Impact of Compaction Parameters and Techniques on MUPS Tablets
Abstract
1. Introduction
2. Materials and Methods
2.1. Materials
2.2. Preparation of Sustained Release Coated Pellets
2.2.1. Preparation of Drug-Layered Pellets
2.2.2. Preparation of AC Pellets
2.2.3. Preparation of EC Pellets
2.2.4. Lubrication of EC Pellets with SSF
2.3. Assessment of Sustained Release Coated Pellets
2.3.1. Assessment of Pellet Size and Shape
2.3.2. Assessment of Pellet Crushing Strength, Elastic Modulus, and Compression Energy
2.3.3. Estimations of Pellet Proportional Compositions
2.4. Preparation MUPS Tablets
2.4.1. Preparation of Filler Material and Pellet-Binder Blend
2.4.2. Preparation of MUPS Tablets to Assess Precompression
2.4.3. Preparation of Trilayered MUPS Tablets
2.4.4. Preparation of MUPS Tablets to Assess Tableting Rate
2.5. Evaluation of MUPS Tablets
2.5.1. Assessment of Pellet Volume Fraction
2.5.2. Assessment of Tablet Mechanical Strength
2.5.3. Assessment of Tablet Disintegration Time
2.5.4. Assessment of Drug Release
2.6. Assessment of Compaction Energy Parameters
2.7. Statistical Analysis
3. Results and Discussion
3.1. Characterization of Coated Pellets
3.2. Impact of Precompression on MUPS Tablets
3.3. Impact of Trilayering on MUPS Tablets
3.4. Impact of Tableting Rate on MUPS Tablets
3.5. Implications on the Industrialization of MUPS Tablets
4. Conclusions
Author Contributions
Funding
Institutional Review Board Statement
Informed Consent Statement
Data Availability Statement
Conflicts of Interest
Abbreviations
| AC | Acrylic polymer |
| ANOVA | Analysis of variance |
| EC | Ethylcellulose |
| EC-1% SSF | Ethylcellulose coated pellets lubricated with 1%, w/w sodium stearyl fumarate |
| EMDT | Extent of pellet coat damage |
| f2 | Similarity factor |
| MCC | Microcrystalline cellulose |
| MDT | Mean dissolution time |
| MDTC | Mean dissolution time of compacted pellets |
| MDTUC | Mean dissolution time of uncompacted pellets |
| MUPS | Multi-unit pellet system |
| PC | Punch displacement for precompression |
| SMCC | Silicified microcrystalline cellulose |
| SSF | Sodium stearyl fumarate |
| USP | United States Pharmacopeia |
Appendix A


| Precompression Level (MPa) | AC | EC | ||
|---|---|---|---|---|
| PH-101 | SMCC | PH-101 | SMCC | |
| 0 | 242.5 ± 1.7 | 252.9 ± 1.4 | 245.0 ± 1.4 | 254.5 ± 2.3 |
| 7.5 | 243.3 ± 2.0 | 250.1 ± 0.5 | 245.4 ± 1.0 | 253.1 ± 0.4 |
| 15.0 | 241.5 ± 2.7 | 250.0 ± 2.7 | 245.8 ± 0.6 | 255.1 ± 1.7 |
Appendix B


Appendix C


References
- Varum, F.J.O.; Merchant, H.A.; Basit, A.W. Oral Modified-Release Formulations in Motion: The Relationship between Gastrointestinal Transit and Drug Absorption. Int. J. Pharm. 2010, 395, 26–36. [Google Scholar] [CrossRef]
- Follonier, N.; Doelker, E.; Cole, E.T. Various Ways of Modulating the Release of Diltiazem Hydrochloride from Hot-Melt Extruded Sustained Release Pellets Prepared Using Polymeric Materials. J. Control. Release 1995, 36, 243–250. [Google Scholar] [CrossRef]
- Chen, T.; Li, J.; Chen, T.; Sun, C.C.; Zheng, Y. Tablets of Multi-Unit Pellet System for Controlled Drug Delivery. J. Control. Release 2017, 262, 222–231. [Google Scholar] [CrossRef]
- Chin, W.C.; Chan, L.W.; Heng, P.W.S. A Mechanistic Investigation on the Utilization of Lactose as a Protective Agent for Multi-Unit Pellet Systems. Pharm. Dev. Technol. 2016, 21, 222–230. [Google Scholar] [CrossRef]
- Elsergany, R.N.; Chan, L.W.; Heng, P.W.S. Cushioning Pellets Based on Microcrystalline Cellulose—Crospovidone Blends for MUPS Tableting. Int. J. Pharm. 2020, 586, 119573. [Google Scholar] [CrossRef]
- Elsergany, R.N.; Chan, L.W.; Heng, P.W.S. Influence of the Porosity of Cushioning Excipients on the Compaction of Coated Multi-Particulates. Eur. J. Pharm. Biopharm. 2020, 152, 218–228. [Google Scholar] [CrossRef]
- Lin, X.; Chyi, C.W.; Ruan, K.; Feng, Y.; Heng, P.W.S. Development of Potential Novel Cushioning Agents for the Compaction of Coated Multi-Particulates by Co-Processing Micronized Lactose with Polymers. Eur. J. Pharm. Biopharm. 2011, 79, 406–415. [Google Scholar] [CrossRef]
- Siow, C.R.S.; Heng, P.W.S.; Chan, L.W. A Study on the Impact of HPMC Viscosity Grade and Proportion on the Functional Properties of Co-Freeze-Dried Mannitol-HPMC Cushioning Excipients for Compacted MUPS. Eur. J. Pharm. Biopharm. 2020, 151, 98–107. [Google Scholar] [CrossRef]
- Siow, C.R.S.; Heng, P.W.S.; Chan, L.W. Bulk Freeze-Drying Milling: A Versatile Method of Developing Highly Porous Cushioning Excipients for Compacted Multiple-Unit Pellet Systems (MUPS). AAPS PharmSciTech 2018, 19, 845–857. [Google Scholar] [CrossRef]
- Thio, D.R.; Veronica, N.; Heng, P.W.S.; Chan, L.W. Tableting of Coated Multiparticulates: Influences of Punch Face Configurations. Int. J. Pharm. 2024, 653, 123863. [Google Scholar] [CrossRef]
- Thio, D.R.; Aguilera, Q.; Yeoh, J.K.X.; Heng, P.W.S.; Chan, L.W. An Evaluation of Microcrystalline Cellulose Attributes Affecting Compaction-Induced Pellet Coat Damage through a Multi-Faceted Analysis. Int. J. Pharm. 2023, 643, 123245. [Google Scholar] [CrossRef]
- Thio, D.R.; Heng, P.W.S.; Chan, L.W. MUPS Tableting-Comparison between Crospovidone and Microcrystalline Cellulose Core Pellets. Pharmaceutics 2022, 14, 2812. [Google Scholar] [CrossRef]
- Xu, M.; Heng, P.W.S.; Liew, C.V. Formulation and Process Strategies to Minimize Coat Damage for Compaction of Coated Pellets in a Rotary Tablet Press: A Mechanistic View. Int. J. Pharm. 2016, 499, 29–37. [Google Scholar] [CrossRef]
- Lundqvist, Å.E.K.; Podczeck, F.; Newton, M.J. Compaction of, and Drug Release from, Coated Drug Pellets Mixed with Other Pellets. Eur. J. Pharm. Biopharm. 1998, 46, 369–379. [Google Scholar] [CrossRef]
- Newton, J.M. Gastric Emptying of Multi-Particulate Dosage Forms. Int. J. Pharm. 2010, 395, 2–8. [Google Scholar] [CrossRef]
- Zhu, X.; Qi, X.; Wu, Z.; Zhang, Z.; Xing, J.; Li, X. Preparation of Multiple-Unit Floating-Bioadhesive Cooperative Minitablets for Improving the Oral Bioavailability of Famotidine in Rats. Drug Deliv. 2014, 21, 459–466. [Google Scholar] [CrossRef] [PubMed][Green Version]
- Davis, S.S.; Hardy, J.G.; Taylor, M.J.; Whalley, D.R.; Wilson, C.G. A Comparative Study of the Gastrointestinal Transit of a Pellet and Tablet Formulation. Int. J. Pharm. 1984, 21, 167–177. [Google Scholar] [CrossRef]
- Abrahamsson, B.; Alpsten, M.; Jonsson, U.E.; Lundberg, P.J.; Sandberg, A.; Sundgren, M.; Svenheden, A.; Tölli, J. Gastro-Intestinal Transit of a Multiple-Unit Formulation (Metoprolol CR/ZOK) and a Non-Disintegrating Tablet with the Emphasis on Colon. Int. J. Pharm. 1996, 140, 229–235. [Google Scholar] [CrossRef]
- Moutaharrik, S.; Palugan, L.; Cerea, M.; Filippin, I.; Maroni, A.; Gazzaniga, A.; Foppoli, A. Cushion-Coated Pellets for Tableting without External Excipients. Int. J. Pharm. 2024, 653, 123874. [Google Scholar] [CrossRef]
- Mann, S.C.; Roberts, R.J.; Rowe, R.C.; Hunter, B.M. The Influence of Precompression Pressure on Capping. J. Pharm. Pharmacol. 1982, 34, 49P. [Google Scholar] [CrossRef]
- Vezin, W.R.; Pang, H.M.; Khan, K.A.; Malkowska, S. The Effect of Precompression in a Rotary Machine on Tablet Strength. Drug Dev. Ind. Pharm. 1983, 9, 1464–1474. [Google Scholar] [CrossRef]
- Sarkar, S.; Ooi, S.M.; Liew, C.V.; Heng, P.W.S. Influence of Rate of Force Application during Compression on Tablet Capping. J. Pharm. Sci. 2015, 104, 1319–1327. [Google Scholar] [CrossRef]
- Mazel, V.; Tchoreloff, P. Role of Precompression in the Mitigation of Capping: A Case Study. J. Pharm. Sci. 2020, 109, 3210–3213. [Google Scholar] [CrossRef]
- Vreeman, G.; Sun, C.C. Air Entrapment during Tablet Compression—Diagnosis, Impact on Tableting Performance, and Mitigation Strategies. Int. J. Pharm. 2022, 615, 121514. [Google Scholar] [CrossRef]
- Vreeman, G.; Calvin Sun, C. A Strategy to Optimize Precompression Pressure for Tablet Manufacturing Based on In-Die Elastic Recovery. Int. J. Pharm. 2024, 654, 123981. [Google Scholar] [CrossRef]
- Mazel, V.; Garcia, C.; Tchoreloff, P. Effect of Geometrical Features on the Capping Behavior of Biconvex Tablets. Int. J. Pharm. 2023, 645, 123365. [Google Scholar] [CrossRef]
- Reddy, C.; Gopinath, C. Evaluation of Compression Process Variables for Multiunit Particulate System (MUPS) Tablet by QbD Approach. J. Drug Deliv. Ther. 2018, 8, 48–56. [Google Scholar] [CrossRef]
- Akande, O.F.; Ford, J.L.; Rowe, P.H.; Rubinstein, M.H. The Effects of Lag-Time and Dwell-Time on the Compaction Properties of 1:1 ParacetamoUmicrocrystalline Cellulose Tablets Prepared by Pre-Compression and Main Compression. J. Pharm. Pharmacol. 1998, 50, 19–28. [Google Scholar] [CrossRef] [PubMed]
- Akande, O.F.; Rubinstein, M.H.; Rowe, P.H.; Ford, J.L. Effect of Compression Speeds on the Compaction Properties of a 1:1 Paracetamol–Microcrystalline Cellulose Mixture Prepared by Single Compression and by Combinations of Pre-Compression and Main-Compression. Int. J. Pharm. 1997, 157, 127–136. [Google Scholar] [CrossRef] [PubMed]
- Ruegger, C.E.; Çelik, M. The Influence of Varying Precompaction and Main Compaction Profile Parameters on the Mechanical Strength of Compacts. Pharm. Dev. Technol. 2000, 5, 495–505. [Google Scholar] [CrossRef]
- Sinka, I.C.; Motazedian, F.; Cocks, A.C.F.; Pitt, K.G. The Effect of Processing Parameters on Pharmaceutical Tablet Properties. Powder Technol. 2009, 189, 276–284. [Google Scholar] [CrossRef]
- Anbalagan, P.; Liew, C.V.; Heng, P.W.S. Role of Dwell on Compact Deformation during Tableting: An Overview. J. Pharm. Investig. 2017, 47, 173–181. [Google Scholar] [CrossRef]
- Thio, D.R.; Ong, Y.M.; Veronica, N.; Heng, P.W.S.; Chan, L.W. Native Starch Derived from Different Botanical Sources as an Effective Co-Cushioning Agent in MUPS Tablets. Int. J. Pharm. 2025, 670, 125131. [Google Scholar] [CrossRef] [PubMed]
- Hiew, T.N.; Tian, Y.H.; Tan, H.M.; Heng, P.W.S. A Mechanistic Understanding of Compression Damage to the Dissolubility of Coated Pellets in Tablets. Eur. J. Pharm. Biopharm. 2020, 146, 93–100. [Google Scholar] [CrossRef] [PubMed]
- Hiew, T.N.; Siew, L.W.; Wannaphatchaiyong, S.; Elsergany, R.N.; Pichayakorn, W.; Boonme, P.; Heng, P.W.S.; Liew, C.V. Influence of Talc and Hydrogenated Castor Oil on the Dissolution Behavior of Metformin-Loaded Pellets with Acrylic-Based Sustained Release Coating. Int. J. Pharm. 2023, 640, 122984. [Google Scholar] [CrossRef]
- Husár, Š.; Sýkorová, M.; Rumlová, K.; Chomaničová, K.; Vladovičová, B. Formulation and Evaluation of New Oxycodone Extended Release Multiple Unit Pellet System. Eur. Pharm. J. 2020, 66, 4–10. [Google Scholar] [CrossRef][Green Version]
- Debunne, A.; Vervaet, C.; Mangelings, D.; Remon, J.-P. Compaction of Enteric-Coated Pellets: Influence of Formulation and Process Parameters on Tablet Properties and in Vivo Evaluation. Eur. J. Pharm. Sci. 2004, 22, 305–314. [Google Scholar] [CrossRef]
- Vergote, G.J.; Kiekens, F.; Vervaet, C.; Remon, J.P. Wax Beads as Cushioning Agents during the Compression of Coated Diltiazem Pellets. Eur. J. Pharm. Sci. 2002, 17, 145–151. [Google Scholar] [CrossRef]
- Chambin, O.; Rota, A.; Rochat-Gonthier, M.-H.; Pourcelot, Y. Performance of Multilayered Particles: Influence of a Thin Cushioning Layer. Drug Dev. Ind. Pharm. 2005, 31, 739–746. [Google Scholar] [CrossRef]
- Hosseini, A.; Körber, M.; Bodmeier, R. Direct Compression of Cushion-Layered Ethyl Cellulose-Coated Extended Release Pellets into Rapidly Disintegrating Tablets without Changes in the Release Profile. Int. J. Pharm. 2013, 457, 503–509. [Google Scholar] [CrossRef]
- Berkenkemper, S.; Klinken, S.; Kleinebudde, P. Investigating Compressibility Descriptors for Binary Mixtures of Different Deformation Behavior. Powder Technol. 2023, 424, 118571. [Google Scholar] [CrossRef]
- Howard, M.T.; Klinzing, G.R. Investigation on the Effects of Dwell Time and Loading Strain Rate on Powder Compaction and Tablet Properties: A Compaction Simulator Study. Powder Technol. 2025, 455, 120759. [Google Scholar] [CrossRef]
- Mazel, V.; Tchoreloff, P. Relaxation Tests for the Time Dependent Behavior of Pharmaceutical Tablets: A Revised Interpretation. Int. J. Pharm. 2024, 665, 124728. [Google Scholar] [CrossRef] [PubMed]
- Akhtar, M.; Jamshaid, M.; Zaman, M.; Mirza, A.Z. Bilayer Tablets: A Developing Novel Drug Delivery System. J. Drug Deliv. Sci. Technol. 2020, 60, 102079. [Google Scholar] [CrossRef]
- Akseli, I.; Abebe, A.; Sprockel, O.; Cuitiño, A.M. Mechanistic Characterization of Bilayer Tablet Formulations. Powder Technol. 2013, 236, 30–36. [Google Scholar] [CrossRef]
- Alam, M.; Jahan, K. Informative Review of Layered Technology of Tablet-An Emerging Innovation in Oral Drug Delivery System. Eur. J. Pharm. Med. Res. 2023, 10, 667–675. [Google Scholar]
- Blicharski, T.; Swiader, K.; Serefko, A.; Kulczycka-Mamona, S.; Kolodziejczyk, M.; Szopa, A. Challenges in Technology of Bilayer and Multi-Layer Tablets: A Mini-Review. Curr. Issues Pharm. Med. Sci. 2019, 32, 4. [Google Scholar] [CrossRef]
- Chang, S.-Y.; Sun, C.C. Effect of Particle Size on Interfacial Bonding Strength of Bilayer Tablets. Powder Technol. 2019, 356, 97–101. [Google Scholar] [CrossRef]
- Jangid, V.; Chatterjee, D.; Agrawal, D.; Gupta, M.; Garg, P. A Review on Bilayer Tablet Technology for Multi Modal Drug Delivery. J. Biomed. Pharm. Res. 2022, 11, 33–41. [Google Scholar] [CrossRef]
- Sungthongjeen, S.; Sriamornsak, P.; Puttipipatkhachorn, S. Design and Evaluation of Floating Multi-Layer Coated Tablets Based on Gas Formation. Eur. J. Pharm. Biopharm. 2008, 69, 255–263. [Google Scholar] [CrossRef] [PubMed]
- Tao, J.; Robertson-Lavalle, S.; Pandey, P.; Badawy, S. Understanding the Delamination Risk of a Trilayer Tablet Using Minipiloting Tools. J. Pharm. Sci. 2017, 106, 3346–3352. [Google Scholar] [CrossRef]
- Vaithiyalingam, S.R.; Sayeed, V.A. Critical Factors in Manufacturing Multi-Layer Tablets—Assessing Material Attributes, in-Process Controls, Manufacturing Process and Product Performance. Int. J. Pharm. 2010, 398, 9–13. [Google Scholar] [CrossRef]
- LaForce, C.; Gentile, D.A.; Skoner, D.P. A Randomized, Double-Blind, Parallel-Group, Multicenter, Placebo-Controlled Study of the Safety and Efficacy of Extended-Release Guaifenesin/Pseudoephedrine Hydrochloride for Symptom Relief as an Adjunctive Therapy to Antibiotic Treatment of Acute Respiratory Infections. Postgrad. Med. 2008, 120, 53–59. [Google Scholar] [CrossRef]
- Metry, M.; Shu, Y.; Abrahamsson, B.; Cristofoletti, R.; Dressman, J.B.; Groot, D.W.; Parr, A.; Langguth, P.; Shah, V.P.; Tajiri, T.; et al. Biowaiver Monographs for Immediate Release Solid Oral Dosage Forms: Metformin Hydrochloride. J. Pharm. Sci. 2021, 110, 1513–1526. [Google Scholar] [CrossRef] [PubMed]
- Cantor, S.L.; Hoag, S.W.; Augsburger, L.L. Formulation and Characterization of a Compacted Multiparticulate System for Modified Release of Water-Soluble Drugs—Part 1 Acetaminophen. Drug Dev. Ind. Pharm. 2009, 35, 337–351. [Google Scholar] [CrossRef] [PubMed]
- Torrado, J.J.; Augsburger, L.L. Effect of Different Excipients on the Tableting of Coated Particles. Int. J. Pharm. 1994, 106, 149–155. [Google Scholar] [CrossRef]
- Watano, S.; Shimoda, E.; Osako, Y. Measurement of physical strength of pharmaceutical extruded pellets. Chem. Pharm. Bull. 2002, 50, 26–30. [Google Scholar] [CrossRef]
- Rowe, R.C.; Sheskey, P.J.; Cook, W.G.; Fenton, M.E. Handbook of Pharmaceutical Excipients; Pharmaceutical Press: London, UK, 2012; ISBN 978-0-85711-027-5. [Google Scholar]
- USP. <1174> <1217> Tablet Breaking Force. Pharmacopeial Forum 2016, 31, 1695. [Google Scholar]
- Costa, F.O.; Sousa, J.J.S.; Pais, A.A.C.C.; Formosinho, S.J. Comparison of Dissolution Profiles of Ibuprofen Pellets. J. Control. Release 2003, 89, 199–212. [Google Scholar] [CrossRef]
- David, S.T.; Augsburger, L.L. Plastic Flow during Compression of Directly Compressible Fillers and Its Effect on Tablet Strength. J. Pharm. Sci. 1977, 66, 155–159. [Google Scholar] [CrossRef]
- Ragnarsson, G.; Sjögren, J. Work of Friction and Net Work during Compaction. J. Pharm. Pharmacol. 1983, 35, 201–204. [Google Scholar] [CrossRef]
- Tay, J.Y.S.; Kok, B.W.T.; Liew, C.V.; Heng, P.W.S. Effects of Particle Surface Roughness on In-Die Flow and Tableting Behavior of Lactose. J. Pharm. Sci. 2019, 108, 3011–3019. [Google Scholar] [CrossRef]
- Martin, C.L.; Bouvard, D.; Shima, S. Study of Particle Rearrangement during Powder Compaction by the Discrete Element Method. J. Mech. Phys. Solids 2003, 51, 667–693. [Google Scholar] [CrossRef]
- Nordström, J.; Klevan, I.; Alderborn, G. A Particle Rearrangement Index Based on the Kawakita Powder Compression Equation. J. Pharm. Sci. 2009, 98, 1053–1063. [Google Scholar] [CrossRef] [PubMed]
- Bodmeier, R.; Paeratakul, O. Mechanical Properties of Dry and Wet Cellulosic and Acrylic Films Prepared from Aqueous Colloidal Polymer Dispersions Used in the Coating of Solid Dosage Forms. Pharm. Res. 1994, 11, 882–888. [Google Scholar] [CrossRef] [PubMed]
- Garekani, H.A.; Dolatabadi, R.; Akhgari, A.; Abbaspour, M.R.; Sadeghi, F. Evaluation of Ethylcellulose and Its Pseudolatex (Surelease) in Preparation of Matrix Pellets of Theophylline Using Extrusion-Spheronization. Iran. J. Basic Med. Sci. 2017, 20, 9–16. [Google Scholar] [CrossRef]
- Sadeghi, F.; Ford, J.L.; Rajabi-Siahboomi, A. The Influence of Drug Type on the Release Profiles from Surelease-Coated Pellets. Int. J. Pharm. 2003, 254, 123–135. [Google Scholar] [CrossRef]
- Kondo, T.; Koschella, A.; Heublein, B.; Klemm, D.; Heinze, T. Hydrogen Bond Formation in Regioselectively Functionalized 3-Mono-O-Methyl Cellulose. Carbohydr. Res. 2008, 343, 2600–2604. [Google Scholar] [CrossRef]
- Kondo, T.; Sawatari, C.; St. J. Manley, R.; Gray, D.G. Characterization of Hydrogen Bonding in Cellulose-Synthetic Polymer Blend Systems with Regioselectively Substituted Methylcellulose. Macromolecules 1994, 27, 210–215. [Google Scholar] [CrossRef]
- Kondo, T.; Miyamoto, T. The Influence of Intramolecular Hydrogen Bonds on Handedness in Ethylcellulose /CH2Cl2 Liquid Crystalline Mesophases. Polymer 1998, 39, 1123–1127. [Google Scholar] [CrossRef]
- Sekiguchi, Y.; Sawatari, C.; Kondo, T. A Gelation Mechanism Depending on Hydrogen Bond Formation in Regioselectively Substituted O-Methylcelluloses. Carbohydr. Polym. 2003, 53, 145–153. [Google Scholar] [CrossRef]
- Kullmann, R.; Delbianco, M.; Roth, C.; Weikl, T.R. Role of van Der Waals, Electrostatic, and Hydrogen-Bond Interactions for the Relative Stability of Cellulose Iβ and II Crystals. J. Phys. Chem. B 2024, 128, 12114–12121. [Google Scholar] [CrossRef]
- Tobyn, M.J.; McCarthy, G.P.; Staniforth, J.N.; Edge, S. Physicochemical Comparison between Microcrystalline Cellulose and Silicified Microcrystalline Cellulose. Int. J. Pharm. 1998, 169, 183–194. [Google Scholar] [CrossRef]
- Quodbach, J.; Kleinebudde, P. Performance of Tablet Disintegrants: Impact of Storage Conditions and Relative Tablet Density. Pharm. Dev. Technol. 2015, 20, 762–768. [Google Scholar] [CrossRef] [PubMed]
- Rojas, J.; Guisao, S.; Ruge, V. Functional Assessment of Four Types of Disintegrants and Their Effect on the Spironolactone Release Properties. AAPS PharmSciTech 2012, 13, 1054–1062. [Google Scholar] [CrossRef] [PubMed]
- Tomas, J.; Kleinschmidt, S. Improvement of Flowability of Fine Cohesive Powders by Flow Additives. Chem. Eng. Technol. 2009, 32, 1470–1483. [Google Scholar] [CrossRef]
- Hentzschel, C.M.; Alnaief, M.; Smirnova, I.; Sakmann, A.; Leopold, C.S. Tableting Properties of Silica Aerogel and Other Silicates. Drug Dev. Ind. Pharm. 2012, 38, 462–467. [Google Scholar] [CrossRef]
- Edge, S.; Steele, D.F.; Chen, A.; Tobyn, M.J.; Staniforth, J.N. The Mechanical Properties of Compacts of Microcrystalline Cellulose and Silicified Microcrystalline Cellulose. Int. J. Pharm. 2000, 200, 67–72. [Google Scholar] [CrossRef]
- Lai, H.L.; Pitt, K.; Craig, D.Q.M. Characterisation of the Thermal Properties of Ethylcellulose Using Differential Scanning and Quasi-Isothermal Calorimetric Approaches. Int. J. Pharm. 2010, 386, 178–184. [Google Scholar] [CrossRef]
- Kucera, S.; Tessmann, C.; Shah, N.H.; Waseem Malick, A.; Infeld, M.H.; McGinity, J.W. The Influence of Ethylcellulose Polymers on the Physical Stability of Theophylline Pellets Coated with Eudragit NE 30 D. J. Drug Deliv. Sci. Technol. 2008, 18, 343–349. [Google Scholar] [CrossRef]
- Zheng, A.Y.; Loh, M.T.; Heng, P.W.S.; Chan, L.W. Selection of Lubricant Type and Concentration for Orodispersible Tablets. Int. J. Pharm. 2024, 657, 124190. [Google Scholar] [CrossRef] [PubMed]
- Brown, W. <1216> Tablet Friability. Pharmacopeial Forum 2016, 31, 1735. [Google Scholar]
- Nyström, C.; Alderborn, G.; Duberg, M.; Karehill, P.-G. Bonding Surface Area and Bonding Mechanism-Two Important Factors Fir the Understanding of Powder Comparability. Drug Dev. Ind. Pharm. 1993, 19, 2143–2196. [Google Scholar] [CrossRef]
- Zhao, H.; Shi, C.; Zhao, L.; Wang, Y.; Shen, L. Influences of Different Microcrystalline Cellulose (MCC) Grades on Tablet Quality and Compression Behavior of MCC-Lactose Binary Mixtures. J. Drug Deliv. Sci. Technol. 2022, 77, 103893. [Google Scholar] [CrossRef]
- Loo, S.J.; Lim, C.Y.; Heng, P.W.S.; Chan, L.W. Study of Compaction Tools and Parameters on Critical Quality Attributes of High Drug Load Minitablets. Int. J. Pharm. 2024, 652, 123806. [Google Scholar] [CrossRef] [PubMed]

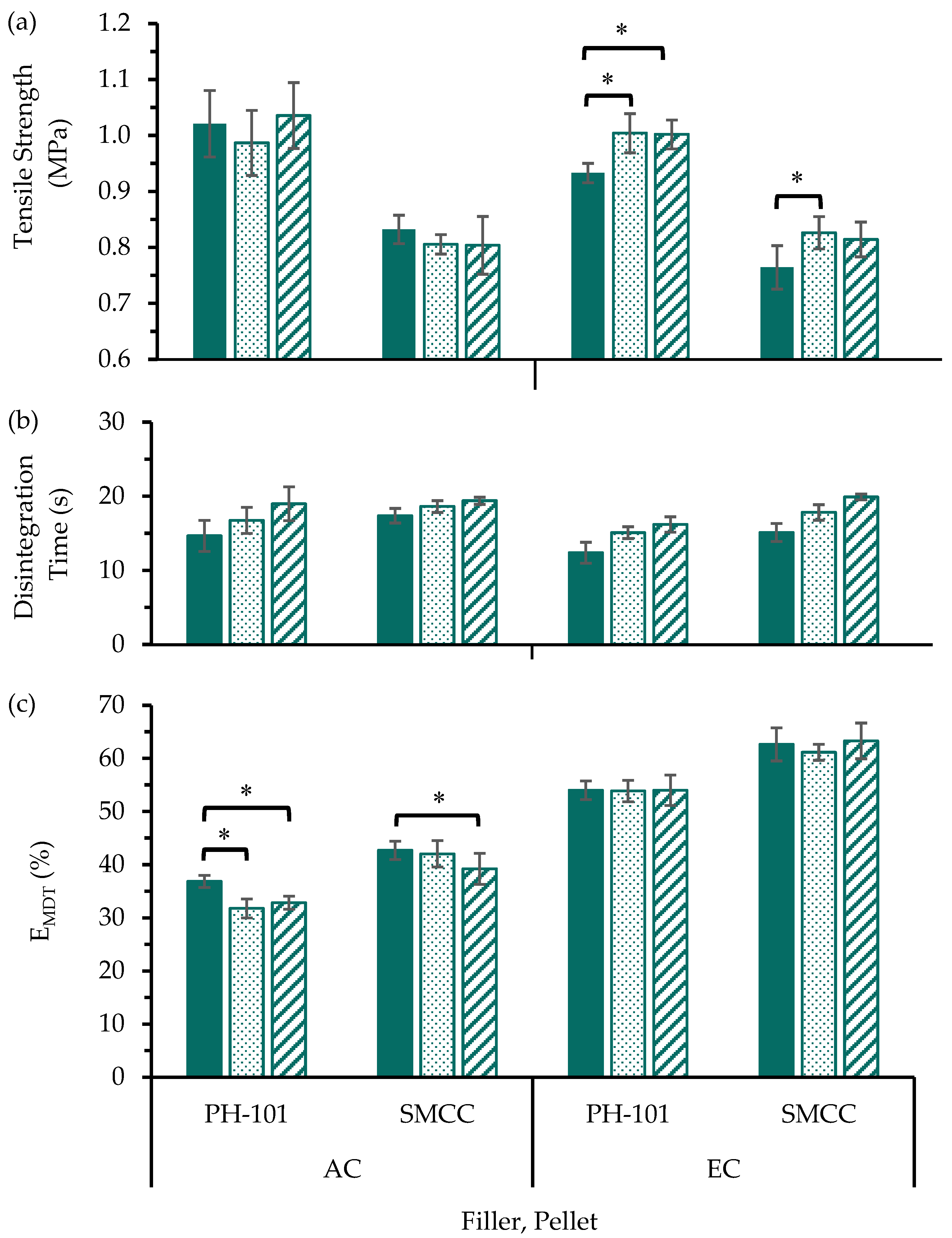
) or with precompression of either 7.5 (
) or 15.0 MPa (
) before compaction at 40 MPa. Significant differences are denoted by * and some are omitted for visual clarity.
) or with precompression of either 7.5 (
) or 15.0 MPa (
) before compaction at 40 MPa. Significant differences are denoted by * and some are omitted for visual clarity.

) or with a precompression of either 7.5 (
) or 15.0 MPa (
) before compaction at 40 MPa. Significant differences are omitted for visual clarity.
) or with a precompression of either 7.5 (
) or 15.0 MPa (
) before compaction at 40 MPa. Significant differences are omitted for visual clarity.
) and trilayered (
) MUPS tablets. Significant differences are denoted by * and some are omitted for visual clarity. PH-101 was used in the filler material.
) and trilayered (
) MUPS tablets. Significant differences are denoted by * and some are omitted for visual clarity. PH-101 was used in the filler material.
: protection against direct contact between the pellet and punch face surface.
: protection against direct contact between the pellet and punch face surface.
), 60 (
), or 100 (
) rpm. Significant differences are omitted for visual clarity. PH-101 was used in the filler material.
), 60 (
), or 100 (
) rpm. Significant differences are omitted for visual clarity. PH-101 was used in the filler material.

), 60 (
), or 100 (
) rpm to a target thickness of 2.1 mm without precompression. Significant differences are omitted for visual clarity. PH-101 was used in the filler material.
), 60 (
), or 100 (
) rpm to a target thickness of 2.1 mm without precompression. Significant differences are omitted for visual clarity. PH-101 was used in the filler material.
| Component | MCC Tablets (%, w/w) | SMCC Tablets (%, w/w) | Cushioning Layer (%, w/w) |
|---|---|---|---|
| Pellets | 24.0 | 24.0 | - |
| PH-101 | 62.0 [81.6] | - | 86.0 |
| SMCC | - | 62.0 [81.6] | - |
| Polyethylene glycol 3350 | 7.5 [9.9] | 7.5 [9.9] | 7.5 |
| SSF | 0.5 [0.7] | 0.5 [0.7] | 0.5 |
| Kollidon VA 64 Fine | 5.0 [6.6] | 5.0 [6.6] | 5.0 |
| Sodium starch glycolate | 1.0 [1.3] | 1.0 [1.3] | 1.0 |
| Tableting Rate (rpm) | Dwell Time (ms) | Tableting Output (Tablets/h) |
|---|---|---|
| 20 | 28 | 36,000 |
| 60 | 9 | 108,000 |
| 100 | 6 | 180,000 |
| Pellet Property | AC | EC |
|---|---|---|
| Aspect ratio | 1.11 ± 0.08 | 1.11 ± 0.08 |
| Roundness | 1.09 ± 0.02 | 1.09 ± 0.02 |
| D50 (μm) | 785.37 | 792.76 |
| Span | 0.13 | 0.12 |
| True density (g/cm3) | 1.48 ± 0.01 | 1.41 ± 0.00 |
| Sugar core D50 (μm) | 647.01 | |
| Drug layered pellet D50 (μm) | 760.98 | |
| Drug layer thickness (μm) | 56.99 | |
| Coat thickness (μm) | 12.20 | 15.89 |
| Approximate pellet weight (g) | ~0.30 (100%) | |
| Approximate sustained release coat weight (g) Approximate sugar core weight (g) | ~0.03 (9%) ~0.16 (52%) | |
| Approximate drug layer weight (g) | ~0.12 (39%) | |
| Crushing strength (MPa) | 12.23 ± 1.47 | 11.63 ± 1.77 |
| Elastic modulus (MPa) | 148.35 ± 22.01 | 129.79 ± 19.35 |
| Compression energy (mJ) | 0.34 ± 0.12 | 0.29 ± 0.09 |
| MDTUC | 108.29 ± 2.42 | 124.51 ± 0.72 |
| Precompression Level (MPa) | AC | EC | ||
|---|---|---|---|---|
| PH-101 | SMCC | PH-101 | SMCC | |
| 0 | 17.36 ± 0.12 | 16.64 ± 0.09 | 17.49 ± 0.10 | 16.84 ± 0.15 |
| 7.5 | 17.30 ± 0.14 | 16.83 ± 0.03 | 17.46 ± 0.07 | 16.93 ± 0.03 |
| 15.0 | 17.43 ± 0.19 | 16.84 ± 0.18 | 17.43 ± 0.05 | 16.80 ± 0.11 |
Disclaimer/Publisher’s Note: The statements, opinions and data contained in all publications are solely those of the individual author(s) and contributor(s) and not of MDPI and/or the editor(s). MDPI and/or the editor(s) disclaim responsibility for any injury to people or property resulting from any ideas, methods, instructions or products referred to in the content. |
© 2025 by the authors. Licensee MDPI, Basel, Switzerland. This article is an open access article distributed under the terms and conditions of the Creative Commons Attribution (CC BY) license (https://creativecommons.org/licenses/by/4.0/).
Share and Cite
Thio, D.R.; Heng, P.W.S.; Chan, L.W. Impact of Compaction Parameters and Techniques on MUPS Tablets. Pharmaceutics 2025, 17, 1347. https://doi.org/10.3390/pharmaceutics17101347
Thio DR, Heng PWS, Chan LW. Impact of Compaction Parameters and Techniques on MUPS Tablets. Pharmaceutics. 2025; 17(10):1347. https://doi.org/10.3390/pharmaceutics17101347
Chicago/Turabian StyleThio, Daniel Robin, Paul Wan Sia Heng, and Lai Wah Chan. 2025. "Impact of Compaction Parameters and Techniques on MUPS Tablets" Pharmaceutics 17, no. 10: 1347. https://doi.org/10.3390/pharmaceutics17101347
APA StyleThio, D. R., Heng, P. W. S., & Chan, L. W. (2025). Impact of Compaction Parameters and Techniques on MUPS Tablets. Pharmaceutics, 17(10), 1347. https://doi.org/10.3390/pharmaceutics17101347

