Physicochemical Stability of Doravirine (Pifeltro®): Characterization of Main Degradation Products and Assessment of Stability of Tablets Repackaged in Single-Dose Unit Containers
Abstract
1. Introduction
2. Materials and Methods
2.1. Reagents and Raw Materials
2.2. Instrumentations and Analytical Procedures
2.3. Experimental Protocol and Stability Study
2.4. Solubility Test
2.5. Dissolution Testing
2.6. In Silico Mutagenicity Testing
3. Results
3.1. Forced Degradation Studies
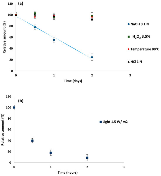
3.1.1. Stability Profile of DOR Based on Its Behavior under Different Stress Conditions
3.1.2. Structural Elucidation of DOR Main Degradation Products
Fragmentation Pattern of DOR
Structural Elucidation of the Main Degradation Products Formed under Basic Conditions (DP1 and DP3)
Structural Elucidation of the Photodegradation Products (DP2 and DP4)
3.1.3. In Silico Assessment of DOR’s Degradation Products
3.1.4. Influence of Storage Parameters on DOR Solubility
3.2. Assessment of Stability of Repackaged Tablets
3.2.1. Assay of DOR of Tablets
3.2.2. Impurity Profiling of Tablets
3.2.3. Disintegration of Tablets
3.2.4. Dissolution Test
4. Discussion
4.1. Implications of Intrinsic Stability Studies
4.2. Implications of Stability Testing of Tablets Repackaged in Single-Dose Unit Containers
5. Conclusions
Supplementary Materials
Author Contributions
Funding
Institutional Review Board Statement
Informed Consent Statement
Data Availability Statement
Acknowledgments
Conflicts of Interest
References
- Lai, M.-T.; Feng, M.; Falgueyret, J.-P.; Tawa, P.; Witmer, M.; DiStefano, D.; Li, Y.; Burch, J.; Sachs, N.; Lu, M.; et al. In Vitro Characterization of MK-1439, a Novel HIV-1 Nonnucleoside Reverse Transcriptase Inhibitor. Antimicrob. Agents Chemother. 2014, 58, 1652–1663. [Google Scholar] [CrossRef]
- Flexner, C.; Saag, M. The Antiretroviral Drug Pipeline: Prospects and Implications for Future Treatment Research. Curr. Opin. HIV AIDS 2013, 8, 572–578. [Google Scholar] [CrossRef]
- What Is PIFELTRO® (Doravirine)? Available online: https://www.pifeltro.com/what-is-pifeltro/ (accessed on 5 June 2024).
- Schneider, P.J.; Murphy, J.E.; Pedersen, C.A. Impact of Medication Packaging on Adherence and Treatment Outcomes in Older Ambulatory Patients. J. Am. Pharm. Assoc. 2008, 48, 58–63. [Google Scholar] [CrossRef]
- Lim, C.X.; Aliakbari, M.; Gokulanathan, V.R.; Noah, S.; Taskin, R.; Stupans, I.; Allahham, A. Stability Implications of Repackaged Medications in Dose Administration Aids: A Systematic Review. Int. J. Pharm. Practice 2022, 30, 93–107. [Google Scholar] [CrossRef] [PubMed]
- EMA ICH Q1A (R2) Stability Testing of New Drug Substances and Products-Scientific Guideline. Available online: https://www.ema.europa.eu/en/ich-q1a-r2-stability-testing-new-drug-substances-drug-products-scientific-guideline (accessed on 29 March 2023).
- Pifeltro|European Medicines Agency. Available online: https://www.ema.europa.eu/en/medicines/human/EPAR/pifeltro (accessed on 5 June 2024).
- Delstrigo|European Medicines Agency. Available online: https://www.ema.europa.eu/en/medicines/human/EPAR/delstrigo (accessed on 4 July 2024).
- ICH Q2(R2) Validation of Analytical Procedures-Scientific Guideline|European Medicines Agency. Available online: https://www.ema.europa.eu/en/ich-q2r2-validation-analytical-procedures-scientific-guideline (accessed on 5 June 2024).
- EMA ICH Q1B Photostability Testing of New Active Substances and Medicinal Products-Scientific Guideline. Available online: https://www.ema.europa.eu/en/ich-q1b-photostability-testing-new-active-substances-medicinal-products-scientific-guideline (accessed on 29 March 2023).
- Doravirine: Uses, Interactions, Mechanism of Action|DrugBank Online. Available online: https://go.drugbank.com/drugs/DB12301 (accessed on 5 June 2024).
- EMA ICH M7 Assessment and Control of DNA Reactive (Mutagenic) Impurities in Pharmaceuticals to Limit Potential Carcinogenic Risk-Scientific Guideline. Available online: https://www.ema.europa.eu/en/ich-m7-assessment-control-dna-reactive-mutagenic-impurities-pharmaceuticals-limit-potential (accessed on 28 March 2023).
- Patlewicz, G.; Jeliazkova, N.; Safford, R.J.; Worth, A.P.; Aleksiev, B. An Evaluation of the Implementation of the Cramer Classification Scheme in the Toxtree Software. SAR QSAR Environ. Res. 2008, 19, 495–524. [Google Scholar] [CrossRef] [PubMed]
- Toropov, A.A.; Toropova, A.P.; Raska, I.; Leszczynska, D.; Leszczynski, J. Comprehension of Drug Toxicity: Software and Databases. Comput. Biol. Med. 2014, 45, 20–25. [Google Scholar] [CrossRef] [PubMed]
- De Ilarduya, M.T.; Martin, C.; Goni, M.M.; Martinez-Oharriz, M.C. Polymorphism of sulindac: Isolation and characterization of a new polymorph and three new solvates. J. Pharm. Sci. 1997, 86, 248–251. [Google Scholar] [CrossRef] [PubMed]
- Eder, E.; Hoffman, C.; Bastian, H.; Deininger, C.; Scheckenbach, S. Molecular Mechanisms of DNA Damage Initiated by Alpha, Beta-Unsaturated Carbonyl Compounds as Criteria for Genotoxicity and Mutagenicity. Environ. Health Perspect. 1990, 88, 99–106. [Google Scholar] [CrossRef] [PubMed][Green Version]
- General Chapter Containers—Performance Testing|USP-NF. Available online: https://www.uspnf.com/official-text/accelerated-revision-process/accelerated-revision-history/general-chapter-containers-performance-testing (accessed on 5 June 2024).










| Name | Condition of Formation | Structure of the Compound | In Silico Alert (Rule-Based Approach) | In Silico Alert (QSAR Approach) |
|---|---|---|---|---|
| DOR | NA | ![]() | Negative | Positive |
| DP1 | Basic hydrolysis | ![]() | Negative | Negative |
| DP2 | Photolysis | ![]() | Positive | Positive |
| DP3 | Basic hydrolysis | ![]() | Negative | Positive |
| DP4 | Photolysis | ![]() | Positive | Positive |
Disclaimer/Publisher’s Note: The statements, opinions and data contained in all publications are solely those of the individual author(s) and contributor(s) and not of MDPI and/or the editor(s). MDPI and/or the editor(s) disclaim responsibility for any injury to people or property resulting from any ideas, methods, instructions or products referred to in the content. |
© 2024 by the authors. Licensee MDPI, Basel, Switzerland. This article is an open access article distributed under the terms and conditions of the Creative Commons Attribution (CC BY) license (https://creativecommons.org/licenses/by/4.0/).
Share and Cite
Houssen, M.; Secretan, P.-H.; Nobilet, L.; Jossot, K.; Guichard, L.; Mwamba, C.; Ngy, D.; Hassani, L.; Solgadi, A.; Antignac, M.; et al. Physicochemical Stability of Doravirine (Pifeltro®): Characterization of Main Degradation Products and Assessment of Stability of Tablets Repackaged in Single-Dose Unit Containers. Pharmaceutics 2024, 16, 977. https://doi.org/10.3390/pharmaceutics16080977
Houssen M, Secretan P-H, Nobilet L, Jossot K, Guichard L, Mwamba C, Ngy D, Hassani L, Solgadi A, Antignac M, et al. Physicochemical Stability of Doravirine (Pifeltro®): Characterization of Main Degradation Products and Assessment of Stability of Tablets Repackaged in Single-Dose Unit Containers. Pharmaceutics. 2024; 16(8):977. https://doi.org/10.3390/pharmaceutics16080977
Chicago/Turabian StyleHoussen, Moïse, Philippe-Henri Secretan, Loup Nobilet, Kilian Jossot, Laura Guichard, Cédric Mwamba, David Ngy, Lamia Hassani, Audrey Solgadi, Marie Antignac, and et al. 2024. "Physicochemical Stability of Doravirine (Pifeltro®): Characterization of Main Degradation Products and Assessment of Stability of Tablets Repackaged in Single-Dose Unit Containers" Pharmaceutics 16, no. 8: 977. https://doi.org/10.3390/pharmaceutics16080977
APA StyleHoussen, M., Secretan, P.-H., Nobilet, L., Jossot, K., Guichard, L., Mwamba, C., Ngy, D., Hassani, L., Solgadi, A., Antignac, M., Do, B., Junot, H., & Sadou Yayé, H. (2024). Physicochemical Stability of Doravirine (Pifeltro®): Characterization of Main Degradation Products and Assessment of Stability of Tablets Repackaged in Single-Dose Unit Containers. Pharmaceutics, 16(8), 977. https://doi.org/10.3390/pharmaceutics16080977






