Tailoring Crystallization Kinetics in Thin Sucrose Films during Convective Drying: Impact of Temperature and Humidity on Onset, Growth, and Nucleation Rate
Abstract
1. Introduction
2. Materials, Equipment, and Methods
2.1. Preparation of Solution
2.2. Thin-Film Drying
2.3. Analyzation of Nucleation and Growth
2.4. Differential Scanning Calorimetry
3. Results and Discussion
3.1. Validation of Crystalline and Amorphous State by Differential Scanning Calorimetry
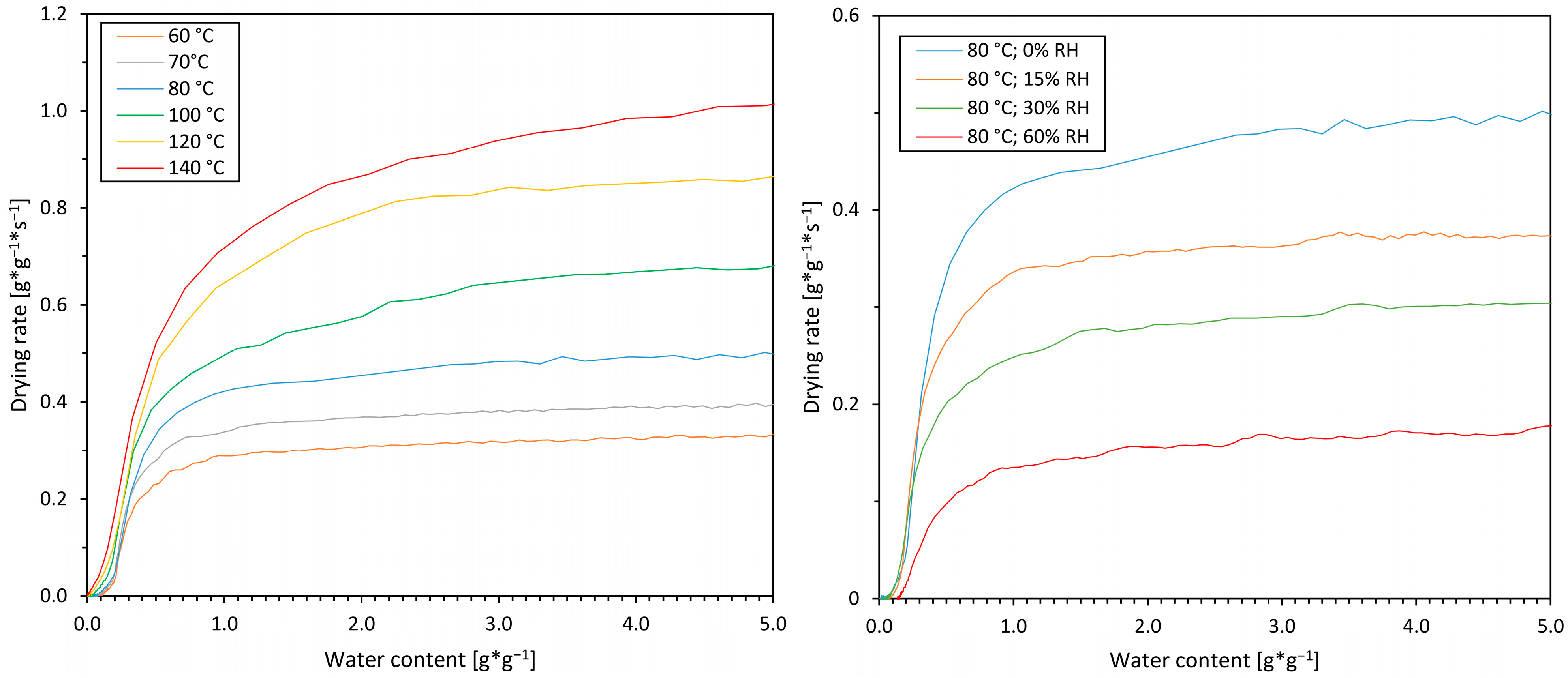
3.2. Drying Kinetics
3.3. Crystal Growth at Different Air Temperatures and Humidity
3.3.1. Drying Air Temperature
3.3.2. Drying Air Humidity
3.4. Nucleation at Different Air Temperatures and Humidity
3.4.1. Drying Air Humidity
3.4.2. Drying Air Temperature
3.4.3. Spatial Explanation Approach for the Nucleation Behavior
3.5. Crystallization under Decreasing In Situ Humidity
4. Conclusions
Author Contributions
Funding
Institutional Review Board Statement
Informed Consent Statement
Data Availability Statement
Acknowledgments
Conflicts of Interest
Appendix A
| Air Temperature T [°C] | Relative Humidity RH [%] | Humidity Ratio xair [g*g−1] | Air Velocity vair [m*s−1] |
|---|---|---|---|
| 80 | 0 | 0 | 0.3 |
| 80 | 15 | 0.047 | 0.3 |
| 80 | 30 | 0.101 | 0.3 |
| 80 | 60 | 0.242 | 0.3 |
| 100 | -- | 0 | 0.3 |
| 100 | -- | 0.111 | 0.3 |
| 100 | -- | 0.270 | 0.3 |
| 100 | -- | 0.945 | 0.3 |
References
- Baumann, J.M.; Adam, M.S.; Wood, J.D. Engineering Advances in Spray Drying for Pharmaceuticals. Annu. Rev. Chem. Biomol. Eng. 2021, 12, 217–240. [Google Scholar] [CrossRef] [PubMed]
- Jafari, S.M.; Arpagaus, C.; Cerqueira, M.A.; Samborska, K. Nano spray drying of food ingredients; materials, processing and applications. Trends Food Sci. Technol. 2021, 109, 632–646. [Google Scholar] [CrossRef]
- Samborska, K.; Poozesh, S.; Barańska, A.; Sobulska, M.; Jedlińska, A.; Arpagaus, C.; Malekjani, N.; Jafari, S.M. Innovations in spray drying process for food and pharma industries. J. Food Eng. 2022, 321, 110960. [Google Scholar] [CrossRef]
- Chen, L.; Okuda, T.; Lu, X.-Y.; Chan, H.-K. Amorphous powders for inhalation drug delivery. Adv. Drug Deliv. Rev. 2016, 100, 102–115. [Google Scholar] [CrossRef] [PubMed]
- Chew, N.Y.K.; Chan, H.-K. The role of particle properties in pharmaceutical powder inhalation formulations. J. Aerosol Med. 2002, 15, 325–330. [Google Scholar] [CrossRef]
- Adhikari, B.; Howes, T.; Bhandari, B.; Troung, V. Effect of addition of maltodextrin on drying kinetics and stickiness of sugar and acid-rich foods during convective drying: Experiments and modelling. J. Food Eng. 2004, 62, 53–68. [Google Scholar] [CrossRef]
- Adhikari, B.; Howes, T.; Bhandari, B.R.; Langrish, T.A.G. Effect of addition of proteins on the production of amorphous sucrose powder through spray drying. J. Food Eng. 2009, 94, 144–153. [Google Scholar] [CrossRef]
- Fongin, S.; Alvino Granados, A.E.; Harnkarnsujarit, N.; Hagura, Y.; Kawai, K. Effects of maltodextrin and pulp on the water sorption, glass transition, and caking properties of freeze-dried mango powder. J. Food Eng. 2019, 247, 95–103. [Google Scholar] [CrossRef]
- Palzer, S. The relation between material properties and supra-molecular structure of water-soluble food solids. Trends Food Sci. Technol. 2010, 21, 12–25. [Google Scholar] [CrossRef]
- Ibach, A. Verminderung der Verbackungsneigung von Sprühgetrockneten Laktosehaltigen Pulvern; Univ.-Verl. Karlsruhe: Karlsruhe, Germany, 2007; ISBN 978-3-86644-172-9. [Google Scholar]
- Yazdanpanah, N.; Langrish, T.A.G. Fast crystallization of lactose and milk powder in fluidized bed dryer/crystallizer. Dry. Technol. 2011, 91, 323–340. [Google Scholar] [CrossRef]
- Das, D.; Husni, H.A.; Langrish, T.A. The effects of operating conditions on lactose crystallization in a pilot-scale spray dryer. J. Food Eng. 2010, 100, 551–556. [Google Scholar] [CrossRef]
- Hartel, R.W. Thin-layer sugar crystallization principles. In Breakfast Cereals and How They Are Made; Elsevier: Amsterdam, The Netherlands, 2020; pp. 169–178. ISBN 9780128120439. [Google Scholar]
- Shakiba, S.; Mansouri, S.; Selomulya, C.; Woo, M.W. The role of the intermediate stage of drying on particle in-situ crystallization in spray dryers. Powder Technol. 2018, 323, 357–366. [Google Scholar] [CrossRef]
- Woo, M.W.; Fu, N.; Moo, F.T.; Chen, X.D. Unveiling the Mechanism of in situ Crystallization in the Spray Drying of Sugars. Ind. Eng. Chem. Res. 2012, 51, 11791–11802. [Google Scholar] [CrossRef]
- Woo, M.W.; Lee, M.G.; Shakiba, S.; Mansouri, S. Controlling in situ crystallization of pharmaceutical particles within the spray dryer. Expert Opin. Drug Deliv. 2017, 14, 1315–1324. [Google Scholar] [CrossRef] [PubMed]
- Levenson, D.A.; Hartel, R.W. Nucleation of amorphous sucrose-corn syrup mixtures. J. Food Eng. 2005, 69, 9–15. [Google Scholar] [CrossRef]
- Howell, T.A.; Ben-Yoseph, E.; Rao, C.T.; Hartel, R.W. Sucrose crystallization kinetics in thin films at elevated temperatures and supersaturations. Cryst. Growth Des. 2002, 2, 67–72. [Google Scholar] [CrossRef]
- Razmi, R.; Jubaer, H.; Krempski-Smejda, M.; Jaskulski, M.; Xiao, J.; Chen, X.D.; Woo, M.W. Recent initiatives in effective modeling of spray drying. Dry. Technol. 2021, 39, 1614–1647. [Google Scholar] [CrossRef]
- Chiou, D.; Langrish, T.; Braham, R. The effect of temperature on the crystallinity of lactose powders produced by spray drying. J. Food Eng. 2008, 86, 288–293. [Google Scholar] [CrossRef]
- Islam, M.; Langrish, T. An investigation into lactose crystallization under high temperature conditions during spray drying. Food Res. Int. 2010, 43, 46–56. [Google Scholar] [CrossRef]
- Fu, N.; Woo, M.W.; Moo, F.T.; Chen, X.D. Microcrystallization of lactose during droplet drying and its effect on the property of the dried particle. Chem. Eng. Res. Des. 2012, 90, 138–149. [Google Scholar] [CrossRef]
- Schugmann, M.; Foerst, P. Concept, design, and measurement methodology of a highly dynamic thin film dryer for experimental in situ drying manipulation. Rev. Sci. Instrum. 2022, 93, 65108. [Google Scholar] [CrossRef]
- Charles, D.F. Solubility of pure sucrose in water. Int. SugarJ 1960, 62, 126–131. [Google Scholar]
- Vavrinecz, G. Neue Tabelle über die Löslichkeit reiner Saccharose in Wasser. Zuckerindustrie 1962, 12, 481. [Google Scholar]
- Jiang, S.; ter Horst, J.H. Crystal Nucleation Rates from Probability Distributions of Induction Times. Cryst. Growth Des. 2011, 11, 256–261. [Google Scholar] [CrossRef]
- Räderer, M. Drying of Viscous, Shrinking Products: Modelling and Experimental Validation; Als Ms. gedr.; VDI-Verl: Düsseldorf, Germany, 2001; ISBN 3-18-367303-7. [Google Scholar]
- Mathlouthi, M.; Genotelle, J. Role of water in sucrose crystallization1Presented at the Second International Meeting of the Portuguese Carbohydrate Chemistry Group 1. Carbohydr. Polym. 1998, 37, 335–342. [Google Scholar] [CrossRef]
- Chen, J.; Nowakowski, C.; Green, D.; Hartel, R.W. State behavior and crystal growth kinetics of sucrose and corn syrup mixtures. J. Food Eng. 2015, 161, 1–7. [Google Scholar] [CrossRef]
- Räderer, M.; Besson, A.; Sommer, K. A thin film dryer approach for the determination of water diffusion coefficients in viscous products. Chem. Eng. J. 2002, 86, 185–191. [Google Scholar] [CrossRef]
- Perdana, J.; van der Sman, R.G.M.; Fox, M.B.; Boom, R.M.; Schutyser, M.A. Measuring and modelling of diffusivities in carbohydrate-rich matrices during thin film drying. J. Food Eng. 2014, 122, 38–47. [Google Scholar] [CrossRef]
- Islam, M.; Langrish, T.; Chiou, D. Particle crystallization during spray drying in humid air. J. Food Eng. 2010, 99, 55–62. [Google Scholar] [CrossRef]
- Chen, X.D.; Xie, G.Z. Fingerprints of the Drying Behaviour of Particulate or Thin Layer Food Materials Established Using a Reaction Engineering Model. Food Bioprod. Process. 1997, 75, 213–222. [Google Scholar] [CrossRef]
- Shakiba, S.; Mansouri, S.; Selomulya, C.; Woo, M.W. In-situ crystallization of particles in a counter-current spray dryer. Adv. Powder Technol. 2016, 27, 2299–2307. [Google Scholar] [CrossRef][Green Version]
- Hartge, H.M.; Flöter, E.; Vilgis, T.A. Crystallization in highly supersaturated, agitated sucrose solutions. Phys. Fluids 2023, 35, 064120. [Google Scholar] [CrossRef]
- Alamilla-Beltrán, L.; Chanona-Pérez, J.J.; Jiménez-Aparicio, A.R.; Gutiérrez-López, G.F. Description of morphological changes of particles along spray drying. J. Food Eng. 2005, 67, 179–184. [Google Scholar] [CrossRef]
- ROOS, Y.; KAREL, M. Amorphous state and delayed ice formation in sucrose solutions. Int. J. Food Sci. Technol. 1991, 26, 553–566. [Google Scholar] [CrossRef]
- Speight, J. Lange’s Handbook of Chemistry, 17th ed.; McGraw-Hill Education: New York, NY, USA, 2016; ISBN 9781259586101. [Google Scholar]









Disclaimer/Publisher’s Note: The statements, opinions and data contained in all publications are solely those of the individual author(s) and contributor(s) and not of MDPI and/or the editor(s). MDPI and/or the editor(s) disclaim responsibility for any injury to people or property resulting from any ideas, methods, instructions or products referred to in the content. |
© 2024 by the authors. Licensee MDPI, Basel, Switzerland. This article is an open access article distributed under the terms and conditions of the Creative Commons Attribution (CC BY) license (https://creativecommons.org/licenses/by/4.0/).
Share and Cite
Schugmann, M.; Foerst, P. Tailoring Crystallization Kinetics in Thin Sucrose Films during Convective Drying: Impact of Temperature and Humidity on Onset, Growth, and Nucleation Rate. Pharmaceutics 2024, 16, 1260. https://doi.org/10.3390/pharmaceutics16101260
Schugmann M, Foerst P. Tailoring Crystallization Kinetics in Thin Sucrose Films during Convective Drying: Impact of Temperature and Humidity on Onset, Growth, and Nucleation Rate. Pharmaceutics. 2024; 16(10):1260. https://doi.org/10.3390/pharmaceutics16101260
Chicago/Turabian StyleSchugmann, Martin, and Petra Foerst. 2024. "Tailoring Crystallization Kinetics in Thin Sucrose Films during Convective Drying: Impact of Temperature and Humidity on Onset, Growth, and Nucleation Rate" Pharmaceutics 16, no. 10: 1260. https://doi.org/10.3390/pharmaceutics16101260
APA StyleSchugmann, M., & Foerst, P. (2024). Tailoring Crystallization Kinetics in Thin Sucrose Films during Convective Drying: Impact of Temperature and Humidity on Onset, Growth, and Nucleation Rate. Pharmaceutics, 16(10), 1260. https://doi.org/10.3390/pharmaceutics16101260

