Next Article in Journal
Revitalizing Bacillus Calmette–Guérin Immunotherapy for Bladder Cancer: Nanotechnology and Bioengineering Approaches
Previous Article in Journal
Design and Fabrication of Sustained Bacterial Release Scaffolds to Support the Microbiome
Previous Article in Special Issue
Analysis of Survival Modification by Furosemide Use in a Cohort of Hospitalized COVID-19 Patients with Severe or Critical Disease in Mexico: Due to Its Chemical Structure, Furosemide Is More than Just a Diuretic
 
 
Font Type:
Arial Georgia Verdana
Font Size:
Aa Aa Aa
Line Spacing:
Column Width:
Background:
Review

Polyene-Based Derivatives with Antifungal Activities

by
Kwanele Ngece
,
Thabisa L. Ntondini
,
Vuyolwethu Khwaza
*,
Athandwe M. Paca
and
Blessing A. Aderibigbe
*
Department of Chemistry, University of Fort Hare, Alice 5700, Eastern Cape, South Africa
*
Authors to whom correspondence should be addressed.
Pharmaceutics 2024, 16(8), 1065; https://doi.org/10.3390/pharmaceutics16081065
Submission received: 25 June 2024 / Revised: 3 August 2024 / Accepted: 7 August 2024 / Published: 14 August 2024
(This article belongs to the Special Issue Emerging Pharmaceutical Strategies against Infectious Diseases)

Abstract

Polyenes are a class of organic compounds well known for their potent antifungal properties. They are effective due to their ability to target and disrupt fungal cell membranes by binding to ergosterol and forming pores. Despite their effectiveness as antifungal drugs, polyenes have several limitations, such as high toxicity to the host cell and poor solubility in water. This has prompted ongoing research to develop safer and more efficient derivatives to overcome such limitations while enhancing their antifungal activity. In this review article, we present a thorough analysis of polyene derivatives, their structural modifications, and their influence on their therapeutic effects against various fungal strains. Key studies are discussed, illustrating how structural modifications have led to improved antifungal properties. By evaluating the latest advancements in the synthesis of polyene derivatives, we highlight that incorporating amide linkers at the carboxylic moiety of polyene molecules notably improves their antifungal properties, as evidenced by derivatives 4, 5, 6G, and 18. This review can help in the design and development of novel polyene-based compounds with potent antifungal activities.

Graphical Abstract

1. Introduction

Multidrug resistance (MDR) is a serious complication in the treatment of diseases, including fungal infections [1]. Over the past several decades, fungal pathogens have emerged as significant contributors to human morbidity and mortality, with Candida species reigning as leading casual agents of life-threatening invasive fungal infections [2]. Such diseases occur primarily as complications of surgery, chemotherapy, hematopoietic and/or solid organ transplant, or immunosuppressive therapies [3], making antifungals critical to the success of these modern medical advances [2]. Invasive fungal diseases account for 1.6 million deaths per year worldwide [4]. Multidrug resistance (MDR) in fungal pathogens has been increasing over the last decade. Importantly, among other mechanisms, such as drug mutations, efflux-based MDR has been recognized as a major cause of fungal anti-infective drug resistance. The small number of chemical entities in antifungal drugs has been very problematic, especially after prolonged use, as was the case for pronounced azole resistance in HIV patients [1]. Underlying host conditions, antifungal pharmacokinetics and pharmacodynamics, and fungal attributes may alone or collectively contribute to therapeutic failure [5]. Fungal failures resulting in antifungal resistance involve various subcellular mechanisms, including alteration of drug target, overexpression of efflux pumps and drug target, and gross chromosomal changes [6]. It is important to highlight the difference between tolerance and resistance. Antifungal tolerance involves acute cellular responses to stressors that threaten the integrity of the fungal cells, such as antifungals. Antifungal resistance is either acquired [7] or innate (inherent) and is defined when a species intrinsically exhibits elevated MIC values toward an antifungal [8].
Fungal infections such as Candidosis, Aspergillosis, and Cryptococcosis are responsible for causing clinical infections in individuals with weakened immune systems [9]. Candida albicans is another fungal pathogen that opportunistically thrives in patients with weakened immune systems and is linked to numerous cases of mortality globally. The virulence factors linked to the pathogenicity mechanism of C. albicans include morphological changes, the development of biofilms, and the release of hydrolytic enzymes [10]. There are notable variations in Candida’s susceptibility to various antifungal drugs. Polyene antifungal drugs are a class of antimicrobial compounds known for their potential effect in treating fungal infections. Over two hundred polyene compounds have been discovered and shown to be the first antifungal antibiotics. Among them are amphotericin B (AmB), nystatin, and natamycin (Figure 1), which are frequently administered to treat fungal infections [11]. Polyenes continue to be administered due to their broad antifungal effects against harmful yeasts and molds, including various species such as Aspergillus spp., Candida spp., Cryptococcus spp., Rhizopus spp., Fusarium spp., etc. [12].
These polyenes are extensively used in treating systemic fungal infections, despite their notable toxicity and the necessity for parenteral administration owing to their modest absorption from the gastrointestinal tract [8]. Their chemical structures (Figure 1) consist of a hydrophobic heptane chain and a hydroxyl-rich hydrophilic chain, which gives the molecules an amphiphilic feature, resulting in minimal solubility in aqueous solutions. This limited solubility has prompted the development of numerous formulations of polyenes aimed at mitigating the complications linked to their intravenous administration, such as renal toxicity [13]. It is essential to develop an efficient and simple method for synthesizing a variety of biologically effective molecules. Developing synthetic drug molecules tailored for organic purposes represents the primary pathway for advancing drug innovation. In recent years, research laboratories worldwide have concentrated on developing new reactions and reagents to discover medically potent drug analogues. The synthesis of polyene-based derivatives involves various methods, including structural modifications of the parent polyene structure, structural optimization through medicinal chemistry approaches, and the development of novel synthetic routes [12,13]. Recent advancements in synthetic methodologies have enabled the generation of diverse polyene derivatives with enhanced pharmacological properties and reduced toxicity profiles. Structure–activity relationship (SAR) studies have elucidated key structural features responsible for the biological activity of polyene derivatives. Rational design strategies guided by SAR principles have facilitated the development of novel derivatives with improved therapeutic profiles [14]. In this review, we present polyene derivatives, their structural modifications, and the influence on their therapeutic effects against various fungal strains.

2. Fungal Infections

As eukaryotic organisms, fungi exhibit remarkable variation in appearance and lifestyle, enabling them to potentially colonize vast regions [15]. There are two main types of fungi: mold and yeast. The majority of yeast cells are small, oval, single cells, whereas the mold colonies are formed of filamentous strands referred to as hyphae. Certain fungi are dimorphic, meaning that they can exist as molds or yeasts depending on the surrounding conditions (such as temperature, etc.) [16]. In contrast to systemic fungal infections, which can affect several organs, such as the brain, skin, kidneys, liver, etc., local fungal infections can affect any part of the body [17]. A widely reported cause of high morbidity and mortality is the rising incidence of fungal infections in immunodeficient patients, including the elderly, those receiving cancer therapy or organ transplants, COVID-19 patients, and those with implanted medical devices [18]. There are over 120,000 known species of fungi [19]. Fungal infections caused by Aspergillus, Cryptococcus, Pneumocystis, Mucormycosis, and Candida species are responsible for 1.5–2 million deaths [20] and affect over a billion people worldwide [21]. The most prevalent fungal infection in the orofacial region is Candidiasis, which is followed by Aspergillosis and Mucormycosis [22]. Candidiasis and Aspergillus species cause extreme redness, itching repercussions in skin tissue, swelling, bloody urine, and pelvic pain [23].
Candida species have the potential to infect the oral cavity as both commensal and invasive pathogens [24]. C. albicans [25] is an opportunistic pathogen that causes Candidiasis, especially among immunodeficient patients [26]. Non-albicans Candida spp. poses significant risks to human health [27] and has surfaced worldwide due to growing rates of antifungal resistance [28]. White-to-grey lesions and a burning feeling inside the mouth constitute a few of its symptoms. This infection is exacerbated by Candida spp.’s virulence factors, such as morphogenesis, adhesions, and biofilm formation [29]. Mucormycetes are members of the class Zygomycetes and the causative agents of Mucormycosis, also known as Zygomycosis, responsible for high morbidity and mortality rates [30]. The most frequent saprophytic environmental fungi that cause infections are Rhizomucor, Aposphysomyces, Saksenaea, Cunninghamella, Rhizpous, and Licitheimia [31]. Mortality rates can range from 10% to 100%, depending on the infection site and underlying risk factors [32]. A potentially fatal systemic mycosis, Cryptococcosis, is commonly seen in immunocompromised people, primarily in HIV-positive patients. The two main basidiomycetes yeasts that induce cryptococcosis are Cryptococcus neoformans and Cryptococcus gattii [33]. The fungus is extensively dispensed in the environment and is typically linked to the droppings of pigeons and different types of trees, such as eucalyptus. Spores or dehydrated fungal cells can be swallowed by the host to cause infection. Alveolar macrophages phagocytose fungal cells once they enter the lungs; nevertheless, in immunocompromised individuals, fungal cells can evade the intrinsic immune system’s barrier and spread all over the body [34]. Aspergillus is a taxonomic classification for conidial fungi or asexually growing fungi. Aspergillus members can be classified as Ascomycota members, pending the availability of DNA evidence, since a few of them are recognized to exhibit teleomorphism (the sexual state) within Ascomycota [35]. Significant mortality rates of 90% from invasive aspergillosis have been reported [36]. Air-bone spores from the common environmental mold Aspergillus fumigatus are often inhaled. The fungus is a strategic pathogen, and although healthy people’s immune systems are very good at removing infectious spores from their lungs, patients with weak immune systems are at risk of developing invasive pulmonary aspergillosis, a lung disease that progresses quickly and is frequently fatal [37]. Non-fumigatus Aspergillus spp., inclusive of A. flavus, A. niger, A. terreus, A. parasiticus, A. ochraceus, are to be taken seriously [38]. The rising usage of antibiotics contributes to the evolution and spread of AMR, a serious and urgent public health crisis.

3. Antifungal Activity of Polyenes

One of the most powerful classes of compounds in the battle against fungal infections is polyenes. They develop in the molecular channels of lipid and cell membranes that are selectively permeable to ions and chemical substances [39]. They have lactone rings in their molecules. Moreover, even though all polyenes possess potent properties against fungal diseases, a few of them are not potent [40]. Six polyene antifungals—nystatin, AmB, natamycin, methyl partricin, candicidin, and trichomycin—have been used as antifungal therapies. Among the six polyenes, only three are commonly used in antifungal therapies: natamycin for ocular infections, AmB for integral invasive fungal infections, and nystatin for mucosal infections (oral infections or vulvovaginal candidiasis) [41]. Despite extensive research, the mechanism of action of polyenes is still not fully understood. The earliest reported mode of action was the development of pores following binding to sterols found in the cell membrane [42]. Sterols play a significant role in the permeability and plasticity of eukaryotic membranes, but they are uncommon in bacteria. In addition, sterols from eukaryotes have been observed to generate functional membrane microdomains in bacteria [43]. Polyenes such as amphotericin B exert their antifungal effects through a mechanism that disrupts fungal cell membranes. Specifically, polyenes bind to ergosterol, a key component of fungal cell membranes, forming pores or channels within the membrane. These pores alter the permeability of the membrane, leading to the leakage of essential cellular components and ions, ultimately causing fungal cell death. This mechanism is selective to fungal strains because while fungal cell membranes contain ergosterol, mammalian cell membranes contain cholesterol instead. This selectivity reduces the likelihood of adverse effects on human cells, making polyenes an effective treatment for fungal infections. However, despite their efficacy, polyenes also have side effects due to their potential to bind to mammalian cell membranes at high doses, leading to toxicity.
Targeting the ergosterols is essential for all antifungal drugs. Ergosterol, a crucial component of fungal cell activity, is responsible for cellular processes, such as cell signaling, endocytosis, cell division, membrane fluidity, and membrane protein control [41]. One of the primary concerns among researchers and physicians is the increasing AMR against currently available antifungal medicines. Resistance to existing therapeutic drugs has made treating pathogenic fungi, viruses, bacteria, and protozoa challenging [44]. Multidrug-resistant microbial infections can cause difficulty in patients undergoing chemotherapy, surgery, and transplantation. These infections can include nosocomial, skin structure, and urinary tract infections [45]. The search for novel antifungal drugs like polyene derivatives has increased due to the mechanisms that lead to drug-resistant fungal cells and the evolution of drug-resistant infections.

3.1. Polyenes and Their Derivatives

3.1.1. Amphotericin B (AmB)

AmB (Compound 1 in Figure 1) is a polyene used to treat systemic mycotic infections. It is produced by Streptomyces nodosus [46]. Due to its broad-spectrum antifungal efficacy, it is commonly used. AmB destroys harmful fungi through a variety of molecular processes [47]. It favourably binds to ergosterol, forming trans-membrane channels that promote the intracellular leakage of K+ and Mg2+ ions and nutrients, causing cell death. AmB is a two-edged sword that has a broad antifungal spectrum, good therapeutic impact, and reduced drug resistance; on the other hand, it is very toxic to mammalian cells, causing hepatotoxicity, hemolytic toxicity, and nephrotoxicity [48]. Due to the severity of its side effects, research has been conducted to synthesize AmB derivatives to reduce the side effects while retaining their potency against fungal pathogens. Volmer et al. documented numerous AmB derivatives with potential biological effects developed by 2010. Their review highlighted a significant increase in the range of structural modifications [49].
Tevyashova et al. formulated innovative series of derivatives of AmB conjugated with benzoxaborole moieties and evaluated their antifungal potency against selected fungal strains C. albicans, Cryptococcus humicolus, Aspergillus niger, and Fusarium oxysporum [50]. Most of the novel compounds were reported to be less effective than AmB. Notably, dual altered derivatives such as C16-DMAE-amide compounds 4 and 5 (Figure 2) displayed significant antifungal efficacy (MICs = 0.25–1 µg/mL) when compared to AmB (~0.25–2 µg/mL) against A. niger, C. albicans, C. humicolus. The introduction of 3′-N-[3-(1-hydroxy-1,3-dihydrobenzo[c][1,2]oxaborol-7-yl)propanoyl] (4) and 3′-N-(1-hydroxy-1,3-dihydrobenzo[c][1,2]oxaborol-6-yl)sulfonyl (5) to AmB led to more enhanced antifungal activity against the aforementioned strains.
Notably, the hybrid benzoxaborole-AmB antibiotic compounds 4 and 5 were similarly potent as the parent AmB against C. albicans, C. humicolus, and A. niger. However, compound 5 was toxic to mammalian cells, making this derivative disadvantageous. Thus, the introduction of the benzoxaborole residue resulted in increased antifungal activity of compound 5; however, associated with increased cytotoxicity in comparison with AmB. In compound 4, a potent antifungal activity was paralleled by low toxicity for human cells and hemolytic activity better than AmB. Compound 4 demonstrated optimal characteristics in all three tests, that is, antifungal activity, cytotoxicity and hemolytic activity. This agent was further prepared as a water-soluble, pharmaceutically acceptable l-Glu salt 4G potentially useful in animal models [50].
Tevyashova et al. formulated a series of AmB derivatives and tested their antifungal activity against the strains of Candida spp. (C. krusei 432M, C. albicans ATCC 24433, C. glabrata 61L, and C. tropicalis 3019) and filamentous fungi (T. rubrum 2002 and M. canis B200) and compared it to that of AmB [42]. Their study revealed that when tested against 209 strains of filamentous fungus and Candida, the amide derivatives exhibited strong antifungal activity. Compound 6 (Figure 3), also known as amphamide, was found to have greater antifungal activity than AmB against filamentous fungus and all the tested Candida that were examined (see Table 1). The water solubility of AmB’s N-(2-Aminoethyl) amide is modest. However, its l-glutamate salt (6G) (Figure 3) was found to be soluble and stable in water. Furthermore, compound 6G exhibited in vitro antifungal potency comparable to that of compound 6’s free base form. Therefore, it was determined that the amidation of AmB’s C16-carboxylic group with ethylenediamine (compound 6) was advantageous in boosting the antifungal activity and enhancing its solubility in an aqueous medium. Amphamide, in contrast to AmB, can be utilized as glutamate 6G, a water-soluble salt, greatly simplifying the formulation and administration of dosage medications. As a result, the synthetic amphamide offers significant chemotherapeutic benefits over AmB. This therapeutic candidate could facilitate the development of the next generation of polyene antibiotics for the treatment of fungal infections [42].
The electrophysiological experiments of the selected candidate 6 suggested that it had lower self-aggregation properties but higher pore-forming abilities in the model membrane compared to those of AmB under the same conditions. The enhanced selectivity of amphamide (6) for the ERG-containing bilayers resulted in a lower toxicity of compound 6 compared to that of AmB. In vivo studies in the model of mice candidosis sepsis confirmed that compound 6 had much lower acute toxicity and higher antifungal efficiency. Thus, a novel AmB derivative, amphamide (6), with considerably increased safety and better efficacy compared to those of AmB and with a therapeutic index (LD50/ED50) almost 17-fold higher than that of AmB (42 vs. 2.4), was discovered. Moreover, unlike AmB, amphamide (6) can be used in a water-soluble salt form, which considerably simplifies dosage drug formulation and application. Thus, the synthesized amphamide has substantial chemotherapeutic advantages over AmB.
Gurudevan et al. synthesized AmB–albumin conjugates (BSA-AmB) and evaluated their antifungal susceptibility against selected fungal strains, using AmBisome as a control [51]. The MIC values for free AmB against the three strains ranged from 0.4 to 0.8 µg/mL. It is interesting to note that the conjugate’s AmB MIC values were marginally higher than the free AmB, ranging from 0.6 to 1 µg/mL as demonstrated in Table 2. However, the MIC value of AmBisome was between 0.78 and 1.5 µg/mL, which is higher than the values obtained for the BSA-AmB conjugate. The amine group (NH2) found in AmB was useful in forming hydrogen bonds with ergosterol to create pores on fungal membranes, which increased its antifungal activity. Albumin’s numerous binding sites, inherent transport mechanisms, and cellular connections make it a suitable intravenous drug delivery carrier. Conjugating AmB with albumin was a viable option to increase AmB’s solubility, reduce its toxicity, and enhance its pharmacokinetics [51].
It is noteworthy that BSA has shown to be a good solubility enhancer in the case of AmB. The drug was found to be in its monomeric form in the conjugate and was not aggregated. A slow and steady release of the drug from the conjugate has a significant role in increasing its half-life when administered systemically. Drug release from the conjugate in human plasma was very similar to the release seen in the case of AmBisome, suggesting that the pharmacokinetic profile of the conjugate when administered intravenously would probably be similar to AmBisome. Conjugation dramatically mitigated the toxicity and hemolytic activity of AmB. The conjugate also exhibited potential antifungal activity comparable to the activity of AmBisome.
Yu et al. synthesized AmB conjugates (7a7c) (Figure 4) containing a salicylic acid moiety and evaluated their antifungal activity against selected Candida spp. strains to determine their MICs [48]. The reduced antifungal activity of the conjugated compounds 7a7c was over 2 to 8 times lower than that of AmB. Compound 7a was characterized by a short two-methylene chain, and 7b and 7c contained an increased chain length. However, conjugates 7a, 7b, and 7c displayed immensely low nephrotoxicity, even at high concentrations, with 7c displaying the lowest hemolytic toxicity and 7b showing a higher toxicity. Thus, modifying AmB by adding a salicylic acid moiety is an efficient approach to sustain AmB’s antifungal efficacy while lowering nephrotoxicity [48].
The length of linkage chains has an obvious effect on the antifungal activity of the derivatives. The shortest two-methylene chain derivative, 7a, exhibited the best antifungal activity. However, the antifungal activity of the derivatives decreased slightly with increasing chain length, whereas both 7b and 7c also retained good antifungal activity. The hemolytic toxicity and nephrotoxicity of AmB-SA derivatives were significantly reduced compared to those of AmB (see Table 3). Compounds 7a, 7b, and 7c showed very low nephrotoxicity, even at high concentrations; 7c exhibited the lowest hemolytic toxicity and 7b had higher toxicity than the other two compounds, but still far lower than that of AmB. Additionally, the hemolytic toxicity of 7a was between those of 7b and 7c. The promising results were an encouragement to put more effort into the evaluation of their in vivo safety and antifungal activity.
Kim et al. formulated a nystatin-like Pseudonocardia polyene 8 and evaluated the antifungal activity of the compound (Figure 5) against different fungal strains [52]. Compound 8 displayed a 2-fold lower antifungal potency than AmB (see Table 4). Moreover, the hemolytic activity of compound 8 was slightly decreased compared to that of AmB. Compound 8 demonstrated a similar antifungal effect against C. albicans but had a lower toxicity than AmB. The manipulation of the specific polyketide enoyl reductase (ER) domain in the nystatin-like Pseudonocardia polyene biosynthetic pathway led to compound 8 being a potent antifungal agent. The compound displayed enhanced pharmacokinetic parameters compared to AmB, suggesting that compound 8 could be a potential candidate for development into a pharmacokinetically enhanced and less toxic polyene antifungal drug [52].
It is noteworthy that compound 8, with its unsaturated C28–C29 bond, exhibited significant antifungal activity when compared to other derivatives. Furthermore, compound 8 demonstrated enhanced pharmacokinetics and reduced toxicity compared to the structurally similar heptaene AmB. The antifungal mechanism of polyene macrolides is believed to involve simple binding to ergosterol, while binding to cholesterol is responsible for toxicity. Preliminary SPR experiments indicate that AmB has a higher affinity for both ergosterol- and cholesterol-containing membranes than compound 8, which preferentially binds to ergosterol-containing liposomes. This difference in cholesterol binding selectivity may contribute to the differing toxicities of AmB and compound 8, which requires further verification. In summary, compound 8 is a promising heptaene alternative to AmB with reduced toxicity. In vivo studies suggest that adding an extra sugar residue to heptaene macrolides could improve their pharmacological properties without significantly reducing antifungal efficacy. This study has made considerable progress in expanding the structural modification of compound 8 to improve toxicity.
Alshahrani et al. conjugated AmB to a polyethylene glycol carrier and ZnO nanoparticles and reported their antifungal efficacy against C. neoformans and C. albicans [53]. The PEGylated ZnO-AmB inhibited or killed fungal cells at significantly low concentrations in comparison with free AmB or ZnO-AMB as shown in Table 5. The higher antifungal efficacy of AmB conjugated with PEG and ZnO nanoparticles was attributed to the hydrophilic polymer, (PEG), which improves the colloidal solidity of the conjugates, hindering aggregation, and facilitates the uptake of the formulation via the pores of fungal cell membranes. The hematological values of rats administered with the formulation were retained and were similar to the values of the untreated control rats. The nephrotoxic effect of the formulation was not significant, revealing the need for further in vivo studies [53].
Notably, the PEGylated ZnO-AmB retained the same hematological parameters as those in uninjected control rats, in contrast to ZnO-AmB and free AmB, which changed the hematological parameters over those of control rats. Furthermore, creatinine and BUN levels were significantly lowered in the case of injection with ZnO-AmB-PEG, in comparison to amphotericin-induced nephrotoxicity. These results emphasize the possibility of clinical applications of PEGylated ZnO-AmB at lower concentrations with minimal nephrotoxicity; however, further study is required to investigate the in vivo efficacy of the developed formulation.

3.1.2. Nystatin

Nystatin (Compound (2) in Figure 1) is an anti-microbial drug with fungicidal and fungistatic effects that was first discovered in 1951 and has been used topically to treat oral candidiasis. It is derived from Streptomyces noursei, and the gastrointestinal tract absorbs very little of it [54]. Due to its inhibitory impact against a wide range of pathogenic and non-pathogenic fungi and yeast, nystatin has garnered a lot of attention [55]. Topical formulations of nystatin are used for the treatment of oral, esophageal, gastrointestinal, genital, and cutaneous candidosis. Nystatin has been utilized for gastrointestinal prevention and the treatment of corneal infections [56]. The main biological target of nystatin is the plasma membrane of the cells of fungi and protozoa, which affects a variety of processes, such as the development of pores. It is well tolerated with a low risk of hepatotoxicity and few adverse effects (such as nausea and vomiting).
Boros-Majewska et al. synthesized nystatin derivatives displaying low host cell toxicity and promising antifungal activity in an in vitro model of oral candidosis. According to the in vitro antifungal susceptibility experiments, the derivatives were effective against C. albicans (ATCC 10231) [57]. Among the derivatives that were evaluated, compound 10 showed a good antifungal effect, with a MIC value of 2 µg/mL, while 9 and 11 showed MIC values of 4 µg/mL (Figure 6). The IC50 value of compound 10 was 1.19 µg/mL and it was the most effective antifungal derivative of nystatin. It was noteworthy that 9 and 11, despite their distinct modification types, exhibited similar antifungal activity, with an IC50 value of 2.81 µg/mL [57]. The replacement of hydrogen at the primary amine of nystatin by N′-2-(piperidin-1-yl)ethylsuccinimidyl is responsible for compound 10 being the most active antifungal. Furthermore, the methyl/methyl (9) substitution at the primary amine and 3-[3-N,N-dimethylamino)propyl]thiouredyl (11) at the primary amine of nystatin also yielded promising antifungal activities. It is necessary to conduct more research into the mechanism underlying the novel nystatin derivatives’ selective toxicity.
It was particularly interesting to note that the nature of nystatin modification appeared to influence the extent of C. albicans invasiveness since complete prevention was found only in the case of compound 10 (N-succinimidyl derivative). Additionally, a positive relationship between the MIC (IC50) for the derivatives and the extent of Candida invasion was detected. It is necessary to mention that these derivatives significantly inhibited Candida colonization, including biofilm-like structure formation and highly reduced or completely prevented Candida invasion. Additionally, these new polyenes were less toxic against keratinocyte cells and the oral epithelium compared with natural nystatin.
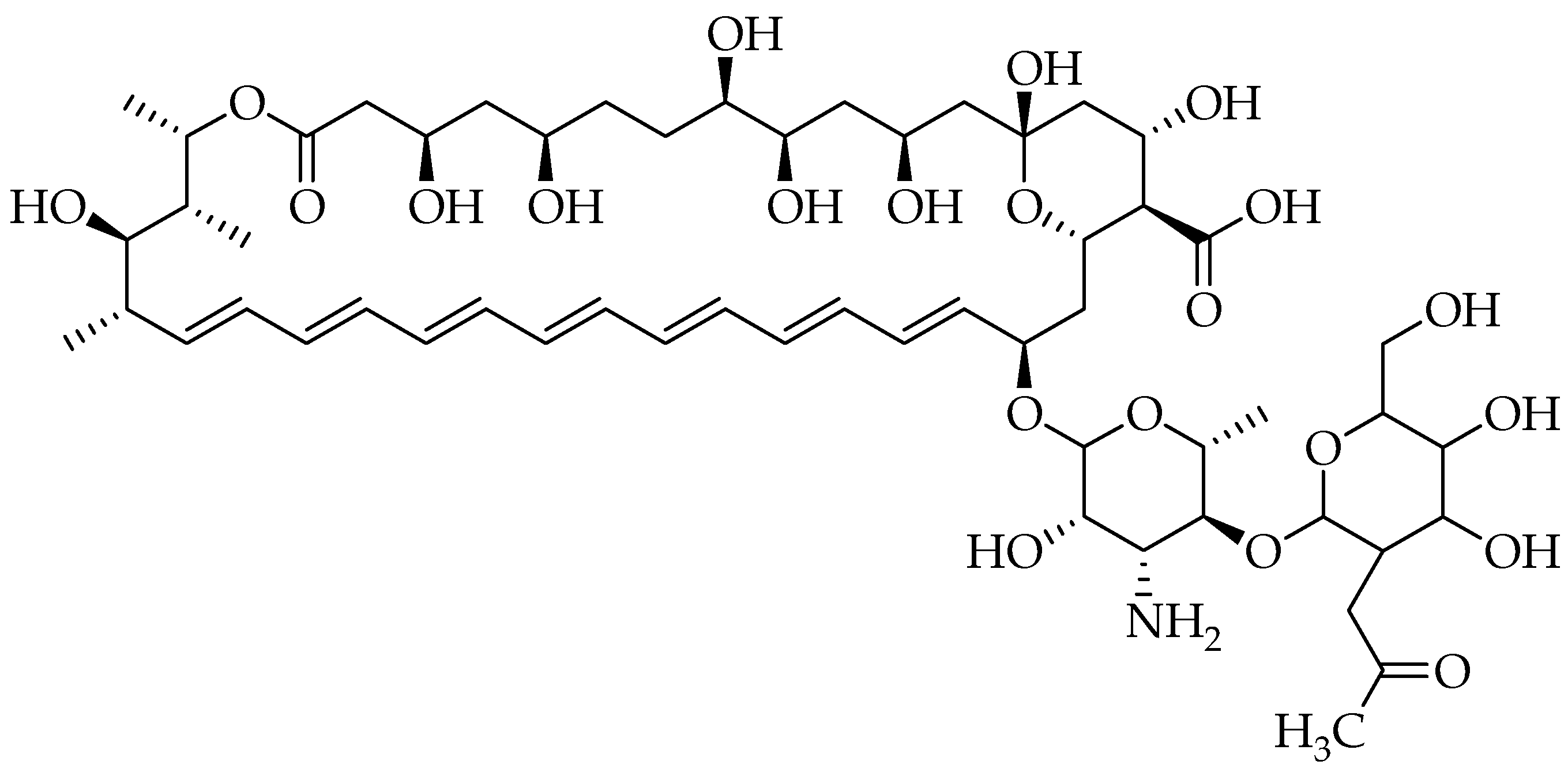
Amir et al. synthesized nystatin derivative 12 (Figure 7) using primary amines and alcohols. The synthesized hybrid was evaluated for its antifungal activity against two fungal strains (C. albicans (ATCC 10231) and A. niger (ATC 20057)), in vitro [58]. Notably, compound 12 exhibited promising results against selected fungal strains as shown in Table 6. SAR analysis showed that the amide linker was responsible for the improved antifungal activity, as compound 12 was 13.5 times less toxic than nystatin. Nystatin derivatives with an amide linker are promising candidates for future drug development, but further studies are recommended for validation [58].
Both nystatin and compound 12 are water-soluble and have a potency similar to that of nystatin. Nystatin is soluble in DMF, whereas compound 12 is soluble in water, which increases its bioavailability without using formulations. In addition, compound 12 was found to be less toxic in vitro than nystatin. Compound 12 was stable in human plasma for 2 days with the formation of its isomer. Furthermore, compound 12 at 0.25 mg/mL was found to be 52% bound to human plasma proteins after 24 h.
Tevyashova et al. synthesized semisynthetic amides of AmB and nystatin A1 and studied their antifungal activity and toxicity ratio [59]. The antifungal activity of polyene derivatives 13a13e and 14a14e (Figure 8) was tested against different fungal strains and compared to AmB (13) and nystatin (14). According to reports, the novel nystatin derivatives exhibited potent antifungal activity that was comparable to nystatin (except against C. krusei 432M); the amides containing ethylenediamine and N-(2-hydroxyethyl)-ethylenediamine compounds 13a and 13b showed the most notable findings in the AmB group (see Table 7). Additionally, it was observed that, in comparison to nystatin, the most active derivative of nystatin, 14a, had three times lower toxicity to kidney cells and displayed comparable hemolytic activity at 10 and 20 µM, with noticeably decreased activity at 50 µM. More active derivatives, 13a and 14a, contained an ethylenediamine moiety within the AmB and nystatin cores, respectively. Additionally, the toxicity of nystatin was reduced by the addition of the short aminoethanol group to the nystatin molecule. AmB derivative 13a is a promising candidate for prospective drug development. Two water-soluble amides derived from the nystatin series, 14c and 14e, performed exceptionally in cell toxicity studies. Additionally, it was demonstrated that the most potent nystatin derivative, 14a, was far less toxic than the free drug. As a result, three novel water-soluble nystatin compounds were identified as prospective candidates for drug development [59].
Chugunova et al. synthesized hybrid compounds derived from polyene and benzofuroxanes and evaluated their antifungal activity against selected fungal strains [60]. Among the compounds, derivatives 15a, 15b, and 16b (Figure 9) were found to be potent antifungals. The introduction of 4,6-dichloro-5-nitrobenzofuroxans and 5,7-dichloro-4,6-dinitrobenzofuroxans into AmB and nystatin led to derivatives 15a, 15b, and 16b being the most potent antifungals. Compound (16b), prepared from 5,7-dichloro-4,6-dinitrobenzofuroxan and nystatin, exhibited four times the activity of nystatin against Trichophyton mentagrophytes. Fungistatic effects were observed when drugs inhibited the test microorganism’s growth in concentrations not exceeding 500 µg/mL. The lowest concentration of the drug inhibiting the growth and reproduction of the test microorganism cultures was considered the effective dose [60].

3.1.3. Natamycin (Pimaricin)

Natamycin, or pimaricin (Compound 3 in Figure 1), is another potent polyene antibiotic with a long history of use. It is produced by Streptomyces natalensis and is applied topically to treat fungal infections. The structure of natamycin is a macrocyclic lactone ring containing four conjugated carbon–carbon double bonds (tetraene) and an amphoteric mycosamine group [61]. Oral and vaginal candidosis can be treated topically with natamycin. Moreover, it has been utilized to treat corneal infections [56]. Natamycin works by attaching itself to ergosterol and interfering with sterol-dependent membrane activities without the need for an ion channel [62]. This mechanism leads to ergosterol-specific and reversible inhibition of membrane transport proteins without changing the permeability of the cell membrane. It also involves the inhibition of the transportation of glucose and amino acids. There have not been any reports on the severe negative effects of natamycin. Rare cases of mild irritability, redness, a burning feeling, stinging, and tears have been reported [63].
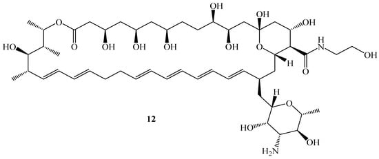
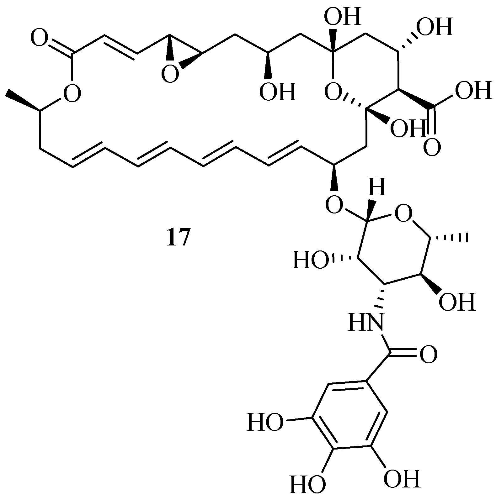
Ji et al. synthesized derivatives of natamycin (NAT) containing a gallic acid (GA) moiety to enhance the therapeutic efficacy of natamycin on fungal keratitis (FK) [64]. A. fumigatus conidia were cultivated for 48 h with varying concentrations of natamycin or compound 17 (Figure 10) (2, 4, 8, 16, 32, and 64 µg/mL). At 4 µg/mL, GA-NAT significantly reduced A. fumigatus growth. Mycelial cell wall staining showed that GA-NAT at 8 µg/mL effectively controlled the germination of A. fumigatus spores, which showed no difference with natamycin. Consequently, GA-NAT demonstrated effective antifungal activity at 8 µg/mL. Furthermore, A. fumigatus biofilm development was reduced by GA-NAT at a dose of 8 µg/mL. GA-NAT’s antifungal activity was the same as that of natamycin against A. fumigatus at the same dose. In addition to suppressing A. fumigatus growth, GA-NAT also successfully blocked the fungus’s ability to adhere to surfaces and form biofilms, which is a crucial stage in the fungal infection’s resistance to the host immune system. These findings provide more evidence that GA-NAT has anti-inflammatory properties and can help shield the cornea from harm by severe inflammation. The addition of gallic acid, a well-documented anti-inflammatory [65] and antifungal agent, to natamycin has enhanced the efficacy of GA-NAT and improved the shortcomings of natamycin. This study’s findings demonstrated that GA-NAT is less cytotoxic and its antifungal/anti-inflammatory qualities make it a viable treatment for A. fumigatus keratitis [64].
Furthermore, in in vivo experiments, GA-NAT distinctly inhibited the growth of A. fumigatus compared with natamycin on the fifth day. Also, through plate counting, the survival of corneal fungal colonies in the GA-NAT treatment group was lower than those of the other controls. Thus, it was seen that GA-NAT could take a positive role in controlling inflammation and shortening the course of disease in the A. fumigatus keratitis model.
Tevyashova et al. synthesized a series of semisynthetic amides of polyene antibiotic natamycin and evaluated their antifungal activities against Candida spp. and filamentous fungi [66]. They reported that amide 18 (Figure 11), with a MIC value of 2 µg/mL, was more potent than natamycin (MIC value of 8 µg/mL) against all tested C. auris strains. Among the seven derivatives, amide 19, with long lipophilic side chains, showed the highest efficiency index (EI) and strong antifungal activity in vitro but was more toxic against human postnatal fibroblasts (HPFs). In in vivo experiments, amide 18 showed in vivo efficacy in a mouse candidemia model with a larger LD50/ED50 ratio in comparison to AmB [66]. This study provides evidence that amide derivatives of natamycin are potential antifungal agents.
Rohira et al. synthesized an innovative cell-penetrating peptide (CPP) natamycin derivative for fungal keratitis management and evaluated its enhanced antifungal activity [67]. The MIC value of Tat2natamycin was 32 µg/mL when compared to natamycin (32 µg/mL) and Tat2 (64 µg/mL). Furthermore, when different concentrations of Tat2natamycin and Tat2 below their MIC values were tested for antifungal activity, the MIC of Tat2 was found to be 48 µg/mL, whereas no change in MIC was observed for Tat2natamycin. The study concluded that CPP-conjugated natamycin (Tat2natamycin) had better tissue penetration and antifungal activity than the commercial formulation of natamycin. This could be attributed to higher bioavailability and the observed morphological changes on the fungal plasma membrane induced by the conjugate. Additionally, upon the conjugation of natamycin with Tat2, there was a significant reduction (~150-fold) in concentration from 50 mg/mL (concentration of marketed formulation) to 0.330 mg/mL (concentration of Tat2natamycin equivalent to 100 × 10−6 M) for effective antifungal activity against Fusarium sp. in vivo. These findings strongly suggest that Tat2natamycin is a promising peptide conjugate with a therapeutic effect at the micromolar range against fungal keratitis caused by Fusarium sp. [67].

4. Conclusions and Future Perspectives

Polyene derivatives have potent antifungal efficacy against most of the common fungal pathogens. Over the years, fungal pathogens have developed resistance to most antifungal drugs, thus limiting their efficacy in the treatment of fungal infections. Polyenes are mostly toxic to the host cell; hence, the development of polyene-based derivatives to reduce these toxic effects, overcome drug resistance, and enhance antifungal activity is crucial.
In this brief review, most of the derivatives exhibited superior or comparable antifungal activity compared to their corresponding reference molecules, indicating that the modification of the polyene structure greatly enhanced their antifungal properties. It has been observed that incorporating amide linkers at the carboxylic moiety of polyene molecules notably improves their antifungal properties, as evidenced by derivatives 4, 5, 6G, and 18. Considering the polyene derivatives synthesized to date, it is clear that further derivatives are necessary to thoroughly understand the SAR of these compounds. Although significant progress has been made, numerous research gaps remain. These include the synthesis of polyene-based hybrid compounds through hybridization with other bioactive compounds that possess known antifungal, bioavailability, and toxicological properties. Hybrid molecules, which combine two or more pharmacophores into a single compound, have emerged as a promising strategy in the search for new antifungal agents that can overcome the MDR. For instance, one such hybrid molecule (compound 17) highlighted in this study incorporates gallic acid and has demonstrated enhanced antifungal activities. Additionally, there is a significant need for more in vivo evaluations of the synthesized polyene-based derivatives.
The exploration of synergistic interactions with existing antifungal agents may provide innovative strategies for combating multidrug-resistant pathogens. The exploration of nanoparticles [68,69,70] in combination with polyenes is an attractive approach for developing potent antifungal agents against co-infections. Continued research efforts aimed at elucidating their SAR, optimizing synthetic routes, and addressing challenges related to drug resistance and toxicity will be instrumental in realizing their therapeutic potential. Overall, polyene derivatives hold great promise as valuable drugs against infectious diseases.

Author Contributions

Conceptualization, K.N., V.K., T.L.N., A.M.P. and B.A.A.; methodology, K.N., V.K., T.L.N., A.M.P. and B.A.A.; investigation, K.N., V.K. and T.L.N.; writing—original draft preparation, K.N., V.K. and T.L.N.; writing—review and editing, K.N., V.K., T.L.N., A.M.P. and B.A.A.; funding acquisition, A.M.P. and B.A.A. All authors have read and agreed to the published version of the manuscript.

Funding

This work was supported by the South Africa Medical Research Foundation, National Research Foundation, and Govan Mbeki Research and Development Centre at the University of Fort Hare, South Africa.

Conflicts of Interest

The authors declare no conflicts of interest.

References

  1. Khunweeraphong, N.; Kuchler, K. Multidrug resistance in mammals and fungi—From MDR to PDR: A rocky road from atomic structures to transport mechanisms. Int. J. Mol. Sci. 2021, 22, 4806. [Google Scholar] [CrossRef]
  2. Robbins, N.; Cowen, L.E. Antifungal drug resistance: Deciphering the mechanisms governing multidrug resistance in the fungal pathogen Candida glabrata. Curr. Biol. 2021, 31, R1520–R1523. [Google Scholar] [CrossRef]
  3. Peyclit, L.; Yousfi, H.; Rolain, J.M.; Bittar, F. Drug repurposing in medical mycology: Identification of compounds as potential antifungals to overcome the emergence of multidrug-resistant fungi. Pharmaceuticals 2021, 14, 488. [Google Scholar] [CrossRef] [PubMed]
  4. Bermas, A.; Geddes-McAlister, J. Combatting the evolution of antifungal resistance in Cryptococcus neoformans. Mol. Microbiol. 2020, 114, 721–734. [Google Scholar] [CrossRef] [PubMed]
  5. Fisher, M.C. Tackling the emerging threat of antifungal resistance to human health. Nat. Rev. Microbiol. 2022, 20, 557–571. [Google Scholar] [CrossRef] [PubMed]
  6. Arastehfar, A. The quiet and underappreciated rise of drug-resistant invasive fungal pathogens. J. Fungi 2020, 6, 138. [Google Scholar] [CrossRef] [PubMed]
  7. Lockhart, S.R.; Chowdhary, A.; Gold, J.A.W. The rapid emergence of antifungal-resistant human-pathogenic fungi. Nat. Rev. Microbiol. 2023, 21, 818–832. [Google Scholar] [CrossRef] [PubMed]
  8. Gupta, D.; Jain, D.K. Synthesis, antifungal and antibacterial activity of novel 1,2,4-triazole derivatives. J. Adv. Pharm. Technol. Res. 2015, 6, 141–146. [Google Scholar] [CrossRef] [PubMed]
  9. Hu, Y. Triazole derivatives as potential antifungal agents: A structure-activity relationship (SAR) studies. Process Biochem. 2023, 135, 102–118. [Google Scholar] [CrossRef]
  10. Elshazly, R.; Selmi Sobieh, S.; Sobhy Zaki, S.; Abdel Fattah Abdel Tawab, S. Cell progression of biofilm formation in Candida albicans and estimation of aspartic proteinase activity. J. Sci. Res. Sci. 2022, 39, 130–147. [Google Scholar] [CrossRef]
  11. Arzumanian, V. Spectrophotometry as a Method to Estimate the Resistance of Candida Albicans to Polyene Antibiotics. Migr. Lett. 2024, 21, 1487–1499. [Google Scholar]
  12. Chandrasekar, P. Management of invasive fungal infections: A role for polyenes. J. Antimicrob. Chemother. 2011, 66, 457–465. [Google Scholar] [CrossRef] [PubMed]
  13. Leonhard, V.; Alasino, R.V.; Munoz, A.; Beltramo, D.M. Silver Nanoparticles with High Loading Capacity of Amphotericin B: Characterization, Bactericidal and Antifungal Effects. Curr. Drug Deliv. 2017, 15, 850–859. [Google Scholar] [CrossRef] [PubMed]
  14. Tevyashova, A.N. Structure-antifungal activity relationships of polyene antibiotics of the amphotericin B group. Antimicrob. Agents Chemother. 2013, 57, 3815–3822. [Google Scholar] [CrossRef] [PubMed]
  15. Manan, S.; Ullah, M.W.; Ul-Islam, M.; Atta, O.M.; Yang, G. Synthesis and applications of fungal mycelium-based advanced functional materials. J. Bioresour. Bioprod. 2021, 6, 1–10. [Google Scholar] [CrossRef]
  16. Garber, G. An overview of fungal infections. Drugs 2001, 61, 1–12. [Google Scholar] [CrossRef] [PubMed]
  17. Kangabam, N.; Nethravathy, V. An overview of opportunistic fungal infections associated with COVID-19. 3Biotech 2023, 13, 231. [Google Scholar] [CrossRef]
  18. Powell, L.C. Alginate oligosaccharides enhance the antifungal activity of nystatin against candidal biofilms. Front. Cell. Infect. Microbiol. 2023, 13, 1–11. [Google Scholar] [CrossRef]
  19. Yi, X.W.; He, J.; Sun, L.T.; Liu, J.K.; Wang, G.K.; Feng, T. 3-Decalinoyltetramic acids from kiwi-associated fungusZopfiellasp. And their antibacterial activity againstPseudomonas syringae. RSC Adv. 2021, 11, 18827–18831. [Google Scholar] [CrossRef]
  20. Stevanović, N.L. Copper(II) and Zinc(II) complexes with the clinically used fluconazole: Comparison of antifungal activity and therapeutic potential. Pharmaceuticals 2021, 14, 24. [Google Scholar] [CrossRef]
  21. Dar, O.A. Heteroleptic transition metal complexes of Schiff-base-derived ligands exert their antifungal activity by disrupting membrane integrity. Appl. Organomet. Chem. 2019, 33, e5128. [Google Scholar] [CrossRef]
  22. Suresh, A. Covid-19-associated fungal osteomyelitis of jaws and sinuses: An experience-driven management protocol. Med. Mycol. 2022, 60, myab082. [Google Scholar] [CrossRef]
  23. Shi, L.; Xu, S.; Zhu, Q.; Wei, Y. Chitosan-coated miconazole as an effective anti-inflammatory agent for the treatment of postoperative infections in obstetrics and vaginal yeast infection control on in vitro evaluations. Microb. Pathog. 2023, 184, 106312. [Google Scholar] [CrossRef]
  24. Lu, S.Y. Oral candidosis: Pathophysiology and best practice for diagnosis, classification, and successful management. J. Fungi 2021, 7, 555. [Google Scholar] [CrossRef]
  25. Chaudhari, V.; Vairagade, V.; Thakkar, A.; Shende, H.; Vora, A. Nanotechnology-based fungal detection and treatment: Current status and future perspective. Naunyn Schmiedeberg’s Arch. Pharmacol. 2023, 397, 77–97. [Google Scholar] [CrossRef]
  26. Vorobiova, K.; Denysenko, V. Fungus Is a Problem of the Century. Nystatin Ointment Is an Assistant. Grail Sci. 2023, 26, 553–555. [Google Scholar] [CrossRef]
  27. Biernasiuk, A. The newly synthesized thiazole derivatives as potential antifungal compounds against Candida albicans. Appl. Microbiol. Biotechnol. 2021, 105, 6355–6367. [Google Scholar] [CrossRef] [PubMed]
  28. Wiederhold, N.P. Emerging Fungal Infections: New Species, New Names, and Antifungal Resistance. Clin. Chem. 2022, 68, 83–90. [Google Scholar] [CrossRef] [PubMed]
  29. Keymaram, M. Anti-biofilm properties of eucalyptol in combination with antifungals against Candida albicans isolates in patients with hematological malignancy. Arch. Microbiol. 2022, 204, 295. [Google Scholar]
  30. Rudrabhatla, P.K.; Reghukumar, A.; Thomas, S.V. Mucormycosis in COVID-19 patients: Predisposing factors, prevention and management. Acta Neurol. Belg. 2022, 122, 273–280. [Google Scholar] [CrossRef]
  31. Khatri, A.; Chang, K.M.; Berlinrut, I.; Wallach, F. Mucormycosis after Coronavirus disease 2019 infection in a heart transplant recipient—Case report and review of literature. J. Med. Mycol. 2021, 31, 101125. [Google Scholar] [CrossRef] [PubMed]
  32. Desai, E.J.; Pandya, A.; Upadhya, I.; Patel, T.; Banerjee, S.; Jain, V. Epidemiology, Clinical Features and Management of Rhino Orbital Mucormycosis in Post COVID 19 Patients. Indian J. Otolaryngol. Head Neck Surg. 2022, 74, 103–107. [Google Scholar] [CrossRef] [PubMed]
  33. Kryštůfek, R. Re-emerging Aspartic Protease Targets: Examining Cryptococcus neoformans Major Aspartyl Peptidase 1 as a Target for Antifungal Drug Discovery. J. Med. Chem. 2021, 64, 6706–6719. [Google Scholar] [CrossRef] [PubMed]
  34. Gutierrez-Gongora, D.; Geddes-McAlister, J. Peptidases: Promising antifungal targets of the human fungal pathogen, Cryptococcus neoformans. Facets 2022, 7, 319–342. [Google Scholar] [CrossRef]
  35. Al-Fakih, A.A.; Almaqtri, W.Q.A. Overview on antibacterial metabolites from terrestrial Aspergillus spp. Mycology 2019, 10, 191–209. [Google Scholar] [CrossRef] [PubMed]
  36. Baltussen, T.J.H.; Zoll, J.; Verweij, P.E.; Melchers, W.J.G. Molecular Mechanisms of Conidial Germination in Aspergillus spp. Microbiol. Mol. Biol. Rev. 2020, 84, e00049-19. [Google Scholar] [CrossRef] [PubMed]
  37. Henneberg, S. Antibody-guided in vivo imaging of Aspergillus fumigatus lung infections during antifungal azole treatment. Nat. Commun. 2021, 12, 1707. [Google Scholar] [CrossRef]
  38. Son, Y.E.; Park, H.S. Genetic Manipulation and Transformation Methods for Aspergillus spp. Mycobiology 2021, 49, 95–104. [Google Scholar] [CrossRef]
  39. Qasimova, V.K. Development of the method to enhancing of biological activity of polyene antibiotics and its use for environmental improvement. Int. J. Adv. Res. Dev. 2022, 7, 21–25. [Google Scholar]
  40. Baghirova, A.A.; Kasumov, K.M. Antifungal Macrocycle Antibiotic Amphotericin B—Its Present and Future. Multidisciplinary Perspective for the Use in the Medical Practice. Biochem. Suppl. Ser. B Biomed. Chem. 2022, 16, 1–12. [Google Scholar] [CrossRef]
  41. Dhandapani, K.; Sivarajan, K.; Ravindhiran, R.; Sekar, J.N. Fungal Infections as an Uprising Threat to Human Health: Chemosensitization of Fungal Pathogens With AFP From Aspergillus giganteus. Front. Cell. Infect. Microbiol. 2022, 12, 887971. [Google Scholar] [CrossRef] [PubMed]
  42. Tevyashova, A.N. Discovery of Amphamide, a Drug Candidate for the Second Generation of Polyene Antibiotics. ACS Infect. Dis. 2020, 6, 2029–2044. [Google Scholar] [CrossRef] [PubMed]
  43. Loboda, M.L.; Biliavska, L.O.; Iutynska, G.O. Biosynthesis of polyene antibiotics and phytohormones by streptomyces netropsis IMV Ac-5025 under the action of exogenous isopentenyladenosine. Microbiol. J. 2021, 83, 32–41. [Google Scholar] [CrossRef]
  44. Mickymaray, S.; Aboody, M. Anti-Fungal Efficacy of Flavonoids. Sch. Community Encycl. 2020, 9, 1–29. [Google Scholar]
  45. Mehta, D.; Saini, V.; Bajaj, A. Recent developments in membrane targeting antifungal agents to mitigate antifungal resistance. RSC Med. Chem. 2023, 14, 607–619. [Google Scholar] [CrossRef] [PubMed]
  46. Grela, E. Enhanced Antifungal Activity of Amphotericin B Bound to Albumin: A ‘Trojan Horse’ Effect of the Protein. J. Phys. Chem. B 2023, 127, 3632–3640. [Google Scholar] [CrossRef] [PubMed]
  47. Santoso, P. Preparation of amphotericin B-loaded hybrid liposomes and the integration of chitin-binding proteins for enhanced antifungal activity. J. Biosci. Bioeng. 2022, 134, 259–263. [Google Scholar] [CrossRef] [PubMed]
  48. Yu, Y. Amphotericin B Tamed by Salicylic Acid. ACS Omega 2022, 7, 14690–14696. [Google Scholar] [CrossRef] [PubMed]
  49. Volmer, A.A.; Szpilman, A.M.; Carreira, E.M. Synthesis and biological evaluation of amphotericin B derivatives. Nat. Prod. Rep. 2010, 27, 1329–1349. [Google Scholar] [CrossRef]
  50. Tevyashova, A.N. New conjugates of polyene macrolide amphotericin B with benzoxaboroles: Synthesis and properties. J. Antibiot. 2016, 69, 549–560. [Google Scholar] [CrossRef]
  51. Gurudevan, S.; Francis, A.P.; Jayakrishnan, A. Amphotericin B-albumin conjugates: Synthesis, toxicity and anti-fungal activity. Eur. J. Pharm. Sci. 2017, 115, 167–174. [Google Scholar] [CrossRef] [PubMed]
  52. Kim, H.J. Nystatin-like Pseudonocardia polyene B1, a novel disaccharide-containing antifungal heptaene antibiotic. Sci. Rep. 2018, 8, 13584. [Google Scholar] [CrossRef] [PubMed]
  53. Alshahrani, S.M.; Khafagy, E.S.; Riadi, Y.; Al Saqr, A.; Alfadhel, M.M.; Hegazy, W.A.H. Amphotericin B-PEG Conjugates of ZnO Nanoparticles: Enhancement Antifungal Activity with Minimal Toxicity. Pharmaceutics 2022, 14, 1646. [Google Scholar] [CrossRef] [PubMed]
  54. Samiei, N.; Olyaie, E.; Saberi, S.; Zolfaghari, M.E. Development of a gum base formulation for nystatin; A new drug delivery approach for treatment of oral candidiasis. J. Drug Deliv. Sci. Technol. 2018, 48, 59–65. [Google Scholar] [CrossRef]
  55. Duarah, R.; Aleksic, I.; Milivojevic, D.; Rameshkumar, S.; Nikodinovic-Runic, J.; Padamati, R.B. Development of nystatin-based antifungal, biodegradable polymer composite materials for food packaging via. Melt processing approach. J. Appl. Polym. Sci. 2023, 140, 1–15. [Google Scholar] [CrossRef]
  56. Formanek, P.E.; Dilling, D.F. Advances in the Diagnosis and Management of Invasive Fungal Disease. Chest 2019, 156, 834–842. [Google Scholar] [CrossRef]
  57. Boros-Majewska, J. Novel Nystatin A1 derivatives exhibiting low host cell toxicity and antifungal activity in an in vitro model of oral candidosis. Med. Microbiol. Immunol. 2014, 203, 341–355. [Google Scholar] [CrossRef] [PubMed]
  58. Amir, A.; Levin-Khalifa, M.; Dvash, T. Water-Soluble Nystatin and Derivative. ACS Med. Chem. Lett. 2022, 13, 182–187. [Google Scholar] [CrossRef] [PubMed]
  59. Tevyashova, A. Semisynthetic Amides of Amphotericin B and Nystatin A1: A Comparative Study of In Vitro Activity/Toxicity Ratio in Relation to Selectivity to Ergosterol Membranes. Antibiotics 2023, 12, 151. [Google Scholar] [CrossRef]
  60. Chugunova, E.A. Synthesis and biological activity of new hybrids compounds derived from benzofuroxanes and polyene antibiotics. Russ. J. Gen. Chem. 2016, 86, 1037–1040. [Google Scholar] [CrossRef]
  61. Haro-Reyes, T.; Díaz-Peralta, L.; Galván-Hernández, A.; Rodríguez-López, A.; Rodríguez-Fragoso, L.; Ortega-Blake, I. Polyene Antibiotics Physical Chemistry and Their Effect on Lipid Membranes; Impacting Biological Processes and Medical Applications. Membranes 2022, 12, 681. [Google Scholar] [CrossRef] [PubMed]
  62. Guo, X. Sterol Sponge Mechanism Is Conserved for Glycosylated Polyene Macrolides. ACS Cent. Sci. 2021, 7, 781–791. [Google Scholar] [CrossRef] [PubMed]
  63. Du, W.; Gao, Y.; Liu, L.; Sai, S.; Ding, C. Striking back against fungal infections: The utilization of nanosystems for antifungal strategies. Int. J. Mol. Sci. 2021, 22, 10104. [Google Scholar] [CrossRef] [PubMed]
  64. Ji, X. Laccase-mediated functionalization of natamycin by gallic acids for the therapeutic effect on Aspergillus fumigatus keratitis. Eur. J. Pharmacol. 2022, 926, 175041. [Google Scholar] [CrossRef] [PubMed]
  65. BenSaad, L.A.; Kim, K.H.; Quah, C.C.; Kim, W.R.; Shahimi, M. Anti-inflammatory potential of ellagic acid, gallic acid and punicalagin A&B isolated from Punica granatum. BMC Complement. Altern. Med. 2017, 17, 47. [Google Scholar]
  66. Tevyashova, A.N. Semisynthetic Amides of Polyene Antibiotic Natamycin. ACS Infect. Dis. 2023, 9, 42–55. [Google Scholar] [CrossRef]
  67. Rohira, H.; Shankar, S.; Yadav, S.; Shah, S.G.; Chugh, A. Enhanced in vivo antifungal activity of novel cell penetrating peptide natamycin conjugate for efficient fungal keratitis management. Int. J. Pharm. 2021, 600, 120484. [Google Scholar] [CrossRef]
  68. Nasiri, S.; Mahmoudvand, H.; Shakibaie, M.; Mousavi, S.A.H.; Sepahvand, A. Antifungal effects of zinc nanoparticles green synthesized by Lavandula angustifolia extract, alone and combined with nystatin against Candida albicans, a major cause of oral candidiasis. J. HerbMed Pharmacol. 2022, 11, 540–545. [Google Scholar] [CrossRef]
  69. Saadat, E.; Dinarvand, R.; Ebrahimnejad, P. Encapsulation of nystatin in nanoliposomal formulation: Characterization, stability study and antifungal activity against Candida albicans. Pharm. Biomed. Res. 2016, 2, 44–54. [Google Scholar] [CrossRef]
  70. Sedigheh Hosseini, S.; Joshaghani, H.; Shokohi, T.; Ahmadi, A.; Mehrbakhsh, Z. Antifungal activity of ZnO nanoparticles and nystatin and downregulation of SAP1-3 genes expression in fluconazole-resistant candida albicans isolates from vulvovaginal candidiasis. Infect. Drug Resist. 2020, 13, 385–394. [Google Scholar] [CrossRef]
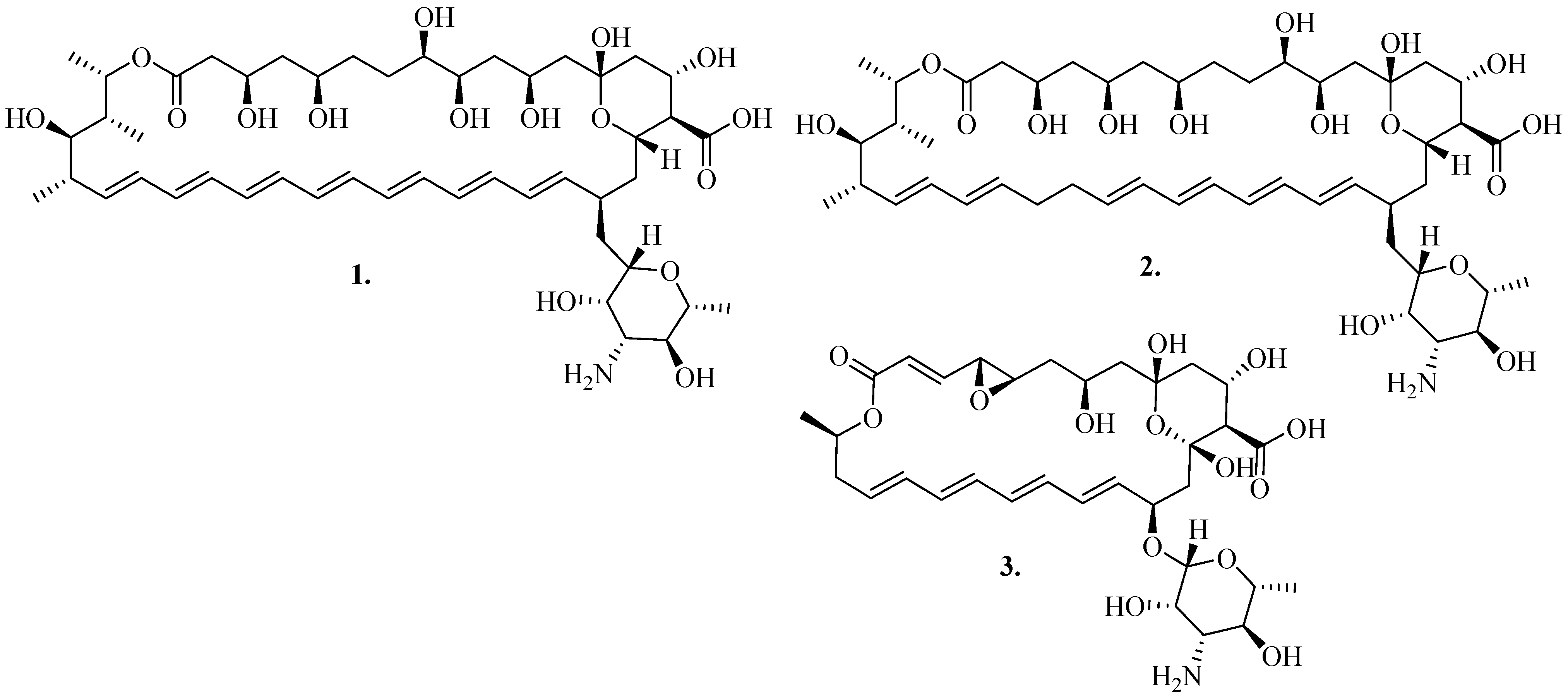
Figure 1. Chemical structures of polyene antibiotics: AmB(1), nystatin A1(2), and natamycin(3).
Figure 1. Chemical structures of polyene antibiotics: AmB(1), nystatin A1(2), and natamycin(3).
Pharmaceutics 16 01065 g001
Figure 2. Structure of dual modified derivative C16-DMAE-amide (compounds 4 and 5).
Figure 2. Structure of dual modified derivative C16-DMAE-amide (compounds 4 and 5).
Pharmaceutics 16 01065 g002
Figure 3. Structure of compound 6 (amphamide) and its salt 6G.
Figure 3. Structure of compound 6 (amphamide) and its salt 6G.
Pharmaceutics 16 01065 g003
Figure 4. Structure of AmB derivatives containing a salicylic acid moiety.
Figure 4. Structure of AmB derivatives containing a salicylic acid moiety.
Pharmaceutics 16 01065 g004
Figure 5. Structure of compound 8, an AmB derivative.
Figure 5. Structure of compound 8, an AmB derivative.
Pharmaceutics 16 01065 g005
Figure 6. Structures of nystatin derivatives (Nyt 9–11).
Figure 6. Structures of nystatin derivatives (Nyt 9–11).
Pharmaceutics 16 01065 g006
Figure 7. Structure of nystatin derivative 12.
Figure 7. Structure of nystatin derivative 12.
Pharmaceutics 16 01065 g007
Figure 8. Structures of promising AmB (13) and nystatin (14) derivatives.
Figure 8. Structures of promising AmB (13) and nystatin (14) derivatives.
Pharmaceutics 16 01065 g008
Figure 9. Structures of benzofuroxane hybrids and polyene antibiotics (AmB and Nys).
Figure 9. Structures of benzofuroxane hybrids and polyene antibiotics (AmB and Nys).
Pharmaceutics 16 01065 g009
Figure 10. Structure of natamycin derivative compound 17.
Figure 10. Structure of natamycin derivative compound 17.
Pharmaceutics 16 01065 g010
Figure 11. Structure of amide derivatives of natamycin.
Figure 11. Structure of amide derivatives of natamycin.
Pharmaceutics 16 01065 g011
Table 1. MIC values of compound 6 and 6G comparable to AmB [42].
Table 1. MIC values of compound 6 and 6G comparable to AmB [42].
Minimum Inhibitory Concentration (MIC, µg/mL)
C. albicans ATCC 24433C. parapsilosis ATCC 22019C. krusei 432MC. tropicalis 3019C. glabrata 61L
Compound24 h48 h24 h48 h24 h48 h24 h48 h24 h48 hM. caris B-200T. rubrum 2002
AmB0.1250.250.250.50.250.50.060.250.050.250.250.25
6 (amphamide)0.030.060.030.060.1250.250.030.060.030.060.50.5
6G0.030.060.030.060.1250.250.030.060.030.060.50.5
Table 2. MIC values of AmB, BSA-AmB, and AmBisome [51].
Table 2. MIC values of AmB, BSA-AmB, and AmBisome [51].
Antifungal Activity of AmB, BSA-AmB Conjugate, and AmBisome (MIC, µg/mL)
SamplesC. albicansC. parapsilosisC. neoformans
AmB0.530.40.78
BSA-AmB0.870.671.1
AmBisome0781.50.78
Table 3. Antifungal activities of conjugates 7a, 7b, and 7c [48].
Table 3. Antifungal activities of conjugates 7a, 7b, and 7c [48].
CompoundsMIC (µg/mL)
C. albicansC. glabrataC. neoformans
AmB0.5–10.5–10.25–0.5
7a2–41–21–2
7b4–82–42–4
7c4–82–42–4
Table 4. Antifungal activity of compound 8 compared to that of nystatin and AmB [52].
Table 4. Antifungal activity of compound 8 compared to that of nystatin and AmB [52].
MIC (µg/mL)
Nystatin A1AmBCompound 8
C. albicans KCTC7965412
C. albicans SC5314414
C. albicans SL28414
C. albicans SL38412
Cryptococcus humilicola ATCC9949-0.51
Saccharomyces cerevisiae ATC9035-12
Hemolytic activity (MHC, µg/mL)66.17 ± 0.904.65 ± 0.1713.60 ± 0.19
Table 5. Antifungal activity of AmB nanoparticles [53].
Table 5. Antifungal activity of AmB nanoparticles [53].
CompoundsMIC (µg/mL)
C. albicansC. neoformans
ZnO>5>5
AmB0.10.05
ZnO-AmB0.050.05
ZnO-AmB-PEG0.006250.00625
Table 6. Antifungal activity of nystatin derivative compound 12 [58].
Table 6. Antifungal activity of nystatin derivative compound 12 [58].
MIC (µg/mL)
CompoundC. albicansA. niger
AmB5 ± 0.7631.5 ± 2.1
Econazole>35>35
Nystatin10 ± 2.722.5 ± 2.2
125 ± 1.223.6 ± 2.1
Polymyxin B>35>35
Table 7. Antifungal values of promising derivatives of AmB (13) and nystatin (14) [59].
Table 7. Antifungal values of promising derivatives of AmB (13) and nystatin (14) [59].
MIC (µg/mL)
Tested StrainsCompound
13a14a13b14b14c14e1314
C. parapsilosis ATCC 220190.03/0.060.5/10.06/0.1252/41/2 1/21/22/2
C. albicans ATCC10231n/t1/2 n/t2/42/44/80.5/0.51/2
A. fumigatus ATCC46645n/t2n/t42824
A. niger 37a0.12580.51681628
T. rubrum 20020.580.25328818
C. krusei 432M0.25/0.54/40.25/0.58/816/168/160.5/1.04/4
C. albicans 604M0.05/0.11/1n/t2/42/22/41/11/2
C. albicans 8R0.05/0.11/2 n/t4/42/42/41/11/2
C. glabrata 61L0.03/0.061/1n/t2/21/2 2/21/2 1/2
C. tropicalis 3010n/t1/1n/t2/22/22/40.5/11/2
C. parapsilosis 58Ln/t1/2 n/t2/41/2 2/20.5/11/2
n/t = not tested.
Disclaimer/Publisher’s Note: The statements, opinions and data contained in all publications are solely those of the individual author(s) and contributor(s) and not of MDPI and/or the editor(s). MDPI and/or the editor(s) disclaim responsibility for any injury to people or property resulting from any ideas, methods, instructions or products referred to in the content.

Share and Cite

MDPI and ACS Style

Ngece, K.; Ntondini, T.L.; Khwaza, V.; Paca, A.M.; Aderibigbe, B.A. Polyene-Based Derivatives with Antifungal Activities. Pharmaceutics 2024, 16, 1065. https://doi.org/10.3390/pharmaceutics16081065

AMA Style

Ngece K, Ntondini TL, Khwaza V, Paca AM, Aderibigbe BA. Polyene-Based Derivatives with Antifungal Activities. Pharmaceutics. 2024; 16(8):1065. https://doi.org/10.3390/pharmaceutics16081065

Chicago/Turabian Style

Ngece, Kwanele, Thabisa L. Ntondini, Vuyolwethu Khwaza, Athandwe M. Paca, and Blessing A. Aderibigbe. 2024. "Polyene-Based Derivatives with Antifungal Activities" Pharmaceutics 16, no. 8: 1065. https://doi.org/10.3390/pharmaceutics16081065

APA Style

Ngece, K., Ntondini, T. L., Khwaza, V., Paca, A. M., & Aderibigbe, B. A. (2024). Polyene-Based Derivatives with Antifungal Activities. Pharmaceutics, 16(8), 1065. https://doi.org/10.3390/pharmaceutics16081065

Note that from the first issue of 2016, this journal uses article numbers instead of page numbers. See further details here.

Article Metrics

Back to TopTop