Development and Application of Physiologically-Based Pharmacokinetic Model to Predict Systemic and Organ Exposure of Colorectal Cancer Drugs
Abstract
1. Introduction
2. Materials and Methods
2.1. Software
2.2. Clinical Literature Data
2.3. PBPK Model Development
2.4. Virtual Population
2.5. Model Evaluation
2.6. Model Exploration
2.7. Model Assumptions and Limitations
3. Results
3.1. Data Description
3.2. PBPK Model Development
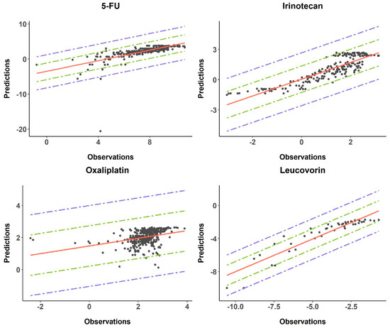
3.3. Model Evaluation
3.4. Model Exploration
4. Discussion
Supplementary Materials
Author Contributions
Funding
Institutional Review Board Statement
Informed Consent Statement
Data Availability Statement
Acknowledgments
Conflicts of Interest
References
- Sawicki, T.; Ruszkowska, M.; Danielewicz, A. Factors, Development, Symptoms and Diagnosis. 2025; 1–23. [Google Scholar]
- Zaborowski, A.M.; Winter, D.C.; Lynch, L. The therapeutic and prognostic implications of immunobiology in colorectal cancer: A review. Br. J. Cancer 2021, 125, 1341–1349. [Google Scholar] [CrossRef] [PubMed]
- Marques, R.P.; Duarte, G.S.; Sterrantino, C.; Pais, H.L.; Quintela, A.; Martins, A.P.; Costa, J. Triplet (FOLFOXIRI) versus doublet (FOLFOX or FOLFIRI) backbone chemotherapy as first-line treatment of metastatic colorectal cancer: A systematic review and meta-analysis. Crit. Rev. Oncol. Hematol. 2017, 118, 54–62. [Google Scholar] [CrossRef] [PubMed]
- Chabot, G.G. Clinical pharmacokinetics of irinotecan. Clin. Pharmacokinet. 1997, 33, 245–259. [Google Scholar] [CrossRef] [PubMed]
- Townsend, D. Oxaliplatin. In xPharm: The Comprehensive Pharmacology Reference; Elsevier: Amsterdam, The Netherlands, 2007; Volume 38, pp. 1–4. [Google Scholar] [CrossRef]
- Zittoun, J.; Tonelli, A.P.; Marquet, J.; De Gialluly, E.; Hancock, C.; Yacobi, A.; Johnson, J.B. Pharmacokinetic comparison of leucovorin and levoleucovorin. Eur. J. Clin. Pharmacol. 1993, 44, 569–573. [Google Scholar] [CrossRef]
- Diasio, R.B.; Harris, B.E. Clinical Pharmacology of 5-Fluorouracil. Clin. Pharmacokinet. 1989, 16, 215–237. [Google Scholar] [CrossRef]
- McDermott, B.J.; van den Berg, H.W.; Murphy, R.F. Nonlinear pharmacokinetics for the elimination of 5-fluorouracil after intravenous administration in cancer patients. Cancer Chemother. Pharmacol. 1982, 9, 173–178. [Google Scholar] [CrossRef]
- Kuepfer, L.; Niederalt, C.; Wendl, T.; Schleander, J.F.; Willmann, S.; Lippert, J.; Block, M.; Eissing, T.; Teutonico, D. Applied Concepts in PBPK Modeling: How to Build a PBPK/PD Model. CPT Pharmacomet. Syst. Pharmacol. 2016, 5, 516–531. [Google Scholar] [CrossRef]
- Frechen, S.; Rostami-Hodjegan, A. Quality Assurance of PBPK Modeling Platforms and Guidance on Building, Evaluating, Verifying and Applying PBPK Models Prudently under the Umbrella of Qualification: Why, When, What, How and by Whom? Pharm. Res. 2022, 39, 1733–1748. [Google Scholar] [CrossRef]
- Borner, M.; Schöffski, P.; de Wit, R.; Caponigro, F.; Comella, G.; Sulkes, A.; Greim, G.; Peters, G.; van der Born, K.; Wanders, J.; et al. Patient preference and pharmacokinetics of oral modulated UFT versus intravenous fluorouracil and leucovorin. Eur. J. Cancer 2002, 38, 349–358. [Google Scholar] [CrossRef]
- Casale, F.; Canaparo, R.; Serpe, L.; Muntoni, E.; Della Pepa, C.; Costa, M.; Mairone, L.; Zara, G.P.; Fornari, G.; Eandi, M. Plasma concentrations of 5-fluorouracil and its metabolites in colon cancer patients. Pharmacol. Res. 2004, 50, 173–179. [Google Scholar] [CrossRef] [PubMed]
- Czejka, M.J.; Schuller, J.; Jager, W.; Fogl, U.; Weiss, C. Influence of different doses of interferon-α-2b on the blood plasma levels of 5-fluorouracil. Eur. J. Drug Metab. Pharmacokinet. 1993, 18, 247–250. [Google Scholar] [CrossRef] [PubMed]
- Paolo, A.D.; Danesi, R.; Vannozzi, F.; Falcone, A.; Mini, E.; Cionini, L.; Ibrahim, T.; Amadori, D.; Del Tacca, M. Limited sampling model for the analysis of 5-fluorouracil pharmacokinetics in adjuvant chemotherapy for colorectal cancer. Clin. Pharmacol. Ther. 2002, 72, 627–637. [Google Scholar] [CrossRef] [PubMed]
- Gusella, M.; Rebeschini, M.; Cartei, G.; Ferrazzi, E.; Ferrari, M.; Padrini, R. Effect of Hemodialysis on the Metabolic Clearance of 5-Fluorouracil in a Patient with End-Stage Renal Failure. Ther. Drug Monit. 2005, 27, 816–818. [Google Scholar] [CrossRef]
- Joel, S.P.; Papamichael, D.; Richards, F.; Davis, T.; Aslanis, V.; Chatelut, E.; Locke, K.; Slevin, M.L.; Seymour, M.T. Lack of pharmacokinetic interaction between 5-fluorouracil and oxaliplatin. Clin. Pharmacol. Ther. 2004, 76, 45–54. [Google Scholar] [CrossRef]
- Saleem, A.; Aboagye, E.O.; Matthews, J.C.; Price, P.M. Plasma pharmacokinetic evaluation of cytotoxic agents radiolabelled with positron emitting radioisotopes. Cancer Chemother. Pharmacol. 2008, 61, 865–873. [Google Scholar] [CrossRef]
- Sugarbaker, P.H.; Stuart, O.A. Perioperative FOLFOX in management of peritoneal metastases of colorectal cancer. Int. J. Surg. Case Rep. 2020, 75, 279–285. [Google Scholar] [CrossRef]
- Woloch, C.; Paolo ADi Marouani, H.; Bocci, G.; Ciccolini, J.; Lacarelle, B.; Danesi, R.; Iliadis, A. Population Pharmacokinetic Analysis of 5-FU and 5-FDHU in Colorectal Cancer Patients: Search for Biomarkers Associated with Gastro-Intestinal Toxicity. Curr. Top. Med. Chem. 2012, 12, 1713–1719. [Google Scholar] [CrossRef]
- Wright, K.D.; Daryani, V.M.; Turner, D.C.; Onar-thomas, A.; Boulos, N.; Orr, B.A.; Gilbertson, R.J.; Stewart, C.F.; Gajjar, A. Phase I study of 5-fluorouracil in children and young adults with recurrent ependymoma. Neuro-Oncology 2015, 17, 1620–1627. [Google Scholar] [CrossRef]
- Atasilp, C.; Chansriwong, P.; Sirachainan, E.; Reungwetwattana, T.; Puangpetch, A.; Prommas, S.; Sirilerttrakul, S.; Rerkarmnuaychoke, B.; Wongwaisayawan, S.; Sukasem, C. Determination of irinotecan, SN-38 and SN-38 glucuronide using HPLC/MS/MS: Application in a clinical pharmacokinetic and personalized medicine in colorectal cancer patients. J. Clin. Lab. Anal. 2018, 32, 3–6. [Google Scholar] [CrossRef]
- Chabot, G.G.; Abigerges, D.; Catimel, G.; Culine, S.; De Forni, M.; Extra, J.M.; Mahjoubi, M.; Hérait, P.; Armand, J.-P.; Bugat, R.; et al. Population pharmacokinetics and pharmacodynamics of irinotecan (CPT-11) and active metabolite SN-38 during phase I trials. Ann. Oncol. 1995, 6, 141–151. [Google Scholar] [CrossRef] [PubMed]
- Canal, P.; Gay, C.; Dezeuze, A.; Douillard, J.Y.; Bugat, R.; Brunet, R.; Adenis, A.; Herait, P.; Lokiec, F.; Mathieu-Boue, A. Pharmacokinetics and pharmacodynamics of irinotecan during a phase II clinical trial in colorectal cancer. J. Clin. Oncol. 1996, 14, 2688–2695. [Google Scholar] [CrossRef] [PubMed]
- Oyaga-iriarte, E. Population pharmacokinetic model of irinotecan and its metabolites in patients with metastatic colorectal cancer. Eur. J. Clin. Pharmacol. 2019, 75, 529–542. [Google Scholar] [CrossRef] [PubMed]
- Corona, G.; Vaccher, E.; Sandron, S.; Sartor, I.; Tirelli, U.; Innocenti, F.; Toffoli, G. Lopinavir-ritonavir dramatically affects the pharmacokinetics of irinotecan in HIV patients with Kaposi’s sarcoma. Clin. Pharmacol. Ther. 2008, 83, 601–606. [Google Scholar] [CrossRef] [PubMed]
- Gbolahan, O.B.; Neil, B.H.O.; Mcree, A.J.; Sanoff, H.K.; Fallon, J.K.; Smith, P.C.; Ivanova, A.; Moore, D.T.; Dumond, J.; Asher, G.N. A phase I evaluation of the effect of curcumin on limiting toxicity and pharmacokinetics of irinotecan in participants with solid tumors. Clin. Transl. Sci. 2022, 15, 1304–1315. [Google Scholar] [CrossRef]
- Javle, M.M.; Cao, S.; Durrani, F.A.; Pendyala, L.; Lawrence, D.D.; Smith, P.F.; Creaven, P.J.; Noel, D.C.; Iyer, R.V.; Rustum, Y.M. Cancer Therapy: Clinical Celecoxib and Mucosal Protection: T ranslation from an Animal Model to a Phase I Clinical T rial of Celecoxib, Irinotecan, and 5-Fluorouracil. Clin. Cancer Res. 2007, 13, 965–971. [Google Scholar] [CrossRef]
- Masuda, N.; Fukuoka, M.; Kudoh, S.; Kusunoki, Y.; Matsui, K.; Takifuji, N.; Nakagawa, K.; Tamanoi, M.; Nitta, T.; Hirashima, T.; et al. Phase I and pharmacologic study of irinotecan in combination with cisplatin for advanced lung cancer. Br. J. Cancer. 1993, 68, 777–782. [Google Scholar] [CrossRef][Green Version]
- Murren, J.R.; Distasio, S.A.; Le, J.J.; Pizzorno, G. Dose escalation and pharmacokinetic study of irinotecan in combination with paclitaxel in patients with advanced cancer. Cancer Chemother. Pharmacol. 2000, 46, 43–50. [Google Scholar] [CrossRef]
- Rothenberg, M.L.; Kuhn, J.G.; Burris, H.A.; Nelson, J.; Eckardt, J.R.; Tristan-Morales, M.; Hilsenbeck, S.G.; Weiss, G.R.; Smith, L.S.; I Rodriguez, G. Phase I and pharmacokinetic trial of weekly CPT-11. J. Clin. Oncol. 1993, 11, 2194–2204. [Google Scholar] [CrossRef]
- Suenaga, M.; Fuse, N.; Yamaguchi, T.; Yamanaka, Y.; Motomura, S.; Matsumoto, H.; Hamamoto, Y.; Mizunuma, N.; Doi, T.; Hatake, K.; et al. Pharmacokinetics, safety, and efficacy of FOLFIRI plus bevacizumab in Japanese colorectal cancer patients with UGT1A1 gene polymorphisms. J. Clin. Pharmacol. 2014, 54, 495–502. [Google Scholar] [CrossRef]
- Takahashi, T.; Fujiwara, Y.; Sumiyoshi, H.; Isobe, T.; Yamaoka, N.; Yamakido, M. Salivary drug monitoring of irinotecan and its active metabolite in cancer patients. Cancer Chemother. Pharmacol. 1997, 40, 449–452. [Google Scholar] [CrossRef] [PubMed]
- Wang, D.; Braiteh, F.; Lee, J.J.; Denlinger, C.S.; Shepard, D.R.; Chaudhary, A.; Lin, Y.; Gao, L.; Asakiewicz, C.; Nasroulah, F.; et al. Lack of pharmacokinetic drug–drug interaction between ramucirumab and irinotecan in patients with advanced solid tumors. Cancer Chemother. Pharmacol. 2016, 78, 727–733. [Google Scholar] [CrossRef] [PubMed]
- Sasaki, Y.; Yoshida, Y.; Sudoh, K.; Hakusui, H.; Fujii, H.; Ohtsu, T.; Wakita, H.; Igarashi, T.; Itoh, K. Pharmacological Correlation between total drug concentration and lactones of CPT-11 and SN-38 in patients treated with CPT-11. Jpn. J. Cancer Res. 1995, 86, 111–116. [Google Scholar] [CrossRef]
- Sasaki, Y.; Hakusui, H.; Mizuno, S.; Morita, M.; Miya, T.; Eguchi, K.; Shinkai, T.; Tamura, T.; Ohe, T.; Saijo, N. A pharmacokinetic and pharmacodynamic analysis of CPT-11 and its active metabolite SN-38. Jpn. J. Cancer Res. 1995, 86, 101–110. [Google Scholar] [CrossRef]
- Zhou, Q.; Sparreboom, A.; Tan, E.H.; Cheung, Y.B.; Lee, A.; Poon, D.; Lee, E.J.D.; Chowbay, B. Pharmacogenetic profiling across the irinotecan pathway in Asian patients with cancer. Br. J. Clin. Pharmacol. 2005, 59, 415–424. [Google Scholar] [CrossRef]
- Doroshow, J.H.; Synold, T.W.; Gandara, D.; Mani, S.; Remick, S.C.; Mulkerin, D.; Hamilton, A.; Sharma, S.; Ramanathan, R.K.; Lenz, H.J.; et al. Pharmacology of Oxaliplatin in Solid Tumor Patients with Hepatic Dysfunction: A Preliminary Report of the National. Semin. Oncol. 2003, 30, 14–19. [Google Scholar] [CrossRef]
- Morrison, J.G.; White, P.; Mcdougall, S.; Firth, J.W.; Woolfrey, S.G.; Graham, M.A.; Greenslade, D. Validation of a highly sensitive ICP-MS method for the determination of platinum in biofluids: Application to clinical pharmacokinetic studies with oxaliplatin. J. Pharm. Biomed. Anal. 2000, 24, 1–10. [Google Scholar] [CrossRef]
- Cho, H.-K.; Lee, E.-S.; Lee, J.-W.; Park, J.-K.; Kang, J.-H.; Lee, K.-S.; Shim, C.-K.; Chung, S.-J.; Kim, D.-D.; Kuh, H.-J. Clinical pharmacokinetics of oxaliplatin and 5-fluorouracil administered in combination with leucovorin in Korean patients with advanced colorectal cancer. J. Cancer Res. Clin. Oncol. 2006, 132, 320–326. [Google Scholar] [CrossRef]
- Kochi, M.; Fujii, M.; Kanamori, N.; Kaiga, T.; Okubo, R.; Mihara, Y.; Takayama, T. Pharmacokinetics of Oxaliplatin in Gastrointestinal Cancer Patients with Malignant Ascites. J. Chemother. 2011, 23, 28–31. [Google Scholar] [CrossRef]
- Massari, C.; Rotarski, M.; Misset, J.L.; Alafaci, E.; Bastian, G.; Cupissol, D.; Dutertre-Catella, H.; Brienza, S.; Gastiaburu, J. Pharmacokinetics of oxaliplatin in patients with normal versus impaired renal function. Cancer Chemother. Pharmacol. 2000, 45, 157–164. [Google Scholar] [CrossRef]
- Pérez-Ruixo, C.; Valenzuela, B.; Peris, J.E.; Bretcha-Boix, P.; Escudero-Ortiz, V.; Farré-Alegre, J. Population pharmacokinetics of hyperthermic intraperitoneal oxaliplatin in patients with peritoneal carcinomatosis after cytoreductive surgery. Cancer Chemother. Pharmacol. 2013, 71, 693–704. [Google Scholar] [CrossRef] [PubMed]
- Pieck, A.C.; Drescher, A.; Wiesmann, K.G.; Messerschmidt, J.; Weber, G.; Strumberg, D.; Hilger, R.A.; Scheulen, M.E.; Jaehde, U.; on behalf of in collaboration with Central European Society for Anticancer Drug Research-EWIV (CESAR). Oxaliplatin-DNA adduct formation in white blood cells of cancer patients. Br. J. Cancer 2008, 98, 1959–1965. [Google Scholar] [CrossRef] [PubMed]
- Shirao, K.; Matsumura, Y.; Yamada, Y.; Muro, K.; Gotoh, M.; Boku, N.; Hamilton, A.; Mulkerin, D.; Graham, M.; Lockwood, G.F.; et al. Phase I Study of Single-Dose Oxaliplatin in Japanese Patients with Malignant Tumors. Ultrasound Med. Biol. 2006, 36, 295–300. [Google Scholar] [CrossRef] [PubMed]
- Takimoto, C.H.; Remick, S.C.; Sharma, S.; Mani, S.; Ramanathan, R.K.; Doroshow, J.H.; Hamilton, A.; Mulkerin, D.; Graham, M.; Lockwood, G.F.; et al. Administration of oxaliplatin to patients with renal dysfunction: A preliminary report of the National Cancer Institute Organ Dysfunction Working Group. Semin Oncol. 2003, 30 (Suppl. S15), 20–25. [Google Scholar] [CrossRef] [PubMed]
- Takimoto, C.H.; Graham, M.A.; Lockwood, G.; Ng, C.M.; Goetz, A.; Greenslade, D.; Remick, S.C.; Sharma, S.; Mani, S.; Ramanathan, R.K.; et al. Cancer Therapy: Clinical Oxaliplatin Pharmacokinetics and Pharmacodynamics in Adult Cancer Patients with Impaired Renal Function. Clin. Cancer Res. 2007, 13, 4832–4839. [Google Scholar] [CrossRef]
- Cutsem EVan Verslype, C.; Beale, P.; Clarke, S.; Bugat, R.; Rakhit, A.; Fettner, S.H.; Brennscheidt, U.; Feyereislova, A.; Delord, J.-P. A phase Ib dose-escalation study of erlotinib, capecitabine and oxaliplatin in metastatic colorectal cancer patients. Ann. Oncol. 2008, 19, 332–339. [Google Scholar] [CrossRef]
- Greiner, P.O.; Zititoun, J.; Marquet, J.; Cheron, J.M. Pharmacokinetics of (-)-folinic acid after oral and intravenous administration of the racemate. Br. J. Clin. Pharmacol. 1989, 28, 289–295. [Google Scholar] [CrossRef]
- Machover, B.D.; Goldschmidt, E.; Chollet, P.; Metzger, G.; Zittoun, J.; Marquet, J.; Vandenbulcke, J.M.; Misset, J.L.; Schwarzenberg, L.; Fourtillan, J.B. Treatment of Advanced Colorectal and Gastric Adenocarcinomas with 5-Fluorouracil and High-Dose Folinic Acid. J. Clin. Oncol. 2019, 4, 685–696. [Google Scholar] [CrossRef]
- Schalhorn, A.; Kiihl, M.; Stupp-poutot, G.; Niissler, V.; Iii, I.M.K.; Grol, K. Pharmacokinetics of reduced folates after short-term infusion of d,1-folinic acid. Cancer Chemother. Pharmacol. 1990, 25, 440–444. [Google Scholar] [CrossRef]
- Sg, R.; Working, C.; On, G.; Evaluation, T.H.E.; Le, M.; Wj, B. Clinical Pharmacokinetics of High-Dose Leucovorin Calcium After Intravenous and Oral Administration. JNCI J. Natl. Cancer Inst. 1990, 82, 1411–1415. [Google Scholar]
- Schleyer, E.; Rudolph, L.; Braess, J.; Ehninger, G. Impact of the simultaneous administration of the (+)- and (A)-forms of formyl-tetrahydrofolic acid on plasma and intracellular pharmacokinetics of (A)-tetrahydrofolic acid. Cancer Chemother. Pharmacol. 2000, 45, 165–171. [Google Scholar] [CrossRef] [PubMed]
- Trave, B.F.; Rustum, Y.M.; Petrelli, N.J.; Herrera, L.; Mittelman, A.; Frank, C.; Creaven, P.J. Plasma and Tumor Tissue Pharmacology of High-Dose Intravenous Leucovorin Calcium in Combination With Fluorouracil in Patients with Advanced Colorectal Carcinoma. J. Clin. Oncol. 2019, 6, 1184–1191. [Google Scholar] [CrossRef] [PubMed]
- Poulin, P.; Chen, Y.H.; Ding, X.; Gould, S.E.; Hop, C.E.; Messick, K.; Oeh, J.; Liederer, B.M. Prediction of Drug Distribution in Subcutaneous Xenografts of Human Tumor Cell Lines and Healthy Tissues in Mouse: Application of the Tissue Composition-Based Model to Antineoplastic Drugs. J. Pharm. Sci. 2015, 104, 1508–1521. [Google Scholar] [CrossRef] [PubMed]
- Asami, S.; Kiga, D.; Konagaya, A. Constraint-based perturbation analysis with cluster Newton method: A case study of personalized parameter estimations with irinotecan whole-body physiologically based pharmacokinetic model. BMC Syst. Biol. 2017, 11, 129. [Google Scholar] [CrossRef]
- Straw, J.A.; Szapary, D.; Wynn, W.T. Pharmacokinetics of the Diastereoisomers of Leucovorin after Intravenous and Oral Administration to Normal Subjects. Cancer Res. 1984, 44, 3114–3119. [Google Scholar]
- Poujol, S.; Pinguet, F.; Ychou, M.; Abderrahim, A.G.; Duffour, J.; Bressolle, F.M.M. A limited sampling strategy to estimate the pharmacokinetic parameters of irinotecan and its active metabolite, SN-38, in patients with metastatic digestive cancer receiving the FOLFIRI regimen. Oncol. Rep. 2007, 18, 1613–1621. [Google Scholar] [CrossRef]
- Rietveld, P.C.S.; Sassen, S.D.T.; Guchelaar, N.A.D.; van Eerden, R.A.G.; de Boer, N.L.; van den Heuvel, T.B.M.; Burger, J.W.A.; Mathijssen, R.H.J.; Koch, B.C.P.; Koolen, S.L.W. Population pharmacokinetics of intraperitoneal irinotecan and SN-38 in patients with peritoneal metastases from colorectal origin. CPT Pharmacomet. Syst. Pharmacol. 2024, 13, 1006–1016. [Google Scholar] [CrossRef]
- Smith, N.F.; Figg, W.D.; Sparreboom, A. Pharmacogenetics of irinotecan metabolism and transport: An update. Toxicol. In Vitro 2006, 20, 163–175. [Google Scholar] [CrossRef]
- Ve, C.; Prados, J.; Madeddu, R.; Aranega, A. 5-Fluorouracil derivatives: A patent review. Expert Opin. Ther. Pat. 2012, 22, 107–123. [Google Scholar]
- Alcindor, T.; Beauger, N. Oxaliplatin: A review in the era of molecularly targeted therapy. Curr. Oncol. 2011, 18, 18–25. [Google Scholar] [CrossRef]
- Dancik, Y.; Mittapelly, N.; Puttrevu, S.K.; Polak, S. A novel physiologically based pharmacokinetic model of rectal absorption, evaluated and verified using clinical data on 10 rectally administered drugs. Int. J. Pharm. 2023, 643, 123273. [Google Scholar] [CrossRef] [PubMed]
- Rasool, M.F.; Ali, S.; Khalid, S.; Khalid, R.; Majeed, A.; Imran, I.; Saeed, H.; Usman, M.; Ali, M.; Alali, A.S.; et al. Development and evaluation of physiologically based pharmacokinetic drug-disease models for predicting captopril pharmacokinetics in chronic diseases. Sci. Rep. 2021, 11, 8589. [Google Scholar] [CrossRef] [PubMed]
- Guimarães, M.; Vertzoni, M.; Fotaki, N. Performance Evaluation of Montelukast Pediatric Formulations: Part II—A PBPK Modelling Approach. AAPS J. 2022, 24, 27. [Google Scholar] [CrossRef] [PubMed]
- Obach, R.S.; Baxter, J.G.; Liston, T.E.; Silber, B.M.; Jones, B.C.; Macintyre, F.; Rance, D.J.; Wastall, P. The prediction of human pharmacokinetic parameters from preclinical and in vitro metabolism data. J. Pharmacol. Exp. Ther. 1997, 283, 46–58. [Google Scholar] [PubMed]
- Reig-Lopez, J.; Tang, W.; Fernandez-Teruel, C.; Merino-Sanjuan, M.; Mangas-Sanjuan, V.; Boulton, D.W.; Sharma, P. Application of population physiologically based pharmacokinetic modelling to optimize target expression and clearance mechanisms of therapeutic monoclonal antibodies. Br. J. Clin. Pharmacol. 2023, 89, 2691–2702. [Google Scholar] [CrossRef]
- Deyme, L.; Barbolosi, D.; Gattacceca, F. Population pharmacokinetics of FOLFIRINOX: A review of studies and parameters. Cancer Chemother. Pharmacol. 2019, 83, 27–42. [Google Scholar] [CrossRef]
- Services, H. Physiologically Based Pharmacokinetic Analyses—Format and Content Guidance for Industry Physiologically Based Pharmacokinetic Analyses—Format and Content Guidance for Industry; Center for Drug Evaluation and Research: Silver Spring, MD, USA, 2018.
- Agency, E.M. Guideline on the Reporting of Physiologically Based Pharmacokinetic (PBPK) Modelling and Simulation Guideline on the Reporting of Physiologically Based Pharmacokinetic (PBPK) Modelling and Simulation Table of Contents; European Medicines Agency: London, UK, 2018; Volume 44.
- Psimadas, D.; Georgoulias, P.; Valotassiou, V.; Loudos, G. Molecular Nanomedicine Towards Cancer. J. Pharm. Sci. 2012, 101, 2271–2280. [Google Scholar] [CrossRef]
- Poulin, P.; Hop, C.E.; Salphati, L.; Liederer, B.M. Correlation of tissue-plasma partition coefficients between normal tissues and subcutaneous xenografts of human tumor cell lines in mouse as a prediction tool of drug penetration in tumors. J. Pharm. Sci. 2013, 102, 1355–1369. [Google Scholar] [CrossRef]
- Deyme, L.; Barbolosi, D.; Mbatchi, L.C.; Tubiana-Mathieu, N.; Ychou, M.; Evrard, A.; Gattacceca, F. Population pharmacokinetic model of irinotecan and its four main metabolites in patients treated with FOLFIRI or FOLFIRINOX regimen. Cancer Chemother. Pharmacol. 2021, 88, 247–258. [Google Scholar] [CrossRef]
- Soltani, M.; Chen, P. Effect of tumor shape and size on drug delivery to solid tumors. J. Biol. Eng. 2012, 6, 4. [Google Scholar] [CrossRef]





| Irinotecan | 5-FU | Oxaliplatin | Leucovorin | ||||||||
|---|---|---|---|---|---|---|---|---|---|---|---|
| Parent Drug | Metabolite | Units | Parent Drug | Metabolite | Units | Parent Drug | Units | Parent Drug | Metabolite | Units | |
| Physicochemical parameters | |||||||||||
| Molecular weight | 586.7 ** | 392.4 ** | g/mol | 130.08 ** | 114.1 ** | g/mol | 397.29 ** | g/mol | 473.446 * | 459.5 * | g/mol |
| Lipophilicity | 3.2 ** | 3.1.4 ** | LogP | −0.89 ** | −1.1 * | LogP | −0.47 * | LogP | −3.2 * | −0.5 * | LogP |
| Acid/Basic pKa | 10.9 ** | 9.66 * | Dimensionless | 8.02 ** | 11.73 * | Dimensionless | - | - | 3.47 * | 3.23 * | Dimensionless |
| Solubility at Ref-pH | 0.107 ** | 0.29 ** | mg/mL | 5.86 ** | 25.9 ** | mg/mL | 27.5 * | mg/mL | 0.297 * | 0.33 * | mg/L |
| Disposition, metabolism and elimination parameters | |||||||||||
| Fraction unbound | 0.49 * | 1 * | Dimensionless | 0.88 [54] | 1 ** | Dimensionless | 0.1 * | Dimensionless | 0.85 * | 0.44 * | Dimensionless |
| Renal Clearance | 86.68 [55] | - | mL/min/Kg | 2.38 [54] | - | mL/min/Kg | - | - | 1.14 [56] | 1.21 [56] | mL/min/Kg |
| Biliary Clearance | 142.86 [55] | - | mL/min/Kg | - | - | - | - | - | - | - | - |
| Enzymatic Clearance | 501.22 [55] | - | mL/min/Kg | - | - | - | - | - | 297 [56] | - | mL/min |
| DPD Km | - | - | - | 3.17 [54] | - | nmol/mL | - | - | - | - | - |
| DPD Vmax | - | - | - | 22.5 [54] | - | ml/min/g tissue | - | - | - | - | - |
| Total Clearance | - | 13.01 [57] | mL/min/Kg | 1.18 [58] | L/h/Kg | 2.5 [41] | L/h | - | - | - | |
| Irinotecan | 5-FU | Oxaliplatin | Leucovorin | |||||
|---|---|---|---|---|---|---|---|---|
| AFE | AAFE | AFE | AAFE | AFE | AAFE | AFE | AAFE | |
| AUC0-tend | 1.07 | 1.43 | 0.63 | 1.75 | 0.5 | 2 | 1.81 | 1.91 |
| AUCinf | 1.64 | 1.77 | 0.58 | 1.83 | 0.42 | 2.38 | 1.79 | 1.88 |
| Cmax | 1.52 | 1.53 | 0.97 | 2.15 | 0.5 | 1.96 | 0.56 | 1.77 |
| AUCinf (µmol·Min/L) | |||||||
|---|---|---|---|---|---|---|---|
| Colon Ascendens | Blood | ||||||
| Blood Cells | Plasma | Vascular | Interstitial | Intracellular | Total Colon Ascendens | Venous Plasma | |
| Irinotecan | 15.55 | 1.69 | 8.20 | 1.13 | 84.10 | 13.67 | 1.59 |
| 5-FU | 6.16 | 10.36 | 8.39 | 9.23 | 5.01 | 8.53 | 9.17 |
| Oxaliplatin | 41.94 | 615.34 | 345.84 | 263.93 | 51.33 | 244.81 | 610.42 |
| Leucovorin | 13.39 | 17.67 | 15.65 | 15.42 | 16.40 | 15.58 | 18.20 |
| Partition Coefficients Between Intracellular Space and Plasma | ||||
|---|---|---|---|---|
| Irinotecan | 5-FU | Oxaliplatin | Leucovorin | |
| Brain | 90.78 | 0.74 | 0.06 | 0.7 |
| Heart | 84.21 | 0.68 | 0.08 | 0.64 |
| Kidney | 45.49 | 0.71 | 0.08 | 0.68 |
| Stomach | 52.9 | 0.72 | 0.08 | 0.69 |
| Small intestine | 52.9 | 0.72 | 0.08 | 0.69 |
| Large intestine | 52.9 | 0.72 | 0.08 | 0.69 |
| Liver | 59.45 | 0.69 | 0.08 | 0.66 |
| Lung | 11.77 | 0.74 | 0.08 | 0.71 |
| Muscle | 14.09 | 0.74 | 0.08 | 0.71 |
| Pancreas | 67.36 | 0.65 | 0.08 | 0.62 |
| Spleen | 16.81 | 0.71 | 0.08 | 0.69 |
| Skin | 86.3 | 0.59 | 0.07 | 0.56 |
| Bone | 221.66 | 0.48 | 0.09 | 0.43 |
| Saliva | 0.51 | 0.88 | 0.1 | 0.85 |
Disclaimer/Publisher’s Note: The statements, opinions and data contained in all publications are solely those of the individual author(s) and contributor(s) and not of MDPI and/or the editor(s). MDPI and/or the editor(s) disclaim responsibility for any injury to people or property resulting from any ideas, methods, instructions or products referred to in the content. |
© 2025 by the authors. Licensee MDPI, Basel, Switzerland. This article is an open access article distributed under the terms and conditions of the Creative Commons Attribution (CC BY) license (https://creativecommons.org/licenses/by/4.0/).
Share and Cite
Peribañez-Dominguez, S.; Parra-Guillen, Z.; Troconiz, I.F. Development and Application of Physiologically-Based Pharmacokinetic Model to Predict Systemic and Organ Exposure of Colorectal Cancer Drugs. Pharmaceutics 2025, 17, 57. https://doi.org/10.3390/pharmaceutics17010057
Peribañez-Dominguez S, Parra-Guillen Z, Troconiz IF. Development and Application of Physiologically-Based Pharmacokinetic Model to Predict Systemic and Organ Exposure of Colorectal Cancer Drugs. Pharmaceutics. 2025; 17(1):57. https://doi.org/10.3390/pharmaceutics17010057
Chicago/Turabian StylePeribañez-Dominguez, Sara, Zinnia Parra-Guillen, and Iñaki F. Troconiz. 2025. "Development and Application of Physiologically-Based Pharmacokinetic Model to Predict Systemic and Organ Exposure of Colorectal Cancer Drugs" Pharmaceutics 17, no. 1: 57. https://doi.org/10.3390/pharmaceutics17010057
APA StylePeribañez-Dominguez, S., Parra-Guillen, Z., & Troconiz, I. F. (2025). Development and Application of Physiologically-Based Pharmacokinetic Model to Predict Systemic and Organ Exposure of Colorectal Cancer Drugs. Pharmaceutics, 17(1), 57. https://doi.org/10.3390/pharmaceutics17010057

