Unveiling Anticancer Potential of COX-2 and 5-LOX Inhibitors: Cytotoxicity, Radiosensitization Potential and Antimigratory Activity against Colorectal and Pancreatic Carcinoma
Abstract
1. Introduction
2. Materials and Methods
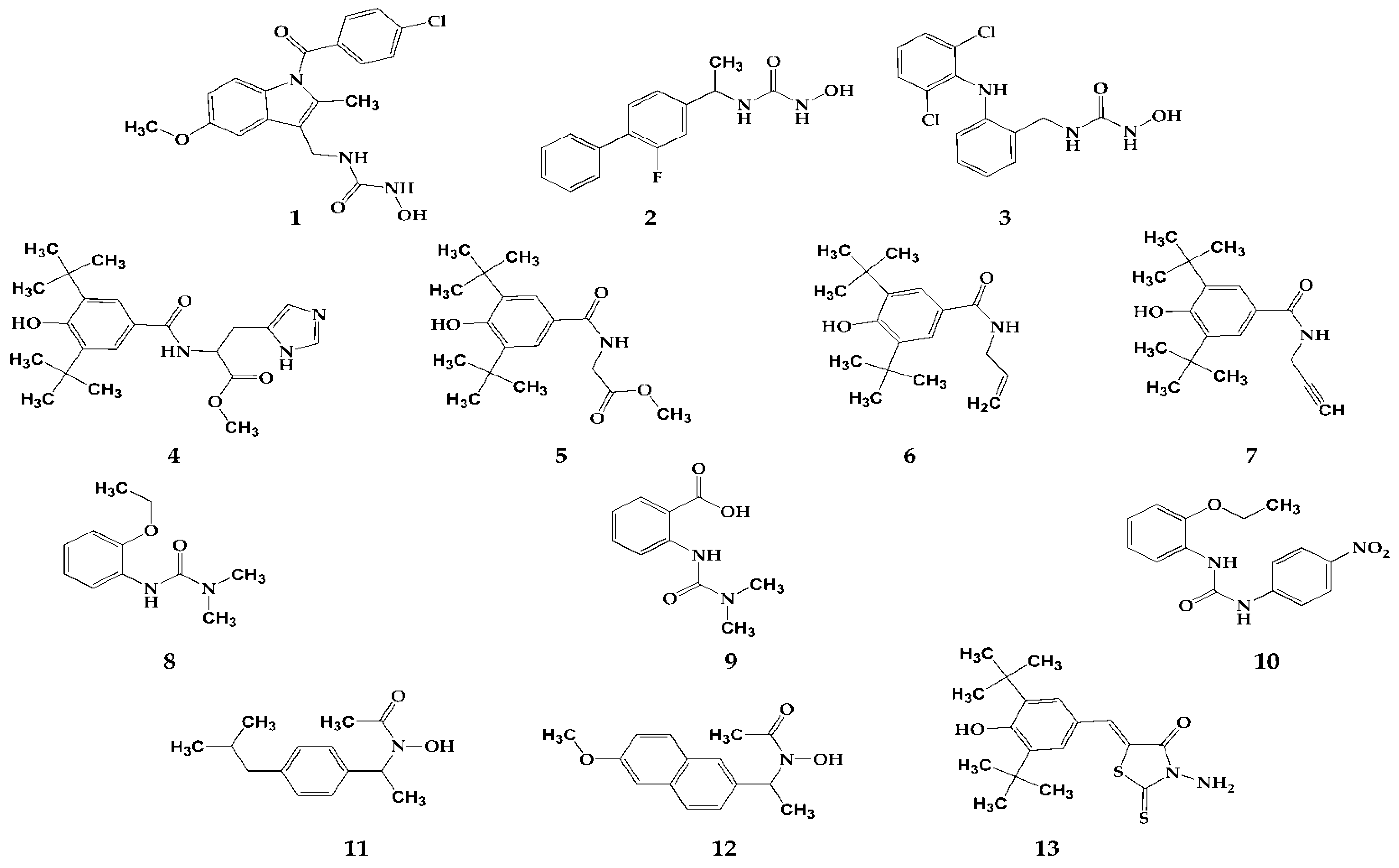
2.1. Tested Compounds
2.2. Evaluation of Cytotoxic Activity of Tested Compounds
2.2.1. Cell Lines, Cell Culture and Treatments
2.2.2. 2,5-Diphenyl-2H-tetrazolium Bromide (MTT) Assay
2.2.3. Sulforhodamine B (SRB) Assay
2.3. Evaluation of Antimigratory Potential of Selected Compounds
2.3.1. Wound-Healing Assay
2.3.2. Calcein-AM Viability Assay
2.4. Statistical Analysis
2.5. In Vivo Toxicity Assessment
3. Results and Discussion
3.1. Evaluation of Cytotoxic Activities of Tested Compounds
3.2. Evaluation of Radiosensitization Potential
3.3. Evaluation of Antimigratory Potential of Selected Dual COX-2 and 5-LOX Inhibitors
3.4. In Vivo Toxicity Assessment
4. Conclusions
Supplementary Materials
Author Contributions
Funding
Institutional Review Board Statement
Informed Consent Statement
Data Availability Statement
Conflicts of Interest
References
- P, J.J.; Manju, S.L.; Ethiraj, K.R.; Elias, G. Safer Anti-Inflammatory Therapy through Dual COX-2/5-LOX Inhibitors: A Structure-Based Approach. Eur. J. Pharm. Sci. 2018, 121, 356–381. [Google Scholar] [CrossRef]
- Coussens, L.M.; Werb, Z. Inflammation and Cancer. Nature 2002, 420, 860–867. [Google Scholar] [CrossRef]
- Itzkowitz, S.H.; Yio, X. Inflammation and Cancer IV. Colorectal Cancer in Inflammatory Bowel Disease: The Role of Inflammation. Am. J. Physiol. Gastrointest. Liver Physiol. 2004, 287, G7–G17. [Google Scholar] [CrossRef]
- Baron, J.A.; Sandler, R.S. Nonsteroidal Anti-Inflammatory Drugs and Cancer Prevention. Annu. Rev. Med. 2000, 51, 511–523. [Google Scholar] [CrossRef]
- García-Rodríguez, L.A.; Huerta-Alvarez, C. Reduced Risk of Colorectal Cancer among Long-Term Users of Aspirin and Nonaspirin Nonsteroidal Antiinflammatory Drugs. Epidemiology 2001, 12, 88–93. [Google Scholar] [CrossRef]
- Goossens, L.; Pommery, N.; Hénichart, J.P. COX-2/5-LOX Dual Acting Anti-Inflammatory Drugs in Cancer Chemotherapy. Curr. Top. Med. Chem. 2007, 7, 283–296. [Google Scholar] [CrossRef]
- Gautam, S.; Roy, S.; Ansari, M.N.; Saeedan, A.S.; Saraf, S.A.; Kaithwas, G. DuCLOX-2/5 Inhibition: A Promising Target for Cancer Chemoprevention. Breast Cancer 2017, 24, 180–190. [Google Scholar] [CrossRef]
- Ding, X.; Zhu, C.; Qiang, H.; Zhou, X.; Zhou, G. Enhancing Antitumor Effects in Pancreatic Cancer Cells by Combined Use of COX-2 and 5-LOX Inhibitors. Biomed. Pharmacother. 2011, 65, 486–490. [Google Scholar] [CrossRef]
- Hawash, M.; Jaradat, N.; Sabobeh, R.; Abualhasan, M.; Qaoud, M.T. New Thiazole Carboxamide Derivatives as COX Inhibitors: Design, Synthesis, Anticancer Screening, In Silico Molecular Docking, and ADME Profile Studies. ACS Omega 2023, 8, 29512–29526. [Google Scholar] [CrossRef]
- Raju, U.; Ariga, H.; Dittmann, K.; Nakata, E.; Ang, K.K.; Milas, L. Inhibition of DNA Repair as a Mechanism of Enhanced Radioresponse of Head and Neck Carcinoma Cells by a Selective Cyclooxygenase-2 Inhibitor, Celecoxib. Int. J. Radiat. Oncol. Biol. Phys. 2005, 63, 520–528. [Google Scholar] [CrossRef]
- Kuipers, G.K.; Slotman, B.J.; Wedekind, L.E.; Stoter, T.R.; van den Berg, J.; Sminia, P.; Lafleur, M.V.M. Radiosensitization of Human Glioma Cells by Cyclooxygenase-2 (COX-2) Inhibition: Independent on COX-2 Expression and Dependent on the COX-2 Inhibitor and Sequence of Administration. Int. J. Radiat. Biol. 2007, 83, 677–685. [Google Scholar] [CrossRef]
- Banu, N.; Buda, A.; Chell, S.; Elder, D.; Moorghen, M.; Paraskeva, C.; Qualtrough, D.; Pignatelli, M. Inhibition of COX-2 with NS-398 Decreases Colon Cancer Cell Motility through Blocking Epidermal Growth Factor Receptor Transactivation: Possibilities for Combination Therapy. Cell Prolif. 2007, 40, 768–779. [Google Scholar] [CrossRef]
- Bhojwani, H.; Begwani, K.; Bhor, V.; Bedi, P.; Balasinor, N.; Raut, S.; Joshi, U. Synthesis and Biological Evaluation of Benzamide-Chalcone Hybrids as Potential c-Met Kinase and COX-2 Inhibitors. Arch. Der Pharm. 2023, 356, 2200405. [Google Scholar] [CrossRef]
- Mar, W.; Je, K.H.; Seo, E.K. Cytotoxic Constituents of Psoralea Corylifolia. Arch. Pharm. Res. 2001, 24, 211–213. [Google Scholar] [CrossRef]
- Yang, H.J.; Youn, H.; Seong, K.M.; Yun, Y.J.; Kim, W.; Kim, Y.H.; Lee, J.Y.; Kim, C.S.; Jin, Y.-W.; Youn, B. Psoralidin, a Dual Inhibitor of COX-2 and 5-LOX, Regulates Ionizing Radiation (IR)-Induced Pulmonary Inflammation. Biochem. Pharmacol. 2011, 82, 524–534. [Google Scholar] [CrossRef]
- Bošković, J.; Dobričić, V.; Mihajlović, M.; Kotur-Stevuljević, J.; Čudina, O. Synthesis, Evaluation of Enzyme Inhibition and Redox Properties of Potential Dual COX-2 and 5-LOX Inhibitors. Pharmaceuticals 2023, 16, 549. [Google Scholar] [CrossRef]
- Moskot, M.; Jakóbkiewicz-Banecka, J.; Kloska, A.; Piotrowska, E.; Narajczyk, M.; Gabig-Cimińska, M. The Role of Dimethyl Sulfoxide (DMSO) in Gene Expression Modulation and Glycosaminoglycan Metabolism in Lysosomal Storage Disorders on an Example of Mucopolysaccharidosis. Int. J. Mol. Sci. 2019, 20, 304. [Google Scholar] [CrossRef]
- Sadeghi-Aliabadi, H.; Aliasgharluo, M.; Fattahi, A.; Mirian, M.; Ghannadian, M. In Vitro Cytotoxic Evaluation of Some Synthesized COX-2 Inhibitor Derivatives against a Panel of Human Cancer Cell Lines. Res. Pharm. Sci. 2013, 8, 298–303. [Google Scholar]
- Hawash, M.; Ergun, S.G.; Kahraman, D.C.; Olgac, A.; Hamel, E.; Cetin-Atalay, R.; Baytas, S.N. Novel Indole-Pyrazole Hybrids as Potential Tubulin-Targeting Agents; Synthesis, Antiproliferative Evaluation, and Molecular Modeling Studies. J. Mol. Struct. 2023, 1285, 135477. [Google Scholar] [CrossRef]
- OECD. Test No. 236: Fish Embryo Acute Toxicity (FET) Test; Organisation for Economic Co-operation and Development: Paris, France, 2013. [Google Scholar]
- Che, X.-H.; Chen, C.-L.; Ye, X.-L.; Weng, G.-B.; Guo, X.-Z.; Yu, W.-Y.; Tao, J.; Chen, Y.-C.; Chen, X. Dual Inhibition of COX-2/5-LOX Blocks Colon Cancer Proliferation, Migration and Invasion in Vitro. Oncol. Rep. 2016, 35, 1680–1688. [Google Scholar] [CrossRef]
- Griffon, G.; Merlin, J.L.; Marchal, C. Comparison of Sulforhodamine B, Tetrazolium and Clonogenic Assays for in Vitro Radiosensitivity Testing in Human Ovarian Cell Lines. Anti-Cancer Drugs 1995, 6, 115–123. [Google Scholar] [CrossRef]
- Pauwels, B.; Korst, A.E.C.; de Pooter, C.M.J.; Pattyn, G.G.O.; Lambrechts, H.A.J.; Baay, M.F.D.; Lardon, F.; Vermorken, J.B. Comparison of the Sulforhodamine B Assay and the Clonogenic Assay for in Vitro Chemoradiation Studies. Cancer Chemother. Pharmacol. 2003, 51, 221–226. [Google Scholar] [CrossRef]
- Vichai, V.; Kirtikara, K. Sulforhodamine B Colorimetric Assay for Cytotoxicity Screening. Nat. Protoc. 2006, 1, 1112–1116. [Google Scholar] [CrossRef]
- Galeaz, C.; Totis, C.; Bisio, A. Radiation Resistance: A Matter of Transcription Factors. Front. Oncol. 2021, 11, 662840. [Google Scholar] [CrossRef]
- Zhou, T.; Zhang, L.-Y.; He, J.-Z.; Miao, Z.-M.; Li, Y.-Y.; Zhang, Y.-M.; Liu, Z.-W.; Zhang, S.-Z.; Chen, Y.; Zhou, G.-C.; et al. Review: Mechanisms and Perspective Treatment of Radioresistance in Non-Small Cell Lung Cancer. Front. Immunol. 2023, 14, 1133899. [Google Scholar] [CrossRef]
- Rubinstein, L.V.; Shoemaker, R.H.; Paull, K.D.; Simon, R.M.; Tosini, S.; Skehan, P.; Scudiero, D.A.; Monks, A.; Boyd, M.R. Comparison of in Vitro Anticancer-Drug-Screening Data Generated with a Tetrazolium Assay versus a Protein Assay against a Diverse Panel of Human Tumor Cell Lines. J. Natl. Cancer Inst. 1990, 82, 1113–1118. [Google Scholar] [CrossRef]
- Perez, R.P.; Godwin, A.K.; Handel, L.M.; Hamilton, T.C. A Comparison of Clonogenic, Microtetrazolium and Sulforhodamine B Assays for Determination of Cisplatin Cytotoxicity in Human Ovarian Carcinoma Cell Lines. Eur. J. Cancer 1993, 29A, 395–399. [Google Scholar] [CrossRef]
- Haselsberger, K.; Peterson, D.C.; Thomas, D.G.; Darling, J.L. Assay of Anticancer Drugs in Tissue Culture: Comparison of a Tetrazolium-Based Assay and a Protein Binding Dye Assay in Short-Term Cultures Derived from Human Malignant Glioma. Anti-Cancer Drugs 1996, 7, 331–338. [Google Scholar] [CrossRef]
- Papapetrou, P.; Dimitriadis, K.; Galani, V.; Zoi, V.; Giannakopoulou, M.; Papathanasopoulou, V.A.; Sioka, C.; Tsekeris, P.; Kyritsis, A.P.; Lazari, D.; et al. Antitumor activity of 5-hydroxy-3′, 4′, 6, 7-tetramethoxyflavone in glioblastoma cell lines and its antagonism with radiotherapy. Biomol. Concepts 2024, 15, 20220039. [Google Scholar] [CrossRef]
- Inoue, T.; Anai, S.; Onishi, S.; Miyake, M.; Tanaka, N.; Hirayama, A.; Fujimoto, K.; Hirao, Y. Inhibition of COX-2 Expression by Topical Diclofenac Enhanced Radiation Sensitivity via Enhancement of TRAIL in Human Prostate Adenocarcinoma Xenograft Model. BMC Urol. 2013, 13, 1. [Google Scholar] [CrossRef]
- Schwab, M.; Dezfouli, A.B.; Khosravi, M.; Alkotub, B.; Bauer, L.; Birgani, M.J.T.; Multhoff, G. The Radiation- and Chemo-Sensitizing Capacity of Diclofenac Can Be Predicted by a Decreased Lactate Metabolism and Stress Response. Radiat. Oncol. 2024, 19, 7. [Google Scholar] [CrossRef]
- Xu, X.-T.; Hu, W.-T.; Zhou, J.-Y.; Tu, Y. Celecoxib Enhances the Radiosensitivity of HCT116 Cells in a COX-2 Independent Manner by up-Regulating BCCIP. Am. J. Transl. Res. 2017, 9, 1088–1100. [Google Scholar]
- Shaghaghi, Z.; Polgardani, N.Z.; Abbasi, S.; Albooyeh, H.; Dastranj, L.; Farzipour, S.; Alvandi, M. Etodolac Enhances the Radiosensitivity of Irradiated HT-29 Human Colorectal Cancer Cells. Curr. Radiopharm. 2022, 15, 242–248. [Google Scholar] [CrossRef]
- Hewitt, R.E.; McMarlin, A.; Kleiner, D.; Wersto, R.; Martin, P.; Tsokos, M.; Stamp, G.W.; Stetler-Stevenson, W.G. Validation of a Model of Colon Cancer Progression. J. Pathol. 2000, 192, 446–454. [Google Scholar] [CrossRef] [PubMed]
- Buecher, B.; Bouancheau, D.; Broquet, A.; Bezieau, S.; Denis, M.G.; Bonnet, C.; Heymann, M.-F.; Jarry, A.; Galmiche, J.-P.; Blottière, H.M. Growth Inhibitory Effect of Celecoxib and Rofecoxib on Human Colorectal Carcinoma Cell Lines. Anti-Cancer Res. 2005, 25, 225–233. [Google Scholar]
- Chen, W.-S.; Wei, S.-J.; Liu, J.M.; Hsiao, M.; Kou-Lin, J.; Yang, W.K. Tumor Invasiveness and Liver Metastasis of Colon Cancer Cells Correlated with Cyclooxygenase-2 (COX-2) Expression and Inhibited by a COX-2–Selective Inhibitor, Etodolac. Int. J. Cancer 2001, 91, 894–899. [Google Scholar] [CrossRef]
- Guo, Q.; Wu, M.; Lian, P.; Liao, M.; Xiao, Z.; Wang, X.; Shen, S. Synergistic Effect of Indomethacin and NGX6 on Proliferation and Invasion by Human Colorectal Cancer Cells through Modulation of the Wnt/Beta-Catenin Signaling Pathway. Mol. Cell. Biochem. 2009, 330, 71–81. [Google Scholar] [CrossRef]
- Wang, X.; Ye, X.; Zhang, Y.; Ji, F. Flurbiprofen Suppresses the Inflammation, Proliferation, Invasion and Migration of Colorectal Cancer Cells via COX2. Oncol. Lett. 2020, 20, 132. [Google Scholar] [CrossRef]
- Erdoğ, A.; Putra Limasale, Y.D.; Keskin, D.; Tezcaner, A.; Banerjee, S. In Vitro Characterization of a Liposomal Formulation of Celecoxib Containing 1,2-Distearoyl-Sn-Glycero-3-Phosphocholine, Cholesterol, and Polyethylene Glycol and Its Functional Effects against Colorectal Cancer Cell Lines. J. Pharm. Sci. 2013, 102, 3666–3677. [Google Scholar] [CrossRef]
- MacRae, C.A.; Peterson, R.T. Zebrafish as Tools for Drug Discovery. Nat. Rev. Drug Discov. 2015, 14, 721–731. [Google Scholar] [CrossRef]
- Cassar, S.; Adatto, I.; Freeman, J.L.; Gamse, J.T.; Iturria, I.; Lawrence, C.; Muriana, A.; Peterson, R.T.; Van Cruchten, S.; Zon, L.I. Use of Zebrafish in Drug Discovery Toxicology. Chem. Res. Toxicol. 2020, 33, 95–118. [Google Scholar] [CrossRef] [PubMed]
- Cully, M. Zebrafish Earn Their Drug Discovery Stripes. Nat. Rev. Drug Discov. 2019, 18, 811–813. [Google Scholar] [CrossRef] [PubMed]




| Tested Compounds | IC50 Values (µM) | |||
|---|---|---|---|---|
| HCT 116 | BxPC-3 | HT-29 | MRC-5 | |
| 1 | 4.97 ± 0.78 (1.95) a | 12.78 ± 1.11 (0.76) | 9.78 ± 0.68 (0.99) | 9.68 ± 2.34 (1) |
| 2 | 64.76 ± 2.76 (1.07) | 48.70 ± 4.60 (1.42) | 82.38 ± 4.25 (0.84) | 69.12 ± 3.07 (1) |
| 3 | 40.76 ± 1.95 (>2.45) | 34.28 ± 1.79 (>2.91) | 64.64 ± 3.41 (>1.55) | >100 (/) |
| 4 | 29.51 ± 5.23 (1.20) | 24.72 ± 2.01 (1.43) | 42.28 ± 2.57 (0.84) | 35.44 ± 4.14 (1) |
| 5 | 51.66 ± 1.78 (>1.94) | 41.20 ± 2.88 (>2.43) | 81.60 ± 2.77 (>1.22) | >100 (/) |
| 6 | 22.99 ± 3.27 (>4.35) | 8.63 ± 0.77 (>11.59) | 24.78 ± 5.40 (>4.04) | >100 (/) |
| 7 | 30.23 ± 5.07 (>3.31) | 29.20 ± 1.56 (>3.42) | >100 (/) | >100 (/) |
| 8 | >100 (/) | >100 (/) | >100 (/) | >100 (/) |
| 9 | >100 (/) | >100 (/) | >100 (/) | >100 (/) |
| 10 | 9.30 ± 0.38 (2.01) | 6.05 ± 1.68 (3.09) | 7.08 ± 0.30 (2.64) | 18.68 ± 0.98 (1) |
| 11 | 82.05 ± 2.34 (0.70) | 63.02 ± 3.80 (0.91) | 84.14 ± 3.43 (0.68) | 57.10 ± 3.80 (1) |
| 12 | >100 (/) | 76.68 ± 5.54 (0.83) | >100 (/) | 63.56 ± 9.04 (1) |
| 13 | 2.21 ± 0.12 (25.84) | 1.80 ± 0.10 (31.72) | 12.40 ± 1.95 (4.60) | 57.10 ± 3.80 (1) |
| Diclofenac | 79.11 ± 3.68 (1.14) | 57.19 ± 3.03 (1.58) | 74.95 ± 3.98 (1.21) | 90.62 ± 3.20 (1) |
| Indomethacin | 60.44 ± 4.27 (1.32) | 85.91 ± 2.58 (0.93) | 89.48 ± 4.45 (0.89) | 79.76 ± 5.90 (1) |
| Flurbiprofen | ˃100 (/) | ˃100 (/) | ˃100 (/) | ˃100 (/) |
| Zileuton | 44.89 ± 3.48 (2.13) | 74.92 ± 4.10 (1.28) | 78.49 ± 2.28 (1.22) | 95.74 ± 0.94 (1) |
| Tested Compounds | Relative Wound Closure (%) | |
|---|---|---|
| 24 h | 48 h | |
| control | 17.87 ± 3.48 | 24.51 ± 1.39 |
| 1 | 3.20 ± 0.99 | 5.08 ± 2.46 |
| 2 | 7.47 ± 2.14 | 11.61 ± 3.06 |
| 3 | 3.86 ± 0.19 | 7.68 ± 2.99 |
| 5 | 7.12 ± 1.43 | 9.11 ± 0.27 |
Disclaimer/Publisher’s Note: The statements, opinions and data contained in all publications are solely those of the individual author(s) and contributor(s) and not of MDPI and/or the editor(s). MDPI and/or the editor(s) disclaim responsibility for any injury to people or property resulting from any ideas, methods, instructions or products referred to in the content. |
© 2024 by the authors. Licensee MDPI, Basel, Switzerland. This article is an open access article distributed under the terms and conditions of the Creative Commons Attribution (CC BY) license (https://creativecommons.org/licenses/by/4.0/).
Share and Cite
Bošković, J.; Dobričić, V.; Keta, O.; Korićanac, L.; Žakula, J.; Dinić, J.; Jovanović Stojanov, S.; Pavić, A.; Čudina, O. Unveiling Anticancer Potential of COX-2 and 5-LOX Inhibitors: Cytotoxicity, Radiosensitization Potential and Antimigratory Activity against Colorectal and Pancreatic Carcinoma. Pharmaceutics 2024, 16, 826. https://doi.org/10.3390/pharmaceutics16060826
Bošković J, Dobričić V, Keta O, Korićanac L, Žakula J, Dinić J, Jovanović Stojanov S, Pavić A, Čudina O. Unveiling Anticancer Potential of COX-2 and 5-LOX Inhibitors: Cytotoxicity, Radiosensitization Potential and Antimigratory Activity against Colorectal and Pancreatic Carcinoma. Pharmaceutics. 2024; 16(6):826. https://doi.org/10.3390/pharmaceutics16060826
Chicago/Turabian StyleBošković, Jelena, Vladimir Dobričić, Otilija Keta, Lela Korićanac, Jelena Žakula, Jelena Dinić, Sofija Jovanović Stojanov, Aleksandar Pavić, and Olivera Čudina. 2024. "Unveiling Anticancer Potential of COX-2 and 5-LOX Inhibitors: Cytotoxicity, Radiosensitization Potential and Antimigratory Activity against Colorectal and Pancreatic Carcinoma" Pharmaceutics 16, no. 6: 826. https://doi.org/10.3390/pharmaceutics16060826
APA StyleBošković, J., Dobričić, V., Keta, O., Korićanac, L., Žakula, J., Dinić, J., Jovanović Stojanov, S., Pavić, A., & Čudina, O. (2024). Unveiling Anticancer Potential of COX-2 and 5-LOX Inhibitors: Cytotoxicity, Radiosensitization Potential and Antimigratory Activity against Colorectal and Pancreatic Carcinoma. Pharmaceutics, 16(6), 826. https://doi.org/10.3390/pharmaceutics16060826

