Polydopamine-Modified Copper Coordination Mesoporous Silica Nanoparticles Loaded with Disulfiram for Synergistic Chemo-Photothermal Therapy
Abstract
1. Introduction
2. Materials and Methods
2.1. Materials
2.2. Synthesis of Mesoporous Silica Nanoparticles (MSNs)
2.3. Synthesis of CuMSN
2.4. Preparation of CuMSN-PDA
2.5. Preparation of DSF@CuMSN-PDA
2.6. Characterization
2.7. In Vitro DSF and Cu2+ Release
2.8. Photothermal Properties of DSF@CuMSN-PDA
2.9. Hemolysis Test
2.10. Intracellular ROS Detection
2.11. In Vitro Cytotoxicity and Live/Dead Cell Staining Assay
2.12. Cellular Uptake
2.13. Construction of a Tumor-Bearing Mouse Model
2.14. In Vivo Antitumor Effect
2.15. In Vivo Biodistribution
2.16. In Vivo Biosafety Assay
2.17. Statistical Analysis
3. Results and Discussion
3.1. Preparation and Characterization of DSF@CuMSN-PDA
3.2. In Vitro DSF and Cu2+ Release
3.3. Photothermal Properties of DSF@CuMSN-PDA
3.4. Hemolysis Test
3.5. Intracellular ROS Detection
3.6. In Vitro Cytotoxicity and Live/Dead Cell Staining Assay
3.7. Cellular Uptake
3.8. In Vivo Antitumor Effect
3.9. In Vivo Biodistribution
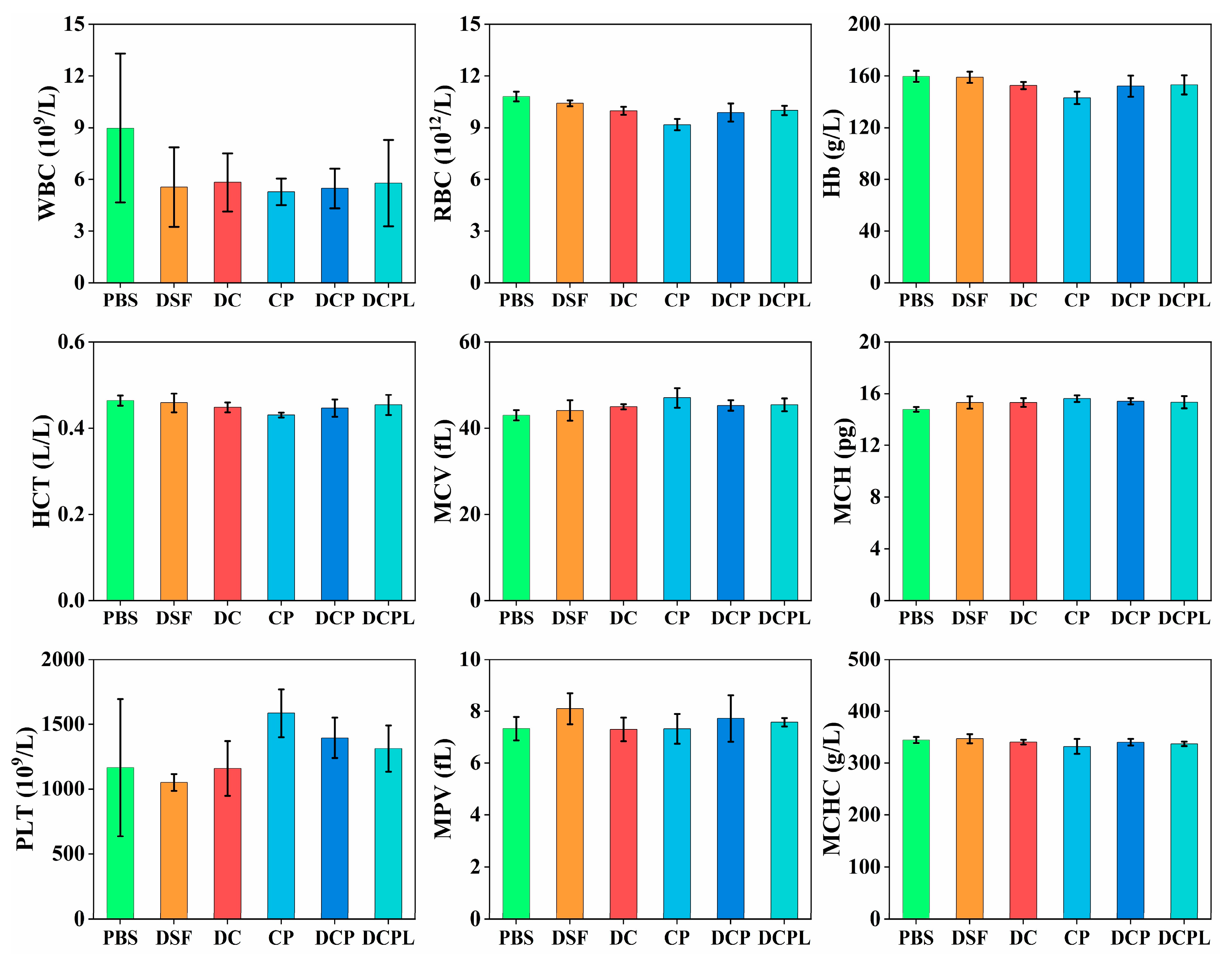
3.10. In Vivo Biosafety Assay
4. Conclusions
Supplementary Materials
Author Contributions
Funding
Institutional Review Board Statement
Informed Consent Statement
Data Availability Statement
Conflicts of Interest
References
- Sung, H.; Ferlay, J.; Siegel, R.L.; Laversanne, M.; Soerjomataram, I.; Jemal, A.; Bray, F. Global Cancer Statistics 2020: GLOBOCAN Estimates of Incidence and Mortality Worldwide for 36 Cancers in 185 Countries. Ca-A Cancer J. Clin. 2021, 71, 209–249. [Google Scholar] [CrossRef] [PubMed]
- Albain, K.S.P.; Swann, R.S.P.; Rusch, V.W.P.; Turrisi, A.T.P.; Shepherd, F.A.P.; Smith, C.P.; Chen, Y.P.; Livingston, R.B.P.; Feins, R.H.P.; Gandara, D.R.P.; et al. Radiotherapy plus chemotherapy with or without surgical resection for stage III non-small-cell lung cancer: A phase III randomised controlled trial. Lancet 2009, 374, 379–386. [Google Scholar] [CrossRef]
- Xu, R.; Zhang, K.; Liang, J.; Gao, F.; Li, J.; Guan, F. Hyaluronic acid/polyethyleneimine nanoparticles loaded with copper ion and disulfiram for esophageal cancer. Carbohydr. Polym. 2021, 261, 117846. [Google Scholar] [CrossRef] [PubMed]
- Sluyser, M.; Evers, S.G.; de Goeij, C.C.J. Chemotherapy and hormonal therapy of mouse mammary tumors. J. Steroid Biochem. 1985, 23, 1163–1167. [Google Scholar] [CrossRef] [PubMed]
- Suzuki, Y.; Adachi, Y.; Minamino, K.; Zhang, Y.; Iwasaki, M.; Nakano, K.; Koike, Y.; Ikehara, S. A New Strategy for Treatment of Malignant Tumor: Intra-Bone Marrow–Bone Marrow Transplantation Plus CD4− Donor Lymphocyte Infusion. Stem Cells 2005, 23, 365–370. [Google Scholar] [CrossRef] [PubMed]
- Song, W.F.; Zeng, J.Y.; Ji, P.; Han, Z.Y.; Sun, Y.X.; Zhang, X.Z. Self-Assembled Copper-Based Nanoparticles for Glutathione Activated and Enzymatic Cascade-Enhanced Ferroptosis and Immunotherapy in Cancer Treatment. Small 2023, 19, 2301148. [Google Scholar] [CrossRef] [PubMed]
- Delorme, V.; Lichon, L.; Mahindad, H.; Hunger, S.; Laroui, N.; Daurat, M.; Godefroy, A.; Coudane, J.; Gary-Bobo, M.; Van Den Berghe, H. Reverse poly(ε-caprolactone)-g-dextran graft copolymers. Nano-carriers for intracellular uptake of anticancer drugs. Carbohydr. Polym. 2020, 232, 115764. [Google Scholar] [CrossRef] [PubMed]
- Hussain, Y.; Islam, L.; Khan, H.; Filosa, R.; Aschner, M.; Javed, S. Curcumin–cisplatin chemotherapy: A novel strategy in promoting chemotherapy efficacy and reducing side effects. Phytother. Res. 2021, 35, 6514–6529. [Google Scholar] [CrossRef] [PubMed]
- Liang, J.; Ling, J.; Zhang, X.; Ouyang, X.K.; Omer, A.M.; Yang, G. pH/glutathione dual-responsive copper sulfide-coated organic mesoporous silica for synergistic chemo-photothermal therapy. J. Colloid Interface Sci. 2024, 657, 1–14. [Google Scholar] [CrossRef] [PubMed]
- Zhu, Y.; Ling, J.; Xu, X.; Ouyang, X.-k.; Wang, N. Redox and pH dual sensitive carboxymethyl chitosan functionalized polydopamine nanoparticles loaded with doxorubicin for tumor chemo-photothermal therapy. Int. J. Biol. Macromol. 2023, 240, 124488. [Google Scholar] [CrossRef] [PubMed]
- Feng, H.; Li, M.; Xing, Z.; Ouyang, X.-k.; Ling, J. Efficient delivery of fucoxanthin using metal-polyphenol network-coated magnetic mesoporous silica. J. Drug Deliv. Sci. Technol. 2022, 77, 103842. [Google Scholar] [CrossRef]
- Chen, W.; Zeng, K.; Liu, H.; Ouyang, J.; Wang, L.; Liu, Y.; Wang, H.; Deng, L.; Liu, Y.N. Cell Membrane Camouflaged Hollow Prussian Blue Nanoparticles for Synergistic Photothermal-/Chemotherapy of Cancer. Adv. Funct. Mater. 2017, 27, 1605795. [Google Scholar] [CrossRef]
- Xu, W.; Li, D.; Chen, C.; Wang, J.; Wei, X.; Yang, X. Design of Mitoxantrone-Loaded Biomimetic Nanocarrier with Sequential Photothermal/Photodynamic/Chemotherapy Effect for Synergized Immunotherapy. Adv. Funct. Mater. 2023, 33, 2302231. [Google Scholar] [CrossRef]
- Xing, G.; Yu, X.; Zhang, Y.; Sheng, S.; Jin, L.; Zhu, D.; Mei, L.; Dong, X.; Lv, F. Macrophages-Based Biohybrid Microrobots for Breast Cancer Photothermal Immunotherapy by Inducing Pyroptosis. Small 2023, 20, 2305526. [Google Scholar] [CrossRef] [PubMed]
- Yi, Y.; Yu, M.; Li, W.; Zhu, D.; Mei, L.; Ou, M. Vaccine-like nanomedicine for cancer immunotherapy. J. Control. Release 2023, 355, 760–778. [Google Scholar] [CrossRef] [PubMed]
- Zhu, Y.; Wang, N.; Ling, J.; Yang, L.; Omer, A.M.; Ouyang, X.-K.; Yang, G. In situ generation of copper(Ⅱ)/diethyldithiocarbamate complex through tannic acid/copper(Ⅱ) network coated hollow mesoporous silica for enhanced cancer chemodynamic therapy. J. Colloid Interface Sci. 2024, 660, 637–646. [Google Scholar] [CrossRef] [PubMed]
- Fuller, R.K.; Branchey, L.; Brightwell, D.R.; Derman, R.M.; Emrick, C.D.; Iber, F.L.; James, K.E.; Lacoursiere, R.B.; Lee, K.K.; Lowenstam, I.; et al. Disulfiram treatment of alcoholism. A Veterans Administration cooperative study. JAMA 1986, 256, 1449–1455. [Google Scholar] [CrossRef] [PubMed]
- Chick, J.; Gough, K.; Falkowski, W.; Kershaw, P.; Hore, B.; Mehta, B.; Ritson, B.; Ropner, R.; Torley, D. Disulfiram Treatment of Alcoholism. Br. J. Psychiatry 1992, 161, 84–89. [Google Scholar] [CrossRef] [PubMed]
- Chen, H.; Li, X.; Huo, M.; Wang, L.; Chen, Y.; Chen, W.; Wang, B. Tumor-responsive copper-activated disulfiram for synergetic nanocatalytic tumor therapy. Nano Res. 2021, 14, 205–211. [Google Scholar] [CrossRef]
- Lu, Y.; Pan, Q.; Gao, W.; Pu, Y.; Luo, K.; He, B.; Gu, Z. Leveraging disulfiram to treat cancer: Mechanisms of action, delivery strategies, and treatment regimens. Biomaterials 2022, 281, 121335. [Google Scholar] [CrossRef]
- Gao, G.; Sun, X.; Liang, G. Nanoagent-Promoted Mild-Temperature Photothermal Therapy for Cancer Treatment. Adv. Funct. Mater. 2021, 31, 2100738. [Google Scholar] [CrossRef]
- Wu, W.; Yu, L.; Jiang, Q.; Huo, M.; Lin, H.; Wang, L.; Chen, Y.; Shi, J. Enhanced Tumor-Specific Disulfiram Chemotherapy by In Situ Cu2+ Chelation-Initiated Nontoxicity-to-Toxicity Transition. J. Am. Chem. Soc. 2019, 141, 11531–11539. [Google Scholar] [CrossRef] [PubMed]
- Chen, M.; Huang, Z.; Xia, M.; Ding, Y.; Shan, T.; Guan, Z.; Dai, X.; Xu, X.; Huang, Y.; Huang, M.; et al. Glutathione-responsive copper-disulfiram nanoparticles for enhanced tumor chemotherapy. J. Control. Release 2022, 341, 351–363. [Google Scholar] [CrossRef] [PubMed]
- Zhao, L.; Wang, X.; Lou, H.; Jiang, M.; Wu, X.; Qin, J.; Zhang, J.; Guan, X.; Li, W.; Zhang, W.; et al. Buffet-style Cu(II) for enhance disulfiram-based cancer therapy. J. Colloid Interface Sci. 2022, 624, 734–746. [Google Scholar] [CrossRef]
- Liu, W.; Xiang, H.; Tan, M.; Chen, Q.; Jiang, Q.; Yang, L.; Cao, Y.; Wang, Z.; Ran, H.; Chen, Y. Nanomedicine Enables Drug-Potency Activation with Tumor Sensitivity and Hyperthermia Synergy in the Second Near-Infrared Biowindow. ACS Nano 2021, 15, 6457–6470. [Google Scholar] [CrossRef] [PubMed]
- Peng, Y.; Liu, P.; Meng, Y.; Hu, S.; Ding, J.; Zhou, W. Nanoscale Copper(II)–Diethyldithiocarbamate Coordination Polymer as a Drug Self-Delivery System for Highly Robust and Specific Cancer Therapy. Mol. Pharm. 2020, 17, 2864–2873. [Google Scholar] [CrossRef] [PubMed]
- Huang, X.; Hou, Y.; Weng, X.; Pang, W.; Hou, L.; Liang, Y.; Wang, Y.; Du, L.; Wu, T.; Yao, M.; et al. Diethyldithiocarbamate-copper complex (CuET) inhibits colorectal cancer progression via miR-16-5p and 15b-5p/ALDH1A3/PKM2 axis-mediated aerobic glycolysis pathway. Oncogenesis 2021, 10, 4. [Google Scholar] [CrossRef] [PubMed]
- Skrott, Z.; Mistrik, M.; Andersen, K.K.; Friis, S.; Majera, D.; Gursky, J.; Ozdian, T.; Bartkova, J.; Turi, Z.; Moudry, P.; et al. Alcohol-abuse drug disulfiram targets cancer via p97 segregase adaptor NPL4. Nature 2017, 552, 194–199. [Google Scholar] [CrossRef] [PubMed]
- Skrott, Z.; Majera, D.; Gursky, J.; Buchtova, T.; Hajduch, M.; Mistrik, M.; Bartek, J. Disulfiram’s anti-cancer activity reflects targeting NPL4, not inhibition of aldehyde dehydrogenase. Oncogene 2019, 38, 6711–6722. [Google Scholar] [CrossRef]
- Zhou, W.; Zhang, H.; Huang, L.; Sun, C.; Yue, Y.; Cao, X.; Jia, H.; Wang, C.; Gao, Y. Disulfiram with Cu2+ alleviates dextran sulfate sodium-induced ulcerative colitis in mice. Theranostics 2023, 13, 2879–2895. [Google Scholar] [CrossRef] [PubMed]
- Chen, D.; Cui, Q.C.; Yang, H.; Dou, Q.P. Disulfiram, a clinically used anti-alcoholism drug and copper-binding agent, induces apoptotic cell death in breast cancer cultures and xenografts via inhibition of the proteasome activity. Cancer Res. 2006, 66, 10425–10433. [Google Scholar] [CrossRef] [PubMed]
- Ishikawa, K.; Takenaga, K.; Akimoto, M.; Koshikawa, N.; Yamaguchi, A.; Imanishi, H.; Nakada, K.; Honma, Y.; Hayashi, J.-I. ROS-Generating Mitochondrial DNA Mutations Can Regulate Tumor Cell Metastasis. Science 2008, 320, 661–664. [Google Scholar] [CrossRef] [PubMed]
- Jia, P.; Dai, C.; Cao, P.; Sun, D.; Ouyang, R.; Miao, Y. The role of reactive oxygen species in tumor treatment. RSC Adv. 2020, 1, 774–775. [Google Scholar] [CrossRef] [PubMed]
- Majera, D.; Skrott, Z.; Chroma, K.; Merchut-Maya, J.M.; Mistrik, M.; Bartek, J. Targeting the NPL4 Adaptor of p97/VCP Segregase by Disulfiram as an Emerging Cancer Vulnerability Evokes Replication Stress and DNA Damage while Silencing the ATR Pathway. Cells 2020, 9, 469. [Google Scholar] [CrossRef] [PubMed]
- He, Y.; Yang, M.; Yang, L.; Hao, M.; Wang, F.; Li, X.; Taylor, E.W.; Zhang, X.; Zhang, J. Preparation and anticancer actions of CuET-nanoparticles dispersed by bovine serum albumin. Colloids Surf. B-Biointerfaces 2023, 226, 113329. [Google Scholar] [CrossRef] [PubMed]
- Li, Q.; Chao, Y.; Liu, B.; Xiao, Z.; Yang, Z.; Wu, Y.; Liu, Z. Disulfiram loaded calcium phosphate nanoparticles for enhanced cancer immunotherapy. Biomaterials 2022, 291, 121880. [Google Scholar] [CrossRef] [PubMed]
- Zhou, J.; Yu, Q.; Song, J.; Li, S.; Li, X.L.; Kang, B.K.; Chen, H.Y.; Xu, J.J. Photothermally Triggered Copper Payload Release for Cuproptosis-Promoted Cancer Synergistic Therapy. Angew. Chem. Int. Ed. 2023, 62, e202213922. [Google Scholar] [CrossRef] [PubMed]
- Huang, C.; Zhang, L.; Guo, Q.; Zuo, Y.; Wang, N.; Wang, H.; Kong, D.; Zhu, D.; Zhang, L. Robust Nanovaccine Based on Polydopamine-Coated Mesoporous Silica Nanoparticles for Effective Photothermal-Immunotherapy Against Melanoma. Adv. Funct. Mater. 2021, 31, 2010637. [Google Scholar] [CrossRef]
- López-Ruiz, M.; Navas, F.; Fernández-García, P.; Martínez-Erro, S.; Fuentes, M.V.; Giráldez, I.; Ceballos, L.; Ferrer-Luque, C.M.; Ruiz-Linares, M.; Morales, V.; et al. L-arginine-containing mesoporous silica nanoparticles embedded in dental adhesive (Arg@MSN@DAdh) for targeting cariogenic bacteria. J. Nanobiotechnol. 2022, 20, 502–516. [Google Scholar] [CrossRef] [PubMed]
- Wu, S.; Huang, Y.; Yan, J.; Li, Y.; Wang, J.; Yang, Y.Y.; Yuan, P.; Ding, X. Bacterial Outer Membrane-Coated Mesoporous Silica Nanoparticles for Targeted Delivery of Antibiotic Rifampicin against Gram-Negative Bacterial Infection In Vivo. Adv. Funct. Mater. 2021, 31, 2103442. [Google Scholar] [CrossRef]
- Ghosh, S.; Dutta, S.; Sarkar, A.; Kundu, M.; Sil, P.C. Targeted delivery of curcumin in breast cancer cells via hyaluronic acid modified mesoporous silica nanoparticle to enhance anticancer efficiency. Colloids Surf. B-Biointerfaces 2021, 197, 111404. [Google Scholar] [CrossRef]
- Tang, Y.; Zhang, D.; Lu, Y.; Liu, S.; Zhang, J.; Pu, Y.; Wei, W. Fluorescence imaging of FEN1 activity in living cells based on controlled-release of fluorescence probe from mesoporous silica nanoparticles. Biosens. Bioelectron. 2022, 214, 114529. [Google Scholar] [CrossRef] [PubMed]
- Ma, Z.; Wang, H.; Shi, Z.; Yan, F.; Li, Q.; Chen, J.; Cui, Z.-K.; Zhang, Y.; Jin, X.; Jia, Y.-G.; et al. Inhalable GSH-Triggered Nanoparticles to Treat Commensal Bacterial Infection in In Situ Lung Tumors. ACS Nano 2023, 17, 5740–5756. [Google Scholar] [CrossRef] [PubMed]
- Liu, Y.; Ai, K.; Lu, L. Polydopamine and Its Derivative Materials: Synthesis and Promising Applications in Energy, Environmental, and Biomedical Fields. Chem. Rev. 2014, 114, 5057–5115. [Google Scholar] [CrossRef] [PubMed]
- Ding, X.; Liu, J.; Li, J.; Wang, F.; Wang, Y.; Song, S.; Zhang, H. Polydopamine coated manganese oxide nanoparticles with ultrahigh relaxivity as nanotheranostic agents for magnetic resonance imaging guided synergetic chemo-/photothermal therapy. Chem. Sci. 2016, 7, 6695–6700. [Google Scholar] [CrossRef] [PubMed]
- Mo, Z.; Qiu, M.; Zhao, K.; Hu, H.; Xu, Q.; Cao, J.; Luo, Y.; Liu, L.; Xu, Z.; Yi, C.; et al. Multifunctional phototheranostic nanoplatform based on polydopamine-manganese dioxide-IR780 iodide for effective magnetic resonance imaging-guided synergistic photodynamic/photothermal therapy. J. Colloid Interface Sci. 2022, 611, 193–204. [Google Scholar] [CrossRef] [PubMed]
- Pada, A.-K.; Desai, D.; Sun, K.; Prakirth Govardhanam, N.; Törnquist, K.; Zhang, J.; Rosenholm, J.M. Comparison of Polydopamine-Coated Mesoporous Silica Nanorods and Spheres for the Delivery of Hydrophilic and Hydrophobic Anticancer Drugs. Int. J. Mol. Sci. 2019, 20, 3408. [Google Scholar] [CrossRef] [PubMed]
- Lu, J.; Song, J.; Zhang, P.; Huang, Y.; Lu, X.; Dai, H.; Xi, J. Biomineralized Polydopamine Nanoparticle-Based Sodium Alginate Hydrogels for Delivery of Anti-serine/Threonine Protein Kinase B-Rapidly Accelerated Fibrosarcoma siRNA for Metastatic Melanoma Therapy. ACS Nano 2023, 17, 18318–18331. [Google Scholar] [CrossRef] [PubMed]
- Cheng, W.; Nie, J.; Gao, N.; Liu, G.; Tao, W.; Xiao, X.; Jiang, L.; Liu, Z.; Zeng, X.; Mei, L. A Multifunctional Nanoplatform against Multidrug Resistant Cancer: Merging the Best of Targeted Chemo/Gene/Photothermal Therapy. Adv. Funct. Mater. 2017, 27, 1704135. [Google Scholar] [CrossRef]
- Bailey, C.G.; Nothling, M.D.; Fillbrook, L.L.; Vo, Y.; Beves, J.E.; McCamey, D.R.; Stenzel, M.H. Polydopamine as a Visible-Light Photosensitiser for Photoinitiated Polymerisation. Angew. Chem. Int. Ed. 2023, 62, e202301678. [Google Scholar] [CrossRef] [PubMed]
- Zhang, H.; Zeng, W.; Pan, C.; Feng, L.; Ou, M.; Zeng, X.; Liang, X.; Wu, M.; Ji, X.; Mei, L. SnTe@MnO2-SP Nanosheet–Based Intelligent Nanoplatform for Second Near-Infrared Light–Mediated Cancer Theranostics. Adv. Funct. Mater. 2019, 29, 1903791. [Google Scholar] [CrossRef]
- Li, Q.; Sun, L.; Hou, M.; Chen, Q.; Yang, R.; Zhang, L.; Xu, Z.; Kang, Y.; Xue, P. Phase-Change Material Packaged within Hollow Copper Sulfide Nanoparticles Carrying Doxorubicin and Chlorin e6 for Fluorescence-Guided Trimodal Therapy of Cancer. ACS Appl. Mater. Interfaces 2019, 11, 417–429. [Google Scholar] [CrossRef] [PubMed]
- Li, Y.; Ji, T.; Torre, M.; Shao, R.; Zheng, Y.; Wang, D.; Li, X.; Liu, A.; Zhang, W.; Deng, X.; et al. Aromatized liposomes for sustained drug delivery. Nat. Commun. 2023, 14, 6659. [Google Scholar] [CrossRef] [PubMed]
- Enyu, X.; Xinbo, L.; Xuelian, C.; Huimin, C.; Yin, C.; Yan, C. Construction and performance evaluation of pH-responsive oxidized hyaluronic acid hollow mesoporous silica nanoparticles. Int. J. Biol. Macromol. 2024, 257, 128656. [Google Scholar] [CrossRef] [PubMed]
- Li, H.; Wen, H.; Zhang, Z.; Song, N.; Kwok, R.T.K.; Lam, J.W.Y.; Wang, L.; Wang, D.; Tang, B.Z. Reverse Thinking of the Aggregation-Induced Emission Principle: Amplifying Molecular Motions to Boost Photothermal Efficiency of Nanofibers**. Angew. Chem. Int. Ed. 2020, 132, 20551–20555. [Google Scholar] [CrossRef]







Disclaimer/Publisher’s Note: The statements, opinions and data contained in all publications are solely those of the individual author(s) and contributor(s) and not of MDPI and/or the editor(s). MDPI and/or the editor(s) disclaim responsibility for any injury to people or property resulting from any ideas, methods, instructions or products referred to in the content. |
© 2024 by the authors. Licensee MDPI, Basel, Switzerland. This article is an open access article distributed under the terms and conditions of the Creative Commons Attribution (CC BY) license (https://creativecommons.org/licenses/by/4.0/).
Share and Cite
Ling, J.; Cai, Y.; Feng, H.; Liu, Z.; Ouyang, X.-k. Polydopamine-Modified Copper Coordination Mesoporous Silica Nanoparticles Loaded with Disulfiram for Synergistic Chemo-Photothermal Therapy. Pharmaceutics 2024, 16, 512. https://doi.org/10.3390/pharmaceutics16040512
Ling J, Cai Y, Feng H, Liu Z, Ouyang X-k. Polydopamine-Modified Copper Coordination Mesoporous Silica Nanoparticles Loaded with Disulfiram for Synergistic Chemo-Photothermal Therapy. Pharmaceutics. 2024; 16(4):512. https://doi.org/10.3390/pharmaceutics16040512
Chicago/Turabian StyleLing, Junhong, Yingying Cai, Haozhan Feng, Zhen Liu, and Xiao-kun Ouyang. 2024. "Polydopamine-Modified Copper Coordination Mesoporous Silica Nanoparticles Loaded with Disulfiram for Synergistic Chemo-Photothermal Therapy" Pharmaceutics 16, no. 4: 512. https://doi.org/10.3390/pharmaceutics16040512
APA StyleLing, J., Cai, Y., Feng, H., Liu, Z., & Ouyang, X.-k. (2024). Polydopamine-Modified Copper Coordination Mesoporous Silica Nanoparticles Loaded with Disulfiram for Synergistic Chemo-Photothermal Therapy. Pharmaceutics, 16(4), 512. https://doi.org/10.3390/pharmaceutics16040512

