A Formulation–Process–Product Integrated Design Method for Accelerating Pharmaceutical Tablet Development via the High-Shear Wet Granulation and Tableting Route
Abstract
1. Introduction
2. Materials and Methods
2.1. Materials
2.2. The Design of Experiment
2.3. Preparation of Granules and Tablets
2.3.1. The High Shear Wet Granulation Process
2.3.2. The Tableting Process
2.4. Characterization of Powders
2.4.1. The Physical Properties
2.4.2. The Compression Behavior
2.5. The Multivariate Data Analysis
3. Results and Discussion
3.1. The Effectiveness of the Material Library Approach
3.2. The Predictive Modeling of the High-Shear Wet Granulation and Tableting Process
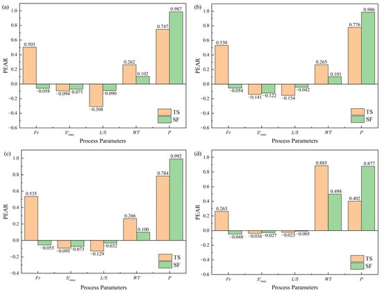
3.3. Sensitivity Analysis of Process Parameters for Different Types of Materials
3.4. The Integrated Design of Formulation and Process Parameters
3.4.1. The Integrated Design Method
3.4.2. Case Study
4. Conclusions
Supplementary Materials
Author Contributions
Funding
Data Availability Statement
Acknowledgments
Conflicts of Interest
Abbreviations
| API | Active pharmaceutical ingredient |
| β-CD | β-cyclodextrin |
| BPAR | Bran-processed atractylodis rhizoma |
| CBCS | Compression behavior classification system |
| CDER | Center for Drug Evaluation and Research |
| CMC-Na | Croscarmellose sodium |
| CWIS | Cold water insoluble starch |
| DC | Direct compression |
| DCP | Dibasic calcium phosphate |
| DCPA | Dibasic calcium phosphate anhydrous |
| DG | Dry granulation |
| FDA | US Food and Drug Administration |
| FPPID | Formulation–process–product integrated design |
| Fr | Froude number |
| G50 | Medium granule size |
| HSWG | High-shear wet granulation |
| HSWGT | High-shear wet granulation and tableting |
| L/S | Liquid to solid |
| Lac F100 | Lactose Flowlac® 100 |
| MBD | Model-based design |
| MCS | Manufacturing classification system |
| MDD | Model-driven design |
| MF | Mume fructus |
| MHH | Menthae haplocalycis herba |
| NPP | Natural product powder |
| OSD | Oral solid dosage |
| P | Tableting pressure |
| PC | Principal component |
| PCA | Principal component analysis |
| PEAR | Pearson product moment correlation coefficient |
| PLS | Partial least square |
| QbD | Quality by design |
| QbDD | Quality by digital design |
| R2 | Coefficient of determinism |
| RMSE | Root mean square error |
| RMSECV | Root mean square error of cross-validation |
| RSD | Relative standard deviation |
| SA | Sensitivity analysis |
| SF | Solid fraction |
| Maximum pore saturation | |
| SMCC | Silicified microcrystalline cellulose |
| SPE | Square prediction error |
| TS | Tensile strength |
| TSWG | Twin screw wet granulation |
| UV | Unit variance |
| LV | Latent variable |
| VIP | Variable importance in projection |
| WG | Wet granulation |
| WT | Wet massing time |
References
- Food and Drug Administration (FDA). Available online: https://www.fda.gov/drugs/novel-drug-approvals-fda/novel-drug-approvals-2023 (accessed on 26 February 2025).
- Leane, M.; Pitt, K.; Reynolds, G. A proposal for a drug product Manufacturing Classification System (MCS) for oral solid dosage forms. Pharm. Dev. Technol. 2015, 20, 12–21. [Google Scholar] [CrossRef]
- Eremin, V.A.; Blynskaya, E.V.; Alekseev, K.V.; Tishkov, S.V.; Minaev, S.V. Comparative analysis of innovative wet granulation technologies for pharmaceutical production (a review). Pharm. Chem. J. 2024, 58, 1438–1447. [Google Scholar] [CrossRef]
- Kinoshita, R.; Ohta, T.; Shiraki, K.; Higashi, K.; Moribe, K. Effects of wet-granulation process parameters on the dissolution physical stability of a solid dispersion. Int. J. Pharm. 2017, 524, 304–311. [Google Scholar] [CrossRef] [PubMed]
- Leane, M.; Pitt, K.; Reynolds, G.K.; Dawson, N.; Ziegler, I.; Szepes, A.; Crean, A.M.; Dall Agnol, R. Manufacturing Classification Sy. Manufacturing classification system in the real world: Factors influencing manufacturing process choices for filed commercial oral solid dosage formulations, case studies from industry and considerations for continuous processing. Pharm. Dev. Technol. 2018, 23, 964–977. [Google Scholar]
- Sun, C.C. Materials science tetrahedron—A useful tool for pharmaceutical research and development. J. Pharm. Sci. 2009, 98, 1671–1687. [Google Scholar] [CrossRef] [PubMed]
- Gupta, S.; Thool, P.; Meruva, S.; Li, S.; Patel, J.; Agrawal, A.; Karki, S.; Bowen, W.; Mitra, B. Development of low dose micro-tablets by high shear wet granulation process. Int. J. Pharm. 2020, 587, 119571. [Google Scholar] [CrossRef] [PubMed]
- Liu, B.; Wang, J.; Zeng, J.; Zhao, L.; Wang, Y.; Feng, Y.; Du, R. A review of high shear wet granulation for better process understanding, control and product development. Powder Technol. 2021, 381, 204–223. [Google Scholar]
- Wang, S.; Ye, G.; Heng, P.; Ma, M. Investigation of high shear wet granulation processes using different parameters and formulations. Chem. Pharm. Bull. 2008, 56, 22–27. [Google Scholar] [CrossRef]
- Pohl, S.; Kleinebudde, P. A review of regime maps for granulation. Int. J. Pharm. 2020, 587, 119660. [Google Scholar] [CrossRef]
- Malinov, N.G.; Raudenbush-Henderson, K.; Ding, C.; Reddy, J.V.; Ierapetritou, M.G. End-to-end process flowsheet modeling for biopharmaceutical production: Current state and future potential. Curr. Opin. Chem. Eng. 2024, 45, 101044. [Google Scholar] [CrossRef]
- Zhao, W.; Ma, X.; Tu, P. Considerations of pharmaceutical research for new drugs of Chinese materia medica. Zhong Cao Yao 2019, 50, 5872–5875. [Google Scholar]
- Dias, R.C.; Korhonen, O.; Ketolainen, J.; Lopes, J.A.; Ervasti, T. Flowsheet modelling of a powder continuous feeder-mixer system. Int. J. Pharm. 2023, 639, 122969. [Google Scholar] [CrossRef] [PubMed]
- Nagy, B.; Szilagyi, B.; Domokos, A.; Veszi, B.; Tacsi, K.; Rapi, Z.; Pataki, H.; Marosi, G.; Nagy, Z.K. Dynamic flowsheet model development and digital design of continuous pharmaceutical manufacturing with dissolution modeling of the final product. Chem. Eng. J. 2021, 419, 129947. [Google Scholar] [CrossRef]
- Wang, L.G.; Omar, C.; Litster, J.; Slade, D.; Li, J.; Salman, A.; Bellinghausen, S.; Barrasso, D.; Mitchell, N. Model driven design for integrated twin screw granulator and fluid bed dryer via flowsheet modelling. Int. J. Pharm. 2022, 628, 122186. [Google Scholar] [CrossRef]
- Boukouvala, F.; Chaudhury, A.; Sen, M.; Zhou, R.; Mioduszewski, L.; Ierapetritou, M.G.; Ramachandran, R. Computer-Aided Flowsheet Simulation of a Pharmaceutical Tablet Manufacturing Process Incorporating Wet Granulation. J. Pharm. Innov. 2013, 8, 11–27. [Google Scholar] [CrossRef]
- Metta, N.; Ghijs, M.; Schafer, E.; Kumar, A.; Cappuyns, P.; Van Assche, I.; Singh, R.; Ramachandran, R.; De Beer, T.; Ierapetritou, M.; et al. Dynamic Flowsheet Model Development and Sensitivity Analysis of a Continuous Pharmaceutical Tablet Manufacturing Process Using the Wet Granulation Route. Processes 2019, 7, 234. [Google Scholar] [CrossRef]
- Cao, J.; Shen, H.; Zhao, S.; Ma, X.; Chen, L.; Dai, S.; Xu, B.; Qiao, Y. Sample Size Requirements of a Pharmaceutical Material Library: A Case in Predicting Direct Compression Tablet Tensile Strength by Latent Variable Modeling. Pharmaceutics 2024, 16, 242. [Google Scholar] [CrossRef] [PubMed]
- De Bisshop, J.; Klinken, S. Prediction of the tensile strength of tablets using LSTM networks on compression profiles. Int. J. Pharm. 2023, 645, 123280. [Google Scholar] [CrossRef]
- Wang, Y.; Cao, J.; Zhao, X.; Liang, Z.; Qiao, Y.; Luo, G.; Xu, B. Using a Material Library to Understand the Change of Tabletability by High Shear Wet Granulation. Pharmaceutics 2022, 14, 2631. [Google Scholar] [CrossRef]
- Wang, Z.; Cao, J.; Li, W.; Wang, Y.; Luo, G.; Qiao, Y.; Zhang, Y.; Xu, B. Using a material database and data fusion method to accelerate the process model development of high shear wet granulation. Sci. Rep. 2021, 11, 16514. [Google Scholar] [CrossRef]
- Corrigan, J.; Li, F.; Dawson, N.; Reynolds, G.; Bellinghausen, S.; Zomer, S.; Litster, J. An interaction-based mixing model for predicting porosity and tensile strength of directly compressed ternary blends of pharmaceutical powders. Int. J. Pharm. 2024, 664, 124587. [Google Scholar] [CrossRef] [PubMed]
- Galdón, E.; Casas, M.; Gayango, M.; Caraballo, I. First study of the evolution of the SeDeM expert system parameters based on percolation theory: Monitoring of their critical behavior. Eur. J. Pharm. Biopharm. 2016, 109, 158–164. [Google Scholar] [CrossRef] [PubMed]
- Dhondt, J.; Bertels, J.; Kumar, A.; Van Hauwermeiren, D.; Ryckaert, A.; Van Snick, B.; Klingeleers, D.; Vervaet, C.; De Beer, T. A multivariate formulation and process development platform for direct compression. Int. J. Pharm. 2022, 623, 121962. [Google Scholar] [CrossRef] [PubMed]
- Shier, A.P.; Kumar, A.; Mercer, A.; Majeed, N.; Doshi, P.; Blackwood, D.O.; Verrier, H.M. Development of a predictive model for gravimetric powder feeding from an API-rich materials properties library. Int. J. Pharm. 2022, 625, 122071. [Google Scholar] [CrossRef]
- Baby, M.; Nellippallil, A.B. An information-decision framework for the multilevel co-design of products, materials, and manufacturing processes. Adv. Eng. Inform. 2024, 59, 102271. [Google Scholar] [CrossRef]
- Siiskonen, M.; Malmqvist, J.; Folestad, S. Integrated product and manufacturing system platforms supporting the design of personalized medicines. J. Manuf. Syst. 2020, 56, 281–295. [Google Scholar] [CrossRef]
- Kalaria, D.R.; Parker, K.; Reynolds, G.K.; Laru, J. An industrial approach towards solid dosage development for first-in-human studies: Application of predictive science and lean principles. Drug Discov. Today 2020, 25, 505–518. [Google Scholar] [CrossRef]
- Narang, A.; Badawy, S. Handbook of Pharmaceutical Wet Granulation; Taylor & Francis: San Diego, CA, USA, 2019. [Google Scholar]
- Pandey, P.; Badawy, S. A quality by design approach to scale-up of high-shear wet granulation process. Drug Dev. Ind. Pharm. 2016, 42, 175–189. [Google Scholar] [CrossRef]
- Tao, J.; Pandey, P.; Bindra, D.S.; Gao, J.Z.; Narang, A.S. Evaluating scale-up rules of a high-shear wet granulation process. J. Pharm. Sci. 2015, 104, 2323–2333. [Google Scholar] [CrossRef]
- Iveson, S.M.; Litster, J.D.; Ennis, B.J. Fundamental studies of granule consolidation Part 1: Effects of binder content and binder viscosity. Powder Technol. 1996, 88, 15–20. [Google Scholar] [CrossRef]
- Fell, J.T.; Newton, J.M. Determination of Tablet Strength by the Diametral-Compression Test. J. Pharm. Pharm. Sci. 1970, 59, 688–691. [Google Scholar] [CrossRef] [PubMed]
- Dai, S. Research on the Intelligent Design Method of Chinese Medicine Direct Compression Tablet Formulation. Ph.D. Dissertation, Beijing University of Chinese Medicine, Beijing, Chinese, 2019. [Google Scholar]
- Leane, M.; Pitt, K.; Reynolds, G.; Tantuccio, A.; Moreton, C.; Crean, A.; Kleinebudde, P.; Carlin, B.; Gamble, J.; Gamlen, M.; et al. Ten years of the manufacturing classification system: A review of literature applications and an extension of the framework to continuous manufacture. Pharm. Dev. Technol. 2024, 29, 395–414. [Google Scholar] [CrossRef]
- Vasiljevic, I.; Turkovic, E.; Piller, M.; Zimmer, A.; Parojcic, J. An investigation into applicability of different compression behaviour assessment approaches for multiparticulate units characterization. Powder Technol. 2021, 379, 526–536. [Google Scholar] [CrossRef]
- Kawakita, K.; Lüdde, K.-H. Some considerations on powder compression equations. Powder Technol. 1971, 4, 61–68. [Google Scholar] [CrossRef]
- Heckel, R. Density-pressure relationships in powder compaction. Trans. Metall. Soc. AIME. 1961, 221, 671–675. [Google Scholar]
- Klevan, I.; Nordström, J.; Bauer-Brandl, A.; Alderborn, G. On the physical interpretation of the initial bending of a Shapiro–Konopicky–Heckel compression profile. Eur. J. Pharm. Biopharm. 2009, 71, 395–401. [Google Scholar] [CrossRef]
- Zhao, J.; Burt, H.; Miller, R. The Gurnham equation in characterizing the compressibility of pharmaceutical materials. Int. J. Pharm. 2006, 317, 109–113. [Google Scholar] [CrossRef]
- Duckworth, W. Discussion of Ryshkewitch paper. J. Am. Ceram. Soc. 1953, 36, 68. [Google Scholar]
- Ryshkewitch, E. Compression Strength of Porous Sintered Alumina and Zirconia. J. Am. Ceram. Soc. 1953, 36, 65–68. [Google Scholar] [CrossRef]
- Dai, S.; Xu, B.; Zhang, Z.; Yu, J.; Wang, F.; Shi, X.; Qiao, Y. A compression behavior classification system of pharmaceutical powders for accelerating direct compression tablet formulation design. Int. J. Pharm. 2019, 572, 118742. [Google Scholar] [CrossRef]
- Wold, S.; Sjöström, M.; Eriksson, L. PLS-regression: A basic tool of chemometrics. Chemom. Intell. Lab. Syst. 2001, 58, 109–130. [Google Scholar] [CrossRef]
- Wold, S.; Clementi, L.E.S. Chemometric Methods in Molecular Design; Wiley: Hoboken, NJ, USA, 1995. [Google Scholar]
- LEriksson, E.; Johansson, N.; Kettaneh-Wold, J.; Trygg, C.; Wikström, S.W. Multi- and Megavariate Data Analysis: Basic Principles and Applications, 2nd ed.; UmetricsAB: Malmo, Sweden, 2006. [Google Scholar]
- Hotelling, H. The generalization of student’s ratio. Ann. Math. Statist. 1931, 2, 360–378. [Google Scholar] [CrossRef]
- Jackson, J.E. A User’s Guide to Principal Components; Wiley: Hoboken, NJ, USA, 1991; Chapter 6. [Google Scholar]
- De Souter, L.; Nitert, B.J.; Waeytens, R.; Kumar, A.; De Beer, T. The effect of material properties and process parameters on die filling at varying throughputs: A PLS-model-based analysis. Int. J. Pharm. 2024, 661, 124357. [Google Scholar] [CrossRef] [PubMed]
- Soh, J.L.P.; Wang, F.; Boersen, N.; Pinal, R.; Peck, G.E.; Carvajal, M.T.; Cheney, J.; Valthorsson, H.; Pazdan, J. Utility of Multivariate Analysis in Modeling the Effects of Raw Material Properties and Operating Parameters on Granule and Ribbon Properties Prepared in Roller Compaction. Drug Dev. Ind. Pharm. 2008, 34, 1022–1035. [Google Scholar] [CrossRef] [PubMed]
- Yu, J.; Xu, B.; Zhang, K.; Shi, C.; Zhang, Z.; Fu, J.; Qiao, Y. Using a Material Library to Understand the Impacts of Raw Material Properties on Ribbon Quality in Roll Compaction. Pharmaceutics 2019, 11, 662. [Google Scholar] [CrossRef]
- Wang, L.; Zhao, L.; Hong, Y.; Shen, L.; Lin, X. Attribute transmission and effects of diluents and granulation liquids on granule properties and tablet quality for high shear wet granulation and tableting process. Int. J. Pharm. 2023, 642, 123177. [Google Scholar] [CrossRef]
- Shi, L.; Feng, Y.; Sun, C.C. Massing in high shear wet granulation can simultaneously improve powder flow and deteriorate powder compaction: A double-edged sword. Eur. J. Pharm. Sci. 2011, 43, 50–56. [Google Scholar] [CrossRef]
- Koyanagi, K.; Ueno, A.; Sasaki, T.; Otsuka, M. Real-Time Monitoring of Critical Quality Attributes during High-Shear Wet Granulation Process by Near-Infrared Spectroscopy Effect of Water Addition and Stirring Speed on Pharmaceutical Properties of the Granules. Pharmaceuticals 2022, 15, 822. [Google Scholar] [CrossRef]
- Djuric, D.; Kleinebudde, P. Continuous granulation with a twin-screw extruder: Impact of material throughput. Pharm. Dev. Technol. 2010, 15, 518–525. [Google Scholar] [CrossRef]
- Zelenka, T.; Slovak, V.; Lhotka, M.; Hotova, G. Alternative determination of the skeletal density of solids using a manometric gas physisorption apparatus: A systematic and methodological study. Micropor. Mesopor. Mater. 2019, 290, 109641. [Google Scholar] [CrossRef]
- Kumar, D.S.; Emady, H.N. Powder wetting behavior and granule formation mechanism expansion in single-drop granulation. Chem. Eng. Sci. 2025, 302, 120787. [Google Scholar] [CrossRef]
- Shi, C.; Zhao, H.; Fang, Y.; Shen, L.; Zhao, L. Lactose in tablets: Functionality, critical material attributes, applications, modifications and co-processed excipients. Drug Discov.Today 2023, 28, 103696. [Google Scholar] [CrossRef] [PubMed]
- Grassmann, P. Physical principles of chemical engineering. J. Fluid Mech. 1971, 50, 828–829. [Google Scholar]
- Maclean, N.; Walsh, E.; Soundaranathan, M.; Khadra, I.; Mann, J.; Williams, H.; Markl, D. Exploring the performance-controlling tablet disintegration mechanisms for direct compression formulations. Int. J. Pharm. 2021, 599, 120221. [Google Scholar] [CrossRef]





| Factors | Symbols | Category | Coded and Actual Values in Experiments | ||
|---|---|---|---|---|---|
| Low (−1) | Medium (0) | High (1) | |||
| Type of material | Z | Block | / | / | / |
| L/S ratio (g·g−1) | X1 | Categorical | Level 1 | Level 2 | Level 3 |
| The impeller speed (rpm) | X2 | Continuous | 400 | 600 | 800 |
| The wet massing time (s) | X3 | Continuous | 180 | 240 | 300 |
| Incidence Factor | Parameters | Acronyms |
|---|---|---|
| Fundamental property | True density | Dt |
| Particle size | D10, D50, D90 | |
| Dimension | Bulk density | Da |
| Tapped density | Dc | |
| Porosity | ||
| Solid fraction of the powder | SFp | |
| Compressibility | Inter-particle porosity | Ie |
| Carr’s index | IC | |
| Cohesion index | Icd | |
| Flowability | Hausner ratio | IH |
| Angle of repose | AOR | |
| Flow time | t″ | |
| Stability | Moisture content | %HR |
| Hygroscopicity | %H | |
| Homogeneity | Particle size less than 50 μm | %pf |
| Homogeneity index | Iθ | |
| Particle size distribution | Span |
| The Compression Behavior | The Name of Equation | The Equation | The Curve-Fitting Relationship | Compression Descriptors | The Meaning of Descriptors |
|---|---|---|---|---|---|
| Compressibility | The Kawakita equation | Porosity-P | a, b−1, ab | a denotes the degree of compression of the powder at maximum pressure; b−1 denotes the pressure required to reach a/2; ab denotes the rearrangement capacity of the particles. | |
| The Heckel equation | Py = | Py | Powder plasticity | ||
| The Shapiro equation | Degree of particle crushing, brittleness | ||||
| The Gurnham equation | K | Powder compression resistance | |||
| Compactibility | The R-D equation | ) | Porosity-TS | kb | Interparticle binding ability |
| Tabletability | The power equation | TS-P | d, g | d denotes tabletability; g indicates pressure sensitivity |
| The Type of Variable | The Matrix Size | The Number of Variables | The Variables | |
|---|---|---|---|---|
| Input variable | The powder physical properties | 735 × 33 | 19 | D10, D50, D90, Span, %pf, Iθ, Da, Dc, Dt, SFp, εp, IH, IC, Ie, t″, AOR, %H, %HR, Icd |
| The compression behavior descriptors | 9 | a, b−1, ab, f, Py, K, kb, d, g | ||
| The HSWG process parameters | 4 | L/S, WT, Fr, | ||
| The tableting pressure | 1 | P | ||
| Output variable | Tablet attributes | 735 × 2 | 2 | TS, SF |
| Run No. | Drug Material | Designed Formulation (w/w) | Designed Process Parameters | Predicted Quality Attributes | Validated Quality Attributes |
|---|---|---|---|---|---|
| 1 | The MHH extract powder | 70% MHH, 26% MCC PH101, 2% Mannitol, 1% DCP, 1% Lac C80 | Wetting agent: 95% ethanol, L/S ratio: 0.243, Fr: 0.63, : 0.05, WT: 270 s, P: 7 kN | TS = 2.18 MPa SF = 0.94 | TS = 2.03 MPa SF = 0.89 |
| 2 | The MHH extract powder | 70% MHH, 21% MCC PH101, 1% Lac F100, 4% Mannitol, 4% DCP | Wetting agent: 95% ethanol, L/S ratio: 0.243, Fr: 0.99, : 0.048, WT: 300 s, P: 9 kN | TS = 3.01 MPa SF = 0.97 | TS = 2.00 MPa SF = 0.84 |
Disclaimer/Publisher’s Note: The statements, opinions and data contained in all publications are solely those of the individual author(s) and contributor(s) and not of MDPI and/or the editor(s). MDPI and/or the editor(s) disclaim responsibility for any injury to people or property resulting from any ideas, methods, instructions or products referred to in the content. |
© 2025 by the authors. Licensee MDPI, Basel, Switzerland. This article is an open access article distributed under the terms and conditions of the Creative Commons Attribution (CC BY) license (https://creativecommons.org/licenses/by/4.0/).
Share and Cite
Liang, Z.; Tang, X.; Chen, L.; Liu, Y.; Zhao, S.; Ma, X.; Luo, G.; Xu, B. A Formulation–Process–Product Integrated Design Method for Accelerating Pharmaceutical Tablet Development via the High-Shear Wet Granulation and Tableting Route. Pharmaceutics 2025, 17, 322. https://doi.org/10.3390/pharmaceutics17030322
Liang Z, Tang X, Chen L, Liu Y, Zhao S, Ma X, Luo G, Xu B. A Formulation–Process–Product Integrated Design Method for Accelerating Pharmaceutical Tablet Development via the High-Shear Wet Granulation and Tableting Route. Pharmaceutics. 2025; 17(3):322. https://doi.org/10.3390/pharmaceutics17030322
Chicago/Turabian StyleLiang, Zichen, Xuefang Tang, Liping Chen, Yifei Liu, Shuying Zhao, Xiao Ma, Gan Luo, and Bing Xu. 2025. "A Formulation–Process–Product Integrated Design Method for Accelerating Pharmaceutical Tablet Development via the High-Shear Wet Granulation and Tableting Route" Pharmaceutics 17, no. 3: 322. https://doi.org/10.3390/pharmaceutics17030322
APA StyleLiang, Z., Tang, X., Chen, L., Liu, Y., Zhao, S., Ma, X., Luo, G., & Xu, B. (2025). A Formulation–Process–Product Integrated Design Method for Accelerating Pharmaceutical Tablet Development via the High-Shear Wet Granulation and Tableting Route. Pharmaceutics, 17(3), 322. https://doi.org/10.3390/pharmaceutics17030322

