Synthesis, Characterization, Bioavailability and Antimicrobial Studies of Cefuroxime-Based Organic Salts and Ionic Liquids
Abstract
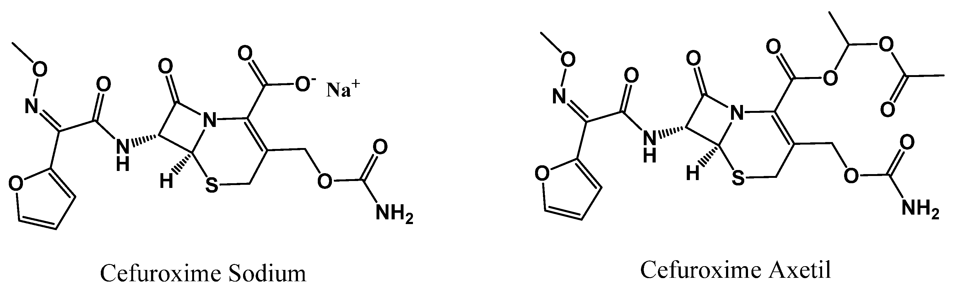
1. Introduction
2. Materials and Methods
2.1. General Synthesis
2.2. Cytotoxicity of CFX-OSILs
2.3. Antimicrobial Activities
2.4. Data and Statistical Analysis
3. Results and Discussion
3.1. Synthesis and Characterization
3.2. Water Solubility and Octanol-Water Partition Studies (Kow)
3.3. Biocompatibility Assessment
3.4. Evaluation of the Antimicrobial Activity
Supplementary Materials
Author Contributions
Funding
Institutional Review Board Statement
Informed Consent Statement
Data Availability Statement
Conflicts of Interest
References
- IUPAC; Fischer, J.; Ganellin, C.R. Analogue-Based Drug Discovery; Wiley: Hoboken, NJ, USA, 2006. [Google Scholar]
- O’Callaghan, C.H.; Sykes, R.B.; Griffiths, A.; Thornton, J.E. Cefuroxime, a new cephalosporin antibiotic: Activity in vitro. Antimicrob. Agents Chemother. 1976, 9, 511–519. [Google Scholar] [CrossRef] [PubMed]
- Wozniak, T.J.; Hicks, J.R. Analytical Profile of Cefuroxime Sodium. Anal. Profiles Drug Subst. 1991, 20, 209–236. [Google Scholar] [CrossRef]
- Brogden, R.N.; Heel, R.C.; Speight, T.M.; Avery, G.S. Cefuroxime: A new cephalosporin. Curr. Ther. 1979, 20, 29–34. [Google Scholar]
- Michelow, I.C. Chapter 248—Antibacterial therapeutic agents. In Feigin and Cherry’s Textbook of Pediatric Infectious Diseases, 6th ed.; Feigin, R.D., Cherry, J.D., Demmler-Harrison, G.J., Kaplan, S.L., Eds.; W.B. Saunders: Philadelphia, PA, USA, 2009; pp. 3178–3227. [Google Scholar] [CrossRef]
- Spencer, R.C.; Griggs, J.V.; Brown, G.W. A dose-ranging study of cefuroxime axetil in the treatment of lower respiratory tract infections in general practice. Drugs Exp. Clin. Res. 1987, 13, 101–103. [Google Scholar]
- Foord, R.D. Cefuroxime: Human pharmacokinetics. Antimicrob. Agents Chemother. 1976, 9, 741–747. [Google Scholar] [CrossRef]
- Malfair, S.C.; Frighetto, L.; Nickoloff, D.M.; Martinusen, S.M.; Jewesson, P.J. Evaluation of the use of cefuroxime and cefuroxime axetil in an intravenous-oral stepdown program. Ann. Pharmacother. 1996, 30, 337–342. [Google Scholar] [CrossRef]
- Talaczyńska, A.; Mizera, M.; Szybowicz, M.; Nowicka, A.B.; Garbacki, P.; Paczkowska, M.; Zalewski, P.; Kozak, M.; Oszczapowicz, I.; Jelińska, A.; et al. Studies of the crystalline form of cefuroxime axetil: Implications for its compatibility with excipients. Acta Pol. Pharm. Drug Res. 2016, 73, 1299–1309. [Google Scholar]
- Savjani, K.T.; Gajjar, A.K.; Savjani, J.K. Drug Solubility: Importance and Enhancement Techniques. ISRN Pharm. 2012, 2012, 195727. [Google Scholar] [CrossRef]
- Hough, W.L.; Smiglak, M.; Rodríguez, H.; Swatloski, R.P.; Spear, S.K.; Daly, D.T.; Pernak, J.; Grisel, J.E.; Carliss, R.D.; Soutullo, M.D. The Third Evolution of Ionic Liquids: Active Pharmaceutical Ingredients. New J. Chem. 2007, 31, 1429. [Google Scholar] [CrossRef]
- Egorova, K.S.; Gordeev, E.G.; Ananikov, V.P. Biological Activity of Ionic Liquids and Their Application in Pharmaceutics and Medicine. Chem. Rev. 2017, 117, 7132–7189. [Google Scholar] [CrossRef]
- Ferraz, R.; Branco, L.C.; Prudêncio, C.; Noronha, J.P.; Petrovski, Ž. Ionic Liquids as Active Pharmaceutical Ingredients. Chem. Med. Chem. 2011, 6, 975. [Google Scholar] [CrossRef] [PubMed]
- Marrucho, I.M.; Branco, L.C.; Rebelo, L.P.N. Ionic Liquids in Pharmaceutical Applications. Annu. Rev. Chem. Biomol. Eng. 2014, 5, 527–546. [Google Scholar] [CrossRef] [PubMed]
- Morais, E.S.; da Costa Lopes, A.M.; Freire, M.G.; Freire, C.S.R.; Coutinho, J.A.P.; Silvestre, A.J.D. Use of Ionic Liquids and Deep Eutectic Solvents in Polysaccharides Dissolution and Extraction Processes towards Sustainable Biomass Valorization. Molecules 2020, 25, 3652. [Google Scholar] [CrossRef] [PubMed]
- Santos, M.M.; Alves, C.; Silva, J.; Florindo, C.; Costa, A.; Petrovski, Ž.; Marrucho, I.M.; Pedrosa, R.; Branco, L.C. Antimicrobial Activities of Highly Bioavailable Organic Salts and Ionic Liquids from Fluoroquinolones. Pharmaceutics 2020, 12, 694. [Google Scholar] [CrossRef]
- Fukuta, T.; Ikeda-Imafuku, M.; Iwao, Y. Development of Edaravone Ionic Liquids and Their Application for the Treatment of Cerebral Ischemia/Reperfusion Injury. Mol. Pharm. 2023, 20, 3115–3126. [Google Scholar] [CrossRef]
- Bento, C.M.; Silva, A.T.; Mansano, B.; Aguiar, L.; Teixeira, C.; Gomes, M.S.; Gomes, P.; Silva, T.; Ferraz, R. Improving the Antimycobacterial Drug Clofazimine through Formation of Organic Salts by Combination with Fluoroquinolones. Int. J. Mol. Sci. 2023, 24, 1402. [Google Scholar] [CrossRef]
- Smiglak, M.; Pringle, J.M.; Lu, X.; Han, L.; Zhang, S.; Gao, H.; MacFarlane, D.R.; Rogers, R.D. Ionic Liquids for Energy, Materials, and Medicine. Chem. Commun. 2014, 50, 9228. [Google Scholar] [CrossRef]
- Shamshina, J.L.; Kelley, S.P.; Gurau, G.; Rogers, R.D. Chemistry: Develop ionic liquid drugs. Nature 2015, 528, 188–189. [Google Scholar] [CrossRef] [PubMed]
- Cojocaru, O.A.; Bica, K.; Gurau, G.; Narita, A.; McCrary, P.D.; Shamshina, J.L.; Barber, P.S.; Rogers, R.D. Prodrug Ionic Liquids: Functionalizing Neutral Active Pharmaceutical Ingredients to Take Advantage of the Ionic Liquid Form. Medchemcomm 2013, 4, 559. [Google Scholar] [CrossRef]
- Cherukuvada, S.; Nangia, A. Polymorphism in an API ionic liquid: Ethambutol dibenzoate trimorphs. Cryst. Eng. Comm. 2012, 14, 7840–7843. [Google Scholar] [CrossRef]
- Santos, M.M.; Raposo, L.R.; Carrera, G.V.S.M.; Costa, A.; Dionísio, M.; Baptista, P.V.; Fernandes, A.R.; Branco, L.C. Ionic Liquids and Salts from Ibuprofen as Promising Innovative Formulations of an Old Drug. Chem. Med. Chem. 2019, 14, 907–911. [Google Scholar] [CrossRef] [PubMed]
- Carrera, G.V.S.M.; Santos, M.M.; Costa, A.; Rebelo, L.P.N.; Marrucho, I.M.; da Ponte, M.; Branco, L.C. Highly water soluble room temperature superionic liquids of APIs. New J. Chem. 2017, 41, 6986–6990. [Google Scholar] [CrossRef]
- Ferraz, R.; Branco, L.C.; Marrucho, I.M.; Araújo, J.M.M.; Rebelo, L.P.N.; da Ponte, M.N.; Prudêncio, C.; Noronha, J.P.; Petrovski, Ž. Development of Novel Ionic Liquids Based on Ampicillin. Med. Chem. Comm. 2012, 3, 494. [Google Scholar] [CrossRef]
- Rebelo, L.P.N.; Marrucho, I.M. Evaluation of solubility and partition properties of ampicillin-based ionic liquids. Int. J. Pharm. 2013, 456, 553–559. [Google Scholar] [CrossRef]
- Ferraz, R.; Noronha, P. RSC Advances Antibacterial activity of Ionic Liquids based on ampicillin against resistant bacteria. RSC Adv. 2014, 4, 4301–4307. [Google Scholar] [CrossRef]
- Ferraz, R.; Silva, D.; Dias, A.R.; Dias, V.; Santos, M.M.; Pinheiro, L.; Prudêncio, C.; Noronha, J.P.; Petrovski, Ž.; Branco, L.C. Synthesis and Antibacterial Activity of Ionic Liquids and Organic Salts Based on Penicillin G and Amoxicillin hydrolysate Derivatives against Resistant Bacteria. Pharmaceutics 2020, 12, 221. [Google Scholar] [CrossRef]
- Florindo, C.; Costa, A.; Matos, C.; Nunes, S.L.; Matias, A.N.; Duarte, C.M.M.; Rebelo, L.P.N.; Branco, L.C.; Marrucho, I.M. Novel organic salts based on fluoroquinolone drugs: Synthesis, bioavailability and toxicological profiles. Int. J. Pharm. 2014, 469, 179–189. [Google Scholar] [CrossRef]
- Teixeira, S.; Santos, M.M.; Ferraz, R.; Prudêncio, C.; Fernandes, M.H.; Costa-Rodrigues, J.; Branco, L.C. A Novel Approach for Bisphosphonates: Ionic Liquids and Organic Salts from Zoledronic Acid. Chem. Med. Chem. 2019, 14, 1767–1770. [Google Scholar] [CrossRef]
- Teixeira, S.; Santos, M.M.; Fernandes, M.H.; Costa-Rodrigues, J.; Branco, L.C. Alendronic Acid as Ionic Liquid: New Perspective on Osteosarcoma. Pharmaceutics 2020, 12, 293. [Google Scholar] [CrossRef]
- Wu, H.; Deng, Z.; Zhou, B.; Qi, M.; Hong, M.; Ren, G. Improved transdermal permeability of ibuprofen by ionic liquid technology: Correlation between counterion structure and the physicochemical and biological properties. J. Mol. Liq. 2019, 283, 399–409. [Google Scholar] [CrossRef]
- Sidat, Z.; Marimuthu, T.; Kumar, P.; Toit, L.C.; Kondiah, P.P.D.; Choonara, Y.E.; Pillay, V. Ionic Liquids as Potential and Synergistic Permeation Enhancers for Transdermal Drug Delivery. Pharmaceutics 2019, 11, 96. [Google Scholar] [CrossRef] [PubMed]
- Faísca, F.; Correia, V.; Petrovski, Ž.; Branco, L.C.; Rebelo-de-Andrade, H.; Santos, M.M. Enhanced In Vitro Antiviral Activity of Hydroxychloroquine Ionic Liquids against SARS-CoV-2. Pharmaceutics 2022, 14, 877. [Google Scholar] [CrossRef] [PubMed]
- Teixeira, S.; Santos, M.M.; Branco, L.C.; Costa-Rodrigues, J. Etidronate-based organic salts and ionic liquids: In vitro effects on bone metabolism. Int. J. Pharm. 2021, 610, 121262. [Google Scholar] [CrossRef] [PubMed]
- Varanda, F.; Pratas de Melo, M.J.; Caço, A.I.; Dohrn, R.; Makrydaki, F.A.; Voutsas, E.; Tassios, D.; Marrucho, I.M. Solubility of Antibiotics in Different Solvents. 1. Hydrochloride Forms of Tetracycline, Moxifloxacin, and Ciprofloxacin. Ind. Eng. Chem. Res. 2006, 45, 6368–6374. [Google Scholar] [CrossRef]






| CFX-OSILs | Physical State | Mp/°C |
|---|---|---|
| [C6Py][CFX] | Orange solid | 95–98 |
| [C10Py][CFX] | Orange solid | 86–90 |
| [C16Py][CFX] | Orange solid | 108–110 |
| [C16MIM][CFX] | Orange solid | Not determined |
| [PyC10Py][CFX]2 | Orange solid | Not determined |
| Sample | IC50/µM |
|---|---|
| Starting materials | |
| CFX | >100 |
| [C6Py]Br | >100 |
| [C10Py]Br | 98.05 |
| [C16Py]Cl | 29.99 |
| [C16MIM]Br | 13.31 |
| [PyC10Py]Br2 | >100 |
| Final compounds | |
| [C6Py][CFX] | >100 |
| [C10Py][CFX] | 62.50 |
| [C16Py][CFX] | 11.68 |
| [C16MIM][CFX] | 13.94 |
| [PyC10Py][CFX]2 | >100 |
| Bacteria Species | E. coli | P. aeruginosa | B. subtilis |
|---|---|---|---|
| Starting compounds | |||
| CFX | 6.42 (5.79–7.12) | 0.55 (0.46–0.66) | 0.95 (0.84–1.07) |
| [C6Py]Br | >100 | >100 | >100 |
| [C10Py]Br | >100 | 95.53 (82.49–114.1) | 80.86 (58.59–111.6) |
| [C16Py]Cl | 5.71 (4.48–7.13) | 3.65 (2.80–4.92) | 2.03 (1.73–2.39) |
| [C16MIM]Br | 11.31 (9.08–14.01) | 4.81 (4.32–5.36) | 5.19 (4.83–5.57) |
| [PyC10Py]Br2 | >100 | >100 | >100 |
| Final compounds | |||
| [C6Py][CFX] | 26.82 (23.25–30.92) | 3.99 (3.61–4.43) | 8.85 (5.69–13.76) |
| [C10Py][CFX] | 90.32 (82.86–99.97) | 16.63 (13.54–20.01) | 22.96 (16.85–30.27) |
| [C16Py][CFX] | 9.66 (8.55–10.84) | 4.54 (4.11–5.00) | 5.08 (4.71–5.61) |
| [C16MIM][CFX] | 9.23 (8.15–10.44) | 4.02 (3.50–4.65) | 2.65 (2.09–3.36) |
| [PyC10Py][CFX]2 | 4.92 (4.35–5.58) | 0.66 (0.58–0.76) | 0.85 (0.60–1.04) |
Disclaimer/Publisher’s Note: The statements, opinions and data contained in all publications are solely those of the individual author(s) and contributor(s) and not of MDPI and/or the editor(s). MDPI and/or the editor(s) disclaim responsibility for any injury to people or property resulting from any ideas, methods, instructions or products referred to in the content. |
© 2024 by the authors. Licensee MDPI, Basel, Switzerland. This article is an open access article distributed under the terms and conditions of the Creative Commons Attribution (CC BY) license (https://creativecommons.org/licenses/by/4.0/).
Share and Cite
Faísca, F.; Petrovski, Ž.; Grilo, I.; Lima, S.A.C.; Santos, M.M.; Branco, L.C. Synthesis, Characterization, Bioavailability and Antimicrobial Studies of Cefuroxime-Based Organic Salts and Ionic Liquids. Pharmaceutics 2024, 16, 1291. https://doi.org/10.3390/pharmaceutics16101291
Faísca F, Petrovski Ž, Grilo I, Lima SAC, Santos MM, Branco LC. Synthesis, Characterization, Bioavailability and Antimicrobial Studies of Cefuroxime-Based Organic Salts and Ionic Liquids. Pharmaceutics. 2024; 16(10):1291. https://doi.org/10.3390/pharmaceutics16101291
Chicago/Turabian StyleFaísca, Francisco, Željko Petrovski, Inês Grilo, Sofia A. C. Lima, Miguel M. Santos, and Luis C. Branco. 2024. "Synthesis, Characterization, Bioavailability and Antimicrobial Studies of Cefuroxime-Based Organic Salts and Ionic Liquids" Pharmaceutics 16, no. 10: 1291. https://doi.org/10.3390/pharmaceutics16101291
APA StyleFaísca, F., Petrovski, Ž., Grilo, I., Lima, S. A. C., Santos, M. M., & Branco, L. C. (2024). Synthesis, Characterization, Bioavailability and Antimicrobial Studies of Cefuroxime-Based Organic Salts and Ionic Liquids. Pharmaceutics, 16(10), 1291. https://doi.org/10.3390/pharmaceutics16101291

