Whole-Body Physiologically Based Pharmacokinetic Modeling of GalNAc-Conjugated siRNAs
Abstract
1. Introduction
2. Methods and Materials
2.1. Model Development and Software
2.2. Extravasation Model
2.3. ASGPR-Mediated Uptake by TMDD Model
2.4. Pharmacodynamics
2.5. Model Strategy and Assumptions
2.6. Model Evaluation
3. Results
3.1. Characterization of Extravasation via Two-Pore Formalism
3.2. Characterization of General Tissue Distribution and Plasma Concentration
3.3. Recalibration of TMDD Model Parameters
3.4. Characterization of Liver-Tissue Concentrations
3.5. siRNA-Induced RISC Formation
3.6. Characterization of Kidney Tissue Distribution
3.7. PK-PD Relationship
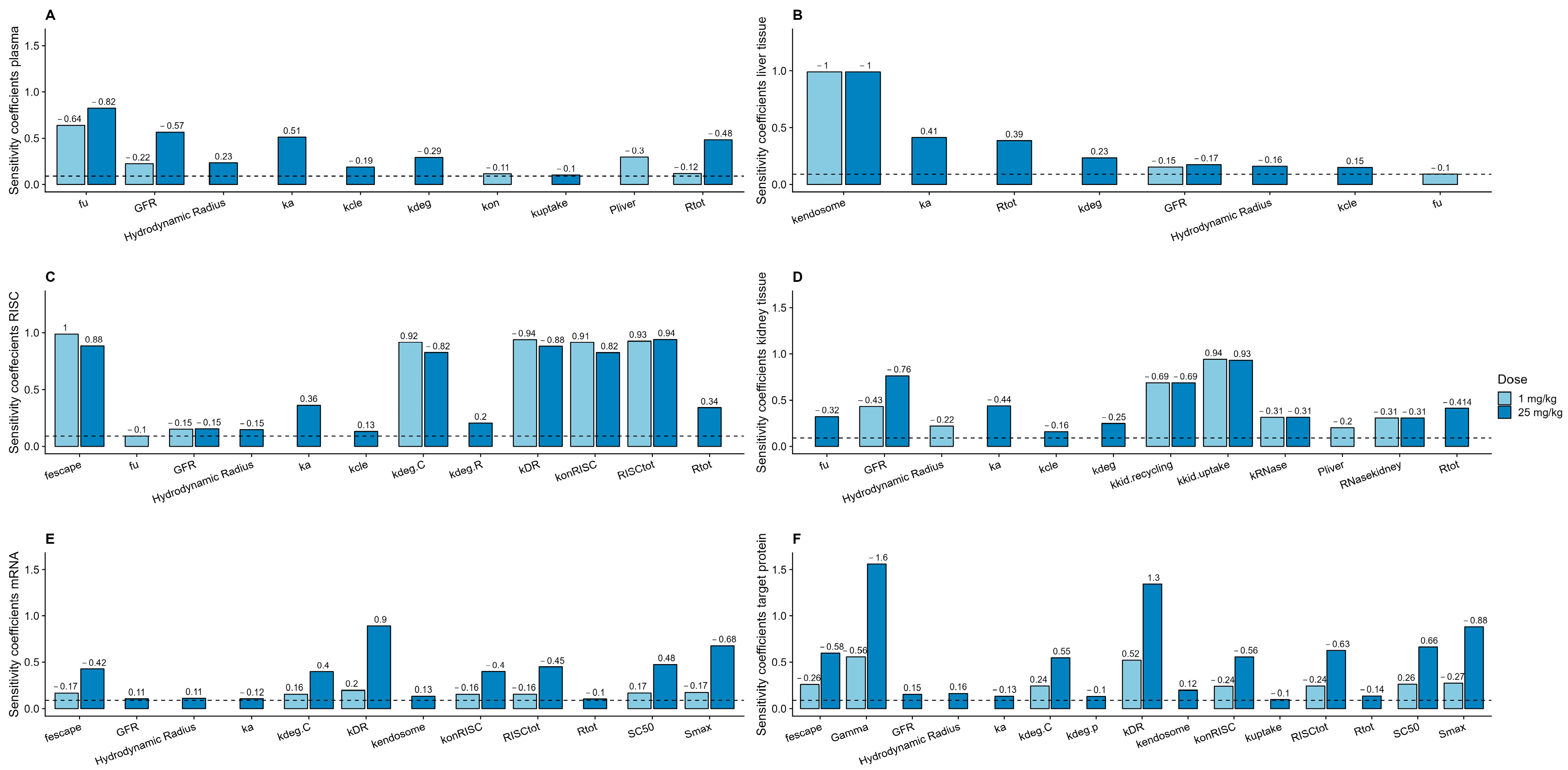
3.8. Sensitivity Analysis
4. Discussion
5. Conclusions
Supplementary Materials
Author Contributions
Funding
Institutional Review Board Statement
Informed Consent Statement
Data Availability Statement
Conflicts of Interest
References
- Zhang, M.M.; Bahal, R.; Rasmussen, T.P.; Manautou, J.E.; Zhong, X.B. The growth of siRNA-based therapeutics: Updated clinical studies. Biochem. Pharmacol. 2021, 189, 114432. [Google Scholar] [CrossRef] [PubMed]
- Setten, R.L.; Rossi, J.J.; Han, S.P. The current state and future directions of RNAi-based therapeutics. Nat. Rev. Drug Discov. 2019, 18, 421–446. [Google Scholar] [CrossRef] [PubMed]
- Brown, C.R.; Gupta, S.; Qin, J.; Racie, T.; He, G.; Lentini, S.; Malone, R.; Yu, M.; Matsuda, S.; Shulga-Morskaya, S.; et al. Investigating the pharmacodynamic durability of GalNAc-siRNA conjugates. Nucleic Acids Res. 2020, 48, 11827–11844. [Google Scholar] [CrossRef] [PubMed]
- Nair, J.K.; Willoughby, J.L.; Chan, A.; Charisse, K.; Alam, M.R.; Wang, Q.; Hoekstra, M.; Kandasamy, P.; Kel’in, A.V.; Milstein, S.; et al. Multivalent N-acetylgalactosamine-conjugated siRNA localizes in hepatocytes and elicits robust RNAi-mediated gene silencing. J. Am. Chem. Soc. 2014, 136, 16958–16961. [Google Scholar] [CrossRef] [PubMed]
- Li, J.; Liu, J.; Zhang, X.; Clausen, V.; Tran, C.; Arciprete, M.; Wang, Q.; Rocca, C.; Guan, L.-H.; Zhang, G.; et al. Nonclinical Pharmacokinetics and Absorption, Distribution, Metabolism, and Excretion of Givosiran, the First Approved N-Acetylgalactosamine-Conjugated RNA Interference Therapeutic. Drug Metab. Dispos. 2021, 49, 572–580. [Google Scholar] [CrossRef] [PubMed]
- Friedrich, M.; Aigner, A. Therapeutic siRNA: State-of-the-Art and Future Perspectives. BioDrugs 2022, 36, 549–571. [Google Scholar] [CrossRef]
- Cui, H.; Zhu, X.; Li, S.; Wang, P.; Fang, J. Liver-Targeted Delivery of Oligonucleotides with N-Acetylgalactosamine Conjugation. ACS Omega 2021, 6, 16259–16265. [Google Scholar] [CrossRef] [PubMed]
- Ayyar, V.S.; Song, D.; Zheng, S.; Carpenter, T.; Heald, D.L. Minimal Physiologically Based Pharmacokinetic-Pharmacodynamic (mPBPK-PD) Model of N-Acetylgalactosamine-Conjugated Small Interfering RNA Disposition and Gene Silencing in Preclinical Species and Humans. J. Pharmacol. Exp. Ther. 2021, 379, 134–146. [Google Scholar] [CrossRef] [PubMed]
- Smith, S.B.; Cui, Y.; Bustamante, C. Overstretching B-DNA: The elastic response of individual double-stranded and single-stranded DNA molecules. Science 1996, 271, 795–799. [Google Scholar] [CrossRef] [PubMed]
- Baumann, C.G.; Smith, S.B.; Bloomfield, V.A.; Bustamante, C. Ionic effects on the elasticity of single DNA molecules. Proc. Natl. Acad. Sci. USA 1997, 94, 6185–6190. [Google Scholar] [CrossRef]
- Hansen, K.M.; Ji, H.F.; Wu, G.; Datar, R.; Cote, R.; Majumdar, A.; Thundat, T. Cantilever-based optical de-flection assay for discrimination of DNA single-nucleotide mismatches. Anal. Chem. 2001, 73, 1567–1571. [Google Scholar] [CrossRef] [PubMed]
- Sinden, R.R.; Pearson, C.E.; Potaman, V.N.; Ussery, D.W. DNA: Structure and function. In Genes and Genomes; Advances in Genome Biology; Elsevier: Amsterdam, The Netherlands, 1998; Volume 5, pp. 1–141. [Google Scholar]
- Niederalt, C.; Kuepfer, L.; Solodenko, J.; Eissing, T.; Siegmund, H.U.; Block, M.; Willmann, S.; Lippert, J. A generic whole body physiologically based pharmacokinetic model for therapeutic proteins in PK-Sim. J Pharmacokinet. Pharmacodyn. 2018, 45, 235–257. [Google Scholar] [CrossRef]
- Sehgal, A.; Barros, S.; Ivanciu, L.; Cooley, B.; Qin, J.; Racie, T.; Hettinger, J.; Carioto, M.; Jiang, Y.; Brodsky, J.; et al. An RNAi therapeutic targeting antithrombin to rebalance the coagulation system and promote hemostasis in hemophilia. Nat. Med. 2015, 21, 492–497. [Google Scholar] [CrossRef] [PubMed]
- Nair, J.K.; Attarwala, H.; Sehgal, A.; Wang, Q.; Aluri, K.; Zhang, X.; Gao, M.; Liu, J.; Indrakanti, R.; Schofield, S.; et al. Impact of enhanced meta-bolic stability on pharmacokinetics and pharmacodynamics of GalNAc-siRNA conjugates. Nucleic Acids Res. 2017, 45, 10969–10977. [Google Scholar] [CrossRef] [PubMed]
- R: Development Core Team. R: A Language and Environment for Statistical Computing, version 4.4.1; R Foundation for Statistical Computing: Vienna, Austria, 2022. [Google Scholar]
- Krzyzanski, W.; Harrold, J.M.; Wu, L.S.; Perez-Ruixo, J.J. A cell-level model of pharmacodynamics-mediated drug disposition. J. Pharmacokinet. Pharmacodyn. 2016, 43, 513–527. [Google Scholar] [CrossRef]
- Sato, H.; Kato, Y.; Hayashi, E.; Tabata, T.; Suzuki, M.; Takahara, Y.; Sugiyama, Y. A novel hepatic-targeting system for therapeutic cytokines that delivers to the hepatic asialoglycoprotein receptor, but avoids receptor-mediated endocytosis. Pharm. Res. 2002, 19, 1736–1744. [Google Scholar] [CrossRef] [PubMed]
- Schwartz, A.L.; Fridovich, S.E.; Lodish, H.F. Kinetics of internalization and recycling of the asialo-glycoprotein receptor in a hepatoma cell line. J. Biol. Chem. 1982, 257, 4230–4237. [Google Scholar] [CrossRef] [PubMed]
- Prakash, T.P.; Graham, M.J.; Yu, J.; Carty, R.; Low, A.; Chappell, A.; Schmidt, K.; Zhao, C.; Aghajan, M.; Murray, H.F.; et al. Targeted delivery of anti-sense oligonucleotides to hepatocytes using triantennary N-acetyl galactosamine improves potency 10-fold in mice. Nucleic Acids Res. 2014, 42, 8796–8807. [Google Scholar] [CrossRef] [PubMed]
- Wang, D.; Zhang, Z.; O’Loughlin, E.; Lee, T.; Houel, S.; O’Carroll, D.; Tarakhovsky, A.; Ahn, N.G.; Yi, R. Quantitative functions of Argonaute proteins in mammalian development. Genes Dev. 2012, 26, 693–704. [Google Scholar] [CrossRef] [PubMed]
- Bartlett, D.W.; Davis, M.E. Insights into the kinetics of siRNA-mediated gene silencing from live-cell and live-animal bioluminescent imaging. Nucleic Acids Res. 2006, 34, 322–333. [Google Scholar] [CrossRef]
- Bon, C.; Hofer, T.; Bousquet-Mélou, A.; Davies, M.R.; Krippendorff, B.F. Capacity limits of asialo-glycoprotein receptor-mediated liver targeting. MAbs 2017, 9, 1360–1369. [Google Scholar] [CrossRef] [PubMed]
- Agarwal, S.; Allard, R.; Darcy, J.; Chigas, S.; Gu, Y.; Nguyen, T.; Bond, S.; Chong, S.; Wu, J.-T.; Janas, M.M. Impact of Serum Proteins on the Uptake and RNAi Activity of GalNAc-Conjugated siRNAs. Nucleic Acid Ther. 2021, 31, 309–315. [Google Scholar] [CrossRef] [PubMed]
- McDougall, R.; Ramsden, D.; Agarwal, S.; Agarwal, S.; Aluri, K.; Arciprete, M.; Brown, C.; Castellanos-Rizaldos, E.; Charisse, K.; Chong, S.; et al. The Nonclinical Disposition and Pharmacokinetic/Pharmacodynamic Properties of N-Acetylgalactosamine-Conjugated Small Interfering RNA Are Highly Predictable and Build Confidence in Translation to Human. Drug Metab. Dispos. 2022, 50, 781–797. [Google Scholar] [CrossRef] [PubMed]
- Lumen, A.; Zhang, X.; Dutta, S.; Upreti, V.V. Predicting Clinical Pharmacokinet-ics/Pharmacodynamics and Impact of Organ Impairment on siRNA-Based Therapeutics Using a Mechanis-tic Physiologically-Based Pharmacokinetic-Pharmacodynamic Model. Clin. Pharmacol. Ther. 2024, 50, 781–797. [Google Scholar]
- Nie, H.; Liu, X.M.; Yang, Q.X.; Luo, X.D.; Zhao, Y.; Zhang, S.Y. Effect of hydrophile-lipophile balance of the linker in Gal/GalNAc ligands on high-affinity binding of galactosylated liposomes by the asialogly-coprotein receptor. Int. J. Pharm. 2022, 624, 121967. [Google Scholar] [CrossRef] [PubMed]
- Open System Pharmacology. Sensitivity Analysis. 2022. Available online: https://docs.open-systems-pharmacology.org/shared-tools-and-example-workflows/sensitivity-analysis (accessed on 1 June 2024).
- WHO. Characterization and Application of Physiologically Based Pharmacokinetic Models in Risk Assessment; Harmonization Document No. 9; World Health Organization, International Programme on Chemical Safety: Geneva, Switzerland, 2010; Available online: https://www.inchem.org/documents/harmproj/harmproj/harmproj9.pdf (accessed on 13 June 2024).
- Davda, J.P.; Jain, M.; Batra, S.K.; Gwilt, P.R.; Robinson, D.H. A physiologically based pharmacokinet-ic (PBPK) model to characterize and predict the disposition of monoclonal antibody CC49 and its single chain Fv constructs. Int. Immunopharmacol. 2008, 8, 401–413. [Google Scholar] [CrossRef] [PubMed]
- Kim, D.; Whang, C.H.; Hong, J.; Prayogo, M.C.; Jung, W.; Lee, S.; Shin, H.; Kim, Y.; Yu, J.; Kim, M.J.; et al. Glycocalyx-Mimicking Nano-particles with Differential Organ Selectivity for Drug Delivery and Therapy. Adv. Mater. 2024, 36, e2311283. [Google Scholar] [CrossRef]
- Spillings, B.L.; Day, C.J.; Garcia-Minambres, A.; Aggarwal, A.; Condon, N.D.; Haselhorst, T.; Purcell, D.F.J.; Turville, S.G.; Stow, J.L.; Jennings, M.P.; et al. Host glycocalyx captures HIV proximal to the cell surface via oligomannose-GlcNAc glycan-glycan interac-tions to support viral entry. Cell Rep. 2022, 38, 110296. [Google Scholar] [CrossRef]
- Huang, Y.; Cheng, Q.; Ji, J.L.; Zheng, S.; Du, L.; Meng, L.; Wu, Y.; Zhao, D.; Wang, X.; Lai, L.; et al. Pharmacokinetic Behaviors of Intra-venously Administered siRNA in Glandular Tissues. Theranostics 2016, 6, 1528–1541. [Google Scholar] [CrossRef] [PubMed]
- Huang, Y. Preclinical and Clinical Advances of GalNAc-Decorated Nucleic Acid Therapeutics. Mol. Ther. Nucleic Acids 2017, 6, 116–132. [Google Scholar] [CrossRef]
- Fischer, S.; Cabrera-Fuentes, H.A.; Noll, T.; Preissner, K.T. Impact of extracellular RNA on endo-thelial barrier function. Cell Tissue Res. 2014, 355, 635–645. [Google Scholar] [CrossRef] [PubMed]
- Ayyar, V.S.; Song, D. Mechanistic pharmacokinetics and pharmacodynamics of GalNAc-siRNA: Translational model involving competitive receptor-mediated disposition and RISC-dependent gene silencing applied to givosiran. J. Pharm. Sci. 2023, 113, 176–190. [Google Scholar] [CrossRef] [PubMed]
- Clua, A.; Grijalvo, S.; Erande, N.; Gupta, S.; Yucius, K.; Gargallo, R.; Mazzini, S.; Manoharan, M.; Eritja, R. Properties of Parallel Tetramolecular G-Quadruplex Carrying N-Acetylgalactosamine as Potential Enhancer for Oligonucleotide Delivery to Hepatocytes. Molecules 2022, 27, 3944. [Google Scholar] [CrossRef] [PubMed]
- Kalai, M.; Montero-Julian, F.A.; Grötzinger, J.; Fontaine, V.; Vandenbussche, P.; Deschuyteneer, R.; Wollmer, A.; Brailly, H.; Content, J. Analysis of the human interleukin-6/human interleukin-6 receptor binding interface at the amino acid level: Proposed mechanism of interaction. Blood 1997, 89, 1319–1333. [Google Scholar] [CrossRef] [PubMed]
- Svecla, M.; Nour, J.; Bladergroen, M.R.; Nicolardi, S.; Zhang, T.; Beretta, G.; Wuhrer, M.; Norata, G.D.; Falck, D. Impact of Asialogly-coprotein Receptor and Mannose Receptor Deficiency on Murine Plasma N-glycome Profiles. Mol. Cell. Proteom. 2023, 22, 100615. [Google Scholar] [CrossRef] [PubMed]
- Taylor, M.E.; Snelling, T.; Smith, D.F.; Drickamer, K. Absence of a human ortholog of rodent Kupffer cell galactose-binding receptor encoded by the CLEC4f gene. Glycobiology 2019, 29, 332–345. [Google Scholar] [CrossRef]







| Compound | Target | Design | Administration/Dose | Measurement | Reference |
|---|---|---|---|---|---|
| ALN-AT3 (Fitusiran phase III) | Antithrombin | ESC a | SC b 1–5 mg/kg | Plasma, liver, liver mRNA, serum antithrombin | Sehgal et al., 2015 [14]; Nair et al., 2017 [15] |
| SIAT-2 (investigational) | Antithrombin | Assumed ESC a | SC b 2.5–25 mg/kg | Plasma, liver, liver mRNA, RISC d | Nair et al., 2017 [15] |
| siF7-1 (investigational) | Coagulation Factor VII | ESC a | SC b 2.5 mg/kg | Liver, liver mRNA, RISC d | Brown et al., 2020 [3] |
| siF7-2/siF7-3 (investigational) | Coagulation Factor VII | Advanced ESC a | SC b 0.75, 1 mg/kg | Liver, liver mRNA, RISC d | Brown et al., 2020 [3] |
| siF9-1 (investigational) | Coagulation Factor IX | ESC a | SC b 2.5 mg/kg | Liver, liver mRNA, RISC d | Brown et al., 2020 [3] |
| siF9-2 (investigational) | Coagulation Factor IX | Advanced ESC a | SC b 0.75 mg/kg | Liver, liver mRNA, RISC d | Brown et al., 2020 [3] |
| SITTR-1/SITTR-2 (investigational) | Transthyretin protein | ESC a | SC b 0.5, 1.5 mg/kg SC b, IV c 10 mg/kg | Plasma, liver, liver, mRNA (SC), serum transthyretin protein | Nair et al., 2017 [15]; Brown et al., 2020 [3] |
| ASGPR TMDD Parameters | |||
|---|---|---|---|
| Parameter (Unit) | Description | Value | Reference |
| Rtot (μmol/L) | Total ASGPR density | 5.23 | Optimized |
| kon (L/nmol/h) | Association rate constant between GalNAc-siRNA and ASGPR | 0.53 | Ayyar et al., 2021 [8] |
| koff (h−1) | Dissociation rate constant between GalNAc-siRNA and ASGPR | 1.53 | Sato et al., 2002 [18] |
| kdeg·R (h−1) | Degradation rate constant of ASGPR in cytoplasm | 1.53 | Schwartz et al., 1982 [19] |
| kdeg (h−1) | Degradation rate constant of ASGPR on hepatocyte | 1.52 | Optimized |
| ksyn (h−1) | Synthesis rate constant of ASGPR | 7.94 | ksyn =Rtot · kdeg |
| kint (h−1) | Internalization rate constant of GalNAc-siRNA-ASGPR complex | 5.14 | Optimized |
| kcle (h−1) | Cleavage rate constant of GalNAc-siRNA in endosome | 1.32 | Prakash et al., 2014 [20] |
| krec (h−1) | Recycling rate constant of ASGPR | 13.8 | Schwartz et al., 1982 [19] |
| kdeg.C (h−1) | siRNA degradation rate constant in cytoplasm | 0.10 a | Fixed |
| RISCtot (μmol/L) | Total RISC concentration | 0.0003 | Wang et al., 2012 [21] |
| Koff.RISC (h−1) | Dissociation rate constant of siRNA antisense strand and RISC | 1 × 10−7 | Barlett and Davis 2006 [22] |
| kDR (h−1) | Degradation rate constant of RISC complex | 0.0033 | Optimized |
| Global PBPK Parameters | |||
| Parameter (Unit) | Description | Value | Reference |
| ka (h−1) | Absorption rate constant | 0.84 | Optimized |
| fu | Fraction of free GalNAc-siRNA in plasma | 1.00 | Optimized |
| Pliver (cm/min) | Endothelial permeability | 0.02 | Optimized |
| Kp | Partition coefficient between plasma and interstitial space | 0.94 | Niederalt et al., 2018 [13] |
| kuptake (min−1) | Global endosomal uptake rate in remaining tissue | 20.87 | Optimized |
| krecycling (min−1) | Global endosomal recycling rate constant in remaining tissue | 0.000077 | Optimized |
| kkid.uptake (min−1) | Kidney endosomal uptake rate constant in remaining tissue | 68.2 | Optimized |
| kkid.recycling (min−1) | Kidney endosomal recycling rate constant in remaining tissue | 0.00039 | Optimized |
| kRNase (h−1) | Ribonuclease degradation rate constant | 0.00012 | Optimized |
| RNasekidney (μmol/L) | Ribonuclease concentration in kidney tissue | 1.17 | Optimized |
| RNaseremaining (μmol/L) | Ribonuclease concentration in remaining tissue | 0.17 | Optimized |
| Parameter | Description | ALN-AT3/SIAT-2 a (1–25 mg/kg) ESC e | SITTR-1/2 b (0.5–10 mg/kg) ESC e | siF7-1 c (2.5 mg/kg) ESC e | siF7-2/3 c (0.75–1 mg/kg) ADV ESC f | siF9-1 d (2.5 mg/kg) ESC e | siF9-2 d (0.75 mg/kg) ADV ESC f |
|---|---|---|---|---|---|---|---|
| Compound-Specific PBPK Parameters | |||||||
| F (%) | Bioavailability | 40.1/73.0 | 63.2 | 10.2 | 19.5 | 5.0 | 10.3 |
| kendosome (1/h) | Endosomal degradation rate for siRNA | 0.012 | 0.042 | 0.010 | 0.0066 | 0.0066 | 0.0042 |
| kon.RISC (L/nmol/h) | Association rate constant of siRNA antisense strand and RIS | 0.00027 | 0.0014 | ||||
| Pharmacodynamic Parameters | |||||||
| Smax | Maximum stimulation of mRNA degradation | 13.1 | 140.2 | 85.5 | 40.5 | ||
| SC50 (nmol/L) | RISC-loaded siRNA at half-maximal stimulation | 3.52 | 4.07 | 1.71 | |||
| Gamma | Gamma coefficient for target protein knockdown | 1.5 g | 0.42 | 1.5 g | |||
| kdeg.mRNA (1/h) | Degradation rate constant for mRNA | 0.06 g | |||||
| kdeg.Protein (1/h) | Degradation rate target for protein | 0.05 g | |||||
Disclaimer/Publisher’s Note: The statements, opinions and data contained in all publications are solely those of the individual author(s) and contributor(s) and not of MDPI and/or the editor(s). MDPI and/or the editor(s) disclaim responsibility for any injury to people or property resulting from any ideas, methods, instructions or products referred to in the content. |
© 2025 by the authors. Licensee MDPI, Basel, Switzerland. This article is an open access article distributed under the terms and conditions of the Creative Commons Attribution (CC BY) license (https://creativecommons.org/licenses/by/4.0/).
Share and Cite
Salim, E.L.; Kristensen, K.; Sjögren, E. Whole-Body Physiologically Based Pharmacokinetic Modeling of GalNAc-Conjugated siRNAs. Pharmaceutics 2025, 17, 69. https://doi.org/10.3390/pharmaceutics17010069
Salim EL, Kristensen K, Sjögren E. Whole-Body Physiologically Based Pharmacokinetic Modeling of GalNAc-Conjugated siRNAs. Pharmaceutics. 2025; 17(1):69. https://doi.org/10.3390/pharmaceutics17010069
Chicago/Turabian StyleSalim, Emilie Langeskov, Kim Kristensen, and Erik Sjögren. 2025. "Whole-Body Physiologically Based Pharmacokinetic Modeling of GalNAc-Conjugated siRNAs" Pharmaceutics 17, no. 1: 69. https://doi.org/10.3390/pharmaceutics17010069
APA StyleSalim, E. L., Kristensen, K., & Sjögren, E. (2025). Whole-Body Physiologically Based Pharmacokinetic Modeling of GalNAc-Conjugated siRNAs. Pharmaceutics, 17(1), 69. https://doi.org/10.3390/pharmaceutics17010069

