PubMed]
- Palem, C.R.; Patel, S.; Venkatpufwar, V.; Varsha, B.; Pokharkar. Influence of atorvastaun calcium-cyclodextrin complexation on solubility, stability and pharmacodynamic activity. Acıa Pharm. Sci. 2009, 51, 297–312. [Google Scholar]
- Palanisamy, M.; James, A.; Khanam, J. Atorvastatin–cyclodextrin systems: Physiochemical and biopharmaceutical evaluation. J. Drug Deliv. Sci. Technol. 2016, 31, 41–52. [Google Scholar] [CrossRef]
- Gama, F.; Meirinho, S.; Pires, P.C.; Tinoco, J.; Martins Gaspar, M.C.; Baltazar, G.; Alves, G.; Santos, A.O. Simvastatin is delivered to the brain by high-strength intranasal cationic SMEDDS and nanoemulsions. Drug Deliv. Transl. Res. 2025. [Google Scholar] [CrossRef]
- Loftsson, T.; Masson, M. Cyclodextrins in topical drug formulations: Theory and practice. Int. J. Pharm. 2001, 225, 15–30. [Google Scholar] [CrossRef]
- Trotta, F.; Loftsson, T.; Gaud, R.S.; Trivedi, R.; Shende, P. Integration of cyclodextrins and associated toxicities: A roadmap for high quality biomedical applications. Carbohydr. Polym. 2022, 295, 119880. [Google Scholar] [CrossRef]
- Jansen, T.; Xhonneux, B.; Mesens, J.; Borgers, M. Beta-cyclodextrins as vehicles in eye-drop formulations: An evaluation of their effects on rabbit corneal epithelium. In Lens and Eye Toxicity Research; Elsevier: Amsterdam, The Netherlands, 1990; pp. 459–468. Available online: https://www.scopus.com/inward/record.uri?eid=2-s2.0-0025542154&partnerID=40&md5=baf39cdb280581a1fd638b38cd2f74bc (accessed on 17 March 2025).
- European Medicine Agency. Cyclodextrins Used as Excipients. Report No.: EMA/CHMP/495747/2013 2017, p. 16. Available online: https://www.ema.europa.eu/en/documents/report/cyclodextrins-used-excipients-report-published-support-questions-and-answers-cyclodextrins-used-excipients-medicinal-products-human-use_en.pdf (accessed on 3 October 2024).
- Saarinen-Savolainen, P.; Järvinen, T.; Araki-Sasaki, K.; Watanabe, H.; Urtti, A. Evaluation of Cytotoxicity of Various Ophthalmic Drugs, Eye Drop Excipients and Cyclodextrins in an Immortalized Human Corneal Epithelial Cell Line. Pharm. Res. 1998, 15, 1275–1280. [Google Scholar] [CrossRef]
- Wang, Q.; Zhang, A.; Zhu, L.; Yang, X.; Fang, G.; Tang, B. Cyclodextrin-based ocular drug delivery systems: A comprehensive review. Coord. Chem. Rev. 2023, 476, 214919. [Google Scholar] [CrossRef]






| Simvastatin | Atorvastatin | ||||||||
|---|---|---|---|---|---|---|---|---|---|
| Drug Form | Parameter (h−1) | pH 2 | pH 4.5 | pH 7 | pH 9.5 | pH 2 | pH 4.5 | pH 7 | pH 9.5 |
| Ring-closed | 0.100 ± 0.005 | 0.003 ± 0.002 | 0.014 ± 0.0003 | 0.013 ± 0.0002 | 0.139 | 0.003 | 0.014 | - | |
| Ring-closed | 0.063 ± 0.004 | 0.025 ± 0.021 | 0.027 ± 0.004 | 0.025 ± 0.002 | 0.149 | 0.030 | 0.017 | - | |
| Ring-opened | 0.056 ± 0.002 | 0.002 ± 0.0003 | - | - | 0.119 | 0.002 | - | - | |
| Ring-opened | 0.094 ± 0.006 | 0.033 ± 0.002 | - | - | 0.133 | 0.004 | - | - | |
| Simvastatin | Atorvastatin | ||||||||
|---|---|---|---|---|---|---|---|---|---|
| With/Without CD | Parameter (h−1) | pH 2 | pH 4.5 | pH 7 | pH 9.5 | pH 2 | pH 4.5 | pH 7 | pH 9.5 |
| 0% CD | 0.100 ± 0.005 | 0.003 ± 0.002 | 0.014 ± 0.0003 | 0.013 ± 0.0002 | 0.139 | 0.003 | 0.014 | - | |
| 5% HPβCD | 0.029 | 0.0008 | 0.027 | 0.026 | 0.122 | 0.001 | 0.011 | - | |
| 10% HPβCD | 0.045 | 0.0008 | 0.027 | 0.024 | 0.109 | 0.001 | 0.011 | - | |
| Simvastatin | Atorvastatin | ||||||||
|---|---|---|---|---|---|---|---|---|---|
| Cyclodextrin % w/v | Parameter (h−1) | pH 2 | pH 4.5 | pH 7 | pH 9.5 | pH 2 | pH 4.5 | pH 7 | pH 9.5 |
| 5% HPβCD | 0.029 | 0.0008 | 0.027 | 0.026 | 0.122 | 0.001 | 0.011 | - | |
| - | 0.001 | 0.028 | 0.028 | 0.129 | 0.03 | 0.013 | - | ||
| 10% HPβCD | 0.045 | 0.0008 | 0.027 | 0.024 | 0.109 | 0.001 | 0.011 | - | |
| - | 0.001 | 0.026 | 0.024 | 0.117 | 0.02 | 0.012 | - | ||
| 5% RMβCD | 0.037 | 0.0007 | 0.001 | 0.002 | 0.097 | 0.0008 | 0.005 | - | |
| - | 0.002 | 0.001 | 0.0009 | 0.101 | 0.02 | 0.003 | - | ||
| 10% RMβCD | 0.029 | 0.0005 | 0.001 | 0.001 | 0.083 | 0.002 | 0.004 | - | |
| - | 0.0003 | 0.0009 | 0.0006 | 0.083 | 0.02 | 0.002 | - | ||
| 5% γCD | 0.059 | 0.001 | 0.044 | 0.037 | 0.121 | 0.006 | 0.014 | - | |
| - | 0.001 | 0.042 | 0.040 | 0.153 | 0.007 | 0.013 | - | ||
| 10% γCD | 0.051 | 0.0008 | 0.035 | 0.037 | 0.116 | 0.009 | 0.014 | - | |
| - | 0.0009 | 0.038 | 0.033 | 0.130 | 0.006 | 0.011 | - | ||
| 5% SBEβCD | 0.030 | 0.002 | 0.009 | 0.009 | 0.365 | 0.002 | 0.005 | - | |
| - | 0.002 | 0.009 | 0.009 | 0.455 | 0.002 | 0.004 | - | ||
| 10% SBEβCD | 0.024 | 0.002 | 0.009 | 0.007 | 0.328 | 0.002 | 0.004 | - | |
| - | 0.003 | 0.009 | 0.008 | 0.382 | 0.002 | 0.004 | - | ||
| Simvastatin | Atorvastatin | ||||||||
|---|---|---|---|---|---|---|---|---|---|
| With/Without CD | Parameter (h−1) | pH 2 | pH 4.5 | pH 7 | pH 9.5 | pH 2 | pH 4.5 | pH 7 | pH 9.5 |
| 0% CD | 0.100 ± 0.005 | 0.003 ± 0.002 | 0.014 ± 0.0003 | 0.013 ± 0.0002 | 0.139 | 0.003 | 0.014 | - | |
| 5% RMβCD | 0.037 | 0.0007 | 0.001 | 0.002 | 0.097 | 0.0008 | 0.005 | - | |
| 10% RMβCD | 0.029 | 0.0005 | 0.001 | 0.001 | 0.083 | 0.002 | 0.004 | - | |
| Simvastatin | Atorvastatin | ||||||||
|---|---|---|---|---|---|---|---|---|---|
| With/Without CD | Parameter (h−1) | pH 2 | pH 4.5 | pH 7 | pH 9.5 | pH 2 | pH 4.5 | pH 7 | pH 9.5 |
| 0% CD | 0.100 ± 0.005 | 0.003 ± 0.002 | 0.014 ± 0.0003 | 0.013 ± 0.0002 | 0.139 | 0.003 | 0.014 | - | |
| 5% SBEβCD | 0.03 | 0.002 | 0.009 | 0.009 | 0.365 | 0.002 | 0.005 | - | |
| 10% SBEβCD | 0.02 | 0.002 | 0.009 | 0.007 | 0.328 | 0.002 | 0.004 | - | |
| Simvastatin | Atorvastatin | ||||||||
|---|---|---|---|---|---|---|---|---|---|
| With/Without CD | Parameter (h−1) | pH 2 | pH 4.5 | pH 7 | pH 9.5 | pH 2 | pH 4.5 | pH 7 | pH 9.5 |
| 0% CD | 0.100 ± 0.005 | 0.003 ± 0.002 | 0.014 ± 0.0003 | 0.013 ± 0.0002 | 0.139 | 0.003 | 0.014 | - | |
| 5% γCD | 0.059 | 0.001 | 0.044 | 0.037 | 0.121 | 0.006 | 0.014 | - | |
| 10% γCD | 0.051 | 0.0008 | 0.035 | 0.037 | 0.116 | 0.009 | 0.014 | - | |
| Drug–CD Complex | ) | (h−1) | pH (Phase Solubility Study) | pH (Chemical Stability Study) |
|---|---|---|---|---|
| Simvastatin–HPβCD | 3000 | 0.027 | 7.0 | 7.0 |
| Simvastatin–γCD | 3500 | 0.044 | 7.0 | 7.0 |
| Simvastatin–RMβCD | 11,300 | 0.001 | 7.0 | 7.0 |
| Simvastatin–HPβCD | 270 | 0.0008 | 4.8 | 4.5 |
| Simvastatin–γCD | 244 | 0.001 | 4.8 | 4.5 |
| Atorvastatin–HPβCD | 164 | 0.011 | 7.0 | 7.0 |
| Atorvastatin–γCD | 56 | 0.014 | 7.0 | 7.0 |
| Simvastatin–Cyclodextrin | pH | (M) | PS-Type | (M−1) | CE |
|---|---|---|---|---|---|
| SVA–HPβCD | 7.05 ± 0.2 | 0.000027 | 3000 | 0.097 | |
| SVA–RMβCD | 6.82 ± 0.18 | 0.000027 | 2800 | 0.091 | |
| SVT–RMβCD | 6.82 ± 0.18 | 0.000009 | 8500 | 0.091 | |
| SVA–γCD | 6.85 ± 0.12 | 0.000027 | 3500 | 0.118 |
| Formulation | pH | (M) | PS-Type | (M−1) | CE |
|---|---|---|---|---|---|
| SVT–HPβCD | 4.8 | 0.000016 | 244 | 0.0039 | |
| (SVT+SVA)–HPβCD | 4.8 | 0.000016 | 270 | 0.0044 | |
| SVT–γCD | 4.8 | 0.000016 | 212 | 0.0034 | |
| (SVT+SVA)–γCD | 4.8 | 0.000016 | 244 | 0.0039 |
| Formulation | pH | (M) | PS-Type | (M−1) | CE |
|---|---|---|---|---|---|
| Atorvastatin–HPβCD | 6.9 | 0.000270 | 164 | 0.048 | |
| Atorvastatin–γCD | 6.9 | 0.000270 | 56.3 | 0.016 |
Disclaimer/Publisher’s Note: The statements, opinions and data contained in all publications are solely those of the individual author(s) and contributor(s) and not of MDPI and/or the editor(s). MDPI and/or the editor(s) disclaim responsibility for any injury to people or property resulting from any ideas, methods, instructions or products referred to in the content. |
© 2025 by the authors. Licensee MDPI, Basel, Switzerland. This article is an open access article distributed under the terms and conditions of the Creative Commons Attribution (CC BY) license (https://creativecommons.org/licenses/by/4.0/).
Share and Cite
Abo Horan, I.; Loftsson, T.; Sigurdsson, H.H. The Chemical Stability Characterization and Kinetics of Statins in Aqueous Cyclodextrin Ocular Preparations: A Formulation Perspective. Pharmaceutics 2025, 17, 808. https://doi.org/10.3390/pharmaceutics17070808
Abo Horan I, Loftsson T, Sigurdsson HH. The Chemical Stability Characterization and Kinetics of Statins in Aqueous Cyclodextrin Ocular Preparations: A Formulation Perspective. Pharmaceutics. 2025; 17(7):808. https://doi.org/10.3390/pharmaceutics17070808
Chicago/Turabian StyleAbo Horan, Ismael, Thorsteinn Loftsson, and Hakon Hrafn Sigurdsson. 2025. "The Chemical Stability Characterization and Kinetics of Statins in Aqueous Cyclodextrin Ocular Preparations: A Formulation Perspective" Pharmaceutics 17, no. 7: 808. https://doi.org/10.3390/pharmaceutics17070808
APA StyleAbo Horan, I., Loftsson, T., & Sigurdsson, H. H. (2025). The Chemical Stability Characterization and Kinetics of Statins in Aqueous Cyclodextrin Ocular Preparations: A Formulation Perspective. Pharmaceutics, 17(7), 808. https://doi.org/10.3390/pharmaceutics17070808

