New Members of the Centrapalus Coumarin and Pauciflorin Series from Centrapalus pauciflorus
Abstract
1. Introduction
2. Materials and Methods
2.1. Plant Material
2.2. General Experimental Procedures
2.3. Extraction and Isolation
2.4. Cyclohoehnelia Coumarin (1)
2.5. Centrapalus Coumarin N (2)
2.6. Pauciflorin P (3)
2.7. Pauciflorin Q (4)
2.8. Centrapalus Coumarin O (5)
2.9. X-ray Crystallography of Centrapalus Coumarin O (5)
2.10. Determination of Antiproliferative Activities
3. Results and Discussion
3.1. Isolation and Structure Elucidation of Compounds
3.2. Antiproliferative Activity of Centrapalus Coumarins N and O
4. Conclusions
Supplementary Materials
Author Contributions
Funding
Institutional Review Board Statement
Informed Consent Statement
Data Availability Statement
Conflicts of Interest
References
- Prager, G.W.; Braga, S.; Bystricky, B.; Qvortrup, C.; Criscitiello, C.; Esin, E.; Sonke, G.S.; Martínez, G.A.; Frenel, J.S.; Karamouzis, M.; et al. Global cancer control: Responding to the growing burden, rising costs and inequalities in access. ESMO Open 2018, 3, e000285. [Google Scholar] [CrossRef]
- Cornforth, J.W. Terpenoid biosynthesis. Chem. Br. 1968, 4, 102–106. [Google Scholar]
- Goyer, E.; Lavaud, C.; Massiot, G. Meroterpenoids? A historical and critical review of this biogenetic determinant. Nat. Prod. Rep. 2023, 40, 1071–1077. [Google Scholar] [CrossRef]
- Nazir, M.; Saleem, M.; Tousif, M.I.; Anwar, M.A.; Surup, F.; Ali, I.; Wang, D.; Mamadalieva, N.Z.; Alshammari, E.; Ashour, M.L.; et al. Meroterpenoids: A comprehensive update insight on structural diversity and biology. Biomolecules 2021, 11, 957. [Google Scholar] [CrossRef]
- Matsuda, Y.; Abe, I. Biosynthesis of fungal meroterpenoids. Nat. Prod. Rep. 2016, 33, 26–53. [Google Scholar] [CrossRef]
- Matsuda, Y.; Awakawa, T.; Abe, I. Reconstituted biosynthesis of fungal meroterpenoid andrastin A. Tetrahedron 2013, 69, 8199–8204. [Google Scholar] [CrossRef]
- El-Elimat, T.; Raja, H.A.; Ayers, S.; Kurina, S.J.; Burdette, J.E.; Mattes, Z.; Sabatelle, R.; Oberlies, N.H. Meroterpenoids from Neosetophoma sp.: A dioxa[4.3.3]propellane ring system, potent cytotoxicity, and prolific expression. Org. Lett. 2019, 21, 529–534. [Google Scholar] [CrossRef]
- Jiang, M.; Wu, Z.; Liu, L.; Chen, S. The chemistry and biology of fungal meroterpenoids (2009–2019). Org. Biomol. Chem. 2021, 19, 1644–1704. [Google Scholar] [CrossRef]
- Li, C.; Shao, Y.; Li, W.; Yin, T.; Li, H.; Yan, H.; Guo, X.; Liu, B.; He, B. Hybrid diterpenic meroterpenoids from an endophytic Penicillium sp. induced by chemical epigenetic manipulation. J. Nat. Prod. 2022, 85, 1486–1494. [Google Scholar] [CrossRef]
- Murray, R.D.H. Naturally occurring plant coumarins. In Progress in the Chemistry of Organic Natural Products; Herz, W., Grisebach, H., Kirby, G.W., Eds.; Springer: Vienna, Austria, 1978; Volume 35, pp. 199–429. [Google Scholar]
- Vestena, A.S.; Meirelles, G.C.; Zuanazzi, J.A.; von Poser, G.L. Taxonomic significance of coumarins in species from the subfamily Mutisioideae, Asteraceae. Phytochem. Rev. 2022, 22, 85–112. [Google Scholar] [CrossRef]
- Oketch-Rabah, H.A.; Lemmich, E.; Dossaji, S.F.; Theander, T.G.; Olsen, C.E.; Cornett, C.; Kharazmi, A.; Christensen, B.S. Two new antiprotozoal 5-methylcoumarins from Vernonia brachycalyx. J. Nat. Prod. 1997, 60, 458–461. [Google Scholar] [CrossRef] [PubMed]
- Kady, M.M.; Brimer, L.; Furu, P.; Lemmich, E.; Marie Nielsen, H.; Thiilborg, S.T.; Thastrup, O.; Brøgger Christensen, S. The Molluscicidal activity of coumarins from Ethulia conyzoides and of dicumarol. Planta Med. 1992, 58, 334–337. [Google Scholar] [CrossRef]
- International Plant Names Index. Available online: https://www.ipni.org/?q=Centrapalus%20pauciflorus (accessed on 8 January 2024).
- PROTA4U. Plant Resources of Tropical Africa. Available online: https://prota.prota4u.org/protav8.asp?h=M4&t=Centrapalus,pauciflorus&p=Vernonia+galamensis#Synonyms (accessed on 9 January 2024).
- Saidu, M.B.; Krstić, G.; Todorović, N.; Berkecz, R.; Ali, H.; Zupkó, I.; Hohmann, J.; Rédei, D. Monoterpenoid 5-methylcoumarins from Centrapalus pauciflorus with antiproliferative activity. Arab. J. Chem. 2023, 16, 104777. [Google Scholar] [CrossRef]
- Maroyi, A. Centrapalus pauciflorus: Review of its medicinal uses, phytochemistry and pharmacological properties. J. Pharm. Nutr. Sci. 2020, 10, 287–294. [Google Scholar] [CrossRef]
- Krstić, G.; Saidu, M.B.; Bombicz, P.; De, S.; Ali, H.; Zupkó, I.; Berkecz, R.; Gallah, U.S.; Rédei, D.; Hohmann, J. Pauciflorins A–E, unexpected chromone–monoterpene-derived meroterpenoids from Centrapalus pauciflorus. J. Nat. Prod. 2023, 86, 891–896. [Google Scholar] [CrossRef] [PubMed]
- Krstić, G.; Saidu, M.B.; Barta, A.; Vágvölgyi, M.; Ali, H.; Zupkó, I.; Berkecz, R.; Gallah, U.S.; Rédei, D.; Hohmann, J. Anticancer Meroterpenoids from Centrapalus pauciflorus leaves: Chromone-and 2, 4-chromadione-monoterpene derivatives. ACS Omega 2023, 8, 31389–31398. [Google Scholar] [CrossRef] [PubMed]
- CrystalClear SM 1.4.0; Rigaku/MSC Inc.: Cedar Park, TX, USA, 2008.
- Sheldrick, G.M. A short history of SHELX. Acta Cryst. 2008, 64, 112–122. [Google Scholar] [CrossRef]
- Mosmann, T.J. Rapid colorimetric assay for cellular growth and survival: Application to proliferation and cytotoxicity assays. Immunol. Methods 1983, 65, 55–63. [Google Scholar] [CrossRef]
- Schuster, N.; Christiansen, C.; Jakupovic, J.; Mungal, M. An unusual [2+2] cycloadduct of terpenoid coumarin from Ethulia vernonioides. Phytochemistry 1993, 34, 1179–1181. [Google Scholar] [CrossRef]
- Vishnu, S.; Dutta, S.C.; Baruah, R.N.; Sharma, R.P.; Thyagarajan, G.; Herz, W.; Kumar, N.; Watanabe, K.; Blount, J.F. New 5-methylcoumarins from Ethulia conyzoides. Phytochemistry 1982, 21, 1725–1731. [Google Scholar]
- Yang, Y.-X.; Wang, J.-X.; Wang, Q.; Li, H.-I.; Tao, M.; Luo, Q.; Liu, H. New chromane and chromene meroterpenoids from flowers of Rhododendron rubiginosum Franch. var. rubiginosum. Fitoterapia 2018, 127, 396–401. [Google Scholar] [CrossRef] [PubMed]
- Fuloria, N.K.; Raheja, R.K.; Shah, K.H.; Oza, M.J.; Kulkarni, Y.A.; Subramaniyan, V.; Sekar, M.; Fuloria, S. Biological activities of meroterpenoids isolated from different sources. Front. Pharmacol. 2022, 13, 830103. [Google Scholar] [CrossRef] [PubMed]
- Flack, H.D. On enantiomorph-polarity estimation. Acta Cryst. 1983, 39, 876–881. [Google Scholar] [CrossRef]
- Hooft, R.W.W.; Straver, L.H.; Spek, A.L. Determination of absolute structure using Bayesian statistics on Bijvoet differences. J. Appl. Cryst. 2008, 41, 96–103. [Google Scholar] [CrossRef]
- Higashi, T. Numerical Absorption Correction, NUMABS; Rigaku/MSC Inc.: Cedar Park, TX, USA, 2002. [Google Scholar]
- Spek, A.L. PLATON SQUEEZE: A tool for the calculation of the disordered solvent contribution to the calculated structure factors. Acta Cryst. 2015, 71, 9–18. [Google Scholar]

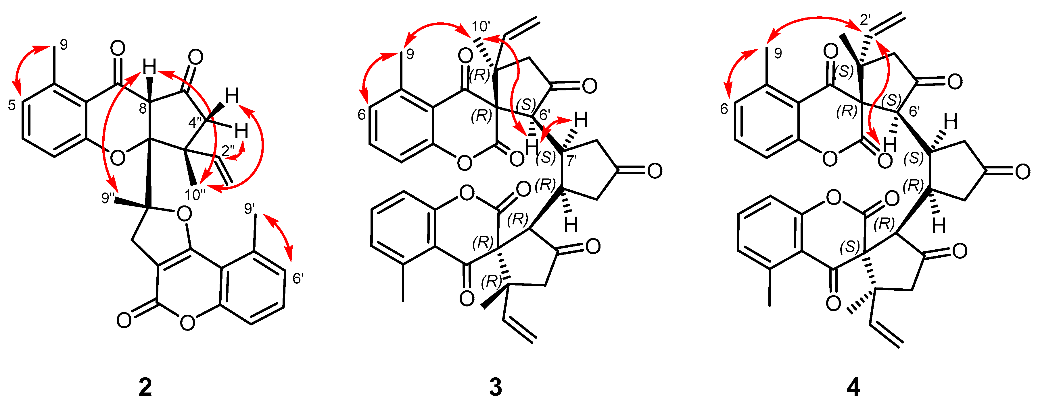
two- and three-bond correlations;
four-bond correlation).
two- and three-bond correlations;
four-bond correlation).
) of compounds 2, 3, and 4.


| Position | 1H | 13C |
|---|---|---|
| 1 | - | 119.1, C |
| 2 | - | 170.8, C |
| 3 | 6.48, d (7.9) | 109.2, CH |
| 4 | 6.86, t (7.9) | 137.2, CH |
| 5 | 6.14, d (7.9) | 123.3, CH |
| 6 | - | 138.9, C |
| 7 | - | 198.9, C |
| 8 | 3.78, s | 64.0, CH |
| 9 | 2.41, s | 17.3, CH3 |
| 2′ | - | 160.4, C |
| 3′ | - | 102.8, C |
| 4′ | - | 165.6, C |
| 4′a | - | 111.0, C |
| 5′ | - | 136.0, C |
| 6′ | 6.77, d (7.9) | 125.7, CH |
| 7′ | 7.18, t (7.9) | 131.2, CH |
| 8′ | 6.94, d (7.9) | 114.5, CH |
| 8′a | - | 155.5, C |
| 9′ | 2.30, s | 21.1, CH3 |
| 1″a | 5.01, d (17.3) | 116.8, CH2 |
| 1″b | 4.94, d (10.8) | |
| 2″ | 5.60, dd (17.3, 10.8) | 137.5, CH |
| 3″ | - | 47.5, C |
| 4″α | 2.98, d (18.0) | 52.0, CH2 |
| 4″β | 2.46, d (18.0) | |
| 5″ | - | 210.7, C |
| 6″ | - | 96.0, C |
| 7″ | - | 92.2, C |
| 8″α | 3.32, d (15.3) | 37.6, CH2 |
| 8″β | 2.83, d (15.3) | |
| 9″ | 1.83, s | 30.4, CH3 |
| 10″ | 1.36, s | 21.0, CH3 |
| Position | 3 | 4 | 3 | 4 |
|---|---|---|---|---|
| 2, 2″ | - | - | 167.5, C | 167.7, C |
| 3, 3″ | - | - | 68.8, C | 68.9, C |
| 4, 4″ | - | - | 189.9, C | 189.6, C |
| 5, 5″ | - | - | 141.5, C | 141.9, C |
| 6, 6″ | 7.00, d (8.0) | 7.05, d (7.8) | 127.4, C | 127.7, C |
| 7, 7″ | 7.24, t (8.0) | 7.29, t (7.8) | 134.5, CH | 134.5, CH |
| 8, 8″ | 6.34, d (8.0) | 6.43, d (7.8) | 115.0, CH | 115.0, CH |
| 8a, 8″a | - | - | 155.2, CH | 155.1, CH |
| 4a, 4″a | - | - | 118.5, C | 118.9, C |
| 9 | 2.62, s | 2.58, s | 21.9, CH3 | 21.7, CH3 |
| 1′, 1‴ | 4.82, d (17.2) | 5.05, d (17.2) | 116.8, CH2 | 114.9, CH2 |
| 4.86, d (10.7) | 4.84, d (10.8) | |||
| 2′, 2‴ | 5.51, dd (17.2, 10.7) | 5.52, dd (17.2, 10.8) | 138.8, CH | 140.3, CH |
| 3′, 3‴ | - | - | 48.9, C | 48.8, C |
| 4′, 4‴ | 2.10, d (18.6) (α) | 2.43, d (18.6) (α) | 47.6, CH2 | 46.9, CH2 |
| 2.80, d (18.6) (β) | 2.51, d (18.6) (β) | |||
| 5′, 5‴ | - | - | 212.2, C | 212.2, C |
| 6′, 6‴ | 3.46, d (9.1) | 3.40, d (8.9) | 52.9, CH | 53.7, CH |
| 7′, 7‴ | 2.53, m | 2.48, m | 45.3, CH | 45.2, CH |
| 8′, 8‴ | 1.67, m (α) | 1.68, m (α) | 30.1, CH2 | 30.1, CH2 |
| 2.89, m (β) | 2.86, m (β) | |||
| 9′ | - | - | 221.0, C | 221.3, C |
| 10′, 10‴ | 0.95, s | 1.07, s | 23.8, CH3 | 21.6, CH3 |
| Position | 1H | |
|---|---|---|
| 2 | - | 162.7, C |
| 3 | - | 108.0, C |
| 4 | - | 160.6, C |
| 4a | - | 114.5, C |
| 5 | - | 137.0, C |
| 6 | 7.01, d (7.8) | 127.6, CH |
| 7 | 7.33, t (7.8) | 131.0, CH |
| 8 | 7.14, d (7.8) | 115.0, CH |
| 8a | - | 153.9, C |
| 9 | 2.65, s | 23.8, CH3 |
| 1′ | 5.13, d (10.6) 5.15, d (17.5) | 112.8, CH2 |
| 2′ | 6.18, dd (17.5, 10.6) | 144.4, CH |
| 3′ | - | 36.5, C |
| 4′α | 2.04, dd (14.1, 11.9) | 41.4, CH2 |
| 4′β | 1.80, dd (14.1, 1.9) | |
| 5′ | 5.04, ddd (11.9, 7.8, 1.3) | 72.1, CH |
| 6′ | 6.89, dd (7.8, 1.3) | 137.7, CH |
| 7′ | - | 131.1, C |
| 8′ | 1.97, d (1.3) | 13.3, CH3 |
| 9′ | - | 167.7, C |
| 10′ | 1.64, s | 25.1, CH3 |
| 11′ | 3.82, s | 52.4, CH3 |
| Cell Line | Conc. (µM) | Inhibition (%) ± SEM (Calculated IC50 Value, µM) | ||
|---|---|---|---|---|
| 2 | 5 | Cisplatin | ||
| MCF7 | 10 | 34.64 ± 2.19 | – * | 66.91 ± 1.81 |
| 30 | 44.18 ± 1.76 | 35.50 ± 1.51 | 96.80 ± 0.35 (5.78) | |
| MDA-MB-231 | 10 | – | – | 42.72 ± 2.68 |
| 30 | 25.38 ± 2.06 | 25.53 ± 1.20 | 86.44 ± 0.42 (10.17) | |
| HeLa | 10 | – | – | 42.61 ± 2.33 |
| 30 | 41.79 ± 1.42 | 31.31 ± 1.18 | 99.93 ± 0.26 (12.43) | |
| SiHa | 10 | – | – | 60.98 ± 0.92 |
| 30 | 30.72 ± 1.49 | 33.34 ± 1.32 | 88.95 ± 0.53 (4.29) | |
| A2780 | 10 | 27.72 ± 1.34 | 27.41 ± 1.55 | 83.57 ± 2.21 |
| 30 | 66.21 ± 0.70 (20.11) | 69.28 ± 1.12 (15.99) | 95.02 ± 0.28 (1.30) | |
| NIH/3T3 | 10 | – | – | 73.88 ± 1.63 |
| 30 | 48.54 ± 2.20 | 28.36 ± 2.50 | 97.10 ± 0.15 (5.50) | |
Disclaimer/Publisher’s Note: The statements, opinions and data contained in all publications are solely those of the individual author(s) and contributor(s) and not of MDPI and/or the editor(s). MDPI and/or the editor(s) disclaim responsibility for any injury to people or property resulting from any ideas, methods, instructions or products referred to in the content. |
© 2024 by the authors. Licensee MDPI, Basel, Switzerland. This article is an open access article distributed under the terms and conditions of the Creative Commons Attribution (CC BY) license (https://creativecommons.org/licenses/by/4.0/).
Share and Cite
Saidu, M.B.; Krstić, G.; Bombicz, P.; De, S.; Barta, A.; Ali, H.; Zupkó, I.; Berkecz, R.; Gallah, U.S.; Rédei, D.; et al. New Members of the Centrapalus Coumarin and Pauciflorin Series from Centrapalus pauciflorus. Pharmaceutics 2024, 16, 907. https://doi.org/10.3390/pharmaceutics16070907
Saidu MB, Krstić G, Bombicz P, De S, Barta A, Ali H, Zupkó I, Berkecz R, Gallah US, Rédei D, et al. New Members of the Centrapalus Coumarin and Pauciflorin Series from Centrapalus pauciflorus. Pharmaceutics. 2024; 16(7):907. https://doi.org/10.3390/pharmaceutics16070907
Chicago/Turabian StyleSaidu, Muhammad Bello, Gordana Krstić, Petra Bombicz, Sourav De, Anita Barta, Hazhmat Ali, István Zupkó, Róbert Berkecz, Umar Shehu Gallah, Dóra Rédei, and et al. 2024. "New Members of the Centrapalus Coumarin and Pauciflorin Series from Centrapalus pauciflorus" Pharmaceutics 16, no. 7: 907. https://doi.org/10.3390/pharmaceutics16070907
APA StyleSaidu, M. B., Krstić, G., Bombicz, P., De, S., Barta, A., Ali, H., Zupkó, I., Berkecz, R., Gallah, U. S., Rédei, D., & Hohmann, J. (2024). New Members of the Centrapalus Coumarin and Pauciflorin Series from Centrapalus pauciflorus. Pharmaceutics, 16(7), 907. https://doi.org/10.3390/pharmaceutics16070907

